Effect of Functional Water on the Antioxidant Property of Concentrated Reconstituted Juice
Abstract
:1. Introduction
2. Materials and Methods
2.1. Preparation of Sample Water and Measurement of Physical and Chemical Parameters
2.2. Preparation of Concentrated and Renconstituted Juice
2.3. pH and Total Soluble Solids (TSS) of Juice
2.4. Measurement of the SOD Activity of Juice with SOD Assay Kit-WST
- (1)
- Twenty microliters of the test solution was added to the sample and Blank 2 well, and 20 μL of pure water (as control) was added to each Blank 1 and Blank 3 well.
- (2)
- Next, 200 μL of WST working solution was added to each well and mixed thoroughly by using a plate mixer.
- (3)
- Then, 20 μL of dilution buffer was added to each Blank 2 and 3 well.
- (4)
- Subsequently, 20 μL of enzyme working solution was added to the well containing the sample solution and the well of blank 1.
- (5)
- The plate was incubated at 37 °C for 20 min.
- (6)
- The absorbance was measured at 450 nm using a microplate reader and the absorbance value for each well was recorded (e.g., A sample or A blank1).
- (7)
- The SOD Activity was calculated as follows in Equation (1).
2.4.1. The Effect of AlEW with Different Electrolysis Currents on the Antioxidant Activity of Juice
2.4.2. The Effect of TMW on the Antioxidant Activity of Juice at Different Tourmaline Stone Treatment Temperatures
2.4.3. The Effect of Functional Water on the Antioxidant Activity of Concentrated Reconstituted Juice
2.5. Color Analysis
2.6. Sensory Evaluation
2.7. Statistical Analysis
3. Results and Discussion
3.1. pH and °Brix (TSS) of Juice
3.2. The Effect of AlEW with Different Electrolysis Currents on the Antioxidant Activity of Juice
3.3. Effect of TMW on the Antioxidant Activity of Juice at Different Tourmaline Stone Treatment Temperatures
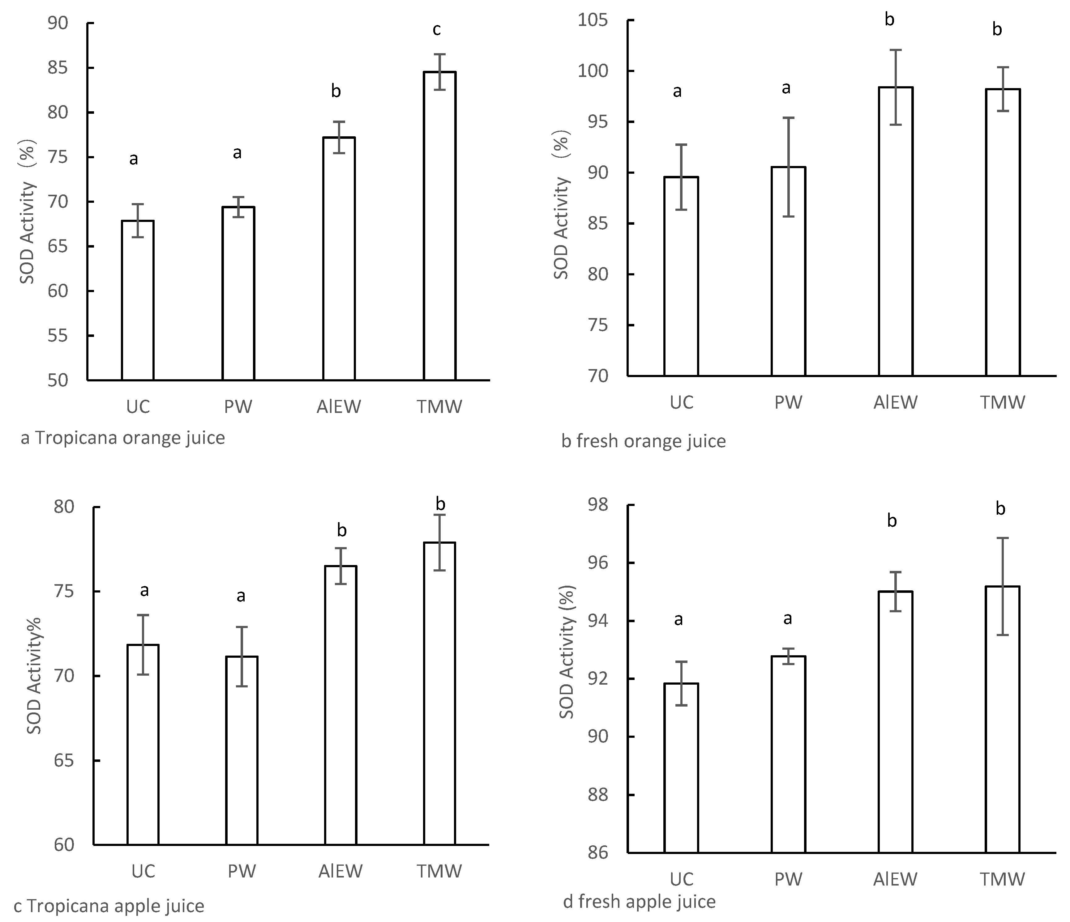
3.4. Effect of Functional Water on the Antioxidant Activity of Concentrated Reconstituted Juice
3.5. Effect of Functional Water on the Color and pH of Concentrated Reconstituted Juice
3.6. Sensory Evaluation of Concentrated Reconstituted Juice
4. Conclusions
Supplementary Materials
Author Contributions
Funding
Institutional Review Board Statement
Informed Consent Statement
Data Availability Statement
Acknowledgments
Conflicts of Interest
Abbreviations
| AlEW | alkaline electrolyzed water |
| TMW | tourmaline water |
| SOD | superoxide dismutase |
| PW | pure water |
| EC | electrical conductance |
| DO | dissolved oxygen |
| DH | dissolved hydrogen |
| ORP | oxidation reduction potential |
References
- The Japanese Society for Functional Water. Available online: http://www.fwf.or.jp/gakkai.html (accessed on 12 July 2022).
- Tanaka, Y.; Saihara, Y.; Izumotani, K.; Nakamura, H. Daily ingestion of alkaline electrolyzed water containing hydrogen influences human health, including gastrointestinal symptoms. Med. Gas. Res. 2018, 8, 160–166. [Google Scholar] [CrossRef] [PubMed]
- Jia, W.; Wang, C.; Ma, C.; Wang, J.; Sun, H. Element uptake and physiological responses of Lactuca sativa upon co-exposures to tourmaline and dissolved humic acids. Environ. Sci. Pollut. Res. 2018, 25, 15998–16008. [Google Scholar] [CrossRef] [PubMed]
- Liang, Y.; Tang, X.; Zhu, Q.; Han, J.; Wang, C. A review: Application of tourmaline in environmental fields. Chemosphere 2021, 281, 130780. [Google Scholar] [CrossRef] [PubMed]
- Shirahata, S.; Kabayama, S.; Nakano, M.; Miura, T.; Kusumoto, K.; Gotoh, M.; Hayashi, H.; Otsubo, K.; Morisawa, S.; Katakura, Y. Electrolyzed–Reduced Water Scavenges Active Oxygen Species and Protects DNA from Oxidative Damage. Biochem. Biophys. Res. Commun. 1997, 234, 269–274. [Google Scholar] [CrossRef] [PubMed]
- Hanaoka, K. Antioxidant effects of reduced water produced by electrolysis of sodium chloride solutions. J. Appl. Electrochem. 2001, 31, 1307–1313. [Google Scholar] [CrossRef]
- Wu, T.; Hiroshima, M.; Tachibana, C.; Gaja, M.; Nagahama, A.; Kamitani, Y. Comparative Study of Alkaline Electrolyzed Water and Tourmaline Water in terms of their Enhancing Effect on the SOD Activity of Ascorbic Acid. J. Funct. Water 2022, 16, 1–9. [Google Scholar]
- Marc, H.; Jacques, C. Physico-Chemical, Biological and Therapeutic Characteristics of Electrolyzed Reduced Alkaline Water (ERAW). Water 2013, 5, 2094–2115. [Google Scholar]
- Jin, D.; Ryu, S.H.; Kim, H.W.; Yang, E.J.; Lim, S.J.; Ryang, Y.S.; Chung, C.H.; Park, S.K.; Lee, K.J. Anti-Diabetic Effect of Alkaline-Reduced Water on OLETF Rats. Biosci. Biotechnol. Biochem. 2006, 70, 31–37. [Google Scholar] [CrossRef] [Green Version]
- Ye, J.; Li, Y.; Hamasaki, T.; Nakamichi, N.; Komatsu, T.; Kashiwagi, T.; Teruya, K.; Nishikawa, R.; Kawahara, T.; Osada, K.; et al. Inhibitory Effect of Electrolyzed Reduced Water on Tumor Angiogenesis. Biol. Pharm. Bull. 2008, 31, 19–26. [Google Scholar] [CrossRef] [Green Version]
- Li, Y.; Nishimura, T.; Teruya, K.; Maki, T.; Komatsu, T.; Hamasaki, T.; Kashiwagi, T.; Kabayama, S.; Shim, S.-Y.; Katakura, Y.; et al. Protective mechanism of reduced water against alloxan-induced pancreatic β-cell damage: Scavenging effect against reactive oxygen species. Cytotechnology 2002, 40, 139–149. [Google Scholar] [CrossRef]
- Wang, J.; Yuan, X.; Jin, Z.; Tian, Y.; Song, H. Free radical and reactive oxygen species scavenging activities of peanut skins extract. Food Chem. 2007, 104, 242–250. [Google Scholar] [CrossRef]
- Liu, R.H. Health-Promoting Components of Fruits and Vegetables in the Diet. Adv. Nutr. Int. Rev. J. 2013, 4, 384S–392S. [Google Scholar] [CrossRef]
- Qi, J.; Huang, H.; Wang, J.; Liu, N.; Chen, X.; Jiang, T.; Xu, H.; Lei, H. Insights into the improvement of bioactive phytochemicals, antioxidant activities and flavor profiles in Chinese wolfberry juice by select lactic acid bacteria. Food Biosci. 2021, 43, 101264. [Google Scholar] [CrossRef]
- Gunathilake, K.; Yu, L.; Rupasinghe, H. Reverse osmosis as a potential technique to improve antioxidant properties of fruit juices used for functional beverages. Food Chem. 2004, 148, 335–341. [Google Scholar] [CrossRef]
- Yoda, T.; Miyaki, H.; Saito, T. Effect of container shape on freeze concentration of apple juice. PLoS ONE 2021, 16, e0245606. [Google Scholar] [CrossRef] [PubMed]
- SOD Assay Kit—WST Technical Manual. Available online: https://www.dojindo.co.jp/manual/S311e.pdf (accessed on 12 August 2022).
- López, N.; Pérez, L.; Carbonell, B.; García, C. Use of Natural and Modified Cyclodextrins as Inhibiting Agents of Peach Juice Enzymatic Browning. J. Agric. Food Chem. 2007, 55, 5312–5319. [Google Scholar] [CrossRef] [PubMed]
- Rodríguez, L.M.N.; Arias, R.; Soteras, T.; Sancho, A.; Pesquero, N.; Rossetti, L.; Tacca, H.; Aimaretti, N.; Cervantes, M.L.R.; Szerman, N. Comparison of the quality attributes of carrot juice pasteurized by ohmic heating and conventional heat treatment. LWT 2021, 145, 111255. [Google Scholar] [CrossRef]
- Cserhalmi, Z.; Sass-Kiss, Á.; Tóth-Markus, M.; Lechner, N. Study of pulsed electric field treated citrus juices. Innov. Food Sci. Emerg. Technol. 2006, 7, 49–54. [Google Scholar] [CrossRef]
- International Fruit and Vegetable Juice Association Available. Available online: https://ifu-fruitjuice.com/ (accessed on 15 August 2022).
- Lee, M.Y.; Kim, Y.K.; Ryoo, K.K.; Lee, Y.B.; Park, E.J. Electrolyzed-Reduced Water Protects Against Oxidative Damage to DNA, RNA, and Protein. Appl. Biochem. Biotechnol. 2006, 135, 133–144. [Google Scholar] [CrossRef]
- Hanaoka, K.; Sun, D.; Lawrence, R.; Kamitani, Y.; Fernandes, G. The mechanism of the enhanced antioxidant effects against superoxide anion radicals of reduced water produced by electrolysis. Biophys. Chem. 2004, 107, 71–82. [Google Scholar] [CrossRef]
- Luo, G.; Chen, A.; Zhu, M.; Zhao, K.; Zhang, X.; Hu, S. Improving the electrocatalytic performance of Pd for formic acid electrooxidation by introducing tourmaline. Electrochimica Acta 2020, 360, 137023. [Google Scholar] [CrossRef]
- Ma, C.; Christianson, L.; Huang, X.; Christianson, R.; Cooke, R.A.; Bhattarai, R.; Li, S. Efficacy of heated tourmaline in reducing biomass clogging within woodchip bioreactors. Sci. Total Environ. 2020, 755, 142401. [Google Scholar] [CrossRef] [PubMed]
- Martín, G.; García, M.; Varo, M.; Mérida, J.; Serratosa, M. Phenolic compounds, antioxidant activity and color in the fermen-tation of mixed blueberry and grape juice with different yeasts. LWT Food Sci. Technol. 2021, 146, 111661. [Google Scholar] [CrossRef]
- Braverman, J. The pH Levels of Apple, Orange, Grape & Cranberry Fruit Juices. Available online: https://healthyeating.sfgate.com/ph-levels-apple-orange-grape-cranberry-fruit-juices-12062.html (accessed on 12 August 2022).
- Martins, I.; Souza, C.; Alcantara, M.; Rosenthal, A.; Ares, G.; Deliza, R. How are the sensory properties perceived by con-sumers? A case study with pressurized tropical mixed juice. Food Res. Int. 2022, 152, 110940. [Google Scholar] [CrossRef] [PubMed]




| pH | EC (μS/cm) | DO (mg/L) | ORP (mV) | DH (ppm) | |
|---|---|---|---|---|---|
| PW | 6.40 ± 0.17 a | 1.0 ± 0.28 a | 3.77 ± 0.29 c | 305.33 ± 4.15 f | - |
| AlEW-6A | 10.06 ± 0.01 c | 789.5 ± 4.95 d | 2.90 ± 0.71 b | −245.50 ± 2.12 c | 0.56 ± 0.01 a |
| AlEW-8A | 10.25 ± 0.00 d | 998.5 ± 0.71 e | 2.60 ± 0.42 b | −262.67 ± 2.72 b | 0.61 ± 0.00 b |
| AlEW-10A | 10.75 ± 0.00 e | 1312.0 ± 2.83 f | 2.25 ± 0.21 a | −269.00 ± 4.24 b | 0.63 ± 0.01 b |
| AlEW-12A | 11.10 ± 0.00 f | 1738.5 ± 2.21 g | 2.20 ± 0.14 a | −279.50 ± 6.36 a | 0.66 ± 0.02 c |
| TMW-50 °C | 7.58 ± 0.19 b | 108.2 ± 6.15 b | 2.65 ± 0.21 b | 256.67 ± 3.51 d | - |
| TMW-75 °C | 7.68 ± 0.04 b | 129.5 ± 5.80 c | 3.80 ± 0.87 c | 266.00 ± 2.83 d | - |
| TMW-100 °C | 7.76 ± 0.01 b | 130.3 ± 2.76 c | 3.40 ± 0.14 b | 272.50 ± 0.71 e | - |
| a | |||||
| L* | a* | b* | ΔE | pH | |
| O-UC-T | 38.67 ± 0.15 a | −1.73 ± 0.25 a | 8.70 ± 0.47 b | - | 3.92 ± 0.02 b |
| O-PW-T | 38.40 ± 1.04 a | −2.00 ± 0.53 a | 9.57 ± 0.98 a | 1.22 ± 0.67 a | 3.88 ± 0.00 b |
| O-AlEW-T | 38.90 ± 0.43 a | −1.50 ± 0.64 a | 7.17 ± 0.23 c | 1.47 ± 0.36 a | 3.89 ± 0.01 b |
| O-TMW-T | 38.83 ± 0.41 a | −1.50 ± 0.30 a | 9.90 ± 0.85 a | 1.36 ± 0.42 a | 3.88 ± 0.01 b |
| O-UC-F | 14.27 ± 0.28 b | −1.40 ± 0.20 a | 0.19 ± 0.08 d | - | 4.26 ± 0.01 b |
| O-PW-F | 14.03 ± 0.21 b | −1.57 ± 0.25 a | 0.23 ± 0.21 d | 0.44 ± 0.39 b | 4.28 ± 0.01 a |
| O-AlEW-F | 13.60 ± 0.10 b | −1.43 ± 0.15 a | −0.03 ± 0.16 d | 0.83 ± 0.20 ab | 4.32 ± 0.01 a |
| O-TWM-F | 14.13 ± 0.06 b | −1.17 ± 0.35 a | 0.00 ± 0.2 d | 0.42 ± 0.37 b | 4.30 ± 0.01 a |
| b | |||||
| L* | a* | b* | ΔE | pH | |
| A-UC-T | 29.63 ± 0.81 a | −1.09 ± 0.17 b | 2.48 ± 0.33 bc | - | 3.68 ± 0.02 b |
| A-PW-T | 28.57 ± 0.12 a | −1.07 ± 0.15 b | 2.73 ± 0.40 b | 1.21 ± 0.36 a | 3.74 ± 0.01 b |
| A-AlEW-T | 30.17 ± 0.64 a | −1.10 ± 0.10 b | 2.63 ± 0.23 b | 0.76 ± 0.66 a | 3.76 ± 0.00 b |
| A-TMW-T | 30.17 ± 0.31 a | −1.10 ± 0.10 b | 2.10 ± 0.17 c | 1.29 ± 0.19 a | 3.74 ± 0.01 b |
| A-UC-F | 26.00 ± 0.36 b | 2.07 ± 0.25 a | 3.53 ± 0.49 ab | - | 4.05 ± 0.03 a |
| A-PW-F | 25.13 ± 0.71 b | 2.10 ± 0.52 a | 2.70 ± 0.26 b | 1.43 ± 0.56 a | 4.04 ± 0.01 a |
| A-AlEW-F | 26.50 ± 0.17 b | 1.90 ± 0.35 a | 4.20 ± 0.35 a | 1.35 ± 0.49 a | 4.10 ± 0.02 a |
| A-TMW-F | 26.33 ± 0.50 b | 2.03 ± 0.65 a | 3.17 ± 0.31 b | 1.01 ± 0.56 a | 4.03 ± 0.01 a |
| a | |||
| Color | Odor | Taste | |
| O-UC-T | 2.53 ± 0.96 a | 2.67 ± 0.62 a | 2.27 ± 0.46 c |
| O-PW-T | 2.40 ± 0.74 a | 2.58 ± 0.75 a | 2.00 ± 0.64 c |
| O-AlEW-T | 2.73 ± 0.80 a | 2.67 ± 0.56 a | 2.56 ± 0.54 b |
| O-TMW-T | 2.67 ± 0.82 a | 2.53 ± 0.78 a | 2.51 ± 0.81 b |
| O-UC-F | 2.60 ± 0.63 a | 2.40 ± 0.83 a | 2.47 ± 0.83 bc |
| O-PW-F | 2.53 ± 0.88 a | 2.22 ± 0.60 a | 2.24 ± 0.50 c |
| O-AlEW-F | 2.80 ± 0.86 a | 2.40 ± 0.61 a | 2.96 ± 0.50 a |
| O-TWM-F | 2.73 ± 0.80 a | 2.44 ± 0.70 a | 2.64 ± 0.47 ab |
| b | |||
| Color | Odor | Taste | |
| A-UC-T | 2.53 ± 0.74 a | 2.40 ± 0.73 ab | 2.56 ± 0.63 ab |
| A-PW-T | 2.40 ± 0.74 a | 2.27 ± 0.96 ab | 2.32 ± 0.55 b |
| A-AlEW-T | 2.93 ± 0.88 a | 2.58 ± 0.75 a | 2.72 ± 0.43 a |
| A-TMW-T | 2.80 ± 0.68 a | 2.44 ± 0.65 ab | 2.82 ± 0.51 a |
| A-UC-F | 2.40 ± 0.91 a | 2.37 ± 0.72 ab | 2.60 ± 0.98 ab |
| A-PW-F | 2.33 ± 0.89 a | 1.96 ± 0.65 b | 2.48 ± 0.46 b |
| A-AlEW-F | 2.73 ± 0.70 a | 2.31 ± 0.50 ab | 2.82 ± 0.61 a |
| A-TWM-F | 2.73 ± 0.88 a | 2.62 ± 0.90 a | 2.91 ± 0.70 a |
Publisher’s Note: MDPI stays neutral with regard to jurisdictional claims in published maps and institutional affiliations. |
© 2022 by the authors. Licensee MDPI, Basel, Switzerland. This article is an open access article distributed under the terms and conditions of the Creative Commons Attribution (CC BY) license (https://creativecommons.org/licenses/by/4.0/).
Share and Cite
Wu, T.; Sakamoto, M.; Inoue, N.; Imahigashi, K.; Kamitani, Y. Effect of Functional Water on the Antioxidant Property of Concentrated Reconstituted Juice. Foods 2022, 11, 2531. https://doi.org/10.3390/foods11162531
Wu T, Sakamoto M, Inoue N, Imahigashi K, Kamitani Y. Effect of Functional Water on the Antioxidant Property of Concentrated Reconstituted Juice. Foods. 2022; 11(16):2531. https://doi.org/10.3390/foods11162531
Chicago/Turabian StyleWu, Tongjiao, Mitsuki Sakamoto, Natsuki Inoue, Kotaro Imahigashi, and Yoshinori Kamitani. 2022. "Effect of Functional Water on the Antioxidant Property of Concentrated Reconstituted Juice" Foods 11, no. 16: 2531. https://doi.org/10.3390/foods11162531
APA StyleWu, T., Sakamoto, M., Inoue, N., Imahigashi, K., & Kamitani, Y. (2022). Effect of Functional Water on the Antioxidant Property of Concentrated Reconstituted Juice. Foods, 11(16), 2531. https://doi.org/10.3390/foods11162531

