Influences of Microwave-Assisted Extraction Parameters on Antioxidant Activity of the Extract from Akebia trifoliata Peels
Abstract
:1. Introduction
2. Materials and Methods
2.1. Sample and Chemicals
2.2. Microwave-Assisted Extraction (MAE)
2.3. Maceration Extraction (ME)
2.4. Measurement of Total Phenolic Contents (TPC) and Antioxidant Capacity
2.4.1. Determination of TPC Value
2.4.2. Determination of TEAC Value
2.4.3. Determination of FRAP Value
2.5. Experimental Design and Statistical Analysis
2.5.1. Single-Factor Tests
2.5.2. RSM
2.6. Determination of Main Components in the Extract by HPLC-PDAD
2.7. Statistical Analysis
3. Results and Discussion
3.1. Results of Single-Factor Tests
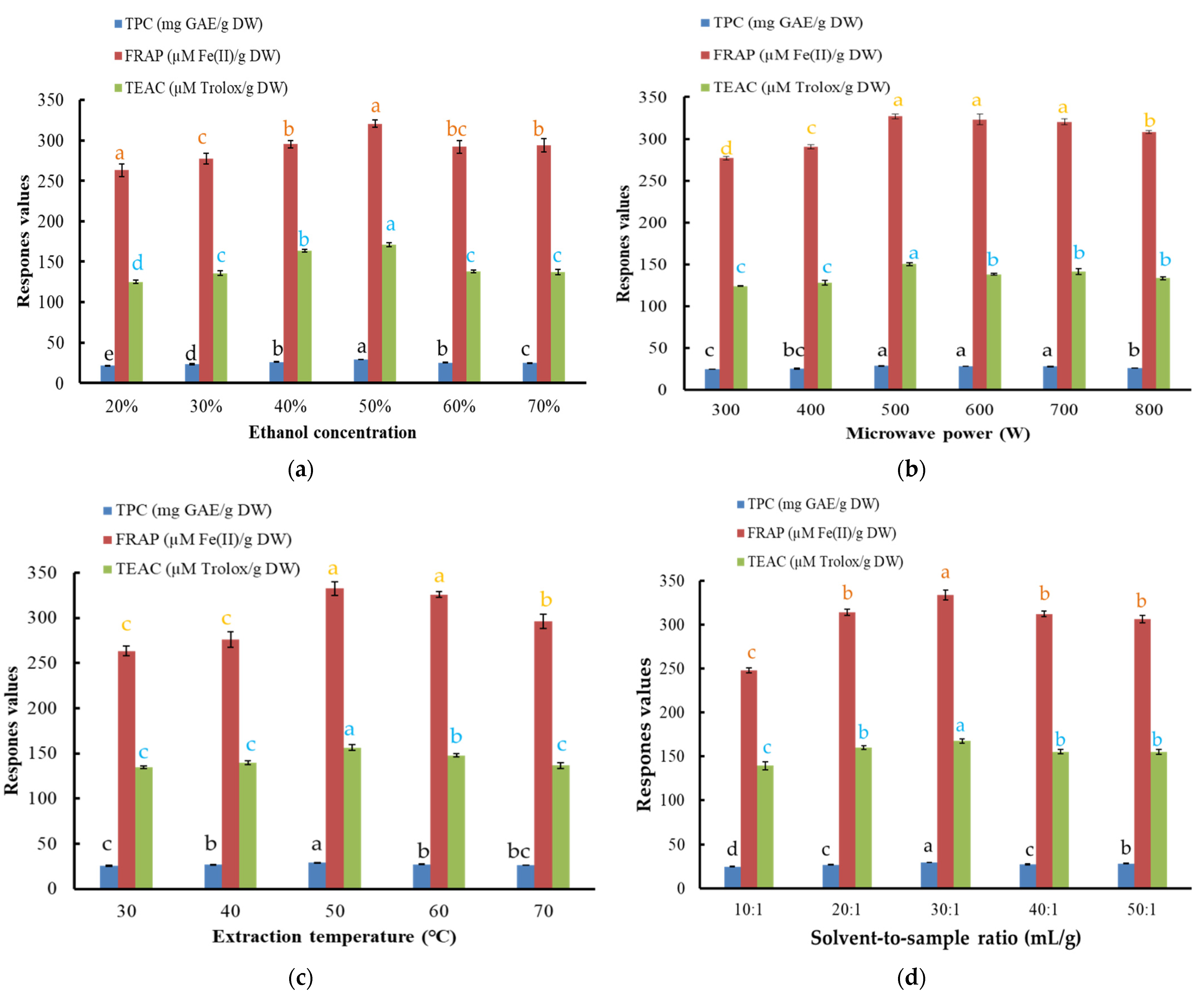
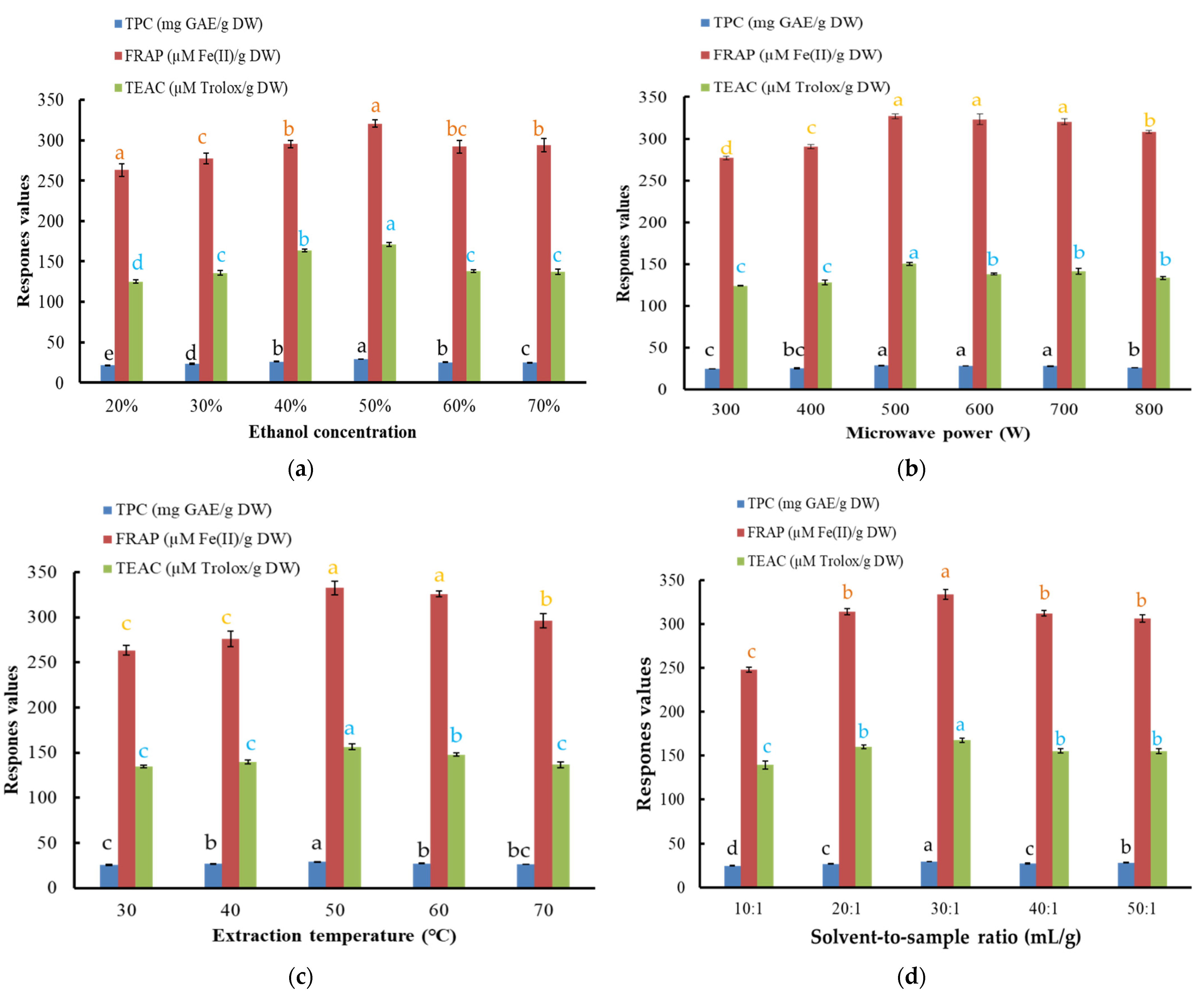
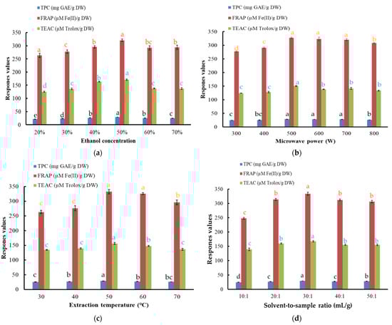
3.1.1. Effect of Ethanol Concentration
3.1.2. Effect of Microwave Power
3.1.3. Effect of Extraction Temperature
3.1.4. Effect of Solvent-to-Material Ratio
3.1.5. Effect of Extraction Time
3.2. Results of RSM Optimization
3.2.1. Results of CCD
3.2.2. Model Fitting
3.2.3. Analysis of Response Surface Plots
3.2.4. Verification of Optimal Extraction Conditions
3.3. Identification of Phenolic Compounds in Akebia trifoliate Peel Extract by HPLC Method
4. Conclusions
Author Contributions
Funding
Institutional Review Board Statement
Informed Consent Statement
Data Availability Statement
Acknowledgments
Conflicts of Interest
References
- Zou, S.Y.; Yao, X.H.; Zhong, C.H.; Zhao, T.T.; Huang, H.W. Genetic analysis of fruit traits and selection of superior clonal lines in Akebia trifoliate (Lardizabalaceae). Euphytica 2018, 214, 111. [Google Scholar] [CrossRef]
- Liu, Y.C.; Wang, H.M.; Zeng, X.H. Research progress of active compounds and pharmacological effects in Akebia trifoliata (Thunb) koidz stems. In Proceedings of the 4th International Conference on Agricultural and Biological Sciences, Hangzhou, China, 26–29 June 2018; Volume 185, p. 012034. [Google Scholar]
- Wang, X.; Yu, N.; Wang, Z.; Qiu, T.; Jiang, L.; Zhu, X.; Sun, Y.; Xiong, H. Akebia trifoliata pericarp extract ameliorates inflammation through NF-κB/MAPK signaling pathways and modifies gut microbiota. Food Funct. 2020, 11, 4682–4696. [Google Scholar] [CrossRef] [PubMed]
- Wang, X.; Yu, N.; Peng, H.; Hu, Z.; Sun, Y.; Zhu, X.; Jiang, L.; Xiong, H. The profiling of bioactives in Akebia trifoliata pericarp and metabolites, bioavailability and in vivo anti-inflammatory activities in DSS-induced colitis mice. Food Funct. 2019, 10, 3977–3991. [Google Scholar] [CrossRef] [PubMed]
- Lu, W.L.; Ren, H.Y.; Liang, C.; Zhang, Y.Y.; Xu, J.; Pan, Z.Q.; Liu, X.M.; Wu, Z.H.; Fang, Z.Q. Akebia trifoliate (Thunb.) koidz seed extract inhibits the proliferation of human hepatocellular carcinoma cell lines via inducing endoplasmic reticulum stress. Evid. Based Complement. Altern. Med. 2014, 2014, 192749. [Google Scholar] [CrossRef] [Green Version]
- Fu, L.; Xu, B.T.; Xu, X.R.; Gan, R.Y.; Zhang, Y.; Xia, E.Q.; Li, H.B. Antioxidant capacities and total phenolic contents of 62 fruits. Food Chem. 2011, 129, 345–350. [Google Scholar] [CrossRef]
- Dao, T.A.T.; Webb, H.K.; Malherbe, F. Optimization of pectin extraction from fruit peels by response surface method: Conventional versus microwave-assisted heating. Food Hydrocoll. 2021, 113, 106475. [Google Scholar]
- Cujic, N.; Savikin, K.; Jankovic, T.; Pljevljakusic, D.; Zdunic, G.; Ibric, S. Optimization of polyphenols extraction from dried chokeberry using maceration as traditional technique. Food Chem. 2016, 194, 135–142. [Google Scholar] [CrossRef]
- Ravanfar, R.; Moein, M.; Niakousari, M.; Tamaddon, A. Extraction and fractionation of anthocyanins from red cabbage: Ultrasonic-assisted extraction and conventional percolation method. J. Food Meas. Charact. 2018, 12, 2271–2277. [Google Scholar] [CrossRef]
- Shang, A.; Luo, M.; Gan, R.Y.; Xu, X.Y.; Xia, Y.; Guo, H.; Liu, Y.; Li, H.B. Effects of microwave-assisted extraction conditions on antioxidant capacity of sweet tea (Lithocarpus polystachyus Rehd.). Antioxidants 2020, 9, 678. [Google Scholar] [CrossRef]
- Martino, E.; Ramaiola, E.; Urbano, M.; Bracco, F.; Collina, S. Microwave-assisted extraction of coumarin and related compounds from Melilotus officinalis (L.) Pallas as an alternative to Soxhlet and ultrasound-assisted extraction. J. Chromatogr. A 2006, 1125, 147–151. [Google Scholar] [CrossRef]
- Chan, C.H.; Yusoff, R.; Ngoh, G.C.; Kung, F.W.L. Microwave-assisted extractions of active ingredients from plants. J. Chromatogr. A 2011, 1218, 6213–6225. [Google Scholar] [CrossRef]
- Vinatoru, M.; Mason, T.J.; Calinescu, I. Ultrasonically assisted extraction (UAE) and microwave assisted extraction (MAE) of functional compounds from plant materials. Trac-Trend Anal. Chem. 2017, 97, 159–178. [Google Scholar] [CrossRef]
- Tang, G.Y.; Zhao, C.N.; Xu, X.Y.; Gan, R.Y.; Cao, S.Y.; Liu, Q.; Shang, A.; Mao, Q.Q.; Li, H.B. Phytochemical composition and antioxidant capacity of 30 Chinese teas. Antioxidants 2019, 8, 180. [Google Scholar] [CrossRef] [Green Version]
- Re, R.; Pellegrini, N.; Proteggente, A.; Pannala, A.; Yang, M.; Rice-Evans, C. Antioxidant activity applying an improved ABTS radical cation decolorization assay. Free Radic. Biol. Med. 1999, 26, 1231–1237. [Google Scholar] [CrossRef]
- Benzie, I.F.F.; Strain, J.J. The ferric reducing ability of plasma (FRAP) as a measure of ‘‘antioxidant power’’: The FRAP assay. Anal. Biochem. 1996, 239, 70–76. [Google Scholar] [CrossRef] [PubMed] [Green Version]
- Xu, D.P.; Zheng, J.; Zhou, Y.; Li, Y.; Li, S.; Li, H.B. Ultrasound-assisted extraction of natural antioxidants from the flower of Limonium sinuatum: Optimization and comparison with conventional methods. Food Chem. 2017, 217, 552–559. [Google Scholar] [CrossRef]
- Zhao, C.N.; Zhang, J.J.; Li, Y.; Meng, X.; Li, H.B. Microwave-assisted extraction of phenolic compounds from Melastoma sanguineum fruit: Optimization and identification. Molecules 2018, 23, 2498. [Google Scholar] [CrossRef] [Green Version]
- Bachtler, S.; Bart, H.J. Increase the yield of bioactive compounds from elder bark and annatto seeds using ultrasound and microwave assisted extraction technologies. Food Bioprod. Process. 2021, 125, 1–13. [Google Scholar] [CrossRef]
- Zhang, H.X.; Birch, J.; Ma, Z.F.; Xie, C.N.; Yang, H.Y.; Bekhit, A.E.; Dias, G. Optimization of microwave-assisted extraction of bioactive compounds from New Zealand and Chinese Asparagus officinalis L. roots. J. Food Sci. Technol. Mysore 2019, 56, 799–810. [Google Scholar] [CrossRef]
- Sanchez-Camargo, A.D.; Ballesteros-Vivas, D.; Buelvas-Puello, L.M.; Martinez-Correa, H.A.; Parada-Alfonso, F.; Cifuentes, A.; Ferreira, S.R.S.; Gutierrez, L.F. Microwave-assisted extraction of phenolic compounds with antioxidant and anti-proliferative activities from supercritical CO2 pre-extracted mango peel as valorization strategy. Food Sci. Technol. Lebensm. Wiss. Technol. 2021, 137, 110414. [Google Scholar] [CrossRef]
- Aourach, M.; Gonzalez-de-Peredo, A.V.; Vazquez-Espinosa, M.; Essalmani, H.; Palma, M.; Barbero, G.F. Optimization and comparison of ultrasound and microwave-assisted extraction of phenolic compounds from cotton-lavender (Santolina chamaecyparissus L.). Agronomy 2021, 11, 84. [Google Scholar] [CrossRef]
- Galanakis, C.M. Recovery of high added-value components from food wastes: Conventional, emerging technologies and commercialized applications. Trends Food Sci. Technol. 2012, 26, 68–87. [Google Scholar] [CrossRef]
- Deng, G.F.; Shen, C.; Xu, X.R.; Kuang, R.D.; Guo, Y.J.; Zeng, L.S.; Gao, L.L.; Lin, X.; Xie, J.F.; Xia, E.Q.; et al. Potential of fruit wastes as natural resources of bioactive compounds. Int. J. Mol. Sci. 2012, 13, 8308–8323. [Google Scholar] [CrossRef] [PubMed] [Green Version]
- Sakakibara, H.; Honda, Y.; Nakagawa, S.; Ashida, H.; Kanazawa, K. Simultaneous determination of all polyphenols in vegetables, fruits, and teas. J. Agric. Food Chem. 2003, 51, 571–581. [Google Scholar] [CrossRef]
- Zamani-Garmsiri, F.; Ghasempour, G.; Aliabadi, M.; Hashemnia, S.M.R.; Emamgholipour, S.; Meshkani, R. Combination of metformin and chlorogenic acid attenuates hepatic steatosis and inflammation in high-fat diet fed mice. IUBMB Life 2021, 73, 252–263. [Google Scholar] [CrossRef]
- Wang, D.; Hou, J.X.; Wan, J.D.; Yang, Y.; Liu, S.; Li, X.Q.; Li, W.Z.; Dai, X.Z.; Zhou, P.; Liu, W.H.; et al. Dietary chlorogenic acid ameliorates oxidative stress and improves endothelial function in diabetic mice via Nrf2 activation. J. Int. Med. Res. 2021, 49, 0300060520985363. [Google Scholar]
- Zeng, A.Q.; Liang, X.; Zhu, S.M.; Liu, C.; Wang, S.; Zhang, Q.X.; Zhao, J.N.; Song, L.J. Chlorogenic acid induces apoptosis, inhibits metastasis and improves antitumor immunity in breast cancer via the NF-kappa B signaling pathway. Oncol. Rep. 2021, 45, 717–727. [Google Scholar] [CrossRef]
- Jiang, Y.F.; Nan, H.; Shi, N.; Hao, W.F.; Dong, J.E.; Chen, H.Y. Chlorogenic acid inhibits proliferation in human hepatoma cells by suppressing noncanonical NF-kappa B signaling pathway and triggering mitochondrial apoptosis. Mol. Biol. Rep. 2021. [Google Scholar] [CrossRef]
- Lu, H.; Tian, Z.; Cui, Y.; Liu, Z.; Ma, X. Chlorogenic acid: A comprehensive review of the dietary sources, processing effects, bioavailability, beneficial properties, mechanisms of action, and future directions. Compr. Rev. Food Sci. Food Saf. 2020, 19, 3130–3158. [Google Scholar] [CrossRef]
- Choi, Y.; Seo, H.; Cho, M.; Kim, J.; Chung, H.S.; Lee, I.; Kim, M.J. Rutin inhibits DRP1-mediated mitochondrial fission and prevents ethanol-induced hepatotoxicity in HepG2 cells and zebrafish. Anim. Cells Syst. 2021, 25, 74–81. [Google Scholar] [CrossRef]
- Chang, W.T.; Huang, S.C.; Cheng, H.L.; Chen, S.C.; Hsu, C.L. Rutin and gallic acid regulates mitochondrial functions via the SIRT1 pathway in C2C12 myotubes. Antioxidants 2021, 10, 286. [Google Scholar] [CrossRef]
- Ferreira, R.S.; Teles-Souza, J.; Dos Santos Souza, C.; Pereira, E.P.L.; de Araujo, F.M.; da Silva, A.B.; Castro, E.S.J.H.; Nonose, Y.; Nunez-Figueredo, Y.; de Assis, A.M.; et al. Rutin improves glutamate uptake and inhibits glutamate excitotoxicity in rat brain slices. Mol. Biol. Rep. 2021, 48, 1475–1483. [Google Scholar] [CrossRef]
- Kabelova, A.; Malinska, H.; Markova, I.; Oliyarnyk, O.; Chylikova, B.; Seda, O. Ellagic acid affects metabolic and transcriptomic profiles and attenuates features of metabolic syndrome in adult male rats. Nutrients 2021, 13, 804. [Google Scholar] [CrossRef]
- Ghadimi, M.; Foroughi, F.; Hashemipour, S.; Nooshabadi, M.R.; Ahmadi, M.H.; Yari, M.G.; Kavianpour, M.; Haghighian, H.K. Decreased insulin resistance in diabetic patients by influencing Sirtuin1 and Fetuin-A following supplementation with ellagic acid: A randomized controlled trial. Diabetol. Metab. Syndr. 2021, 13, 16. [Google Scholar] [CrossRef]







| Selected Variables (Symbol) | Units | Coded Levels | ||||
|---|---|---|---|---|---|---|
| −1.68 | −1 | 0 | 1 | 1.68 | ||
| Ethanol concentration (X1) | % (v/v) | 33.18 | 40 | 50 | 60 | 66.82 |
| Solvent-to-material (X2) | mL/g | 13.18 | 20 | 30 | 40 | 46.82 |
| Extraction time (X3) | min | 23.18 | 30 | 40 | 50 | 56.82 |
| Run | X1 | X2 | X3 | Y (Actual Response Values) | ||
|---|---|---|---|---|---|---|
| Ethanol Concentration, % (v/v) | Solvent-to-Material mL/g | Extraction Time min | FRAP (µmol Fe(II)/g) | TEAC (µmol Trolox/g) | TPC (mg Gallic acid/g) | |
| 1 | 60 (1) | 20 (−1) | 30 (−1) | 298.98 | 150.37 | 29.49 |
| 2 | 50 (0) | 30 (0) | 23.18 (−1.68) | 337.76 | 172.84 | 31.95 |
| 3 | 50 (0) | 30 (0) | 56.82 (1.68) | 316.47 | 163.84 | 31.25 |
| 4 | 50 (0) | 30 (0) | 40 (0) | 343.04 | 178.13 | 30.58 |
| 5 | 50 (0) | 13.18 (−1.68) | 40 (0) | 343.09 | 167.69 | 32.44 |
| 6 | 33.18 (−1.68) | 30 (0) | 40 (0) | 324.19 | 162.56 | 31.85 |
| 7 | 50 (0) | 30 (0) | 40 (0) | 347.47 | 197.13 | 32.18 |
| 8 | 60 (1) | 20 (−1) | 50 (1) | 286.31 | 142.66 | 26.84 |
| 9 | 66.82 (1.68) | 30 (0) | 40 (0) | 319.33 | 182.41 | 28.34 |
| 10 | 50 (0) | 30 (0) | 40 (0) | 372.19 | 195.99 | 32.72 |
| 11 | 60 (1) | 40 (1) | 30 (−1) | 274.34 | 115.56 | 27.17 |
| 12 | 50 (0) | 46.82 (1.68) | 40 (0) | 324.02 | 176.56 | 30.69 |
| 13 | 40 (−1) | 40 (1) | 30 (−1) | 317.01 | 167.98 | 30.08 |
| 14 | 50 (0) | 30 (0) | 40 (0) | 376.76 | 193.56 | 33.04 |
| 15 | 50 (0) | 30 (0) | 40 (0) | 369.61 | 197.70 | 32.06 |
| 16 | 40 (−1) | 20 (−1) | 50 (1) | 325.46 | 152.66 | 30.42 |
| 17 | 40 (−1) | 40 (1) | 50 (1) | 340.44 | 172.17 | 31.85 |
| 18 | 40 (−1) | 20 (−1) | 30 (−1) | 355.65 | 169.23 | 32.04 |
| 19 | 60 (1) | 40 (1) | 50 (1) | 325.01 | 187.22 | 32.55 |
| 20 | 50 (0) | 30 (0) | 40 (0) | 369.04 | 198.56 | 31.03 |
| Response Values | Source | Sum of Squares | df | Mean Square | F Value | p Value | Significance |
|---|---|---|---|---|---|---|---|
| FRAP | Model | 10,628.33 | 9 | 1180.93 | 7.28 | 0.0023 | significant |
| Residual | 1622.44 | 10 | 162.24 | ||||
| Lack of Fit | 1199.41 | 5 | 239.88 | 2.84 | 0.1387 | not significant | |
| Pure Error | 423.03 | 5 | 84.61 | ||||
| Cor Total | 12,250.77 | 19 | |||||
| R2 | 0.8676 | ||||||
| Adjusted R2 | 0.7484 | ||||||
| C.V.% | 3.78 | ||||||
| TEAC | Model | 5420.07 | 9 | 602.23 | 6.52 | 0.0036 | significant |
| Residual | 923.86 | 10 | 92.39 | ||||
| Lack of Fit | 734.73 | 5 | 146.95 | 3.88 | 0.0813 | not significant | |
| Pure Error | 189.13 | 5 | 37.83 | ||||
| Cor Total | 6343.92 | 19 | |||||
| R2 | 0.8544 | ||||||
| Adjusted R2 | 0.7233 | ||||||
| C.V.% | 5.42 | ||||||
| TPC | Model | 37.43 | 9 | 4.16 | 3.88 | 0.0230 | significant |
| Residual | 10.72 | 10 | 1.07 | ||||
| Lack of Fit | 7.29 | 5 | 1.46 | 2.13 | 0.2136 | not significant | |
| Pure Error | 3.43 | 5 | 0.6858 | ||||
| Cor Total | 48.15 | 19 | |||||
| R2 | 0.7773 | ||||||
| Adjusted R2 | 0.5769 | ||||||
| C.V.% | 3.32 |
| Model Parameter | FRAP | TEAC | TPC | |||
|---|---|---|---|---|---|---|
| Coefficient | p Value | Coefficient | p Value | Coefficient | p Value | |
| X1 | −8.28 | 0.0373 | 4.51 | 0.1136 | −0.8292 | 0.0143 |
| X2 | 0.0098 | 0.9775 | 10.06 | 0.0031 | 0.2212 | 0.4482 |
| X3 | −3.41 | 0.3454 | −4.25 | 0.1336 | −0.1026 | 0.7220 |
| X1X2 | 10.10 | 0.0489 | 11.14 | 0.0083 | 0.8785 | 0.0373 |
| X1X3 | −0.2619 | 0.9548 | −2.67 | 0.4508 | −0.0665 | 0.8595 |
| X2X3 | 8.76 | 0.0803 | 0.3095 | 0.9292 | 1.04 | 0.0177 |
| X12 | −16.32 | 0.0007 | −7.70 | 0.0125 | −0.8696 | 0.0097 |
| X22 | −12.78 | 0.034 | −7.83 | 0.0114 | −0.3293 | 0.2551 |
| X32 | −15.56 | 0.0009 | −9.16 | 0.0047 | −0.3167 | 0.2726 |
| Intercept | 367.20 | 194.18 | 32.18 | |||
| Response Values | Microwave-Assisted Extraction | Maceration Extraction | |
|---|---|---|---|
| Predicted | Actual | ||
| TPC (mg GAE/g DW) | 32.23 | 33.17 ± 0.62 | 26.28 ± 0.38 |
| FRAP (µM Fe(II)/g DW) | 366.59 | 356.51 ± 3.06 | 297.66 ± 1.37 |
| TEAC (µM Trolox/g DW) | 196.18 | 191.12 ± 3.53 | 149.54 ± 1.87 |
Publisher’s Note: MDPI stays neutral with regard to jurisdictional claims in published maps and institutional affiliations. |
© 2021 by the authors. Licensee MDPI, Basel, Switzerland. This article is an open access article distributed under the terms and conditions of the Creative Commons Attribution (CC BY) license (https://creativecommons.org/licenses/by/4.0/).
Share and Cite
Luo, M.; Zhou, D.-D.; Shang, A.; Gan, R.-Y.; Li, H.-B. Influences of Microwave-Assisted Extraction Parameters on Antioxidant Activity of the Extract from Akebia trifoliata Peels. Foods 2021, 10, 1432. https://doi.org/10.3390/foods10061432
Luo M, Zhou D-D, Shang A, Gan R-Y, Li H-B. Influences of Microwave-Assisted Extraction Parameters on Antioxidant Activity of the Extract from Akebia trifoliata Peels. Foods. 2021; 10(6):1432. https://doi.org/10.3390/foods10061432
Chicago/Turabian StyleLuo, Min, Dan-Dan Zhou, Ao Shang, Ren-You Gan, and Hua-Bin Li. 2021. "Influences of Microwave-Assisted Extraction Parameters on Antioxidant Activity of the Extract from Akebia trifoliata Peels" Foods 10, no. 6: 1432. https://doi.org/10.3390/foods10061432
APA StyleLuo, M., Zhou, D.-D., Shang, A., Gan, R.-Y., & Li, H.-B. (2021). Influences of Microwave-Assisted Extraction Parameters on Antioxidant Activity of the Extract from Akebia trifoliata Peels. Foods, 10(6), 1432. https://doi.org/10.3390/foods10061432

