Increased Provision of Bioavailable Mg through Vegetables Could Significantly Reduce the Growing Health and Economic Burden Caused by Mg Malnutrition
Abstract
1. Introduction
2. Materials and Methods
2.1. Magnesium Content in Major Vegetables
2.2. Health and Economic Burden Attributed to Mg Deficiency
2.3. Scenario Analysis
2.4. Statistical Analysis
3. Results
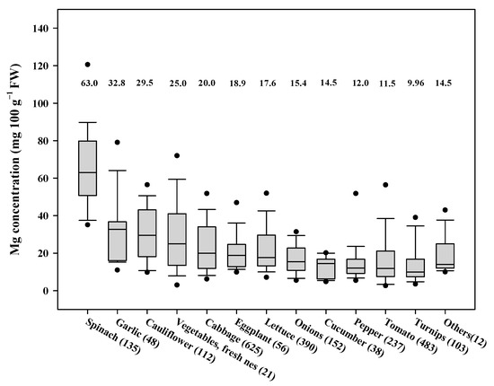
3.1. Large Variation in Vegetable Mg Content and Imbalanced Vegetable Production Exist Globally
3.2. Current Health and Economic Burden Attributed to Mg Deficiency
3.3. Health and Economic Burden Attributed to Mg Deficiency under Different Mg Availability Scenarios
4. Discussion
5. Conclusions
Supplementary Materials
Author Contributions
Funding
Acknowledgments
Conflicts of Interest
References
- Razzaque, M. Magnesium: Are we consuming enough? Nutrients 2018, 10, 1863. [Google Scholar] [CrossRef] [PubMed]
- Pinotti, L.; Manoni, M.; Ferrari, L.; Tretola, M.; Cazzola, R.; Givens, I. The Contribution of Dietary Magnesium in Farm Animals and Human Nutrition. Nutrients 2021, 13, 509. [Google Scholar] [CrossRef] [PubMed]
- Al Alawi, A.M.; Majoni, S.W.; Falhammar, H. Magnesium and Human Health: Perspectives and Research Directions. Int. J. Endocrinol. 2018, 2018, 9041694. [Google Scholar] [CrossRef] [PubMed]
- Costello, R.B.; Elin, R.J.; Rosanoff, A.; Wallace, T.C.; Guerrero-Romero, F.; Hruby, A.; Lutsey, P.L.; Nielsen, F.H.; Rodriguez-Moran, M.; Song, Y.; et al. Perspective: The Case for an Evidence-Based Reference Interval for Serum Magnesium: The Time Has Come. Adv. Nutr. 2016, 7, 977–993. [Google Scholar] [CrossRef] [PubMed]
- Del, G.L.; Imamura, F.; Wu, J.H.; de Oliveira, O.M.; Chiuve, S.E.; Mozaffarian, D. Circulating and dietary magnesium and risk of cardiovascular disease: A systematic review and meta-analysis of prospective studies. Am. J. Clin. Nutr. 2013, 98, 160–173. [Google Scholar]
- Rodriguez-Moran, M.; Simental, M.L.; Zambrano, G.G.; Guerrero-Romero, F. The role of magnesium in type 2 diabetes: A brief based-clinical review. Magnes. Res. 2011, 24, 156–162. [Google Scholar] [CrossRef]
- Zheng, L.; Huang, L.; Chen, Z.; Cui, C.; Zhang, R.; Qin, L. Magnesium supplementation alleviates corticosteroid-associated muscle atrophy in rats. Eur. J. Nutr. 2021, 1–14. [Google Scholar] [CrossRef]
- Chang, J.; Yu, D.; Ji, J.; Wang, N.; Yu, S.; Yu, B. The Association between the Concentration of Serum Magnesium and Postmenopausal Osteoporosis. Front. Med. 2020, 7, 381. [Google Scholar] [CrossRef]
- Gröber, U.; Schmidt, J.; Kisters, K. Magnesium in Prevention and Therapy. Nutrients 2015, 7, 8199–8226. [Google Scholar] [CrossRef]
- Fang, X.; Wang, K.; Han, D.; He, X.; Wei, J.; Zhao, L.; Imam, M.U.; Ping, Z.; Li, Y.; Xu, Y.; et al. Dietary magnesium intake and the risk of cardiovascular disease, type 2 diabetes, and all-cause mortality: A dose–response meta-analysis of prospective cohort studies. BMC Med. 2016, 14, 210. [Google Scholar] [CrossRef] [PubMed]
- Carrera-Bastos, P.; Fontes-Villalba, M.; O’Keefe, J.H.; Lindeberg, S.; Cordain, L. The western diet and lifestyle and diseases of civilization. Res. Rep. Clin. Cardiol. 2011, 2, 15–35. [Google Scholar] [CrossRef]
- Johnson, S. The multifaceted and widespread pathology of magnesium deficiency. Med. Hypotheses 2001, 56, 163–170. [Google Scholar] [CrossRef] [PubMed]
- Alaimo, K.; McDowell, M.A.; Briefel, R.R.; Bischof, A.M.; Caughman, C.R.; Loria, C.M.; Johnson, C.L.; Alaimo, K.; McDowell, M.A.; Briefel, R.R.; et al. Dietary intake of vitamins, minerals, and fiber of persons ages 2 months and over in the United States: Third National Health and Nutrition Examination Survey, Phase 1, 1988–1991Third National Health and Nutrition Examination Survey, Phase 1, 1988–1991. Adv. Data 1994, 14, 1–28. [Google Scholar]
- Blancquaert, L.; Vervaet, C.; Derave, W. Predicting and Testing Bioavailability of Magnesium Supplements. Nutrients 2019, 11, 1663. [Google Scholar] [CrossRef] [PubMed]
- Gibson, R.S.; Perlas, L.; Hotz, C. Improving the bioavailability of nutrients in plant foods at the household level. Proc. Nutr. Soc. 2006, 65, 160–168. [Google Scholar] [CrossRef] [PubMed]
- Marschner, P. Mineral Nutrition of Higher Plants, 3rd ed.; Academic Press: London, UK, 2012. [Google Scholar]
- Pennington, J.A.; Young, B.E. Total Diet Study nutritional elements, 1982–1989. J. Am. Diet. Assoc. 1991, 91, 179–183. [Google Scholar] [CrossRef]
- Cakmak, I. Magnesium in crop production, food quality and human health. Plant Soil 2013, 368, 1–4. [Google Scholar] [CrossRef]
- Oghbaei, M.; Prakash, J. Effect of primary processing of cereals and legumes on its nutritional quality: A comprehensive review. Cogent Food Agric. 2016, 2, 1136015. [Google Scholar] [CrossRef]
- FAO. FAOSTAT–Agriculture Database. 2020. Available online: http://faostat.fao.org/site/339/default.aspx (accessed on 16 November 2020).
- Key, N.; Runsten, D. Contract farming, smallholders, and rural development in Latin America: The organization of agroprocessing firms and the scale of out grower production. World Dev. 1999, 27, 381–401. [Google Scholar] [CrossRef]
- Rijswick, C. World vegetable map 2018: More than just a local affair. RaboRes. Food Agribus. 2018, 4, 46–64. [Google Scholar]
- Cunningham, J.; Milligan, G.; Trevisan, L. Minerals in Australian Fruits and Vegetables; Food Standards Australia New Zealand, 2001. Available online: https://www.foodstandards.gov.au/publications/documents/minerals_report.doc (accessed on 16 November 2020).
- Farnham, M.W.; Grusak, M.A.; Wang, M. Calcium and Magnesium Concentration of Inbred and Hybrid Broccoli Heads. J. Am. Soc. Hortic. Sci. 2000, 125, 344–349. [Google Scholar] [CrossRef]
- Buturi, C.V.; Mauro, R.P.; Fogliano, V.; Leonardi, C.; Giuffrida, F. Mineral Biofortification of Vegetables as a Tool to Improve Human Diet. Foods 2021, 10, 223. [Google Scholar] [CrossRef] [PubMed]
- Newman, R.; Waterland, N.; Moon, Y.; Tou, J.C. Selenium Biofortification of Agricultural Crops and Effects on Plant Nutrients and Bioactive Compounds Important for Human Health and Disease Prevention—A Review. Plant Foods Hum. Nutr. 2019, 74, 449–460. [Google Scholar] [CrossRef]
- Gonnella, M.; Renna, M.; D’Imperio, M.; Santamaria, P.; Serio, F. Iodine Biofortification of Four Brassica Genotypes is Effective Already at Low Rates of Potassium Iodate. Nutrients 2019, 11, 451. [Google Scholar] [CrossRef] [PubMed]
- Liu, D.; Liu, Y.; Zhang, W.; Chen, X.; Zou, C. Agronomic Approach of Zinc Biofortification Can Increase Zinc Bioavailability in Wheat Flour and thereby Reduce Zinc Deficiency in Humans. Nutrients 2017, 9, 465. [Google Scholar] [CrossRef] [PubMed]
- Kumssa, D.B.; Lovatt, J.A.; Graham, N.S.; Palmer, S.; Hayden, R.; Wilson, L.; Young, S.D.; Lark, R.M.; Penrose, B.; Ander, E.L.; et al. Magnesium biofortification of Italian ryegrass (Lolium multiflorum L.) via agronomy and breeding as a potential way to reduce grass tetany in grazing ruminants. Plant Soil 2019, 457, 25–41. [Google Scholar] [CrossRef]
- Senbayram, M.; Gransee, A.; Wahle, V.; Thiel, H. Role of magnesium fertilisers in agriculture: Plant–soil continuum. Crop. Pasture Sci. 2015, 66, 1219–1229. [Google Scholar] [CrossRef]
- WHO. GHO–Indicators. 2021. Available online: https://www.who.int/data/gho/indicator-metadata-registry/imr-details/158 (accessed on 17 August 2021).
- De Steur, H.; Gellynck, X.; Blancquaert, D.; Lambert, W.; Van Der Straeten, D.; Qaim, M. Potential impact and cost-effectiveness of multi-biofortified rice in China. New Biotechnol. 2011, 29, 432–442. [Google Scholar] [CrossRef]
- WHO. WHO Guide to Identifying the Economic Consequences of Disease and Injury; WHO: Geneva, Switzerland, 2009. [Google Scholar]
- Loewen, O.K.; Ekwaru, J.P.; Ohinmmaa, A.; Veugelers, P.J. Economic Burden of Not Complying with Canadian Food Recommendations in 2018. Nutrients 2019, 11, 2529. [Google Scholar] [CrossRef]
- Lee, B.Y.; Bacon, K.M.; Bottazzi, M.E.; Hotez, P.J. Global economic burden of chagas disease: A computational simulation model. Lancet Infect. Dis. 2013, 13, 342–348. [Google Scholar] [CrossRef]
- Field, A.P.; Gillett, R. How to do a meta-analysis. Br. J. Math. Stat. Psychol. 2010, 63, 665–694. [Google Scholar] [CrossRef] [PubMed]
- Evans, D.B.; Edejer, T.T.-T.; Adam, T.; Lim, S.S. Methods to assess the costs and health effects of interventions for improving health in developing countries. BMJ 2005, 331, 1137–1140. [Google Scholar] [CrossRef]
- Gustafsson, J.; Cederberg, C.; Sonesson, U. Global Food Losses and Food Waste–Extent, Causes and Prevention; FAO: Rome, Italy, 2011. [Google Scholar]
- Stein, A.J.; Meenakshi, J.V.; Qaim, M.; Nestel, P.; Sachdev, H.P.; Bhutta, Z.A. Analyzing the Health Benefits of Biofortified Staple Crops by Means of the Disability-Adjusted Life Years Approach: A Handbook Focusing on Iron, Zinc and Vitamin A; IFPRI/CIAT: Washington, DC, USA, 2005. [Google Scholar]
- National Bureau of Statistics of China. China Statistical Yearbook 2019; China Statistics Press: Beijing, China, 2019.
- Wang, W.; Jiang, B.; Sun, H.; Ru, X.; Sun, D.; Wang, L.; Wang, L.; Jiang, Y.; Li, Y.; Wang, Y.; et al. Prevalence, incidence, and mortality of stroke in china: Results from a nationwide population-based survey of 480 687 adults. Circulation 2017, 135, 759–771. [Google Scholar] [CrossRef]
- Hung, Y.T.; Cheung, N.T.; Ip, S.; Fung, H. Epidemiology of heart failure in Hong Kong, 1997. Hong Kong Med. J. 2000, 6, 159–162. [Google Scholar]
- Quan, J.; Li, T.K.; Pang, H.; Choi, C.H.; Siu, S.C.; Tang, S.Y.; Wat, N.M.S.; Woo, J.; Johnston, J.M.; Leung, G. Diabetes incidence and prevalence in Hong Kong, China during 2006–2014. Diabet. Med. 2016, 34, 902–908. [Google Scholar] [CrossRef] [PubMed]
- Chen, X. Research on disability weights of disease burden: A new approach based on inpatient expenditure comparison. Chin. Med. Sci. J. 2018, 37, 40–44. [Google Scholar]
- Jørgensen, H.S.; Nakayama, H.; Raaschou, H.O.; Vive-Larsen, J.; Støier, M.; Olsen, T.S. Outcome and time course of recovery in stroke. Part II: Time course of recovery. The copenhagen stroke study. Arch. Phys. Med. Rehabil. 1995, 76, 406–412. [Google Scholar] [CrossRef]
- Zhou, J.M.; Cui, X.T.; Ge, J.B. Epidemiology of heart failure in China. Chin. J. Cardiol. 2015, 12, 1018–1021. [Google Scholar]
- Commission, N.H. China Health Statistics Yearbook 2018; Peking Union Med. College Press: Beijing, China, 2018. [Google Scholar]
- Kang, J.P.; Du, X.; Han, Z.H.; Hu, R.; Wu, X.S.; Liu, X.H.; Ma, C.S. An investigation of long-term survival rate of patients with severe heart failure. Chin. J. Cardiol. 2004, 32, 679. [Google Scholar]
- Bragg, F.; Holmes, M.V.; Iona, A.; Guo, Y.; Du, H.; Chen, Y.; Bian, Z.; Yang, L.; Herrington, W.; Bennett, D.; et al. Association between diabetes and cause-specific mortality in rural and urban areas of China. JAMA 2017, 317, 280–289. [Google Scholar] [CrossRef]
- Huang, J.; Yin, H.; Zhang, M.; Ni, Q.; Xuan, J. Understanding the economic burden of heart failure in China: Impact on disease management and resource utilization. J. Med. Econ. 2017, 20, 549–553. [Google Scholar] [CrossRef]
- Wang, W.; McGreevey, W.P.; Fu, C.; Zhan, S.; Luan, R.; Chen, W.; Xu, B. Type 2 diabetes mellitus in China: A preventable economic burden. Am. J. Manag. Care 2009, 15, 593–601. [Google Scholar] [PubMed]
- Liu, L.; Wang, D.; Wong, K.S.; Wang, Y. Stroke and stroke care in China: Huge burden, significant workload, and a national priority. Stroke 2011, 42, 3651–3654. [Google Scholar] [CrossRef]
- Hui, D.S.; Lee, R. The long view how will the global economic order change by 2050? J. Thorac. Cardiovasc. Surg. 2017, 154, 845–846. [Google Scholar] [CrossRef][Green Version]
- Kostov, K. Effects of Magnesium Deficiency on Mechanisms of Insulin Resistance in Type 2 Diabetes: Focusing on the Processes of Insulin Secretion and Signaling. Int. J. Mol. Sci. 2019, 20, 1351. [Google Scholar] [CrossRef] [PubMed]
- Ferre, S.; Baldoli, E.; Leidi, M.; Maier, J.A. Magnesium deficiency promotes a pro-atherogenic phenotype in cultured human endothelial cells via activation of NFkB. Biochim. Biophys. Acta (BBA)—Mol. Basis Dis. 2010, 1802, 952–958. [Google Scholar] [CrossRef] [PubMed]
- Szeto, G.L.; Lavik, E.B. Materials design at the interface of nanoparticles and innate immunity. J. Mater. Chem. B 2016, 4, 1610–1618. [Google Scholar] [CrossRef] [PubMed]
- Makrides, M.; Crosby, D.D.; Shepherd, E.; Crowther, C.A. Magnesium supplementation in pregnancy. Cochrane Database Syst. Rev. 2014, 2019, CD000937. [Google Scholar] [CrossRef]
- Joy, E.J.M.; Young, S.D.; Black, C.R.; Ander, E.L.; Watts, M.J.; Broadley, M.R. Risk of dietary magnesium deficiency is low in most African countries based on food supply data. Plant Soil 2012, 368, 129–137. [Google Scholar] [CrossRef]
- Makino, M.; Tsuboi, K.; Dennerstein, L. Prevalence of Eating Disorders: A Comparison of Western and Non-Western Countries. Medscape Gen. Med. 2004, 6, 49. [Google Scholar]
- Adebamowo, S.N.; Spiegelman, D.; Willett, W.C.; Rexrode, K.M. Association between intakes of magnesium, potassium, and calcium and risk of stroke: 2 cohorts of US women and updated meta-analyses. Am. J. Clin. Nutr. 2015, 101, 1269–1277. [Google Scholar] [CrossRef] [PubMed]
- Wu, W.; Huang, M.; Taveira, T.H.; Roberts, M.B.; Martin, L.W.; Wellenius, G.A.; Johnson, K.C.; Manson, J.E.; Liu, S.; Eaton, C.B. Relationship Between Dietary Magnesium Intake and Incident Heart Failure Among Older Women: The WHI. J. Am. Hear. Assoc. 2020, 9, e013570. [Google Scholar] [CrossRef] [PubMed]
- Zhang, W.; Iso, H.; Ohira, T.; Date, C.; Tamakoshi, A. Associations of dietary magnesium intake with mortality from cardiovascular disease: The JACC study. Atherosclerosis 2012, 221, 587–595. [Google Scholar] [CrossRef] [PubMed]
- Dias, J.S.; Ryder, E.J. World vegetable industry: Production, breeding, trends. In Horticultural Reviews; Janick, J., Ed.; Wiley-Blackwell: Hoboken, NJ, USA, 2011; pp. 299–356. [Google Scholar]




| Asia | Europe | North America | South America | Oceania | Africa | |
|---|---|---|---|---|---|---|
| Vegetable Mg content (mg 100 g−1 FW) | 20.3 | 16.1 | 15.3 | 15.8 | 17.1 | 16.9 |
| High Mg vegetables production (%) a | 6.29 | 1.62 | 1.64 | 1.46 | 0.46 | 1.00 |
| Vegetable Mg supplied by high Mg vegetables (%) | 14.9 | 4.54 | 5.41 | 3.46 | 1.58 | 2.19 |
| RDA (%) | 25.7 | 14.3 | 10.1 | 7.68 | 9.54 | 7.37 |
| Major Disease Types | Number of Disabilities Due to MgD a | Years Lived with Disability (YLD) b | Number of Deaths Due to MgD c | Years of Life Lost (YLL) d | Annual Healthcare Service Costs ($) e | Direct Economic Burden (Billion $) | Indirect Economic Burden (Billion $) f | Economic Burden (Billion $) | GDP (%) g |
|---|---|---|---|---|---|---|---|---|---|
| Stroke | 31,903 | 3799 | 33,983 | 293,214 | 1001 | 0.07 | 2.30 | 2.36 | 0.02 |
| Heart failure | 32,614 | 77,935 | 7412 | 33,902 | 4289 | 0.17 | 0.86 | 1.04 | 0.01 |
| Type 2 diabetes | 532,059 | 1,483,387 | 2011 | 15,860 | 1502 | 0.80 | 11.6 | 12.4 | 0.11 |
| Sum | 596,576 | 1,565,121 | 43,406 | 342,976 | - - | 1.04 | 14.8 | 15.8 | 0.14 |
Publisher’s Note: MDPI stays neutral with regard to jurisdictional claims in published maps and institutional affiliations. |
© 2021 by the authors. Licensee MDPI, Basel, Switzerland. This article is an open access article distributed under the terms and conditions of the Creative Commons Attribution (CC BY) license (https://creativecommons.org/licenses/by/4.0/).
Share and Cite
Liu, D.; Lu, M.; Lakshmanan, P.; Hu, Z.; Chen, X. Increased Provision of Bioavailable Mg through Vegetables Could Significantly Reduce the Growing Health and Economic Burden Caused by Mg Malnutrition. Foods 2021, 10, 2513. https://doi.org/10.3390/foods10112513
Liu D, Lu M, Lakshmanan P, Hu Z, Chen X. Increased Provision of Bioavailable Mg through Vegetables Could Significantly Reduce the Growing Health and Economic Burden Caused by Mg Malnutrition. Foods. 2021; 10(11):2513. https://doi.org/10.3390/foods10112513
Chicago/Turabian StyleLiu, Dunyi, Ming Lu, Prakash Lakshmanan, Ziyi Hu, and Xinping Chen. 2021. "Increased Provision of Bioavailable Mg through Vegetables Could Significantly Reduce the Growing Health and Economic Burden Caused by Mg Malnutrition" Foods 10, no. 11: 2513. https://doi.org/10.3390/foods10112513
APA StyleLiu, D., Lu, M., Lakshmanan, P., Hu, Z., & Chen, X. (2021). Increased Provision of Bioavailable Mg through Vegetables Could Significantly Reduce the Growing Health and Economic Burden Caused by Mg Malnutrition. Foods, 10(11), 2513. https://doi.org/10.3390/foods10112513

