A Comparative Analysis of Novel Deep Learning and Ensemble Learning Models to Predict the Allergenicity of Food Proteins
Abstract
1. Introduction
2. Materials and Methods
2.1. Construction of Datasets
2.2. Representation of Sequences of Food Allergens
2.3. Artificial Intelligence Models
2.3.1. Deep Learning Model
2.3.2. Ensemble Learning Models
Light Gradient Boosting Machine (LightGBM)
Extreme Gradient Boosting (XGBoost)
Random Forest (RF)
2.3.3. Previous Machine Learning Models
2.4. Performance Evaluation of Models
2.5. Experimental Set Up
3. Results
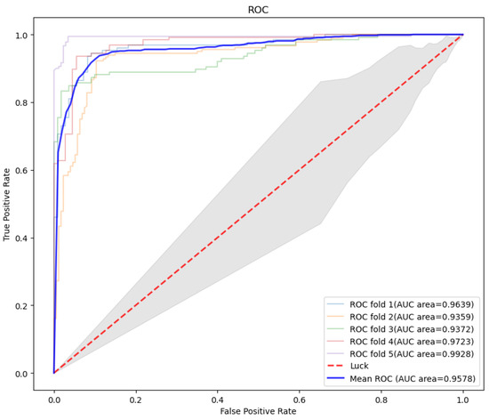
3.1. Performance of Deep Learning Models
3.2. Performance of Ensemble Learning Models
3.3. Performance of Previous Machine Learning Models
4. Discussion
5. Conclusions
Author Contributions
Funding
Institutional Review Board Statement
Informed Consent Statement
Data Availability Statement
Conflicts of Interest
References
- NIAID-Sponsored Expert Panel. Guidelines for the Diagnosis and Management of Food Allergy in the United States: Report of the NIAID-Sponsored Expert Panel. J. Allergy Clin. Immunol. 2012, 126, S1–S58. [Google Scholar]
- Carrard, A.; Rizzuti, D.; Sokollik, C. Update on food allergy. J. Allergy Clin. Immunol. 2015, 70, 1511–1520. [Google Scholar] [CrossRef] [PubMed]
- Dong, J.H.; Pan, C.; Wang, X.; Yuam, P.; Xia, K.; Han, X.F.; Liang, A.M. Research Advance in Food Allergy of Children and Dietary Intervention Therapy. Sci. Technol. Food Ind. 2020, 41, 339–343. [Google Scholar]
- Lee, E.; Jeong, K.; Shin, Y.S.; Nahm, D.H.; Lee, S. Causes of food allergy according to age and severity: A recent 10-year retrospective study from a single tertiary hospital. Allergy Asthma Respir. Dis. 2020, 8, 80. [Google Scholar] [CrossRef]
- Costa, J.; Bavaro, S.L.; Benedé, S.; Diaz-Perales, A.; Bueno-Diaz, C.; Gelencser, E.; Klueber, J.; Larré, C.; Lozano-Ojalvo, D.; Lupi, R.; et al. Are Physicochemical Properties Shaping the Allergenic Potency of Plant Allergens? Clin. Rev. Allergy Immunol. 2020. [Google Scholar] [CrossRef] [PubMed]
- Costa, J.; Villa, C.; Verhoeckx, K.; Cirkovic-Velickovic, T.; Schrama, D.; Roncada, P.; Rodrigues, P.M.; Piras, C.; Martín-Pedraza, L.; Monaci, L.; et al. Are Physicochemical Properties Shaping the Allergenic Potency of Animal Allergens? Clin. Rev. Allergy Immunol. 2021. [Google Scholar] [CrossRef]
- Arya, C.; Jantwal, C. A Review on Identified Major Food Allergens: Characteristics and Role in Food Allergy. Indian J. Nutr. Diet 2017, 54, 346. [Google Scholar] [CrossRef]
- Guarneri, F.; Guarneri, C.; Benvenga, S. Identification of Potentially Cross-Reactive Peanut-Lupine Proteins by Computer-Assisted Search for Amino Acid Sequence Homology. Int. Arch. Allergy Immunol. 2005, 138, 273–277. [Google Scholar] [CrossRef]
- Goodman, R.E. Practical and predictive bioinformatics methods for the identification of potentially cross-reactive protein matches. Mol. Nutr. Food Res. 2006, 50, 655–660. [Google Scholar] [CrossRef] [PubMed]
- Lee, M.M.; Chan, M.K.; Ralf, B. Simple is beautiful: A straightforward approach to improve the delineation of true and false positives in PSI-BLAST searches. Bioinformatics 2008, 24, 1339–1343. [Google Scholar] [CrossRef][Green Version]
- Hayes, M.; Rougé, P.; Barre, A.; Herouet-Guicheney, C.; Roggen, E.L. In silico tools for exploring potential human allergy to proteins. Drug Discov. Today Dis. Models 2015, 17, 3–11. [Google Scholar] [CrossRef]
- Soeria-Atmadja, D.; Lundell, T.; Gustafsson, M.G.; Hammerling, U. Computational detection of allergenic proteins attains a new level of accuracy with in silico variable-length peptide extraction and machine learning. Nucleic Acids Res. 2006, 34, 3779–3793. [Google Scholar] [CrossRef][Green Version]
- Soeria-Atmadja, D.; Zorzet, A.; Gustafsson, M.G.; Hammerling, U. Statistical Evaluation of Local Alignment Features Predicting Allergenicity Using Supervised Classification Algorithms. Int. Arch. Allergy Immunol. 2004, 133, 101–112. [Google Scholar] [CrossRef]
- Mohabatkar, H.; Mohammad Beigi, M.; Abdolahi, K.; Mohsenzadeh, S. Prediction of Allergenic Proteins by Means of the Concept of Chou’s Pseudo Amino Acid Composition and a Machine Learning Approach. Med. Chem. 2013, 9, 133–137. [Google Scholar] [CrossRef]
- Behbahani, M.; Rabiei, P.; Mohabatkar, H. A Comparative Analysis of Allergen Proteins between Plants and Animals Using Several Computational Tools and Chou’s PseAAC Concept. Int. Arch. Allergy Immunol. 2020, 181, 1–9. [Google Scholar] [CrossRef] [PubMed]
- Sharma, N.; Patiyal, S.; Dhall, A.; Pande, A.; Arora, C. AlgPred 2.0: An improved method for predicting allergenic proteins and mapping of IgE epitopes. Brief. Bioinform. 2020, bbaa294. [Google Scholar] [CrossRef]
- Ivan, D.; Lyudmila, N.; Irini, D.; Ivan, B. AllergenFP: Allergenicity prediction by descriptor fingerprints. Bioinformatics 2014, 30, 846–851. [Google Scholar]
- Dang, H.X.; Lawrence, C.B. Allerdictor: Fast allergen prediction using text classification techniques. Bioinformatics 2014, 30, 1120. [Google Scholar] [CrossRef] [PubMed]
- Vig, J.; Madani, A.; Varshney, L.R.; Xiong, C.; Rajani, N.F. BERTology Meets Biology: Interpreting Attention in Protein Language Models. arXiv 2020, arXiv:2006.15222. [Google Scholar]
- Long, H.; Liao, B.; Xu, X.; Yang, J. A Hybrid Deep Learning Model for Predicting Protein Hydroxylation Sites. Int. J. Mol. Sci. 2018, 19, 2817. [Google Scholar] [CrossRef] [PubMed]
- Liang, D.; Yi, B. Two-stage three-way enhanced technique for ensemble learning in inclusive policy text classification. Info. Sci. 2020, 547, 271–288. [Google Scholar] [CrossRef]
- Maeta, K.; Nishiyama, Y.; Fujibayashi, K.; Gunji, T.; Sasabe, N.; Iijima, K.; Naito, T. Prediction of Glucose Metabolism Disorder Risk Using a Machine Learning Algorithm: Pilot Study. JMIR Diabetes 2018, 3, e10212. [Google Scholar] [CrossRef]
- Chou, K.C. Prediction of protein cellular attributes using pseudo amino acid composition. Proteins 2001, 43, 246–255. [Google Scholar] [CrossRef]
- Elnaggar, A.; Heinzinger, M.; Dallago, C.; Rihawi, G.; Wang, Y.; Jones, L.; Rost, B. ProtTrans: Towards Cracking the Language of Life’s Code Through Self-Supervised Deep Learning and High Performance Computing. arXiv 2020, arXiv:2007.06225. [Google Scholar]
- Sun, X.; Liu, M.; Sima, Z. A novel cryptocurrency price trend forecasting model based on LightGBM. Financ. Res. Lett. 2020, 32, 101084. [Google Scholar] [CrossRef]
- Wang, Y.; Wang, T. Application of Improved LightGBM Model in Blood Glucose Prediction. Appl. Sci. 2020, 10, 3227. [Google Scholar] [CrossRef]
- Pang, L.; Wang, J.; Zhao, L.; Wang, C.; Zhan, H. A Novel Protein Subcellular Localization Method with CNN-XGBoost Model for Alzheimer’s Disease. Front. Genet. 2019, 9, 751. [Google Scholar] [CrossRef] [PubMed]
- Westerhout, J.; Krone, T.; Snippe, A.; Babé, L.; McClain, S.; Ladics, G.S.; Houben, G.F.; Verhoeckx, K. Allergenicity prediction of novel and modified proteins: Not a mission impossible! Development of a Random Forest allergenicity prediction model. Regul. Toxicol. Pharmacol. 2019, 107, 104422. [Google Scholar] [CrossRef]
- Chuan, T.J. Prediction of protein allergenicity using local description of amino acid sequence. Front. Biosci. 2008, 13, 6072–6078. [Google Scholar]
- Cheng, M.H.; Chuan, T.J.; Tammi, M.T.; Fabio, R. AllerHunter: A SVM-Pairwise System for Assessment of Allergenicity and Allergic Cross-Reactivity in Proteins. PLoS ONE 2009, 4, e5861. [Google Scholar]
- Dimitrov, I.; Flower, D.R.; Doytchinova, I. AllerTOP—A server for in silico prediction of allergens. J. Mol. Modeling 2013, 14, S4. [Google Scholar] [CrossRef] [PubMed]
- Dimitrov, I.; Bangov, I.; Flower, D.R.; Doytchinova, I. AllerTOP v.2—A server for in silico prediction of allergens. J. Mol. Modeling 2014, 20, 2278. [Google Scholar] [CrossRef] [PubMed]







| Model | Key Parameters Names and Corresponding Values |
|---|---|
| LightGBM | n_estimators = 400, learning_rate = 0.1, max_depth = 5, num_leaves = 32 |
| XGBoost | learning_rate = 0.0001, n_estimators = 1000, max_depth = 5, subsample = 0.8, seed = 27 |
| RF | n_estimators = 60, max_depth = 13, min_samples_split = 120, min_samples_leaf = 20, max_features = 7 |
| Model | Acc | Recall | Prec | F1 |
|---|---|---|---|---|
| LightGBM | 0.8686 ± 0.0132 | 0.8793 ± 0.0250 | 0.8571 ± 0.0388 | 0.8684 ± 0.0098 |
| XGBoost | 0.8186 ± 0.0248 | 0.7778 ± 0.0316 | 0.8426 ± 0.0491 | 0.7981 ± 0.0235 |
| RF | 0.7797 ± 0.0370 | 0.7586 ± 0.0449 | 0.7857 ± 0.0544 | 0.7720 ± 0.0182 |
| Model | Key Parameters Names and Corresponding Values |
|---|---|
| SVM | C = 1.0, kernel = ‘rbf’, gamma = 0.01 |
| K-NN | n_neighbors = 5, n_jobs = 1 |
| NB | alpha = 0.9 |
| Model | Acc | Recall | Prec | F1 |
|---|---|---|---|---|
| SVM | 0.7418 ± 0.0420 | 0.7032 ± 0.0443 | 0.7591 ± 0.0524 | 0.7303 ± 0.0389 |
| K-NN | 0.7722 ± 0.0234 | 0.7436 ± 0.0385 | 0.7838 ± 0.0410 | 0.7630 ± 0.0132 |
| NB | 0.7203 ± 0.0375 | 0.6293 ± 0.0466 | 0.7604 ± 0.0517 | 0.6891 ± 0.0221 |
| Model Type | Model Name | Prediction Accuracy (%) | Time-Consuming | Computing Equipment |
|---|---|---|---|---|
| Deep Learning | BERT | 93.10 | About 19 500 s | NVIDIA® Tesla T4 GPU, accelerated by CUDA |
| Ensemble Learning | LightGBM | 86.86 | About 100 s | CPU Intel Core I7-6700HQ, 3.5 GHz, 4 GB memory |
| XGBoost | 81.86 | About 125 s | ||
| RF | 77.97 | About 90 s | ||
| Previous Machine Learning | SVM | 74.18 | About 75 s | |
| K-NN | 77.22 | About 70 s | ||
| NB | 72.03 | About 60 s |
Publisher’s Note: MDPI stays neutral with regard to jurisdictional claims in published maps and institutional affiliations. |
© 2021 by the authors. Licensee MDPI, Basel, Switzerland. This article is an open access article distributed under the terms and conditions of the Creative Commons Attribution (CC BY) license (https://creativecommons.org/licenses/by/4.0/).
Share and Cite
Wang, L.; Niu, D.; Zhao, X.; Wang, X.; Hao, M.; Che, H. A Comparative Analysis of Novel Deep Learning and Ensemble Learning Models to Predict the Allergenicity of Food Proteins. Foods 2021, 10, 809. https://doi.org/10.3390/foods10040809
Wang L, Niu D, Zhao X, Wang X, Hao M, Che H. A Comparative Analysis of Novel Deep Learning and Ensemble Learning Models to Predict the Allergenicity of Food Proteins. Foods. 2021; 10(4):809. https://doi.org/10.3390/foods10040809
Chicago/Turabian StyleWang, Liyang, Dantong Niu, Xinjie Zhao, Xiaoya Wang, Mengzhen Hao, and Huilian Che. 2021. "A Comparative Analysis of Novel Deep Learning and Ensemble Learning Models to Predict the Allergenicity of Food Proteins" Foods 10, no. 4: 809. https://doi.org/10.3390/foods10040809
APA StyleWang, L., Niu, D., Zhao, X., Wang, X., Hao, M., & Che, H. (2021). A Comparative Analysis of Novel Deep Learning and Ensemble Learning Models to Predict the Allergenicity of Food Proteins. Foods, 10(4), 809. https://doi.org/10.3390/foods10040809

