Consumer Preferences and Socioeconomic Factors Decided on Plantain and Plantain-Based Products in the Central Region of Cameroon and Oyo State, Nigeria
Abstract
1. Introduction
2. Materials and Methods
2.1. Sampling and Survey Design
2.2. Data Analysis
3. Results and Discussion
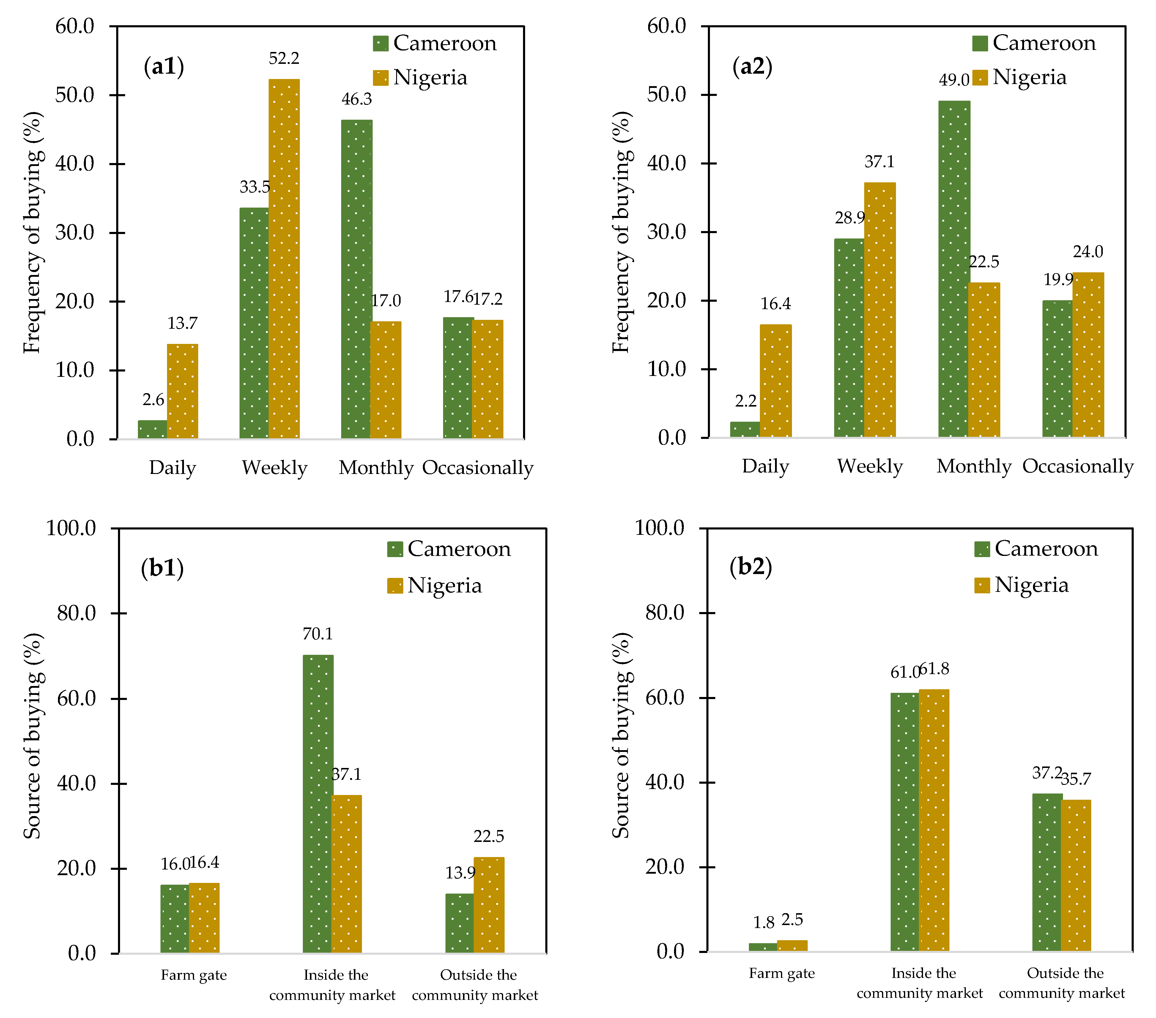
3.1. Consumption and Cooking Methods of Plantain
3.2. Factors Influencing Consumer’s Choice and Their Willingness to Purchase New Plantain-Based Products
4. Conclusions
Author Contributions
Funding
Institutional Review Board Statement
Informed Consent Statement
Data Availability Statement
Acknowledgments
Conflicts of Interest
References
- Adepoju, O.T.; Sunday, B.E.; Folaranmi, O.A. Nutrient composition and contribution of plantain (Musa paradisiaca) products to dietary diversity of Nigerian consumers. Afr. J. Biotechnol 2012, 11, 13601–13605. [Google Scholar] [CrossRef]
- Ekesa, B.; Nabuuma, D.; Blomme, G.; Van den Bergh, I. Provitamin A carotenoid content of unripe and ripe banana cultivars for potential adoption in eastern Africa. J. Food Compost. Anal. 2015, 43, 1–6. [Google Scholar] [CrossRef]
- Passo Tsamo, C.V.; Herent, M.F.; Tomekpe, K.; Emaga, T.H.; Quetin-Leclercq, J.; Rogez, H.; Larondelle, Y.; Andre, C. Phenolic profiling in the pulp and peel of nine plantain cultivars (Musa sp.). Food Chem. 2015, 167, 197–204. [Google Scholar] [CrossRef]
- Anyasi, T.A.; Jideani, A.I.O.; McHau, G.R.A. Phenolics and essential mineral profile of organic acid pretreated unripe banana flour. Food Res. Int. 2018, 104, 100–109. [Google Scholar] [CrossRef] [PubMed]
- Sidhu, J.S.; Zafar, T.A. Bioactive compounds in banana fruits and their health benefits. Food Qual. Saf. 2018, 2, 183–188. [Google Scholar] [CrossRef]
- Amah, D.; van Biljon, A.; Brown, A.; Perkins-Veazie, P.; Swennen, R.; Labuschagne, M. Recent advances in banana (Musa spp.) biofortification to alleviate vitamin A deficiency. Crit. Rev. Food Sci. Nutr. 2019, 59, 3498–3510. [Google Scholar] [CrossRef]
- Egbebi, A.O.; Bademosi, T.A. Chemical composition of ripe and unripe banana and plantain. Int. J. Trop. Med. Public Health 2011, 3, 18–22. [Google Scholar]
- Adegunwa, M.O.; Oloyede, I.O.; Adebanjo, L.A.; Alamu, E.O. Quality attribute of plantain (Musa paradisiaca) sponge-cake supplemented with watermelon (Citrullus lanatus) rind flour. Cogent Food Agric. 2019, 5, 1631582. [Google Scholar] [CrossRef]
- Ayinde, O.E.; Daramola, C.O.; Animashaun, J.O.; Oloyede, W.O. Consumption and expenditure patterns of plantain-based foods in rural and urban areas in Kware State, Nigeria. J. Multidiscip. Stud. 2017, 6, 1–16. [Google Scholar]
- Naczk, M.; Shahidi, F. Phenolics in cereals, fruits and vegetables: Occurrence, extraction and analysis. J. Pharm. Biomed. Anal. 2006, 41, 1523–1542. [Google Scholar] [CrossRef]
- Bennett, R.N.; Shiga, T.M.; Hassimotto, N.M.A.; Rosa, E.A.S.; Lajolo, F.M.; Cordenunsi, B.R. Phenolics and antioxidant properties of fruit pulp and cell wall fractions of postharvest banana (Musa acuminata Juss.) cultivars. J. Agric. Food Chem. 2010, 58, 7991–8003. [Google Scholar] [CrossRef]
- Pereira, A.; Maraschin, M. Banana (Musa spp.) from peel to pulp: Ethnopharmacology, source of bioactive compounds and its relevance for human health. J. Ethnopharmacol. 2015, 160, 149–163. [Google Scholar] [CrossRef]
- Tomekpe, K.; Kwa, M.; Dzomeku, B.M.; Ganry, J. CARBAP and innovation on the plantain banana in Western and Central Africa. Int. J. Agric. Sustain. 2011, 9, 264–273. [Google Scholar] [CrossRef]
- Amankwah, E.A.; Ayim, I.; Dzisi, K.A.; Barimah, J. Nutritional content and functional properties of French Horn, False Horn and FHIA-21. Am. J. Food Technol. 2011, 6, 322–328. [Google Scholar] [CrossRef]
- Marriott, J.; Lancaster, E.A. Bananas and Plantains. In Handbook of Tropical Foods; Chan, J.H.T., Ed.; Marcel Dekker Inc.: New York, NY, USA, 1983; pp. 85–145. [Google Scholar]
- FAOSTAT. 2021. Available online: http://www.fao.org/faostat/en/#data/BC (accessed on 14 August 2021).
- Adi, D.D.; Oduro, I.N.; Tortoe, C. Physicochemical changes in plantain during normal storage ripening. Sci. Afr. 2019, 6, e00164. [Google Scholar] [CrossRef]
- Happi Emaga, T.; Wathelet, B.; Paquot, M. Changements texturaux et biochimiques des fruits du bananier au cours de la maturation. Leur influence sur la préservation de la qualité du fruit et la maîtrise de la maturation. Biotechnol. Agron. Soc. Environ. 2008, 12, 89–98. [Google Scholar]
- Honfo, F.G.; Tenkouano, A.; Coulibaly, O. Banana and plantain-based foods consumption by children and mothers in Cameroon and Southern Nigeria: A comparative study. Afr. J. Food Sci. 2011, 5, 287–291. [Google Scholar]
- Dury, S.; Bricas, N.; Tchango-Tchango, J.; Temple, L.; Bikoi, A. The determinants of urban plantain consumption in Cameroon. Food Qual. Prefer. 2002, 13, 81–88. [Google Scholar] [CrossRef]
- Ngoh Newilah, G.; Tchango-Tchango, J.; Fokou, E.; Etoa, F.X. Processing and food uses of banana and plantains in Cameroon. Fruits 2005, 60, 245–253. [Google Scholar] [CrossRef][Green Version]
- Okolle, J.N.; Fansi, G.H.; Lombi, F.M.; Lang, P.S.; Loubana, P.M. Banana entomological reserach in Cameroon: How far and what next? Afr. J. Plant. Sci. Biotechnol. 2009, 3, 1–19. [Google Scholar]
- Oktay, S.; Sadikoğlu, S. The gastronomic cultures’ impact on the African cuisine. J. Ethn. Foods 2018, 5, 140–146. [Google Scholar] [CrossRef]
- Amah, D.; Stuart, E.; Mignouna, D.; Swennen, R.; Teeken, B. End-user preferences for plantain food products in Nigeria and implications for genetic improvement. Int. J. Food Sci. Technol. 2020. [Google Scholar] [CrossRef]
- Adeoye, I.B.; Oni, O.A. Policy analysis and competitiveness of plantain processing in Southwestern Nigeria. J. Sustain. Dev. Afr. 2013, 15, 135–151. [Google Scholar]
- Horvat, A.; Granato, G.; Fogliano, V.; Luning, P.A. Understanding consumer data use in new product development and the product life cycle in European food firms—An empirical study. Food Qual. Prefer. 2019, 76, 20–32. [Google Scholar] [CrossRef]
- Otto, K.N.; Wood, K.L. Product Design: Techniques in Reverse Engineering and New Product Development; Pearson Education Asia Limited: Beijing, China; Tsinghua University Press: Beijing, China, 2003. [Google Scholar]
- Van Kleef, E.; van Trijp, H.C.M.; Luning, P. Functional foods: Health claim, food product compatibility, and the impact of health claim framing on consumer evaluation. Appetite 2005, 44, 299–308. [Google Scholar] [CrossRef] [PubMed]
- Siró, I.; Kápolna, E.; Kápolna, B.; Lugasi, A. Functional food. Product development, marketing and consumer acceptance—A review. Appetite 2008, 51, 456–467. [Google Scholar] [CrossRef]
- Symmank, C.; Zahn, S.; Rohm, H. Visually suboptimal bananas: How ripeness affects consumer expectation and perception. Appetite 2018, 120, 472–481. [Google Scholar] [CrossRef]
- Li, X.E.; Jervis, S.M.; Drake, M.A. Examining extrinsic factors that influence product acceptance: A review. J. Food Sci. 2015, 80, R901–R909. [Google Scholar] [CrossRef]
- De Pelsmaeker, S.; Gellynck, X.; Delbaere, C.; Declercq, N.; Dewettinck, K. Consumer-driven product development and improvement combined with sensory analysis: A case-study for European filled chocolates. Food Qual. Prefer. 2015, 41, 20–29. [Google Scholar] [CrossRef]
- De Pelsmaeker, S.; Schouteten, J.; Lagast, S.; Dewettinck, K.; Gellynck, X. Is taste the key driver for consumer preference? A conjoint analysis study. Food Qual. Prefer. 2017, 62, 323–331. [Google Scholar] [CrossRef]
- Solheim, R.; Lawless, H.T. Consumer purchase probability affected by attitude towards low-fat foods, liking, private body consciousness and information on fat and price. Food Qual. Prefer. 1996, 7, 137–143. [Google Scholar] [CrossRef]
- Chamorro, A.; Rubio, S.; Miranda, F.J. The region-of-origin (ROO) effect on purchasing preferences. Bri. Food J. 2015, 117, 820–839. [Google Scholar] [CrossRef]
- Hällsten, M.; Edling, C.; Rydgren, J. Social capital, friendship networks, and youth unemployment. Soc. Sci. Res. 2016, 61, 234–250. [Google Scholar] [CrossRef]
- Kouamé, C.A.; Kouassi, N.K.; N’dri, D.Y.; Amani, G.N.G. Plantain (Musa spp., AAB genome) cultivar preference, local processing techniques and consumption patterns of plantain-based foods mostly consumed in urban area of Abidjan, Côte d’Ivoire. Nat. Technol. 2015, 12, 115. [Google Scholar]
- Ayinde, O.E.; Adewumi, M.O.; Folorunsho, W.O. Consumer preference of banana (Musa spp.) in Kwara state, Nigeria. Acta Hortic. 2010, 879, 89–93. [Google Scholar] [CrossRef]
- Dzomeku, B.M.; Osei-Owusu, M.; Ankomah, A.A.; Akyeampong, E.; Darkey, S.K. Sensory evaluation of some cooking bananas in Ghana. J. Appl. Sci. 2006, 6, 835–837. [Google Scholar] [CrossRef]
- Dzomeku, B.M.; Armo-Annor, F.; Adjei-Gyan, K.; Ansah, J.; Nkakwa, A.; Darkey, S.K. On-farm evaluation and consumer acceptability study of selected tetraploid Musa hybrid in Ghana. J. Plant. Sci. 2008, 3, 216–223. [Google Scholar] [CrossRef]
- Marimo, P.; Caron, C.; Van Den Bergh, I.; Crichton, R.; Weltzien, E.; Ortiz, R.; Tumuhimbise, R. Gender and trait preferences for banana cultivation and use in Sub-Saharan Africa: A literature review. Econ. Bot. 2020, 74, 226–241. [Google Scholar] [CrossRef]
- Risvik, E.; Rødbotten, M.; Veflen, N.O. Cross-Cultural Dimensions in Food Choice: Europe, Understanding Consumers of Food Products; Woodhead Publishing Ltd.: Cambridge, UK, 2006. [Google Scholar]
- De Langhe, E. The Establishment of Traditional Plantain Cultivation in the African Rain Forest: A Working Hypothesis. Rethinking Agriculture; Denham, T.P., Irarte, J., Vrydaghs, L., Eds.; Left Coast Press: Walnut Creek, CA, USA, 2007; pp. 361–370. [Google Scholar]
- Lazarevic, V. Encouraging brand loyalty in fickle generation Y consumers. Young Consum. 2012, 13, 45–61. [Google Scholar] [CrossRef]
- Klopčič, M.; Slokan, P.; Erjavec, K. Consumer preference for nutrition and health claims: A multi-methodological approach. Food Qual. Prefer. 2020, 82, 103863. [Google Scholar] [CrossRef]
- Kikulwe, E.M.; Wesseler, J.; Falck-Zepeda, J. Attitudes, perceptions, and trust. Insights from a consumer survey regarding genetically modified banana in Uganda. Appetite 2011, 57, 401–413. [Google Scholar] [CrossRef]
- Sanya, L.N.; Sseguya, H.; Kyazze, F.B.; Diiro, G.M.; Nakazi, F. The role of variety attributes in the uptake of new hybrid bananas among smallholder rural farmers in central Uganda. Agric. Food Secur. 2020, 9, 1–13. [Google Scholar] [CrossRef]
- Hoek, A.C.; Pearson, D.; James, S.W.; Lawrence, M.A.; Friel, S. Healthy and environmentally sustainable food choices: Consumer response to point-of-purchase actions. Food Qual. Prefer. 2017, 58, 94–106. [Google Scholar] [CrossRef]
- Lähteenmäki, L.; Lampila, P.; Grunert, K.; Boztug, Y.; Ueland, Ř.; Ĺström, A. Impact of health-related claims on the perception of other product attributes. Food Policy 2010, 35, 230–239. [Google Scholar] [CrossRef]
- Verbeke, W. Functional foods: Consumer willingness to compromise on taste for health? Food Qual. Prefer. 2006, 17, 126–131. [Google Scholar] [CrossRef]
- La Trobe, H. Farmers’ markets: Consuming local rural produce. Int. J. Consum. Stud. 2001, 25, 181–192. [Google Scholar] [CrossRef]
- Dhamotharan, P.G.; Selvaraj, K.N. Determining consumer preference and willingness to pay for GI registered bananas. J. Intellect. Prop. Rights 2013, 18, 576–583. [Google Scholar]
- Garnett, T.; Mathewson, S.; Angelides, P.; Borthwick, F. Policies and Actions to Shift Eating Patterns: What Works? A Review of the Evidence of the Effectiveness of Interventions Aimed at Shifting Diets in More Sustainable and Healthy Directions; Chatham House: London, UK, 2015. [Google Scholar]
- Jolly, C.M.; Bayard, B.; Awuah, R.T.; Fialor, S.C.; Williams, J.T. Examining the structure of awareness and perceptions of groundnut aflatoxin among Ghanaian health and agricultural professionals and its influence on their actions. J. Soc.-Econ. 2009, 38, 280–287. [Google Scholar] [CrossRef]
- Sabran, M.R.; Jamaluddin, R.; Abdul Mutalib, M.S.; Abdul Rahman, N. Socio-demographic and socio-economic determinants of adults’ knowledge on fungal and aflatoxin contamination in the diets. Asian Pac. J. Trop. Biomed. 2012, S1835–S1841. [Google Scholar] [CrossRef]
- Silva, A.; Caro, J.C.; Magana-Lemus, D. Household food security: Perceptions, behavior and nutritional quality of food purchases. J. Econ. Psychol. 2016, 55, 139–148. [Google Scholar] [CrossRef]
- Basan, R.J.P. Consumer preference of table banana quality by income groups in the Philippines: Hedonic price analysis. Asian J. Agric.Develop. 2016, 13, 21–34. [Google Scholar]
- Kim, H.Y.; Chung, J.-E. Consumer purchase intention for organic personal care products. J. Consum. Mark. 2011, 28, 40–47. [Google Scholar]
- Lange, C.; Issanchou, S.; Combris, P. Expected versus experienced quality: Trade-off with price. Food Qual. Prefer. 2000, 11, 289–297. [Google Scholar] [CrossRef]
- Bruschi, V.; Teuber, R.; Dolgopolova, I. Acceptance and willingness to pay for health-enhancing bakery products-Empirical evidence for young urban Russian consumers. Food Qual. Prefer. 2015, 46, 79–91. [Google Scholar] [CrossRef]
- Wang, O.; De Steur, H.; Gellynck, X.; Verbeke, W. Motives for consumer choice of traditional food and European food in mainland China. Appetite 2015, 87, 143–151. [Google Scholar] [CrossRef]
- Köster, E.P. Diversity in the determinants of food choice: A psychological perspective. Food Qual. Prefer. 2009, 20, 70–82. [Google Scholar] [CrossRef]
- Zepada, L.; Dela, D. Organic and local food consumer behaviour: Alphabet Theory. Int. J. Consum. Stud. 2009, 33, 697–705. [Google Scholar] [CrossRef]
- Hooker, N.H.; Teratanavat, R. Dissecting qualified health claims: Evidence from experimental studies. Critic. Rev. Food Sci. Nutr. 2008, 48, 160–176. [Google Scholar] [CrossRef] [PubMed]




| Characteristics | Country | |
|---|---|---|
| Cameroon (n = 454) | Nigeria (n = 418) | |
| Location of the household (%) | ||
| Rural | 8.8 | 25.1 |
| Urban | 74.4 | 57.7 |
| Peri-urban | 16.8 | 17.2 |
| Female respondents (%) | 61.8 | 62.1 |
| Average age (years) 1 | 38.6 (12.7) | 40.0 (14.1) |
| Household size (number) 1 | 6.9 (3.0) | 5.4 (3.3) |
| Women in household (number) 1 | 3.0 (1.7) | 2.1 (1.8) |
| Children below 5 years of age in household (number) 1 | 1.2 (1.2) | 0.8 (1.0) |
| Marital status (%) | ||
| Never married | 26.5 | 13.6 |
| Married, living with spouse | 59.1 | 72.5 |
| Married, spouse away | 2.4 | 4.5 |
| Widow/Widower | 6.3 | 8.1 |
| Other (Engaged, Separated, Divorced) | 5.7 | 1.3 |
| Average education (years) 1 | 11.2 (4.5) | 13.6 (5.2) |
| Education level (%) | ||
| None | 3.7 | 9.3 |
| Primary | 23.8 | 17.9 |
| Secondary | 41.0 | 47.1 |
| Bachelor | 10.1 | 12.2 |
| Master/Doctorate | 3.2 | 0.5 |
| Other (Graduate, Religious, Adult education) | 0.4 | 13.0 |
| Household annual income (%) | ||
| <USD 600 | 5.9 | 13.9 |
| USD 600–1800 | 41.0 | 51.2 |
| USD 1801–6000 | 46.5 | 28.4 |
| >USD 6000 | 6.6 | 6.5 |
| Main source of household income (%) | ||
| Crop sales | 29.6 | 14.5 |
| Craftmanship | 27.3 | 32.2 |
| Part-time labor | 1.9 | 10.0 |
| Permanent employment | 12.8 | 2.5 |
| Pension | 14.7 | 16.1 |
| Others (Sales of livestock, Food processing, Remittance, Others) | 6.7 | 7.7 |
| Household expense for foods (within 10 parts) 1 | 5.3 (1.6) | 4.5 (1.9) |
| Household expense for plantains (within 10 parts) 1 | 2.1 (1.0) | 1.6 (1.2) |
| Main source of fuel for cooking (%) | ||
| Charcoal | 13.6 | 7.2 |
| Firewood | 38.6 | 17.6 |
| Gas | 44.5 | 53.8 |
| Others (Agricultural byproducts, Electricity) | 3.3 | 21.4 |
| Major source of household water supply for cooking (%) | ||
| Wells | 29.5 | 51.9 |
| Borehole | 1.3 | 39.2 |
| Water conveyance | 25.8 | 0.4 |
| Pipe | 38.4 | 6.0 |
| Others (River/Pond, Others) | 5.0 | 2.5 |
| Products | Boiled Plantain (n = 420) | Roasted Plantain (n = 162) | Fried as Chips 2 (n = 327) | Fried as dodo (n = 350) | Pounded (n = 230) | Porridge (n = 269) |
|---|---|---|---|---|---|---|
| Consumption frequency (%) | ||||||
| 1 time/day | 0.7 | 1.2 | 1.2 | 0.6 | 0.4 | 0.0 |
| >1 time/day | 3.8 | 5.5 | 3.4 | 5.7 | 2.2 | 1.5 |
| Weekly | 50.7 | 29.4 | 39.4 | 43.7 | 28.3 | 27.9 |
| Monthly | 40.5 | 38.0 | 43.7 | 41.4 | 44.3 | 49.4 |
| Occasionally | 4.3 | 25.8 | 12.2 | 8.6 | 24.8 | 21.2 |
| Consumption trend till now (%) | ||||||
| Increasing | 28.1 | 25.9 | 27.0 | 24.6 | 25.5 | 25.7 |
| Constant | 41.0 | 40.7 | 42.6 | 47.0 | 40.7 | 43.9 |
| Decreasing | 31.0 | 33.3 | 30.4 | 28.4 | 33.8 | 30.5 |
| Finger size commonly used | Small, Large | Small, Large | Small, Large | Small, Large | Small, Large | Small, Large |
| Ripening stage (%) | ||||||
| Matured green | 37.9 | 33.2 | 56.3 | 0.2 | 42.7 | 92.7 |
| More yellow than green | 46.6 | 40.6 | 42.2 | 11.7 | 40.2 | 6.6 |
| All yellow | 13.9 | 19.1 | 1.3 | 54.6 | 13.5 | 0.3 |
| Yellow flecked with brown | 1.7 | 7.0 | 0.2 | 33.5 | 3.7 | 0.3 |
| Cooking ingredients | Water, salt | Salt | Vegetable oil, salt, sugar | Vegetable oil, salt | Water, vegetable oil, salt | Water, vegetable oil, salt, soy sauce, spices, tomato, groundnut, meats |
| Common accompaniments | Various sauces, beans, cassava leaf, meats | Vegetables, fruits (avocado, plums, pears), fish, meats | Beans, eggs, fish, meats | Eggs, fish, meats, vegetable sauces, ugali | Various sauces | - |
| Cooking time (min) 1 | 33.6 (12.0) | 13.0 (8.1) | 10.7 (6.7) | 10.3 (7.7) | 43.6 (20.1) | 65.6 (25.7) |
| Products | Boiled Plantain (n = 317) | Roasted Plantain (n = 237) | Fried as Chips (n = 274) | Fried as dodo (n = 406) | Flour 2 (n = 164) | Pounded (n = 89) |
|---|---|---|---|---|---|---|
| Consumption frequency (%) | ||||||
| 1 time/day | 8.2 | 7.2 | 22.6 | 25.6 | 12.2 | 3.4 |
| >1 time/day | 4.1 | 6.8 | 9.5 | 8.6 | 6.1 | 5.6 |
| Weekly | 45.1 | 37.1 | 33.6 | 54.9 | 34.8 | 39.3 |
| Monthly | 18.3 | 21.5 | 13.1 | 6.4 | 20.7 | 22.5 |
| Occasionally | 24.3 | 27.4 | 21.2 | 4.4 | 26.2 | 29.2 |
| Consumption trend till now (%) | ||||||
| Increasing | 58.9 | 54.2 | 60.7 | 73.9 | 61.0 | 51.1 |
| Constant | 24.8 | 24.2 | 23.3 | 17.7 | 23.8 | 27.3 |
| Decreasing | 16.3 | 21.6 | 16.0 | 8.4 | 15.2 | 21.6 |
| Finger size commonly used | Large | Small, Large | Small, Large | Large | Small, Large | Large |
| Ripening stage (%) | ||||||
| Matured green | 64.2 | 25.0 | 70.1 | 1.2 | 95.7 | 88.9 |
| More yellow than green | 16.5 | 38.6 | 29.9 | 20.9 | 3.7 | 7.8 |
| All yellow | 18.5 | 35.2 | 0.0 | 75.4 | 0.6 | 3.3 |
| Yellow flecked with brown | 0.9 | 1.1 | 0.0 | 2.6 | 0.0 | 0.0 |
| Cooking ingredients | Water, Salt | Salt, Sugar | Vegetable oil, Salt, Sugar | Vegetable oil, Salt | Garlic, Onion, Vegetable oil, Fish, Meats | Water, Yam, Salt |
| Common accompaniments | Palm oil, stews, fish, eggs, beans, rice, gari, bread, vegetables | Beans, groundnut, palm oil, rice, | Drinking water, soft drinks | Beans, rice, ugali, gari, eggs, meat, stew | Melon soup, vegetable soup, yam, sweet potato, boiled ripe plantain | Melon soup, vegetable soup, stew sauce, fish, meats, ponmo (a meat from the skin of cows, goats, sheep, etc.) |
| Cooking time (min) 1 | 14.8 (8.7) | 12.1 (6.7) | 10.0 (5.6) | 8.9 (5.5) | 20.0 (12.1) 3 | 31.0 (15.0) |
| Product Factors | Cameroon | ||||
|---|---|---|---|---|---|
| Sex | Age | Education | Household Size | Annual Income 1 | |
| Nutrition | |||||
| Always | 0.42 (0.48) | 40.51 (14.20) | 10.51 (3.02) | 5.51 (1.24) | 0.75 (0.22) |
| Sometimes | 0.44 (0.49) | 40.30 (12.18) | 8.12 (2.04) | 6.03 (1.02) | 0.67 (0.23) |
| Never | 0.45 (0.50) | 39.23 (14.41) | 7.25 (2.31) | 5.67 (0.98) | 0.48 (0.12) |
| F-test | 0.58 | 1.52 | 1.91 * | 0.45 | 1.13 * |
| Food safety | |||||
| Always | 0.46 (0.47) | 44.71 (12.72) | 11.12 (2.15) | 5.08 (1.02) | 0.65 (0.18) |
| Sometimes | 0.42 (0.49) | 40.85 (10.50) | 10.56 (1.57) | 5.25 (2.21) | 0.62 (0.32) |
| Never | 0.42 (0.50) | 41.72 (12.33) | 12.15 (3.01) | 5.43 (1.17) | 0.58 (0.21) |
| F-test | 1.01 | 0.47 | 0.08 | 0.95 | 0.82 |
| Taste | |||||
| Always | 0.48 (0.49) | 40.24 (12.13) | 9.56 (1.82) | 6.12 (2.03) | 0.45 (0.18) |
| Sometimes | 0.37 (0.42) | 41.15 (12.82) | 10.03 (2.03) | 7.14 (1.98) | 0.53 (0.20) |
| Never | 0.32 (0.45) | 40.72 (13.50) | 9.82 (1.14) | 6.57 (2.36) | 0.47 (0.34) |
| F-test | 1.52 ** | 0.05 | 0.70 | 1.06 | 0.81 |
| Appearance | |||||
| Always | 0.47 (0.50) | 39.87 (12.40) | 10.25 (2.03) | 7.28 (2.11) | 0.52 (0.35) |
| Sometimes | 0.39 (0.47) | 38.54 (11.35) | 9.88 (1.95) | 7.54 (2.31) | 0.45 (0.51) |
| Never | 0.42 (0.49) | 39.23 (10.24) | 10.04 (2.56) | 7.08 (2.12) | 0.48 (0.36) |
| F-test | 0.98 | 0.53 | 0.90 | 1.00 | 0.07 |
| Availability | |||||
| Always | 0.41 (0.50) | 40.17 (11.82) | 11.11 (4.05) | 6.02 (2.04) | 0.45 (0.32) |
| Sometimes | 0.43 (0.49) | 39.91 (13.15) | 10.58 (2.03) | 5.78 (2.13) | 0.37 (0.30) |
| Never | 0.45 (0.49) | 39.43 (12.37) | 11.02 (2.12) | 6.74 (3.01) | 0.46 (0.27) |
| F-test | 0.68 | 0.87 | 0.96 | 0.75 | 0.69 |
| Price | |||||
| Always | 0.43 (0.49) | 38.80 (10.84) | 10.12 (2.54) | 7.21 (1.15) | 0.52 (0.34) |
| Sometimes | 0.42 (0.48) | 37.51 (12.31) | 9.86 (3.02) | 5.23 (1.09) | 0.21 (0.18) |
| Never | 0.45 (0.51) | 39.23 (11.57) | 9.44 (2.25) | 4.78 (2.05) | 0.38 (0.41) |
| F-test | 0.97 | 0.00 | 0.70 | 1.35* | 1.07 |
| Size and quantity | |||||
| Always | 0.45 (0.50) | 39.62 (13.03) | 10.23 (2.57) | 6.78 (2.31) | 0.46 (0.35) |
| Sometimes | 0.47 (0.49) | 40.43 (12.46) | 11.01 (2.18) | 5.22 (1.09) | 0.50 (0.29) |
| Never | 0.44 (0.50) | 41.28 (13.25) | 11.14 (2.21) | 5.01 (1.23) | 0.42 (0.41) |
| F-test | 1.10 | 0.72 | 0.51 | 0.64 | 0.41 |
| Package | |||||
| Always | 0.41 (0.49) | 38.83 (12.05) | 9.87 (1.89) | 6.57 (2.15) | 0.44 (0.32) |
| Sometimes | 0.39 (0.50) | 39.22 (9.18) | 10.23 (2.11) | 7.02 (1.89) | 0.37 (0.13) |
| Never | 0.38 (0.48) | 40.17 (10.56) | 10.57 (2.78) | 6.98 (3.01) | 0.46 (0.35) |
| F-test | 0.78 | 0.64 | 0.86 | 0.53 | 0.51 |
| Location of produce | |||||
| Always | 0.38 (0.49) | 42.24 (11.05) | 11.21 (1.85) | 7.18 (2.57) | 0.52 (0.23) |
| Sometimes | 0.37 (0.48) | 41.18 (12.10) | 10.57 (2.22) | 7.01 (1.45) | 0.48 (0.31) |
| Never | 0.35 (0.49) | 43.02 (11.23) | 11.48 (2.09) | 6.74 (2.08) | 0.51 (0.43) |
| F-test | 0.98 | 0.48 | 1.01 | 1.06 | 0.15 |
| Hunger | |||||
| Always | 0.47 (0.49) | 38.72 (9.82) | 12.12 (3.02) | 6.47 (1.75) | 0.47 (0.34) |
| Sometimes | 0.38 (0.49) | 39.13 (12.03) | 12.25 (1.92) | 6.38 (2.21) | 0.41 (0.28) |
| Never | 0.43 (0.50) | 39.46 (10.54) | 11.89 (2.04) | 6.69 (2.05) | 0.50 (0.43) |
| F-test | 0.56 | 0.84 | 0.84 | 0.70 | 1.02 |
| Knowledge | |||||
| Always | 0.45 (0.49) | 45.75 (12.19) | 12.08 (2.15) | 6.89 (3.00) | 0.41 (0.35) |
| Sometimes | 0.47 (0.50) | 40.68 (11.14) | 11.57 (2.32) | 7.18 (2.15) | 0.58 (0.44) |
| Never | 0.43 (0.48) | 41.36 (9.96) | 11.43 (3.11) | 6.47 (2.11) | 0.52 (0.32) |
| F-test | 1.12 | 0.92 | 0.61 | 1.37 | 0.73 |
| Product Factors | Nigeria | ||||
|---|---|---|---|---|---|
| Sex | Age | Education | Household Size | Annual Income 1 | |
| Nutrition | |||||
| Always | 0.48 (0.48) | 40.23 (13.18) | 13.57 (4.12) | 5.09 (1.18) | 0.55 (0.49) |
| Sometimes | 0.42 (0.49) | 44.04 (12.56) | 10.08 (3.51) | 4.57 (0.95) | 0.31 (0.45) |
| Never | 0.44 (0.50) | 43.10 (11.64) | 8.14 (3.23) | 4.98 (2.01) | 0.24 (0.37) |
| F-test | 0.62 | 1.72 | 1.98 ** | 0.52 | 1.08 * |
| Food safety | |||||
| Always | 0.45 (0.49) | 43.54 (11.98) | 12.08 (3.07) | 4.78 (2.14) | 0.48 (0.23) |
| Sometimes | 0.47 (0.50) | 44.15 (12.03) | 12.56 (2.34) | 4.52 (1.55) | 0.42 (0.41) |
| Never | 0.41 (0.48) | 42.08 (13.11) | 10.78 (2.75) | 4.39 (1.72) | 0.40 (0.43) |
| F-test | 1.28 | 0.56 | 0.15 | 1.05 | 0.67 |
| Taste | |||||
| Always | 0.45 (0.49) | 45.75 (13.02) | 11.16 (2.56) | 5.71 (1.87) | 0.56 (0.48) |
| Sometimes | 0.35 (0.50) | 44.38 (14.15) | 12.23 (3.12) | 5.14 (2.02) | 0.48 (0.50) |
| Never | 0.30 (0.48) | 45.69 (13.78) | 13.02 (2.45) | 5.49 (1.28) | 0.52 (0.44) |
| F-test | 1.44 * | 0.10 | 0.87 | 0.98 | 0.92 |
| Appearance | |||||
| Always | 0.42 (0.50) | 41.25 (14.49) | 12.14 (2.76) | 6.01 (2.08) | 0.47 (0.40) |
| Sometimes | 0.43 (0.50) | 41.36 (15.14) | 11.47 (2.85) | 5.78 (1.98) | 0.42 (0.48) |
| Never | 0.44 (0.49) | 40.68 (12.86) | 11.87 (3.03) | 6.13 (2.32) | 0.45 (0.39) |
| F-test | 1.08 | 0.44 | 0.97 | 0.87 | 0.11 |
| Availability | |||||
| Always | 0.43 (0.48) | 41.23 (12.05) | 13.42 (5.02) | 4.87 (1.95) | 0.38 (0.35) |
| Sometimes | 0.44 (0.50) | 42.18 (11.57) | 12.28 (3.12) | 5.13 (2.04) | 0.40 (0.41) |
| Never | 0.40 (0.49) | 41.84 (13.08) | 12.51 (2.87) | 4.58 (2.29) | 0.39 (0.48) |
| F-test | 0.51 | 0.95 | 1.03 | 0.87 | 0.78 |
| Price | |||||
| Always | 0.40 (0.49) | 39.67 (11.45) | 12.03 (2.05) | 6.28 (1.19) | 0.54 (0.52) |
| Sometimes | 0.40 (0.50) | 40.08 (12.08) | 12.28 (3.24) | 5.02 (2.01) | 0.42 (0.29) |
| Never | 0.44 (0.45) | 41.13 (10.92) | 13.04 (3.09) | 4.19 (1.28) | 0.50 (0.32) |
| F-test | 1.03 | 0.05 | 0.67 | 1.47* | 1.11 |
| Size and quantity | |||||
| Always | 0.41 (0.50) | 44.08 (12.15) | 12.08 (3.26) | 4.98 (1.75) | 0.52 (0.50) |
| Sometimes | 0.43 (0.49) | 42.15 (13.11) | 13.19 (2.54) | 5.26 (2.02) | 0.55 (0.41) |
| Never | 0.45 (0.50) | 43.16 (10.75) | 12.59 (2.78) | 5.14 (1.92) | 0.48 (0.28) |
| F-test | 0.89 | 0.58 | 0.63 | 0.60 | 0.37 |
| Package | |||||
| Always | 0.35 (0.50) | 41.68 (12.65) | 11.25 (2.43) | 5.28 (2.04) | 0.53 (0.47) |
| Sometimes | 0.32 (0.50) | 40.15 (10.08) | 12.09 (3.16) | 5.02 (2.22) | 0.48 (0.50) |
| Never | 0.37 (0.48) | 39.48 (12.13) | 12.72 (2.49) | 6.13 (1.75) | 0.50 (0.42) |
| F-test | 0.84 | 0.86 | 0.65 | 0.57 | 0.64 |
| Location of produce | |||||
| Always | 0.40 (0.49) | 44.25 (9.87) | 12.09 (3.51) | 5.45 (1.67) | 0.35 (0.32) |
| Sometimes | 0.37 (0.50) | 46.12 (11.68) | 13.61 (2.52) | 5.87 (2.11) | 0.43 (0.41) |
| Never | 0.39 (0.50) | 43.08 (10.56) | 12.58 (2.71) | 5.13 (1.89) | 0.39 (0.47) |
| F-test | 1.15 | 0.55 | 1.20 | 1.14 | 0.09 |
| Hunger | |||||
| Always | 0.42 (0.50) | 45.05 (12.11) | 14.03 (1.45) | 5.08 (2.03) | 0.42 (0.42) |
| Sometimes | 0.40 (0.49) | 44.21 (11.45) | 14.11 (2.05) | 4.89 (1.14) | 0.50 (0.35) |
| Never | 0.39 (0.48) | 42.09 (13.01) | 13.87 (2.44) | 5.12 (1.97) | 0.44 (0.47) |
| F-test | 0.45 | 0.76 | 0.92 | 0.56 | 0.98 |
| Knowledge | |||||
| Always | 0.37 (0.50) | 46.12 (10.56) | 13.42 (3.45) | 5.87 (2.05) | 0.51 (0.40) |
| Sometimes | 0.32 (0.50) | 44.08 (12.08) | 12.57 (2.87) | 5.13 (2.23) | 0.50 (0.44) |
| Never | 0.35 (0.49) | 45.04 (10.76) | 14.23 (2.98) | 5.46 (1.74) | 0.55 (0.39) |
| F-test | 1.28 | 0.83 | 0.75 | 1.51 | 0.82 |
| No. | Statements | Response (%) | Chi-Square Value | p Value | |
|---|---|---|---|---|---|
| Cameroon | Nigeria | ||||
| 1 | I have purchased plantain products from the market. | 78.5 | 94.5 | 4.59 | 0.01 |
| 2 | I am very satisfied with those plantain products from the market. | 70.1 | 87.6 | 3.25 | 0.04 |
| 3 | I would like to pay slightly more for new plantain products if their quality can improve my health. | 99.3 | 98.1 | 3.02 | 0.38 |
| 4 | I would buy new plantain products if they are more delicious. | 76.2 | 66.2 | 5.14 | 0.12 |
| 5 | I would buy new plantain products if they are more nutritious. | 61.9 | 78.5 | 6.13 | 0.05 |
| 6 | I would buy new plantain products if there is a greater quantity. | 30.2 | 25.0 | 6.78 | 0.21 |
| 7 | I would buy new plantain products if they have a lower price. | 47.6 | 44.6 | 5.45 | 0.28 |
| 8 | I would buy new plantain products if they are available in the market. | 54.3 | 52.2 | 7.52 | 0.32 |
Publisher’s Note: MDPI stays neutral with regard to jurisdictional claims in published maps and institutional affiliations. |
© 2021 by the authors. Licensee MDPI, Basel, Switzerland. This article is an open access article distributed under the terms and conditions of the Creative Commons Attribution (CC BY) license (https://creativecommons.org/licenses/by/4.0/).
Share and Cite
Udomkun, P.; Masso, C.; Swennen, R.; Innawong, B.; Fotso Kuate, A.; Alakonya, A.; Lienou, J.; Ibitoye, D.O.; Vanlauwe, B. Consumer Preferences and Socioeconomic Factors Decided on Plantain and Plantain-Based Products in the Central Region of Cameroon and Oyo State, Nigeria. Foods 2021, 10, 1955. https://doi.org/10.3390/foods10081955
Udomkun P, Masso C, Swennen R, Innawong B, Fotso Kuate A, Alakonya A, Lienou J, Ibitoye DO, Vanlauwe B. Consumer Preferences and Socioeconomic Factors Decided on Plantain and Plantain-Based Products in the Central Region of Cameroon and Oyo State, Nigeria. Foods. 2021; 10(8):1955. https://doi.org/10.3390/foods10081955
Chicago/Turabian StyleUdomkun, Patchimaporn, Cargele Masso, Rony Swennen, Bhundit Innawong, Apollin Fotso Kuate, Amos Alakonya, Jules Lienou, Dorcas Olubunmi Ibitoye, and Bernard Vanlauwe. 2021. "Consumer Preferences and Socioeconomic Factors Decided on Plantain and Plantain-Based Products in the Central Region of Cameroon and Oyo State, Nigeria" Foods 10, no. 8: 1955. https://doi.org/10.3390/foods10081955
APA StyleUdomkun, P., Masso, C., Swennen, R., Innawong, B., Fotso Kuate, A., Alakonya, A., Lienou, J., Ibitoye, D. O., & Vanlauwe, B. (2021). Consumer Preferences and Socioeconomic Factors Decided on Plantain and Plantain-Based Products in the Central Region of Cameroon and Oyo State, Nigeria. Foods, 10(8), 1955. https://doi.org/10.3390/foods10081955

