Investigation of Oral Health in Children from Urban Slums of Nairobi, Kenya
Abstract
1. Introduction
2. Materials and Methods
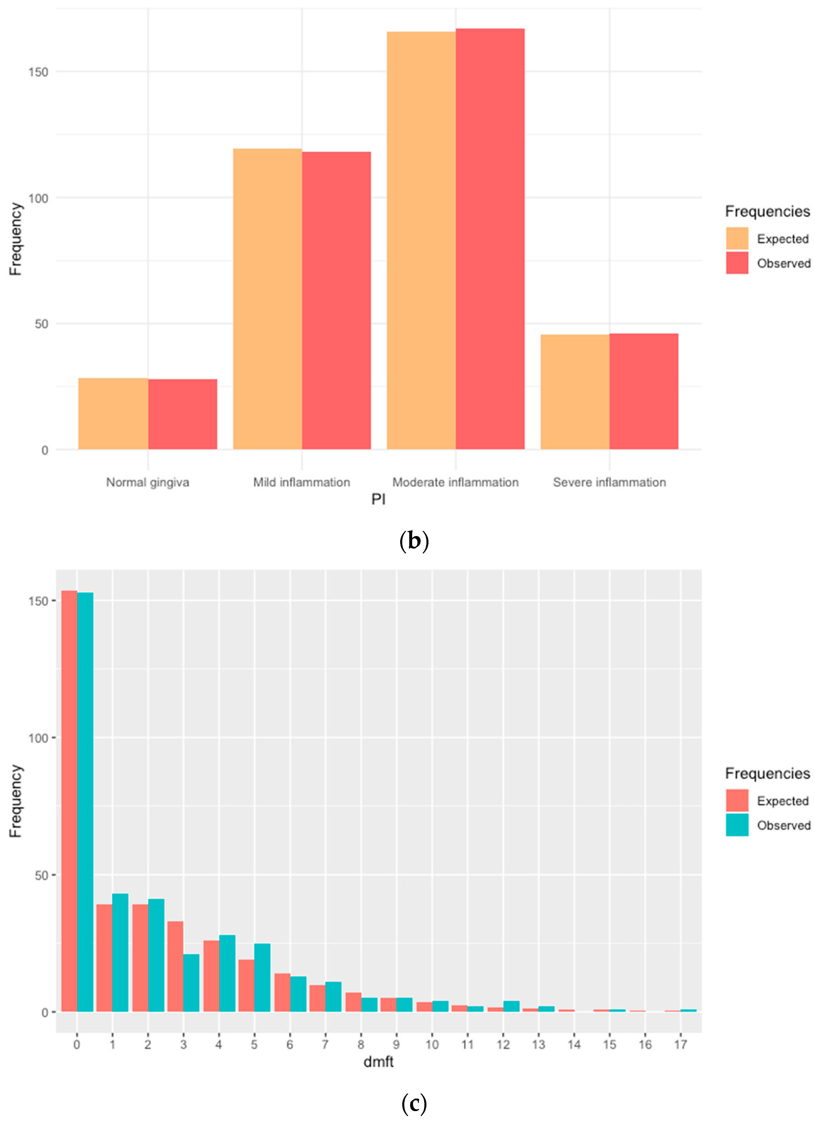
- The Loe–Silness Plaque Index (PI) is represented as an ordinal response with four levels: 1 = no plaque in the gingival area; 2 = a film of plaque adhering to the free gingival margin and adjacent area of the tooth, recognized by running a probe across the tooth surface (mild inflammation); 3 = moderate accumulation of soft deposits, which can be seen by the naked eye (moderate inflammation); and 4 = abundance of soft matter within the gingival pocket and/or on the gingival margin and adjacent tooth surface (severe inflammation) [9].
- The Community Periodontal Index of Treatment Needs (CPITN) is represented as an ordinal response with three levels: 1 = normal gingiva, 2 = bleeding, and 3 = calculus. Since the probe cannot be used on the pediatric population, in the present study, we considered the simplified version of the original 5-level CPITN proposed in [10].
- The decayed, missing, and filled teeth index (dmft) in primary dentition is represented as a numerical count response. The dmft index is a valuable measure for determining and monitoring oral health status in a community. It is computed as the total number of decayed, missing, and filled deciduous teeth due to caries [11]. The DMFT index for the permanent teeth was not taken into consideration since in most of the young participants the first molars were not or were only partially erupted, limiting the possibility of assessing the role of the explanatory variables on this type of dentition.
- -
- Sociodemographic characteristics: gender, age, and the educational institution attended.
- -
- Dietary habits: consumption of sweets, juices, and fruit.
- -
- Practices of dental care: use of a toothbrush and visit by a dentist in the last 12 months.
- -
- Oral characteristics and habits: molar class, type of bite, overjet, crossbite, presence of abnormal frenulum, signs of dental trauma, fluorosis, MIH, and presence of bad oral habits.
3. Results
4. Discussion
5. Conclusions
Author Contributions
Funding
Institutional Review Board Statement
Informed Consent Statement
Data Availability Statement
Acknowledgments
Conflicts of Interest
References
- Diego, M. Exploding Africa; Logo Fausto Lupetti Editore: Bologna, Italy, 2017; pp. 7, 13, 69. [Google Scholar]
- Ratio of Registered Dentists to 100,000 Population in Kenya 2015–2020. Published by Lars Kamer, 13 December 2021. Available online: https://www.statista.com/statistics/1240318/ratio-of-registered-dentists-to-100-000-population-in-kenya/ (accessed on 10 July 2023).
- Goldman, A.S.; Yee, R.; Holmgren, C.J.; Benzian, H. Global affordability of fluoride toothpaste. Glob. Health 2008, 4, 7. [Google Scholar] [CrossRef] [PubMed]
- Kenya National Oral Health Policy 2022–2030, Ministry of Health Republic of Kenya, April 2022. Available online: https://www.afro.who.int/countries/kenya/publication/kenya-national-oral-health-policy-2022-2030 (accessed on 1 October 2022).
- Demarchi, P.; Garbarino, F.; Mascolo, A.; Silvestrini Biavati, F.; Ugolini, A. Fluorosis and Oral Health Status in Adolescents Living in a High-Fluoride Groundwater Area: A Case Study of Nairobi Suburbs (Kenya). Appl. Sci. 2023, 13, 368. [Google Scholar] [CrossRef]
- Pitts, N.B.; Ismail, A.I.; Martignon, S.; Ekstrand, K.; Douglas, G.V.; Longbottom, C. ICCMS™ Guide for Practitioners and Educators; King’s College London: London, UK, 2014; Available online: https://www.iccms-web.com/uploads/asset/592845add7ac8756944059.pdf (accessed on 1 October 2022).
- World Health Organization. Oral Health Surveys: Basic Methods, 5th ed.; WHO Press: Geneva, Switzerland, 2013. [Google Scholar]
- Dean, H.T. The investigation of physiological effects by the epidemiological method. Am. Assoc. Adv. Sci. 1942, 19, 23–32. [Google Scholar]
- Löe, H. The Gingival Index, the Plaque Index and the Retention Index Systems. J. Periodontol. 1967, 38, 610–616. [Google Scholar] [CrossRef] [PubMed]
- Guidelines for Periodontal Screening and Management of Children and Adolescents under 18 Years of Age. 2021. British Society of Periodontology and Implant Dentistry and British Society of Paediatric Dentistry. Available online: https://www.bsperio.org.uk/professionals/publications (accessed on 1 January 2023).
- Moradi, G.; Mohamadi Bolbanabad, A.; Moinafshar, A.; Adabi, H.; Sharafi, M.; Zareie, B. Evaluation of Oral Health Status Based on the Decayed, Missing and Filled Teeth (DMFT) Index. Iran J. Public Health 2019, 48, 2050–2057. [Google Scholar] [CrossRef] [PubMed]
- Abanto Alvarez, J.; Rezende, K.M.; Marocho, S.M.; Alves, F.B.; Celiberti, P.; Ciamponi, A.L. Dental fluorosis: Exposure, prevention and management. Med. Oral Patol. Oral Cir. Bucal. 2009, 14, E103–E107. [Google Scholar] [PubMed]
- Krishnan, R.; Ramesh, M. Molar incisor hypomineralisation: A review of its current concepts and management. SRM J. Res. Dent. Sci. 2014, 5, 248–252. [Google Scholar] [CrossRef]
- Lewsey, J.; Thomson, W. The utility of the zero-inflated Poisson and zero-inflated negative binomial models: A case study of cross-sectional and longitudinal DMF data examining the effect of socioeconomic status. Community Dent. Oral Epidemiol. 2004, 32, 18389. [Google Scholar] [CrossRef] [PubMed]
- Solinas, G.; Campus, G.; Maida, C.; Sotgiu, G.; Cagetti, M.G.; Lesaffre, E.; Castiglia, P. What statistical method should be used to evaluate risk factors associated with dmfs index? Evidence from the National Pathfinder Survey of 4-year-old Italian children Community. Dent. Oral Epidemiol. 2009, 37, 539–546. [Google Scholar] [CrossRef] [PubMed]
- Chowdhury, M.Z.I.; Turin, T.C. Variable selection strategies and its importance in clinical prediction modelling. Fam. Med. Community Health 2020, 8, e000262. [Google Scholar] [CrossRef] [PubMed]
- Akaike, H. Information theory and an extension of the maximum likelihood principle. In Selected Papers of Hirotugu Akaike; Springer: New York, NY, USA, 1998; pp. 199–213. [Google Scholar]
- Ngatia, E.M.; Imungi, J.K.; Muita, J.W.; Nganga, P.M. Dietary patterns and dental caries in nursery school children in Nairobi, Kenya. East Afr. Med. J. 2001, 78, 673–677. [Google Scholar] [CrossRef] [PubMed][Green Version]
- Wakhungu, H.K.; Were, G.M.; Serrem, C.A.; Kibosia, C.J. Dietary Intake and Prevalence of Dental Caries among Five-Year-Old Children in Urban and Rural Areas of Uasin-Gishu County, Kenya. Eur. J. Agric. Food Sci. 2020, 2, 1–6. [Google Scholar] [CrossRef]
- Johansson, I.; Holgerson, P.L.; Kressin, N.R.; Nunn, M.E.; Tanner, A.C. Snacking habits and caries in young children. Caries Res. 2010, 44, 421–430. [Google Scholar] [CrossRef] [PubMed]
- Okemwa, K.A.; Gatongi, P.M.; Rotich, J.K. The oral health knowledge and oral hygiene practices among primary school children age 5-17 years in a rural area of Uasin Gishu district, Kenya. East Afr. J. Public Health 2010, 7, 187–190. [Google Scholar] [CrossRef]
- Robinson, C.; Connell, S.; Kirkham, J.; Brookes, S.J.; Shore, R.C.; Smith, A.M. The Effect of Fluoride on the Developing Tooth. Caries Res 2004, 38, 268–276. [Google Scholar] [CrossRef] [PubMed]
- Arheiam, A.; Aloshiby, A.; Gaber, A.; Fakron, S. Dental Fluorosis and Its Associated Factors Amongst Libyan Schoolchildren. Int. Dent. J. 2022, 72, 853–858. [Google Scholar] [CrossRef] [PubMed]
- Zumpe, L.; Bensel, T.; Wienke, A.; Mtaya-Mlangwa, M.; Hey, J. The Oral Health Situation of 12-Year-Old School Children in the Rural Region of Ilembula in Southwestern Tanzania: A Cross-Sectional Study. Int. J. Environ. Res. Public Health 2021, 18, 12237. [Google Scholar] [CrossRef] [PubMed]
- Tirpude, V.; Gailot, A.; Singh, R.; Bajaj, N.; Fernandes, G. The Impact of Oral Health Education on Children from the Slums of Thane: A Survey Study. Int. J. Sci. Res. Sci. Technol. 2018, 4, 1589–1595. [Google Scholar]
- Macigo, F.G.; James, R.M.; Ogunbodede, E.; Gathece, L.W. Sugar consumption and dental caries experience in Kenya. Int. Dent. J. 2016, 66, 158–162. [Google Scholar] [CrossRef]
- Ng’ang’a, P.M.; Valderhaug, J. Dental caries in primary school children in Nairobi, Kenya. Acta Odontol. Scand. 1992, 50, 269–272. [Google Scholar] [CrossRef]
- Olatosi, O.O.; Oyapero, A.; Ashaolu, J.F.; Abe, A.; Boyede, G.O. Dental caries and oral health: An ignored health barrier to learning in Nigerian slums: A cross sectional survey. PAMJ-ONE Health 2022, 7, 13. [Google Scholar] [CrossRef]
- Hannan, M.A.; Chowdhury, M.T.; Khan, M.A.; Chowdhury, A.F.; Shahidullah, K.M.; Saha, A.K.; Anjum, A. Prevalence of Gingivitis, Plaque accumulation and Decayed, Missing and Filled Teeth among slum population in Bangladesh. Bangladesh Med. Res. Counc. Bull. 2014, 40, 47–51. [Google Scholar] [CrossRef] [PubMed]
- Habib, M.F.; Mahmood, H.; Khizar, A.; Idrees, S.; Pervaiz, F.; Khan, J. Oral Health Status and Oral Hygiene Practices among Urban Slum Dwellers in Rawalpindi, Islamabad, Pakistan: Oral Health and Hygiene Practices among Urban Slum Dwellers. Pak. J. Health Sci. 2022, 3, 114–118. [Google Scholar] [CrossRef]
- Owino, R.O.; Masiga, M.A.; Ng’ang’a, P.M.; Macigo, F.G. Dental caries, gingivitis and the treatment needs among 12-year-olds. East Afr. Med. J. 2010, 87, 25–31. [Google Scholar] [CrossRef] [PubMed][Green Version]
- Ng’ang’a, P.M.; Valderhaug, J. Oral hygiene practices and periodontal health in primary school children in Nairobi, Kenya. Acta Odontol. Scand. 1991, 49, 303–309. [Google Scholar] [CrossRef]
- Ndung’u, F.L.; Kaimenyi, J.T.; Arneberg, P.; Muthami, L.N. A comparative study of the efficacy of plaque control by a chewing stick and a tooth brush. East Afr. Med. J. 1990, 67, 907–911. [Google Scholar] [PubMed]
- Wagaiyu, E.G.; Ashley, F.P. Mouthbreathing, lip seal and upper lip coverage and their relationship with gingival inflammation in 11-14 year-old schoolchildren. J. Clin. Periodontol. 1991, 18, 698–702. [Google Scholar] [CrossRef] [PubMed]
- World Health Organization, Regional Office for Africa. Promoting Oral Health in Africa: Prevention and Control of Oral Diseases and Noma as Part of Essential Noncommunicable Disease Interventions; World Health Organization, Regional Office for Africa: Brazzaville, Republic of Congo, 2016; Available online: https://iris.who.int/handle/10665/205886 (accessed on 1 July 2023).
- Regional Committee for Africa, 66. Regional Oral Health Strategy 2016–2025: Addressing Oral Diseases as Part of Noncommunicable Diseases: Report of the Secretariat. World Health Organization, Regional Office for Africa. 2016. Available online: https://apps.who.int/iris/handle/10665/250994 (accessed on 1 July 2023).
- Abuhaloob, L.; Petersen, P.E. Health-Promoting Schools Project for Palestine Children’s Oral Health. Int. Dent. J. 2023, 73, 746–753. [Google Scholar] [CrossRef] [PubMed]
- Chher, T.; Hak, S.; Courtel, F.; Durward, C. Improving the provision of the Basic Package of Oral Care (BPOC) in Cambodia. Int. Dent. J. 2009, 59, 47–52. [Google Scholar]
- Turton, B.; Patel, J.; Sieng, C.; Tak, R.; Durward, C. School Based Tooth Brushing and Annual Silver Diammine Fluoride Application as a Highest Priority Package for Achieving Universal Oral Health Care for Cambodian Children. Front. Oral. Health 2021, 2, 667867. [Google Scholar] [CrossRef]



| Categorical Variables | n (%) |
|---|---|
| Gender: Male | 158 (44) |
| Gender: Female | 201 (56) |
| Educ. institution: Korogocho | 144 (40) |
| Educ. institution: Dandora | 143 (40) |
| Educ. Institution: Alice Home | 72 (20) |
| Consumption of sweets: No | 209 (58) |
| Consumption of sweets: Yes | 150 (42) |
| Consumption of juices: No | 189 (53) |
| Consumption of juices: Yes | 170 (47) |
| Consumption of fruit: No | 79 (22) |
| Consumption of fruit: Yes | 280 (78) |
| Molar class: Class I | 296 (83) |
| Molar class: Class II | 15 (4) |
| Molar class: Class III | 48 (13) |
| Type of bite: Normal | 245 (68) |
| Type of bite: Open | 104 (29) |
| Type of bite: Deep | 10 (3) |
| Overjet: Normal | 284 (79) |
| Overjet: Greater | 49 (14) |
| Overjet: Smaller | 26 (7) |
| Presence of crossbite: No | 342 (95) |
| Presence of crossbite: Yes | 17 (5) |
| Presence of abnormal frenulum: No | 344 (96) |
| Presence of abnormal frenulum: Yes | 15 (4) |
| Presence of fluorosis: No | 332 (93) |
| Presence of fluorosis: Yes | 27 (7) |
| Presence of MIH: No | 326 (91) |
| Presence of MIH: Yes | 33 (9) |
| Signs of dental trauma: No | 344 (96) |
| Signs of dental trauma: Yes | 15 (4) |
| Harmful oral habits: No | 272 (76) |
| Harmful oral habits: Yes | 87 (24) |
| Use of toothbrush: No | 76 (21) |
| Use of the toothbrush: Yes | 283 (79) |
| Dentist visit in the last year: No | 295 (82) |
| Dentist visit in the last year: Yes | 64 (18) |
| PI: Absence of plaque | 28 (8) |
| PI: Mild inflammation | 118 (33) |
| PI: Moderate inflammation | 167 (46) |
| PI: Severe inflammation | 46 (13) |
| CPITN: Normal gingiva | 246 (68) |
| CPITN: Bleeding | 71 (20) |
| CPITN: Calculus | 42 (12) |
| Numerical Variables | mean ± sd [Range] |
| Age (years) | 7.8 ± 2.6 [2, 17] |
| dmft | 2.3 ± 3.1 [0, 17] |
| Variable | PI | CPITN | dmft |
|---|---|---|---|
| Gender | 0.349 | 0.705 | 0.117 |
| Educ. institution | <0.001 | <0.001 | <0.001 |
| Consumption of sweets | 0.501 | 0.876 | 0.107 |
| Consumption of juices | 0.787 | 0.930 | <0.001 |
| Consumption of fruit | 0.485 | 0.577 | 0.069 * |
| Molar class | 0.596 | 0.234 | 0.344 |
| Type of bite | 0.114 | 0.121 | 0.044 |
| Overjet | 0.331 | 0.185 | 0.426 |
| Presence of crossbite | 0.820 | 0.252 | 0.847 |
| Presence of abnormal frenulum | 0.100 | 0.076 * | 0.148 |
| Presence of fluorosis | 0.826 | 0.035 | 0.037 |
| Presence of MIH | 0.039 | 0.884 | 0.516 |
| Signs of dental trauma | 1.000 | 0.051 * | 0.841 |
| Harmful oral habits | 0.166 | 0.648 | 0.851 |
| Use of the toothbrush | 0.396 | 0.019 | 0.055 * |
| Dentist visit in the last year | 0.927 | 0.449 | 0.005 |
| PI | - | <0.001 | 0.359 |
| CPITN | <0.001 | - | <0.001 |
| dmft | 0.359 | <0.001 | - |
| Age (years) | 0.036 | 0.690 | <0.001 |
| Variable | OR | 95%CI | p-Value |
|---|---|---|---|
| Age (years) | 1.293 | [1.170, 1.431] | <0.001 |
| Educ. institution: Dandora | 0.315 | [0.186, 0.527] | <0.001 |
| Educ. institution: Alice Home | 0.222 | [0.109, 0.448] | <0.001 |
| Type of bite: Open | 0.947 | [0.600, 1.496] | 0.817 |
| Type of bite: Deep | 0.166 | [0.050, 0.536] | 0.003 |
| Presence of abnormal frenulum: Yes | 2.714 | [0.974, 7.749] | 0.058 * |
| Presence of MIH: Yes | 1.694 | [0.848, 3.408] | 0.136 |
| Use of the toothbrush: Yes | 0.467 | [0.263, 0.825] | 0.009 |
| CPITN: Bleeding | 2.197 | [1.273, 3.816] | 0.005 |
| dmft | 1.150 | [1.067, 1.240] | <0.001 |
| Variable | OR | 95%CI | p-Value |
|---|---|---|---|
| Age (years) | 1.138 | [0.998, 1.301] | 0.055 * |
| Educ. institution: Dandora | 2.073 | [1.214, 3.579] | 0.008 |
| Educ. institution: Alice Home | 0.316 | [0.107, 0.856] | 0.029 |
| Type of bite: Open | 1.862 | [1.042, 3.325] | 0.035 |
| Type of bite: Deep | 1.818 | [0.416, 7.080] | 0.399 |
| Overjet: Greater | 1.422 | [0.702, 2.804] | 0.317 |
| Overjet: Smaller | 2.477 | [0.990, 6.034] | 0.048 |
| Presence of abnormal frenulum: Yes | 2.989 | [1.016, 8.563] | 0.042 |
| Presence of fluorosis: Yes | 3.062 | [1.272, 7.351] | 0.012 |
| Signs of dental trauma: Yes | 3.822 | [1.162, 11.928] | 0.022 |
| Harmful oral habits: Yes | 0.596 | [0.307, 1.128] | 0.118 |
| PI: Mild inflammation | 6.182 | [1.118, 12.697] | 0.090 * |
| PI: Moderate inflammation | 13.933 | [2.590, 26.627] | 0.013 |
| PI: Severe inflammation | 18.181 | [3.106, 35.684] | 0.008 |
| dmft | 1.124 | [1.039, 1.217] | 0.004 |
| Zero-Inflation Part (Logistic Regression Model) | |||
| Variable | OR | 95%CI | p-Value |
| Age (years) | 1.163 | [0.998, 1.354] | 0.052 * |
| Educ. institution: Dandora | 0.927 | [0.469, 1.834] | 0.828 |
| Educ. institution: Alice Home | 3.033 | [1.120, 8.212] | 0.029 |
| Presence of fluorosis: Yes | 2.882 | [1.016, 8.177] | 0.047 |
| Dentist visit in the last year: Yes | 3.143 | [1.477, 6.687] | 0.003 |
| Count Part (Negative Binomial Regression Model) | |||
| Variable | IRR | 95%CI | p-Value |
| Age (years) | 0.866 | [0.802, 0.935] | <0.001 |
| Educ. institution: Dandora | 1.363 | [1.079, 1.722] | 0.009 |
| Educ. institution: Alice Home | 1.137 | [0.726, 1.780] | 0.574 |
| Consumption of juices: Yes | 1.330 | [1.042, 1.668] | 0.014 |
| Consumption of fruit: Yes | 1.339 | [1.003, 1.788] | 0.048 |
| Presence of fluorosis: Yes | 1.799 | [1.072, 3.018] | 0.026 |
Disclaimer/Publisher’s Note: The statements, opinions and data contained in all publications are solely those of the individual author(s) and contributor(s) and not of MDPI and/or the editor(s). MDPI and/or the editor(s) disclaim responsibility for any injury to people or property resulting from any ideas, methods, instructions or products referred to in the content. |
© 2024 by the authors. Licensee MDPI, Basel, Switzerland. This article is an open access article distributed under the terms and conditions of the Creative Commons Attribution (CC BY) license (https://creativecommons.org/licenses/by/4.0/).
Share and Cite
Di Giorgio, G.; De Pasquale, S.; Battaglia, E.; Zumbo, G.; Mollica, C.; D’Ecclesia, R.; Polimeni, A.; Bossù, M. Investigation of Oral Health in Children from Urban Slums of Nairobi, Kenya. Dent. J. 2024, 12, 211. https://doi.org/10.3390/dj12070211
Di Giorgio G, De Pasquale S, Battaglia E, Zumbo G, Mollica C, D’Ecclesia R, Polimeni A, Bossù M. Investigation of Oral Health in Children from Urban Slums of Nairobi, Kenya. Dentistry Journal. 2024; 12(7):211. https://doi.org/10.3390/dj12070211
Chicago/Turabian StyleDi Giorgio, Gianni, Simona De Pasquale, Enrico Battaglia, Giulia Zumbo, Cristina Mollica, Rita D’Ecclesia, Antonella Polimeni, and Maurizio Bossù. 2024. "Investigation of Oral Health in Children from Urban Slums of Nairobi, Kenya" Dentistry Journal 12, no. 7: 211. https://doi.org/10.3390/dj12070211
APA StyleDi Giorgio, G., De Pasquale, S., Battaglia, E., Zumbo, G., Mollica, C., D’Ecclesia, R., Polimeni, A., & Bossù, M. (2024). Investigation of Oral Health in Children from Urban Slums of Nairobi, Kenya. Dentistry Journal, 12(7), 211. https://doi.org/10.3390/dj12070211

