Magnetic Materials and Systems: Domain Structure Visualization and Other Characterization Techniques for the Application in the Materials Science and Biomedicine
Abstract
1. Introduction
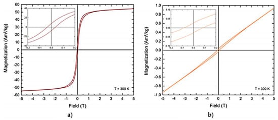
2. Magnetism and Magnetization (Hysteresis) Curves
3. Imaging of the Domain Structure and Beyond
3.1. Powder Pattern Imaging
3.2. Magneto-Optical Imaging
3.3. Scanning Electron Microscopy (SEM): Type-I, Type-II, and Type-III Magnetic Contrast-Based Methods
3.3.1. Secondary Electrons (SEs), Backscattered Electrons (BSEs) Imaging
3.3.2. Scanning Electron Microscopy with Polarization Analysis (SEMPA)
3.4. Transmission Electron Microscopy (TEM)
3.4.1. Lorentz Transmission Electron Microscopies: Fresnel, Foucault and Differential Phase Contrast (DPC) Imaging
3.4.2. Electron Holography
3.5. Spin-Polarized Low Energy Electron Microscopy (SPLEEM)
3.6. Scanning Probe Techniques
3.6.1. Magnetic Force Microscopy (MFM)
3.6.2. Spin Polarized Scanning Tunneling Microscopy (SP-STM)
3.6.3. Scanning-SQUID Microscopy
3.6.4. Scanning Hall Probe Microscopy (SHPM)
3.7. X-Ray Imaging Techniques
3.7.1. X-Ray Magnetic Circular Dichroism (XMCD) and Photoemission Electron Microscopy (X-PEEM) Techniques
3.7.2. Scanning and Transmission X-Ray Microscopies (TXMs)
3.8. Neutron Magnetic Imaging Techniques
3.9. 3D Imaging of Magnetic Domains
3.10. Towards Imaging in Living Matter
4. Characterization of Magnetic Systems for Biomedical Applications
4.1. Microscopies, X-Ray Diffraction: Morphology, Composition, and Shape
4.2. Thermogravimetry and Differential Scanning Calorimetry: Thermal Properties and Composition
4.3. Mössbauer (or Gamma-Resonance) and Infrared Spectroscopies
4.4. Dynamic Light Scattering and Zeta Potential: Particle Size Distribution and Particle–Liquid Interface
4.5. Methods to Investigate Stability and Protein Corona Adsorption
4.6. Relaxometric Properties and Magnetic Fluid Hyperthermia
4.7. Toxicity Assays
5. Conclusions
Author Contributions
Funding
Conflicts of Interest
Abbreviations
References
- Nisticò, R. Magnetic materials and water treatments for a sustainable future. Res. Chem. Intermed. 2017, 43, 6911–6949. [Google Scholar] [CrossRef]
- Bozorth, R.M. Magnetism. Rev. Modern Phys. 1947, 19, 29–86. [Google Scholar] [CrossRef]
- Singh, R. Unexpected magnetism in nanomaterials. J. Magn. Magn. Mater. 2013, 346, 58–73. [Google Scholar] [CrossRef]
- Mehta, R.V. Synthesis of magnetic nanoparticles and their dispersions with special reference to applications in biomedicine and biotechnology. Mat. Sci. Eng. C 2017, 79, 901–916. [Google Scholar] [CrossRef]
- Gupta, A.K.; Gupta, M. Synthesis and surface engineering of iron oxide nanoparticles for biomedical applications. Biomaterials 2005, 26, 3995–4021. [Google Scholar] [CrossRef]
- Tietze, R.; Zaloga, J.; Unterweger, H.; Lyer, S.; Friedrich, R.P.; Janko, C.; Pottler, M.; Durr, S.; Alexiou, C. Magnetic nanoparticle-based drug delivery for cancer therapy. Biochem. Biophys. Res. Commun. 2015, 468, 463–470. [Google Scholar] [CrossRef]
- Serrà, A.; Gimeno, N.E.; Gómez, E.; Mora, M.; Sagristá, M.L.; Vallés, E. Magnetic Mesoporous nanocarriers for drug delivery with improved therapeutic efficacy. Adv. Funct. Mater. 2016, 26, 6601–6611. [Google Scholar]
- Kurgan, E.; Gas, P. Magnetophoretic Placement of Ferromagnetic Nanoparticles in RF Hyperthermia. In Proceedings of the 2017 Progress in Applied Electrical Engineering (PAEE), Koscielisko, Poland, 25–30 June 2017; pp. 1–4. [Google Scholar] [CrossRef]
- Sheng, Y.; Li, S.; Duan, Z.; Zhang, R.; Xue, J. Fluorescent magnetic nanoparticles as minimally-invasive multi-functional theranostic platform for fluorescence imaging, MRI and magnetic hyperthermia. Mater. Chem. Phys. 2018, 204, 388–396. [Google Scholar] [CrossRef]
- Pankhurst, Q.A.; Connolly, J.; Jones, S.K.; Dobson, J. Applications of magnetic nanoparticles in biomedicine. J. Phys. D Appl. Phys. 2003, 36, R167–R181. [Google Scholar] [CrossRef]
- Garello, F.; Vibhute, S.; Gunduz, S.; Logothetis, N.K.; Terreno, E.; Angelovski, G. Innovative design of Ca-sensitive paramagnetic liposomes results in an unprecedented increase in longitudinal relaxivity. Biomacromolecules 2016, 17, 1303–1311. [Google Scholar] [CrossRef]
- Liu, W.; Wong, P.K.J.; Xu, Y. Hybrid spintronic materials: Growth, structure and properties. Progr. Mater. Sci. 2019, 99, 27–105. [Google Scholar] [CrossRef]
- Tudu, B.; Tiwari, A. Recent developments in perpendicular magnetic anisotropy thin films for data storage applications. Vacuum 2017, 146, 329–341. [Google Scholar] [CrossRef]
- Peyer, K.E.; Zhang, L.; Nelson, B.J. Bio-inspired magnetic swimming microrobots for biomedical applications. Nanoscale 2013, 5, 1259–1272. [Google Scholar] [CrossRef]
- Li, J.; Barjuei, E.S.; Ciuti, G.; Hao, Y.; Zhang, P.; Menciassi, A.; Huang, Q.; Dario, P. Magnetically-driven medical robots: An analytical magnetic model for endoscopic capsules design. J. Magn. Magn. Mater. 2018, 452, 278–287. [Google Scholar] [CrossRef]
- Fu, F.; Dionysiou, D.D.; Liu, H. The use of zero-valent iron for groundwater remediation and wastewater treatment: A review. J. Hazard. Mater. 2014, 267, 194–205. [Google Scholar] [CrossRef] [PubMed]
- Ivanets, A.I.; Srivastava, V.; Roshchina, M.Y.; Sillanpää, M.; Prozorovich, V.G.; Pankov, V.V. Magnesium ferrite nanoparticles as a magnetic sorbent for the removal of Mn2+, Co2+, Ni2+ and Cu2+ from aqueous solution. Ceram. Int. 2018, 44, 9097–9104. [Google Scholar] [CrossRef]
- Nistico, R.; Cesano, F.; Franzoso, F.; Magnacca, G.; Scarano, D.; Funes, I.G.; Carlos, L.; Parolo, M.E. From biowaste to magnet-responsive materials for water remediation from polycyclic aromatic hydrocarbons. Chemosphere 2018, 202, 686–693. [Google Scholar] [CrossRef]
- Palma, D.; Bianco Prevot, A.; Celi, L.; Martin, M.; Fabbri, D.; Magnacca, G.; Chierotti, M.; Nisticò, R. Isolation, characterization, and environmental application of bio-based materials as auxiliaries in photocatalytic processes. Catalysts 2018, 8, 197. [Google Scholar] [CrossRef]
- Neamtu, M.; Nadejde, C.; Hodoroaba, V.D.; Schneider, R.J.; Verestiuc, L.; Panne, U. Functionalized magnetic nanoparticles: Synthesis, characterization, catalytic application and assessment of toxicity. Sci. Rep. 2018, 8, 6278. [Google Scholar] [CrossRef]
- Sun, Z.; Zhou, X.; Luo, W.; Yue, Q.; Zhang, Y.; Cheng, X.; Li, W.; Kong, B.; Deng, Y.; Zhao, D. Interfacial engineering of magnetic particles with porous shells: Towards magnetic core—Porous shell microparticles. Nano Today 2016, 11, 464–482. [Google Scholar] [CrossRef]
- Yermolenko, I.Y.; Ved, M.V.; Sakhnenko, N.D.; Shipkova, I.G.; Zyubanova, S.I. Nanostructured magnetic films based on iron with refractory metals. J. Magn. Magn. Mater. 2019, 475, 115–120. [Google Scholar] [CrossRef]
- Chen, X.-Z.; Hoop, M.; Mushtaq, F.; Siringil, E.; Hu, C.; Nelson, B.J.; Pané, S. Recent developments in magnetically driven micro- and nanorobots. Appl. Mater. Today 2017, 9, 37–48. [Google Scholar] [CrossRef]
- Bedanta, S.; Petracic, O.; Kleemann, W. Supermagnetism. In Handbook of Magnetic Materials; Bruck, E., Ed.; Elsevier: North Holland, The Netherlands, 2015; Volume 23, pp. 1–83. [Google Scholar]
- Karimi, Z.; Karimi, L.; Shokrollahi, H. Nano-magnetic particles used in biomedicine: Core and coating materials. Mat. Sci. Eng. C 2013, 33, 2465–2475. [Google Scholar] [CrossRef] [PubMed]
- Li, D.; Li, Y.; Pan, D.; Zhang, Z.; Choi, C.-J. Prospect and status of iron-based rare-earth-free permanent magnetic materials. J. Magn. Magn. Mater. 2019, 469, 535–544. [Google Scholar] [CrossRef]
- Rossi, L.M.; Costa, N.J.S.; Silva, F.P.; Wojcieszak, R. Magnetic nanomaterials in catalysis: Advanced catalysts for magnetic separation and beyond. Green Chem. 2014, 16, 2906–2933. [Google Scholar] [CrossRef]
- Sundaresan, A.; Rao, C.N.R. Ferromagnetism as a universal feature of inorganic nanoparticles. Nano Today 2009, 4, 96–106. [Google Scholar] [CrossRef]
- Hubert, A.; Schäfer, R. Magnetic Domains, The Analysis of Magnetic Microstructures; Springer-Verlag: Berlin/Heidelberg, Germany, 1998. [Google Scholar] [CrossRef]
- Tumanski, S. Handbook of Magnetic Measurements; CRC Press, Taylor & Francis Group: Boca Raton, FL, USA, 2011. [Google Scholar]
- Craik, D.J.; Tebble, R.S. Magnetic domains. Rep. Prog. Phys. 1961, 24, 116–166. [Google Scholar] [CrossRef]
- Jiles, D.C.; Atherton, D.L. Theory of ferromagnetic hysteresis. J. Magn. Magn. Mater. 1986, 61, 48–60. [Google Scholar] [CrossRef]
- Newbury, D.E.; Joy, D.C.; Echlin, P.; Fiori, C.E.; Goldstein, J.I. Advanced Scanning Electron Microscopy and X-Ray Microanalysis; Springer Science: New York, NY, USA, 1986. [Google Scholar] [CrossRef]
- Jiles, D.C. Theory of the magnetomechanical effect. J. Phys. D Appl. Phys. 1995, 28, 1537–1546. [Google Scholar] [CrossRef]
- Chien, C.L. Magnetism and Magnetic Measurement, Introduction. In Characterization of Materials, 2nd ed.; Kaufmann, E.N., Ed.; John Wiley & Sons: Hoboken, NY, USA, 2012. [Google Scholar] [CrossRef]
- Thanh, N.T.K. Magnetic Nanoparticles: From Fabrication to Clinical Applications; CRC Press, Taylor & Francis Group: Boca Raton, FL, USA, 2012. [Google Scholar]
- Quarterman, P.; Sun, C.; Garcia-Barriocanal, J.; Dc, M.; Lv, Y.; Manipatruni, S.; Nikonov, D.E.; Young, I.A.; Voyles, P.M.; Wang, J.P. Demonstration of Ru as the 4th ferromagnetic element at room temperature. Nat. Commun. 2018, 9, 2058. [Google Scholar] [CrossRef]
- Jordán, D.; González-Chávez, D.; Laura, D.; León Hilario, L.M.; Monteblanco, E.; Gutarra, A.; Avilés-Félix, L. Detection of magnetic moment in thin films with a home-made vibrating sample magnetometer. J. Magn. Magn. Mater. 2018, 456, 56–61. [Google Scholar] [CrossRef]
- IEEE Magnetics Society. Magnetic Units. Available online: http://www.ieeemagnetics.org/index.php?option=com_content&view=article&id=118&Itemid=107 (accessed on 25 September 2019).
- Sung, H.W.F.; Rudowicz, C. Physics behind the magnetic hysteresis loop—A survey of misconceptions in magnetism literature. J. Magn. Magn. Mater. 2003, 260, 250–260. [Google Scholar] [CrossRef]
- Kurgan, E.; Gas, P. Methods of Calculation the Magnetic Forces Acting on Particles in Magnetic Fluids. In Proceedings of the 2018 Progress in Applied Electrical Engineering (PAEE), Koscielisko, Poland, 18–22 June 2018; pp. 1–5. [Google Scholar] [CrossRef]
- Gerstein, G.; L’Vov, V.A.; Żak, A.; Dudziński, W.; Maier, H.J. Direct observation of nano-dimensional internal structure of ferromagnetic domains in the ferromagnetic shape memory alloy Co–Ni–Ga. J. Magn. Magn. Mater. 2018, 466, 125–129. [Google Scholar] [CrossRef]
- James, R.D. Magnetic alloys break the rules. Nature 2015, 521, 298–299. [Google Scholar] [CrossRef]
- Lu, A.H.; Salabas, E.L.; Schuth, F. Magnetic nanoparticles: Synthesis, protection, functionalization, and application. Angew. Chem. Int. Ed. Engl. 2007, 46, 1222–1244. [Google Scholar] [CrossRef]
- Ando, K. Seeking room-temperature ferromagnetic semiconductors. Science 2006, 312, 1883–1885. [Google Scholar] [CrossRef]
- Fitta, M.; Czaja, P.; Krupiński, M.; Lewińska, G.; Szuwarzyński, M.; Bałanda, M. Magnetic properties of bilayer thin film composed of hard and soft ferromagnetic Prussian Blue analogues. Chem. Select 2017, 2, 7930–7934. [Google Scholar] [CrossRef]
- Devi, E.C.; Soibam, I. Tuning the magnetic properties of a ferrimagnet. J. Magn. Magn. Mater. 2019, 469, 587–592. [Google Scholar] [CrossRef]
- Matsuura, K.; Sagayama, H.; Uehara, A.; Nii, Y.; Kajimoto, R.; Kamazawa, K.; Ikeuchi, K.; Ji, S.; Abe, N.; Arima, T.-H. Magnetic excitations in the orbital disordered phase of MnV2O4. Phys. B Cond. Matter 2018, 536, 372–376. [Google Scholar] [CrossRef]
- Gignoux, D.; Schmitt, D. Chapter 2 Magnetism of compounds of rare earths with non-magnetic metals. In Handbook of Magnetic Materials; Buschow, K.H.J., Ed.; Elsevier: North Holland, The Netherlands, 1997; Volume 10, pp. 239–413. [Google Scholar]
- Rhyne, J.J.; Erwin, R.W. Magnetism in artificial metallic superlattices of rare earth metals. In Handbook of Magnetic Materials; Buschow, K.H.J., Ed.; Elsevier: North Holland, The Netherlands, 1995; Volume 8, pp. 1–57. [Google Scholar]
- Woodruff, D.N.; Winpenny, R.E.; Layfield, R.A. Lanthanide single-molecule magnets. Chem. Rev. 2013, 113, 5110–5148. [Google Scholar] [CrossRef]
- München, D.D.; Veit, H.M. Neodymium as the main feature of permanent magnets from hard disk drives (HDDs). Waste Manag. 2017, 61, 372–376. [Google Scholar] [CrossRef] [PubMed]
- Ucar, H.; Choudhary, R.; Paudyal, D. An overview of the first principles studies of doped RE-TM5 systems for the development of hard magnetic properties. J. Magn. Magn. Mater. 2020, 496, 165902. [Google Scholar] [CrossRef]
- Chikazumi, S.S.; Graham, C.D. Physics of Ferromagnetism; University Press: Oxford, UK, 2009; Volume 94. [Google Scholar]
- Preller, T.; Menzel, D.; Knickmeier, S.; Porsiel, J.C.; Temel, B.; Garnweitner, G. Non-aqueous sol–gel synthesis of FePt nanoparticles in the absence of in situ stabilizers. Nanomaterials 2018, 8, 297. [Google Scholar] [CrossRef] [PubMed]
- Simon, M.D.; Geim, A.K. Diamagnetic levitation: Flying frogs and floating magnets. J. Appl. Phys. 2000, 87, 6200–6204. [Google Scholar] [CrossRef]
- Palagummi, S.; Yuan, F.G. Magnetic levitation and its application for low frequency vibration energy harvesting. In Structural Health Monitoring (SHM) in Aerospace Structures; Yuan, F.G., Ed.; Woodhead Publishing and Elsevier: North Holland, The Netherlands, 2016; pp. 213–251. [Google Scholar] [CrossRef]
- Paulo, V.I.M.; Neves-Araujo, J.; Revoredo, F.A.; Padrón-Hernández, E. Magnetization curves of electrodeposited Ni, Fe and Co nanotubes. Mater. Lett. 2018, 223, 78–81. [Google Scholar] [CrossRef]
- Venkata Ramana, E.; Figueiras, F.; Mahajan, A.; Tobaldi, D.M.; Costa, B.F.O.; Graça, M.P.F.; Valente, M.A. Effect of Fe-doping on the structure and magnetoelectric properties of (Ba0.85Ca0.15)(Ti0.9Zr0.1)O3 synthesized by a chemical route. J. Mater. Chem. C 2016, 4, 1066–1079. [Google Scholar] [CrossRef]
- Peixoto, E.B.; Carvalho, M.H.; Meneses, C.T.; Sarmento, V.H.V.; Coelho, A.A.; Zucolotto, B.; Duque, J.G.S. Analysis of zero field and field cooled magnetization curves of CoFe2O4 nanoparticles with a T-dependence on the saturation magnetization. J. Alloys Comp. 2017, 721, 525–530. [Google Scholar] [CrossRef]
- Nisticò, R.; Magnacca, G.; Antonietti, M.; Fechler, N. “Salted silica”: Sol–gel chemistry of silica under hypersaline conditions. Z. Anorg. Allg. Chem. 2014, 640, 582–587. [Google Scholar] [CrossRef]
- Nisticò, R.; Scalarone, D.; Magnacca, G. Sol-gel chemistry, templating and spin-coating deposition: A combined approach to control in a simple way the porosity of inorganic thin films/coatings. Microp. Mesop. Mater. 2017, 248, 18–29. [Google Scholar] [CrossRef]
- Wang, S.; Huang, K.; Hou, C.; Yuan, L.; Wu, X.; Lu, D. Low temperature hydrothermal synthesis, structure and magnetic properties of RECrO3 (RE = La, Pr, Nd, Sm). Dalton Trans. 2015, 44, 17201–17208. [Google Scholar] [CrossRef]
- Cesano, F.; Fenoglio, G.; Carlos, L.; Nisticò, R. One-step synthesis of magnetic chitosan polymer composite films. Appl. Surf. Sci. 2015, 345, 175–181. [Google Scholar] [CrossRef]
- Nisticò, R.; Franzoso, F.; Cesano, F.; Scarano, D.; Magnacca, G.; Parolo, M.E.; Carlos, L. Chitosan-derived iron oxide systems for magnetically guided and efficient water purification processes from polycyclic aromatic hydrocarbons. ACS Sustain. Chem. Eng. 2016, 5, 793–801. [Google Scholar] [CrossRef]
- Bianco Prevot, A.; Baino, F.; Fabbri, D.; Franzoso, F.; Magnacca, G.; Nistico, R.; Arques, A. Urban biowaste-derived sensitizing materials for caffeine photodegradation. Environ. Sci. Pollut. Res. Int. 2017, 24, 12599–12607. [Google Scholar] [CrossRef] [PubMed]
- Palma, D.; Bianco Prevot, A.; Brigante, M.; Fabbri, D.; Magnacca, G.; Richard, C.; Mailhot, G.; Nistico, R. New insights on the photodegradation of caffeine in the presence of bio-based substances-magnetic iron oxide hybrid nanomaterials. Materials 2018, 11, 1084. [Google Scholar] [CrossRef]
- Miller, J.S. Organic- and molecule-based magnets. Mater. Today 2014, 17, 224–235. [Google Scholar] [CrossRef]
- Shirakawa, N.; Tamura, M. Low temperature static magnetization of an organic ferromagnet, β-p-NPNN. Polyhedron 2005, 24, 2405–2408. [Google Scholar] [CrossRef]
- Shum, W.W.; Her, J.H.; Stephens, P.W.; Lee, Y.; Miller, J.S. Observation of the pressure dependent reversible enhancement of Tc and loss of the anomalous constricted hysteresis for [Ru2(O2CMe)4]3[Cr(CN)6]. Adv. Mater. 2007, 19, 2910–2913. [Google Scholar] [CrossRef]
- Fu, L.; Zhang, K.; Zhang, W.; Chen, J.; Deng, Y.; Du, Y.; Tang, N. Synthesis and intrinsic magnetism of bilayer graphene nanoribbons. Carbon 2019, 143, 1–7. [Google Scholar] [CrossRef]
- Ominato, Y.; Koshino, M. Orbital magnetism of graphene nanostructures. Sol. State Commun. 2013, 175–176, 51–61. [Google Scholar] [CrossRef]
- Tajima, K.; Isaka, T.; Yamashina, T.; Ohta, Y.; Matsuo, Y.; Takai, K. Functional group dependence of spin magnetism in graphene oxide. Polyhedron 2017, 136, 155–158. [Google Scholar] [CrossRef]
- Calle, D.; Negri, V.; Munuera, C.; Mateos, L.; Touriño, I.L.; Viñegla, P.R.; Ramírez, M.O.; García-Hernández, M.; Cerdán, S.; Ballesteros, P. Magnetic anisotropy of functionalized multi-walled carbon nanotube suspensions. Carbon 2018, 131, 229–237. [Google Scholar] [CrossRef]
- Kim, D.W.; Lee, K.W.; Lee, C.E. Defect-induced room-temperature ferromagnetism in single-walled carbon nanotubes. J. Magn. Magn. Mater. 2018, 460, 397–400. [Google Scholar] [CrossRef]
- Tucek, J.; Hola, K.; Bourlinos, A.B.; Blonski, P.; Bakandritsos, A.; Ugolotti, J.; Dubecky, M.; Karlicky, F.; Ranc, V.; Cepe, K.; et al. Room temperature organic magnets derived from sp3 functionalized graphene. Nature Commun. 2017, 8, 14525. [Google Scholar] [CrossRef] [PubMed]
- Georgakilas, V.; Perman, J.A.; Tucek, J.; Zboril, R. Broad family of carbon nanoallotropes: Classification, chemistry, and applications of fullerenes, carbon dots, nanotubes, graphene, nanodiamonds, and combined superstructures. Chem. Rev. 2015, 115, 4744–4822. [Google Scholar] [CrossRef] [PubMed]
- Wlodarski, Z. Analytical description of magnetization curves. Phys. B Cond. Matter 2006, 373, 323–327. [Google Scholar] [CrossRef]
- Stiles, M.D.; McMichael, R.D. Coercivity in exchange-bias bilayers. PRB 1995, 63, 064405. [Google Scholar] [CrossRef]
- Fiorillo, F. DC and AC magnetization processes in soft magnetic materials. J. Magn. Magn. Mater. 2002, 242–245, 77–83. [Google Scholar] [CrossRef]
- Yoshida, T.; Nakamura, T.; Higashi, O.; Enpuku, K. Effect of viscosity on the AC magnetization of magnetic nanoparticles under different AC excitation fields. J. Magn. Magn. Mater. 2019, 471, 334–339. [Google Scholar] [CrossRef]
- Panina, L.V.; Dzhumazoda, A.; Evstigneeva, S.A.; Adama, A.M.; Morchenko, A.T.; Yudanova, N.A.; Kostishyna, V.G. Temperature effects on magnetization processes and magnetoimpedance in low magnetostrictive amorphous microwires. J. Magn. Magn. Mater. 2018, 459, 147–153. [Google Scholar] [CrossRef]
- Franse, J.J.M.; Hién, T.D.; Ngân, N.H.K.; Dúc, N.H. Magnetization and AC susceptibility of TbxY1−xCo2 compounds. J. Magn. Magn. Mater. 1983, 39, 275–278. [Google Scholar] [CrossRef]
- Boutaba, A.; Lahoubi, M.; Varazashvili, V.; Puc, S. Magnetic, magneto-optical and specific heat studies of the low temperature anomalies in the magnetodielectric DyIG ferrite garnet. J. Magn. Magn. Mater. 2018, 476, 551–558. [Google Scholar] [CrossRef]
- Kodama, K. Measurement of dynamic magnetization induced by a pulsed field: Proposal for a new rock magnetism method. Front. Earth Sci. 2015, 3, 5. [Google Scholar] [CrossRef]
- Jackson, M. Magnetization, Isothermal Remanent. In Encyclopedia of Geomagnetism and Paleomagnetism; Gubbins, D., Herrero-Bervera, E., Eds.; Springer: Dordrecht, The Netherlands, 2007. [Google Scholar] [CrossRef]
- Clarke, J. SQUID Concepts and Systems. In Superconducting Electronics. NATO ASI Series (Series F: Computer and Systems Sciences); Weinstock, H., Nisenoff, M., Eds.; Springer: Berlin/Heidelberg, Germany, 1989; Volume 59. [Google Scholar]
- Conta, G.; Amato, G.; Coisson, M.; Tiberto, P. Experimental insight into the magnetic and electrical properties of amorphous Ge1−xMnx. Sci. Technol. Adv. Mater. 2017, 18, 34–42. [Google Scholar] [CrossRef]
- Drung, D.; Cantor, R.; Peters, M.; Ryhanen, T.; Koch, H. Integrated DC SQUID magnetometer with high dV/dB. IEEE Trans. Magnet. 1991, 27, 3001–3004. [Google Scholar] [CrossRef]
- Meredith, D.J.; Pickett, G.R.; Symko, O.G. Application of a SQUID magnetometer to NMR at low temperatures. J. Low Temp. Phys. 1973, 13, 607–615. [Google Scholar] [CrossRef]
- Wu, L.; Mendoza-Garcia, A.; Li, Q.; Sun, S. Organic Phase Syntheses of Magnetic Nanoparticles and Their Applications. Chem. Rev. 2016, 116, 10473–10512. [Google Scholar] [CrossRef]
- Gaul, A.; Emmrich, D.; Ueltzhoffer, T.; Huckfeldt, H.; Doganay, H.; Hackl, J.; Khan, M.I.; Gottlob, D.M.; Hartmann, G.; Beyer, A.; et al. Size limits of magnetic-domain engineering in continuous in-plane exchange-bias prototype films. Beilstein J. Nanotechnol. 2018, 9, 2968–2979. [Google Scholar] [CrossRef]
- Coïsson, M.; Barrera, G.; Celegato, F.; Tiberto, P. Rotatable magnetic anisotropy in Fe78Si9B13 thin films displaying stripe domains. Appl. Surf. Sci. 2019, 476, 402–411. [Google Scholar] [CrossRef]
- Staňo, M.; Fruchart, O. Magnetic Nanowires and Nanotubes. In Handbook of Magnetic Materials 2018; Elsevier: North Holland, The Netherlands, 2018; pp. 155–267. [Google Scholar] [CrossRef]
- Sala, A. Sala Imaging at the Mesoscale. 2018. Available online: https://arxiv.org/abs/1812.01610 (accessed on 28 December 2019).
- Dehsari, H.S.; Ksenofontov, V.; Möller, A.; Jakob, G.; Asadi, K. Determining Magnetite/Maghemite Composition and Core–Shell Nanostructure from Magnetization Curve for Iron Oxide Nanoparticles. J. Phys. Chem. C 2018, 122, 28292–28301. [Google Scholar] [CrossRef]
- Pagoto, A.; Stefania, R.; Garello, F.; Arena, F.; Digilio, G.; Aime, S.; Terreno, E. Paramagnetic phospholipid-based micelles targeting VCAM-1 receptors for MRI visualization of inflammation. Bioconj. Chem. 2016, 27, 1921–1930. [Google Scholar] [CrossRef]
- Garello, F.; Arena, F.; Cutrin, J.C.; Esposito, G.; D’Angeli, L.; Cesano, F.; Filippi, M.; Figueiredo, S.; Terreno, E. Glucan particles loaded with a NIRF agent for imaging monocytes/macrophages recruitment in a mouse model of rheumatoid arthritis. RSC Adv. 2015, 5, 34078–34087. [Google Scholar] [CrossRef]
- Garello, F.; Pagoto, A.; Arena, F.; Buffo, A.; Blasi, F.; Alberti, D.; Terreno, E. MRI visualization of neuroinflammation using VCAM-1 targeted paramagnetic micelles. Nanomedicine 2018, 14, 2341–2350. [Google Scholar] [CrossRef] [PubMed]
- Garello, F.; Stefania, R.; Aime, S.; Terreno, E.; Delli Castelli, D. Successful entrapping of liposomes in glucan particles: An innovative micron-sized carrier to deliver water-soluble molecules. Mol. Pharm. 2014, 11, 3760–3765. [Google Scholar] [CrossRef]
- Cesano, F.; Rattalino, I.; Bardelli, F.; Sanginario, A.; Gianturco, A.; Veca, A.; Viazzi, C.; Castelli, P.; Scarano, D.; Zecchina, A. Structure and properties of metal-free conductive tracks on polyethylene/multiwalled carbon nanotube composites as obtained by laser stimulated percolation. Carbon 2013, 61, 63–71. [Google Scholar] [CrossRef]
- Cravanzola, S.; Cesano, F.; Magnacca, G.; Zecchina, A.; Scarano, D. Designing rGO/MoS2 hybrid nanostructures for photocatalytic applications. RSC Adv. 2016, 6, 59001–59008. [Google Scholar] [CrossRef]
- Groppo, E.; Lamberti, C.; Cesano, F.; Zecchina, A. On the fraction of Cr-II sites involved in the C2H4 polymerization on the Cr/SiO2 Phillips catalyst: A quantification by FTIR spectroscopy. PCCP 2006, 8, 2453–2456. [Google Scholar] [CrossRef]
- Laurent, S.; Forge, D.; Port, M.; Roch, A.; Robic, C.; Elst, L.V.; Muller, R.N. Magnetic Iron Oxide Nanoparticles: Synthesis, Stabilization, Vectorization, Physicochemical Characterizations, and Biological Applications. Chem. Rev. 2008, 108, 2064–2110. [Google Scholar] [CrossRef]
- Bianco Prevot, A.; Arques, A.; Carlos, L.; Laurenti, E.; Magnacca, G.; Nisticò, R. Innovative sustainable materials for the photoinduced remediation of polluted water. In Sustainable Water and Wastewater Processes; Galanakis, C.M., Agrafioti, E., Eds.; Elsevier Inc.: Amsterdam, The Netherlands, 2019; pp. 203–238. [Google Scholar]
- Nisticò, R.; Bianco Prevot, A.; Magnacca, G.; Canone, L.; Garcia-Ballesteros, S.; Arques, A. Sustainable magnetic materials (from chitosan and municipal biowaste) for the removal of Diclofenac from water. Nanomaterials 2019, 9, 1091. [Google Scholar] [CrossRef]
- Nisticò, R.; Celi, L.R.; Bianco Prevot, A.; Carlos, L.; Magnacca, G.; Zanzo, E.; Martin, M. Sustainable magnet-responsive nanomaterials for the removal of arsenic from contaminated water. J. Hazard. Mater. 2018, 342, 260–269. [Google Scholar] [CrossRef]
- Sifford, J.; Walsh, K.J.; Tong, S.; Bao, G.; Agarwal, G. Indirect magnetic force microscopy. Nanoscale Adv. 2019, 1, 2348–2355. [Google Scholar] [CrossRef] [PubMed]
- Celotta, R.J.; Unguris, J.; Kelley, M.H.; Pierce, D.T. Techniques to Measure Magnetic Domain Structures. In Characterization of Materials, 2nd ed.; Kaufmann, E., Ed.; John Wiley & Sons: Hoboken, NJ, USA, 2012. [Google Scholar] [CrossRef]
- Celotta, R.J.; Unguris, J.; Pierce, D.T. Magnetic Domain Imaging of Spintronic Devices. In Magnetic Interactions and Spin Transport; Chtchelkanova, A., Wolf, S.Y.I., Eds.; Springer: Boston, MA, USA, 2003. [Google Scholar] [CrossRef]
- Dickson, W.; Takahashi, S.; Pollard, R.; Atkinson, R.; Zayats, A.V. High-Resolution Optical Imaging of Magnetic-Domain Structures. IEEE Trans. Nanotechnol. 2005, 4, 229–237. [Google Scholar] [CrossRef]
- Petford-Long, A.K.; Chapman, J.N. Lorentz Microscopy. In Magnetic Microscopy of Nanostructures; Hopster, H., Oepen, H.P., Eds.; Springer: Berlin/Heidelberg, Germany, 2005. [Google Scholar] [CrossRef]
- Tanase, M.; Petford-Long, A.K. In situ TEM observation of magnetic materials. Microsc. Res. Tech. 2009, 72, 187–196. [Google Scholar] [CrossRef] [PubMed]
- Shibata, N.; Findlay, S.D.; Matsumoto, T.; Kohno, Y.; Seki, T.; Sánchez-Santolino, G.; Ikuhara, Y. Direct Visualization of Local Electromagnetic Field Structures by Scanning Transmission Electron Microscopy. Acc. Chem. Res. 2018, 50, 1502–1512. [Google Scholar] [CrossRef] [PubMed]
- Kovács, A.; Dunin-Borkowski, R.E. Magnetic Imaging of Nanostructures Using Off-Axis Electron Holography. In Handbook of Magnetic Materials, Handbook of Magnetic Materials; Brück, E., Ed.; Elsevier: North Holland, The Netherlands, 2018; Volume 27, pp. 59–153. [Google Scholar] [CrossRef]
- Koike, K. Spin-polarized scanning electron microscopy. Microscopy 2013, 62, 177–191. [Google Scholar] [CrossRef]
- Takeichi, Y. Scanning Transmission X-Ray Microscopy. In Compendium of Surface and Interface Analysis; Springer: Singapore, 2018; pp. 593–597. [Google Scholar] [CrossRef]
- Van der Laan, G.; Figueroa, A.I. X-ray magnetic circular dichroism—A versatile tool to study magnetism. Coord. Chem. Rev. 2014, 277–278, 95–129. [Google Scholar] [CrossRef]
- De Groot, L.V.; Fabian, K.; Bakelaar, I.A.; Dekkers, M.J. Magnetic force microscopy reveals meta-stable magnetic domain states that prevent reliable absolute palaeointensity experiments. Nat. Commun. 2014, 5, 4548. [Google Scholar] [CrossRef]
- Ferri, F.A.; Pereira-da-Silva, M.A.; Marega, E. Magnetic Force Microscopy: Basic Principles and Applications. In Imaging, Measuring and Manipulating Surfaces at the Atomic Scale; Bellitto, V., Ed.; IntechOpen: London, UK, 2012. [Google Scholar] [CrossRef]
- Fischer, P. X-Ray Imaging of Magnetic Structures. IEEE Trans. Magn. 2015, 51, 0800131. [Google Scholar] [CrossRef]
- Simpson, D.A.; Tetienne, J.P.; McCoey, J.M.; Ganesan, K.; Hall, L.T.; Petrou, S.; Scholten, R.E.; Hollenberg, L.C. Magneto-optical imaging of thin magnetic films using spins in diamond. Sci. Rep. 2016, 6, 22797. [Google Scholar] [CrossRef]
- Le Sage, D.; Arai, K.; Glenn, D.R.; DeVience, S.J.; Pham, L.M.; Rahn-Lee, L.; Lukin, M.D.; Yacoby, A.; Komeili, A.; Walsworth, R.L. Optical magnetic imaging of living cells. Nature 2013, 496, 486–489. [Google Scholar] [CrossRef]
- Fischer, P. Viewing spin structures with soft X-ray microscopy. Mater. Today 2010, 13, 14–22. [Google Scholar] [CrossRef]
- Ge, M.; Coburn, D.S.; Nazaretski, E.; Xu, W.; Gofron, K.; Xu, H.; Yin, Z.; Lee, W.-K. One-minute nano-tomography using hard X-ray full-field transmission microscope. Appl. Phys. Lett. 2018, 113, 083109. [Google Scholar] [CrossRef]
- Donnelly, C.; Guizar-Sicairos, M.; Scagnoli, V.; Gliga, S.; Holler, M.; Raabe, J.; Heyderman, L.J. Three-dimensional magnetization structures revealed with X-ray vector nanotomography. Nature 2017, 547, 328–331. [Google Scholar] [CrossRef] [PubMed]
- Streubel, R.; Kronast, F.; Fischer, P.; Parkinson, D.; Schmidt, O.G.; Makarov, D. Retrieving spin textures on curved magnetic thin films with full-field soft X-ray microscopies. Nat. Commun. 2015, 6, 7612. [Google Scholar] [CrossRef] [PubMed]
- Kiyanagi, Y. Neutron Imaging at Compact Accelerator-Driven Neutron Sources in Japan. J. Imaging 2018, 4, 55. [Google Scholar] [CrossRef]
- Kardjilov, N.; Hilger, A.; Manke, I.; Strobl, M.; Banhart, J. Imaging with Polarized Neutrons. J. Imaging 2018, 4, 23. [Google Scholar] [CrossRef]
- Manke, I.; Kardjilov, N.; Schäfer, R.; Hilger, A.; Grothausmann, R.; Strobl, M.; Dawson, M.; Grünzweig, C.; Tötzke, C.; David, C.; et al. Three-Dimensional Imaging of Magnetic Domains with Neutron Grating Interferometry. Phys. Procedia 2015, 69, 404–412. [Google Scholar] [CrossRef]
- Hámos, L.; Thiessen, P.A. Über die Sichtbarmachung von Bezirken verschiedenen ferromagnetischen Zustandes fester Körper. Z. Phys. 1931, 71, 442–444. [Google Scholar] [CrossRef]
- Bitter, F. On Inhomogeneities in the Magnetization of Ferromagnetic Materials. Phys. Rev. 1931, 38, 1903–1905. [Google Scholar] [CrossRef]
- Gong, C.; Li, L.; Li, Z.; Ji, H.; Stern, A.; Xia, Y.; Cao, T.; Bao, W.; Wang, C.; Wang, Y.; et al. Discovery of intrinsic ferromagnetism in two-dimensional van der Waals crystals. Nature 2017, 546, 265–269. [Google Scholar] [CrossRef]
- Bozorth, R.M. Magnetic domain patterns. J. Phys. Radium. 1951, 12, 308–321. [Google Scholar] [CrossRef]
- Szmaja, W.; Balcerski, J. Domain investigation by the conventional Bitter pattern technique with digital image processing. Czech. J. Phys. 2002, 52, 223–226. [Google Scholar] [CrossRef]
- Olson, A.L. On the Visibility of Bitter Powder Patterns on Ferromagnetic Films with Bloch and Néel-Type Domain Walls. J. Appl. Phys. 1967, 38, 1869–1871. [Google Scholar] [CrossRef]
- Sonntag, N.; Cabeza, S.; Kuntner, M.; Mishurova, T.; Klaus, M.; Kling e Silva, L.; Skrotzki, B.; Genzel, C.; Bruno, G. Visualisation of deformation gradients in structural steel by macroscopic magnetic domain distribution imaging (Bitter technique). Strain 2018, 54, e12296. [Google Scholar] [CrossRef]
- Arregi, J.A.; Riego, P.; Berger, A. What is the longitudinal magneto-optical Kerr effect? J. Phys. D Appl. Phys. 2017, 50, 03LT01. [Google Scholar] [CrossRef]
- Lee, J.; Wang, Z.; Xie, H.; Mak, K.F.; Shan, J. Valley magnetoelectricity in single-layer MoS2. Nat. Mater. 2017, 16, 887–891. [Google Scholar] [CrossRef] [PubMed]
- Chen, J.Y.; Zhu, J.; Zhang, D.; Lattery, D.M.; Li, M.; Wang, J.P.; Wang, X. Time-Resolved Magneto-Optical Kerr Effect of Magnetic Thin Films for Ultrafast Thermal Characterization. J. Phys. Chem. Lett. 2016, 7, 2328–2332. [Google Scholar] [CrossRef] [PubMed]
- Kustov, M.; Grechishkin, R.; Gusev, M.; Gasanov, O.; McCord, J. A Novel Scheme of Thermographic Microimaging Using Pyro-Magneto-Optical Indicator Films. Adv. Mater. 2015, 27, 5017–5022. [Google Scholar] [CrossRef]
- Oatley, C.W. The early history of the scanning electron microscope. J. Appl. Phys. 1982, 53, R1. [Google Scholar] [CrossRef]
- Robinson, V.N.E. Imaging with Backscattered Electrons in a Scanning Electron Microscope. Scanning 1980, 3, 15–26. [Google Scholar] [CrossRef]
- Banbury, J.R.; Nixon, W.C. The direct observation of domain structure and magnetic fields in the scanning electron microscope. J. Sci. Instr. 1967, 44, 889. [Google Scholar] [CrossRef]
- Philibert, J.; Tixier, R. Effets de contraste cristallin en microscopie électronique à balayage. Micron 1969, 1, 174–186. [Google Scholar] [CrossRef]
- Pierce, D.T.; Celotta, R.J. Spin Polarization in Electron Scattering from Surfaces. Adv. Electron. Electr. Phys. 1981, 56, 219–289. [Google Scholar]
- Koike, K.; Hayakawa, K. Spin Polarization of Electron-Excited Secondary Electrons from a Permalloy Polycrystal. Jpn. J. Appl. Phys. 1984, 23, L85–L87. [Google Scholar] [CrossRef]
- Bertolini, G.; De Pietro, T.; Bähler, T.; Cabrera, H.; Gürlüab, O.; Pescia, D.; Ramsperger, U. Scanning Field Emission Microscopy with Polarization Analysis (SFEMPA). J. Electr. Spectr. Rel. Phen. 2019, 2019. in press. [Google Scholar] [CrossRef]
- Shibata, N.; Kohno, Y.; Nakamura, A.; Morishita, S.; Seki, T.; Kumamoto, A.; Sawada, H.; Matsumoto, T.; Findlay, S.D.; Ikuhara, Y. Atomic resolution electron microscopy in a magnetic field free environment. Nat. Commun. 2019, 10, 2308. [Google Scholar] [CrossRef] [PubMed]
- Morishita, S.; Ishikawa, R.; Kohno, Y.; Sawada, H.; Shibata, N.; Ikuhara, Y. Attainment of 40.5 pm spatial resolution using 300 kV scanning transmission electron microscope equipped with fifth-order aberration corrector. Microscopy 2018, 67, 46–50. [Google Scholar]
- Cesano, F.; Cravanzola, S.; Rahman, M.; Scarano, D. Interplay between Fe-Titanate Nanotube Fragmentation and Catalytic Decomposition of C2H4: Formation of C/TiO2 Hybrid Interfaces. Inorganics 2018, 6, 55. [Google Scholar] [CrossRef]
- Cheng, R.; Li, M.; Sapkota, A.; Rai, A.; Pokhrel, A.; Mewes, T.; Mewes, C.; Xiao, D.; De Graef, M.; Sokalski, V. Magnetic domain wall skyrmions. PRB 2019, 99, 184412. [Google Scholar] [CrossRef]
- McVitie, S.; McGrouther, D.; McFadzean, S.; MacLaren, D.A.; O’Shea, K.J.; Benitez, M.J. Aberration corrected Lorentz scanning transmission electron microscopy. Ultramicroscopy 2015, 152, 57–62. [Google Scholar] [CrossRef]
- Nago, Y.; Ishiguro, R.; Sakurai, T.; Yakabe, M.; Nakamura, T.; Yonezawa, S.; Kashiwaya, S.; Takayanagi, H.; Maeno, Y. Evolution of supercurrent path in Nb/Ru/Sr2RuO4 dc-SQUIDs. PRB 2016, 94, 054501. [Google Scholar] [CrossRef]
- Cooper, D.; Béché, A.; Hertog, M.D.; Masseboeuf, A.; Rouvière, J.-L.; Guillem, P.B.; Gambacorti, N. Off-Axis Electron Holography for Field Mapping in the Semiconductor Industry. Microsc. Anal. 2010, 5, 7. [Google Scholar]
- Serrano-Ramon, L.; Cordoba, R.; Rodriguez, L.A.; Magen, C.; Snoeck, E.; Gatel, C.; Serrano, I.; Ibarra, M.R.; De Teresa, J.M. Ultrasmall functional ferromagnetic nanostructures grown by focused electron-beam-induced deposition. ACS Nano 2011, 5, 7781–7787. [Google Scholar] [CrossRef] [PubMed]
- Almeida, T.P.; Muxworthy, A.R.; Williams, W.; Takeshi, K.; Kovács, A.; Dunin-Borkowski, R.E. Off-axis electron holography for imaging the magnetic behavior of vortex-state minerals. Microsc. Anal. 2019, 8, 5–8. [Google Scholar]
- Zhou, C.; Chen, G.; Xu, J.; Liang, J.; Liu, K.; Schmid, A.K.; Wu, Y. Magnetic domain wall contrast under zero domain contrast conditions in spin polarized low energy electron microscopy. Ultramicroscopy 2019, 200, 132–138. [Google Scholar] [CrossRef] [PubMed]
- Scarano, D.; Bertarione, S.; Cesano, F.; Spoto, G.; Zecchina, A. Imaging polycrystalline and smoke MgO surfaces with atomic force microscopy: A case study of high resolution image on a polycrystalline oxide. Surf. Sci. 2004, 570, 155–166. [Google Scholar] [CrossRef]
- Fatayer, S.; Albrecht, F.; Zhang, Y.; Urbonas, D.; Peña, D.; Moll, N.; Gross, L. Molecular structure elucidation with charge-state control. Science 2019, 365, 142–145. [Google Scholar] [PubMed]
- Kazakova, O.; Puttock, R.; Barton, C.; Corte-León, H.; Jaafar, M.; Neu, V.; Asenjo, A. Frontiers of magnetic force microscopy. J. Appl. Phys. 2019, 125, 060901. [Google Scholar] [CrossRef]
- Cesano, F.; Cravanzola, S.; Brunella, V.; Damin, A.; Scarano, D. From Polymer to Magnetic Porous Carbon Spheres: Combined Microscopy, Spectroscopy, and Porosity Studies. Front. Chem. 2019, 6, 84. [Google Scholar] [CrossRef]
- Krivcov, A.; Schneider, J.; Junkers, T.; Möbius, H. Magnetic Force Microscopy of in a Polymer Matrix Embedded Single Magnetic Nanoparticles. Phys. Stat. Sol. A 2018, 216, 1800753. [Google Scholar] [CrossRef]
- Coïsson, M.; Celegato, F.; Barrera, G.; Conta, G.; Magni, A.; Tiberto, P. Bi-Component Nanostructured Arrays of Co Dots Embedded in Ni80Fe20 Antidot Matrix: Synthesis by Self-Assembling of Polystyrene Nanospheres and Magnetic Properties. Nanomaterials 2017, 7, 232. [Google Scholar] [CrossRef]
- Stolyarov, V.S.; Veshchunov, I.S.; Grebenchuk, S.Y.; Baranov, D.S.; Golovchanskiy, I.A.; Shishkin, A.G.; Zhou, N.; Shi, Z.; Xu, X.; Pyon, S.; et al. Domain Meissner state and spontaneous vortex-antivortex generation in the ferromagnetic superconductor EuFe2(As0.79P0.21)2. Sci. Adv. 2018, 4, eaat1061. [Google Scholar] [CrossRef] [PubMed]
- Geng, Y.; Das, H.; Wysocki, A.L.; Wang, X.; Cheong, S.W.; Mostovoy, M.; Fennie, C.J.; Wu, W. Direct visualization of magnetoelectric domains. Nat. Mater. 2014, 13, 163–167. [Google Scholar] [CrossRef] [PubMed]
- Seki, S.; Yu, X.Z.; Ishiwata, S.; Tokura, Y. Observation of Skyrmions in a Multiferroic Materials. Science 2012, 336, 198–201. [Google Scholar] [CrossRef] [PubMed]
- Guo, F.S.; Bar, A.K.; Layfield, R.A. Main Group Chemistry at the Interface with Molecular Magnetism. Chem. Rev. 2019, 119, 8479–8505. [Google Scholar] [CrossRef] [PubMed]
- Guo, F.S.; Day, B.M.; Chen, Y.C.; Tong, M.L.; Mansikkamäki, A.; Layfield, R.A. Magnetic hysteresis up to 80 kelvin in a dysprosium metallocene single-molecule magnet. Science 2018, 362, 1400–1403. [Google Scholar] [CrossRef] [PubMed]
- Iacovita, C.; Rastei, M.V.; Heinrich, B.W.; Brumme, T.; Kortus, J.; Limot, L.; Bucher, J.P. Visualizing the spin of individual cobalt-phthalocyanine molecules. PRL 2008, 101, 116602. [Google Scholar] [CrossRef] [PubMed]
- Schwobel, J.; Fu, Y.; Brede, J.; Dilullo, A.; Hoffmann, G.; Klyatskaya, S.; Ruben, M.; Wiesendanger, R. Real-space observation of spin-split molecular orbitals of adsorbed single-molecule magnets. Nat. Commun. 2012, 3, 953. [Google Scholar] [CrossRef]
- Reith, P.; Renshaw Wang, X.; Hilgenkamp, H. Analysing magnetism using scanning SQUID microscopy. Rev. Sci. Instrum. 2017, 88, 123706. [Google Scholar] [CrossRef]
- Walbrecker, J.O.; Kalisky, B.; Grombacher, D.; Kirtley, J.; Moler, K.A.; Knight, R. Direct measurement of internal magnetic fields in natural sands using scanning SQUID microscopy. J. Magn. Reson. 2014, 242, 10–17. [Google Scholar] [CrossRef]
- Boschker, H.; Harada, T.; Asaba, T.; Ashoori, R.; Boris, A.V.; Hilgenkamp, H.; Hughes, C.R.; Holtz, M.E.; Li, L.; Muller, D.A.; et al. Ferromagnetism and Conductivity in Atomically Thin SrRuO3. Phys. Rev. X 2019, 9, 011027. [Google Scholar] [CrossRef]
- Kirtley, J.R. Probing the order parameter symmetry in the cuprate high temperature superconductors by SQUID microscopy. Comptes Rendus Phys. 2011, 12, 436–445. [Google Scholar] [CrossRef]
- Ghirri, A.; Candini, A.; Evangelisti, M.; Gazzadi, G.C.; Volatron, F.; Fleury, B.; Catala, L.; David, C.; Mallah, T.; Affronte, M. Magnetic Imaging of Cyanide-Bridged Co-ordination Nanoparticles Grafted on FIB-Patterned Si Substrates. Small 2008, 4, 2240–2246. [Google Scholar] [CrossRef] [PubMed]
- Dede, M.; Akram, R.; Oral, A. 3D scanning Hall probe microscopy with 700 nm resolution. Appl. Phys. Lett. 2017, 109, 182407. [Google Scholar] [CrossRef]
- Kleibert, A.; Balan, A.; Yanes, R.; Derlet, P.M.; Vaz, C.A.F.; Timm, M.; Fraile Rodríguez, A.; Béché, A.; Verbeeck, J.; Dhaka, R.S.; et al. Direct observation of enhanced magnetism in individual size- and shape-selected 3d transition metal nanoparticles. Phys. Rev. B 2017, 95, 195404. [Google Scholar] [CrossRef]
- Ruiz-Gomez, S.; Perez, L.; Mascaraque, A.; Quesada, A.; Prieto, P.; Palacio, I.; Martin-Garcia, L.; Foerster, M.; Aballe, L.; de la Figuera, J. Geometrically defined spin structures in ultrathin Fe3O4 with bulk like magnetic properties. Nanoscale 2018, 10, 5566–5573. [Google Scholar] [CrossRef]
- Guo, F.; Li, Q.; Zhang, H.; Yang, X.; Tao, Z.; Chen, X.; Chen, J. Czochralski Growth, Magnetic Properties and Faraday Characteristics of CeAlO3 Crystals. Crystals 2019, 9, 245. [Google Scholar] [CrossRef]
- Kotani, Y.; Senba, Y.; Toyoki, K.; Billington, D.; Okazaki, H.; Yasui, A.; Ueno, W.; Ohashi, H.; Hirosawa, S.; Shiratsuchi, Y.; et al. Realization of a scanning soft X-ray microscope for magnetic imaging under high magnetic fields. J. Synchrotron Radiat. 2018, 25, 1444–1449. [Google Scholar] [CrossRef]
- Sala, A. Multiscale X-ray imaging using ptychography. J. Synchrotron Radiat. 2019, 25, 1214–1221. [Google Scholar] [CrossRef]
- Hitchcock, A. Advances in Soft X-Ray Spectromicroscopy. Imaging and Microscopy 2019. Available online: https://www.imaging-git.com (accessed on 29 December 2019).
- Blanco-Roldán, C.; Quirós, C.; Sorrentino, A.; Hierro-Rodríguez, A.; Álvarez-Prado, L.M.; Valcárcel, R.; Duch, M.; Torras, N.; Esteve, J.; Martín, J.I.; et al. Nanoscale imaging of buried topological defects with quantitative X-ray magnetic microscopy. Nat. Commun. 2015, 6, 8196. [Google Scholar] [CrossRef]
- Hierro-Rodriguez, A.; Gürsoy, D.; Phatak, C.; Quirós, C.; Sorrentino, A.; Álvarez-Prado, L.M.; Vélez, M.; Martín, J.I.; Alameda, J.M.; Pereiro, E.; et al. 3D reconstruction of magnetization from dichroic soft X-ray transmission tomography. J. Synchr. Rad. 2018, 25, 1144–1152. [Google Scholar] [CrossRef]
- Manke, I.; Kardjilov, N.; Schafer, R.; Hilger, A.; Strobl, M.; Dawson, M.; Grunzweig, C.; Behr, G.; Hentschel, M.; David, C.; et al. Three-dimensional imaging of magnetic domains. Nat. Commun. 2010, 1, 125. [Google Scholar] [CrossRef]
- Suzuki, M.; Kim, K.-J.; Kim, S.; Yoshikawa, H.; Tono, T.; Yamada, K.T.; Taniguchi, T.; Mizuno, H.; Oda, K.; Ishibashi, M.; et al. Three-dimensional visualization of magnetic domain structure with strong uniaxial anisotropy via scanning hard X-ray microtomography. Appl. Phys. Express 2018, 11, 036601. [Google Scholar] [CrossRef]
- Wolf, D.; Biziere, N.; Sturm, S.; Reyes, D.; Wade, T.; Niermann, T.; Krehl, J.; Warot-Fonrose, B.; Büchner, B.; Snoeck, E.; et al. Holographic vector field electron tomography of three-dimensional nanomagnets. Commun. Phys. 2019, 2, 87. [Google Scholar] [CrossRef]
- Hopper, D.A.; Shulevitz, H.J.; Bassett, L.C. Spin Readout Techniques of the Nitrogen-Vacancy Center in Diamond. Micromachines 2018, 9, 437. [Google Scholar] [CrossRef] [PubMed]
- Grinolds, M.S.; Hong, S.; Maletinsky, P.; Luan, L.; Lukin, M.D.; Walsworth, R.L.; Yacoby, A. Nanoscale magnetic imaging of a single electron spin under ambient conditions. Nat. Phys. 2013, 9, 215. [Google Scholar] [CrossRef]
- Thiel, L.; Wang, Z.; Tschudin, M.A.; Rohner, D.; Gutiérrez-Lezama, I.; Ubrig, N.; Gibertini, M.; Giannini, E.; Morpurgo, A.F.; Maletinsky, P. Probing magnetism in 2D materials at the nanoscale with single-spin microscopy. Science 2019, 364, 973–976. [Google Scholar] [CrossRef]
- Turino, L.N.; Ruggiero, M.R.; Stefania, R.; Cutrin, J.C.; Aime, S.; Geninatti Crich, S. Ferritin Decorated PLGA/Paclitaxel Loaded Nanoparticles Endowed with an Enhanced Toxicity Toward MCF-7 Breast Tumor Cells. Bioconjugate Chem. 2017, 28, 1283–1290. [Google Scholar] [CrossRef]
- Kudr, J.; Haddad, Y.; Richtera, L.; Heger, Z.; Cernak, M.; Adam, V.; Zitka, O. Magnetic Nanoparticles: From Design and Synthesis to Real World Applications. Nanomaterials 2017, 7, 243. [Google Scholar] [CrossRef]
- Ito, A.; Shinkai, M.; Honda, H.; Kobayashi, T. Medical application of functionalized magnetic nanoparticles. J. Biosci. Bioeng. 2005, 100, 1–11. [Google Scholar] [CrossRef]
- Garello, F.; Terreno, E. Sonosensitive MRI nanosystems as cancer theranostics: A recent update. Front. Chem. 2018, 6, 157. [Google Scholar] [CrossRef]
- Anderson, S.D.; Gwenin, V.V.; Gwenin, C.D. Magnetic Functionalized Nanoparticles for Biomedical, Drug Delivery and Imaging Applications. Nanoscale Res. Lett. 2019, 14, 188. [Google Scholar] [CrossRef] [PubMed]
- Hirt, A.M.; Sotiriou, G.A.; Kidambi, P.R.; Teleki, A. Effect of size, composition, and morphology on magnetic performance: First-order reversal curves evaluation of iron oxide nanoparticles. J. Appl. Phys. 2014, 115, 044314. [Google Scholar] [CrossRef]
- Hoshyar, N.; Gray, S.; Han, H.; Bao, G. The effect of nanoparticle size on in vivo pharmacokinetics and cellular interaction. Nanomedicine 2016, 11, 673–692. [Google Scholar] [CrossRef] [PubMed]
- Albanese, A.; Tang, P.S.; Chan, W.C. The effect of nanoparticle size, shape, and surface chemistry on biological systems. Ann. Rev. Biomed. Eng. 2012, 14, 1–16. [Google Scholar] [CrossRef] [PubMed]
- Toy, R.; Peiris, P.M.; Ghaghada, K.B.; Karathanasis, E. Shaping cancer nanomedicine: The effect of particle shape on the in vivo journey of nanoparticles. Nanomedicine 2014, 9, 121–134. [Google Scholar] [CrossRef] [PubMed]
- Marco, M.D.; Sadun, C.; Port, M.; Guilbert, I.; Couvreur, P.; Dubernet, C. Physicochemical characterization of ultrasmall superparamagnetic iron oxide particles (USPIO) for biomedical application as MRI contrast agents. Int. J. Nanomed. 2007, 2, 609–622. [Google Scholar]
- Wu, Y.L.; Ye, Q.; Foley, L.M.; Hitchens, T.K.; Sato, K.; Williams, J.B.; Ho, C. In situ labeling of immune cells with iron oxide particles: An approach to detect organ rejection by cellular MRI. Proc. Natl. Acad. Sci. USA 2006, 103, 1852–1857. [Google Scholar] [CrossRef]
- Williams, J.B.; Ye, Q.; Hitchens, T.K.; Kaufman, C.L.; Ho, C. MRI detection of macrophages labeled using micrometer-sized iron oxide particles. J. Magn. Reson. Imaging 2007, 25, 1210–1218. [Google Scholar] [CrossRef]
- Feng, Q.; Liu, Y.; Huang, J.; Chen, K.; Huang, J.; Xiao, K. Uptake, distribution, clearance, and toxicity of iron oxide nanoparticles with different sizes and coatings. Sci. Rep. 2018, 8, 2082. [Google Scholar] [CrossRef]
- Lee, J.H.; Ju, J.E.; Kim, B.I.; Pak, P.J.; Choi, E.K.; Lee, H.S.; Chung, N. Rod-shaped iron oxide nanoparticles are more toxic than sphere-shaped nanoparticles to murine macrophage cells. Environ. Toxicol. Chem. 2014, 33, 2759–2766. [Google Scholar] [CrossRef]
- Xie, W.; Guo, Z.; Gao, F.; Gao, Q.; Wang, D.; Liaw, B.-S.; Cai, Q.; Sun, X.; Wang, X.; Zhao, L. Shape-, size- and structure-controlled synthesis and biocompatibility of iron oxide nanoparticles for magnetic theranostics. Theranostics 2018, 8, 3284–3307. [Google Scholar] [CrossRef]
- Serna, C.J.; Bødker, F.; Mørup, S.; Morales, M.P.; Sandiumenge, F.; Veintemillas-Verdaguer, S. Spin frustration in maghemite nanoparticles. Solid State Commun. 2001, 118, 437–440. [Google Scholar] [CrossRef]
- Hou, C.; Wang, Y.; Ding, Q.; Jiang, L.; Li, M.; Zhu, W.; Pan, D.; Zhu, H.; Liu, M. Facile synthesis of enzyme-embedded magnetic metal-organic frameworks as a reusable mimic multi-enzyme system: Mimetic peroxidase properties and colorimetric sensor. Nanoscale 2015, 7, 18770–18779. [Google Scholar] [CrossRef] [PubMed]
- Franzoso, F.; Nisticò, R.; Cesano, F.; Corazzari, I.; Turci, F.; Scarano, D.; Bianco Prevot, A.; Magnacca, G.; Carlos, L.; Mártire, D.O. Biowaste-derived substances as a tool for obtaining magnet-sensitive materials for environmental applications in wastewater treatments. Chem. Eng. J. 2017, 310, 307–316. [Google Scholar] [CrossRef]
- Cravanzola, S.; Jain, S.M.; Cesano, F.; Damin, A.; Scarano, D. Development of a multifunctional TiO2/MWCNT hybrid composite grafted on a stainless steel grating. RSC Adv. 2015, 5, 103255–103264. [Google Scholar] [CrossRef]
- Langford, J.I.; Wilson, J.C. Seherrer after Sixty Years: A Survey and Some New Results in the Determination of Crystallite Size. J. Appl. Cryst. 1978, 11, 102–113. [Google Scholar] [CrossRef]
- Muhammed Shafi, P.; Chandra Bose, A. Impact of crystalline defects and size on X-ray line broadening: A phenomenological approach for tetragonal SnO2 nanocrystals. AIP Adv. 2015, 5, 057137. [Google Scholar] [CrossRef]
- Cheng, H.; Lu, C.; Liu, J.; Yan, Y.; Han, X.; Jin, H.; Wang, Y.; Liu, Y.; Wu, C. Synchrotron radiation X-ray powder diffraction techniques applied in hydrogen storage materials—A review. Progr. Nat. Sci. Mater. Int. 2017, 27, 66–73. [Google Scholar] [CrossRef]
- Bautista, M.C.; Bomati-Miguel, O.; Morales, M.d.P.; Serna, C.J.; Veintemillas-Verdaguer, S. Surface characterisation of dextran-coated iron oxide nanoparticles prepared by laser pyrolysis and coprecipitation. J. Magn. Magn. Mater. 2005, 293, 20–27. [Google Scholar] [CrossRef]
- Cesano, F.; Rahman, M.M.; Bardelli, F.; Damin, A.; Scarano, D. Magnetic Hybrid Carbon via Graphitization of Polystyrene-co-Divinylbenzene: Morphology, Structure and Adsorption Properties. Chem. Sel. 2016, 1, 2536–2541. [Google Scholar] [CrossRef]
- Ichiyanagi, Y.; Kimishima, Y. Structural, magnetic and thermal characterizations of Fe2O3 nanoparticle Systems. J. Therm. Anal. Calorim. 2002, 69, 919–923. [Google Scholar] [CrossRef]
- Von White, G., 2nd; Chen, Y.; Roder-Hanna, J.; Bothun, G.D.; Kitchens, C.L. Structural and thermal analysis of lipid vesicles encapsulating hydrophobic gold nanoparticles. ACS Nano 2012, 6, 4678–4685. [Google Scholar] [CrossRef] [PubMed]
- Catalano, E.; Di Benedetto, A. Characterization of physicochemical and colloidal properties of hydrogel chitosan-coated iron-oxide nanoparticles for cancer therapy. J. Phys. Conf. Ser. 2017, 841, 012010. [Google Scholar] [CrossRef]
- Klančnik, G.; Medved, J.; Mrvar, P. Differential thermal analysis (DTA) and differential scanning calorimetry (DSC) as a method of material investigation. RMZ 2010, 57, 127–142. [Google Scholar]
- Tenório-Neto, E.T.; Jamshaid, T.; Eissa, M.; Kunita, M.H.; Zine, N.; Agusti, G.; Fessi, H.; El-Salhi, A.E.; Elaissari, A. TGA and magnetization measurements for determination of composition and polymer conversion of magnetic hybrid particles. Polym. Adv. Technol. 2015, 26, 1199–1208. [Google Scholar] [CrossRef]
- Xu, Z.Z.; Wang, C.C.; Yang, W.L.; Deng, Y.H.; Fu, S.K. Encapsulation of nanosized magnetic iron oxide by polyacrylamide via inverse miniemulsion polymerization. J. Magn. Magn. Mater. 2004, 277, 136–143. [Google Scholar] [CrossRef]
- Mansfield, E.; Tyner, K.M.; Poling, C.M.; Blacklock, J.L. Determination of nanoparticle surface coatings and nanoparticle purity using microscale thermogravimetric analysis. Anal. Chem. 2014, 86, 1478–1484. [Google Scholar] [CrossRef] [PubMed]
- Cranshaw, T.E.; Longworth, G. Mössbauer Spectroscopy of Magnetic Systems. In Mössbauer Spectroscopy Applied to Inorganic Chemistry; Long, G.J., Ed.; Springer: Boston, MA, USA, 1984; Volume 1, pp. 171–194. [Google Scholar]
- Fultz, B. Mössbauer Spectrometry. In Characterization of Materials, 2nd ed.; Kaufmann, E., Ed.; John Wiley: New York, NY, USA, 2012; pp. 1–21. [Google Scholar] [CrossRef]
- Gabbasov, R.; Polikarpov, M.; Cherepanov, V.; Chuev, M.; Mischenko, I.; Lomov, A.; Wang, A.; Panchenko, V. Mössbauer, magnetization and X-ray diffraction characterization methods for iron oxide nanoparticles. J. Magn. Magn. Mater. 2015, 380, 111–116. [Google Scholar] [CrossRef]
- Nisticò, R.; Carlos, L. High yield of nano zero-valent iron (nZVI) from carbothermal synthesis using lignin-derived substances from municipal biowaste. J. Anal. Appl. Pyrol. 2019, 140, 239–244. [Google Scholar] [CrossRef]
- Lin, P.C.; Lin, S.; Wang, P.C.; Sridhar, R. Techniques for physicochemical characterization of nanomaterials. Biotechnol. Adv. 2014, 32, 711–726. [Google Scholar] [CrossRef]
- Lim, J.; Yeap, S.P.; Che, H.X.; Low, S.C. Characterization of magnetic nanoparticle by dynamic light scattering. Nanosc. Res. Lett. 2013, 8, 381. [Google Scholar] [CrossRef] [PubMed]
- Bhattacharjee, S. DLS and zeta potential—What they are and what they are not? J. Control. Release 2016, 235, 337–351. [Google Scholar] [CrossRef] [PubMed]
- Miller, C.C. The Stokes-Einstein Law for diffusion in solution. Proc. R. Soc. Lond. A 1924, 106, 740. [Google Scholar] [CrossRef]
- Fissan, H.; Ristig, S.; Kaminski, H.; Asbach, C.; Epple, M. Comparison of different characterization methods for nanoparticle dispersions before and after aerosolization. Anal. Met. 2014, 6, 7324–7334. [Google Scholar] [CrossRef]
- Nair, N.; Kim, W.J.; Braatz, R.D.; Strano, M.S. Dynamics of surfactant-suspended single-walled carbon nanotubes in a centrifugal field. Langmuir 2008, 24, 1790–1795. [Google Scholar] [CrossRef] [PubMed]
- Niu, W.; Chua, Y.A.; Zhang, W.; Huang, H.; Lu, X. Highly Symmetric Gold Nanostars: Crystallographic Control and Surface-Enhanced Raman Scattering Property. JACS 2015, 137, 10460–10463. [Google Scholar] [CrossRef]
- Zhang, Q.; Huang, J.Q.; Qian, W.Z.; Zhang, Y.Y.; Wei, F. The road for nanomaterials industry: A review of carbon nanotube production, post-treatment, and bulk applications for composites and energy storage. Small 2013, 9, 1237–1265. [Google Scholar] [CrossRef]
- Fang, X.L.; Li, Y.; Chen, C.; Kuang, Q.; Gao, X.Z.; Xie, Z.X.; Xie, S.Y.; Huang, R.B.; Zheng, L.S. pH-induced simultaneous synthesis and self-assembly of 3D layered beta-FeOOH nanorods. Langmuir 2010, 26, 2745–2750. [Google Scholar] [CrossRef]
- Danaei, M.; Dehghankhold, M.; Ataei, S.; Hasanzadeh Davarani, F.; Javanmard, R.; Dokhani, A.; Khorasani, S.; Mozafari, M.R. Impact of Particle Size and Polydispersity Index on the Clinical Applications of Lipidic Nanocarrier Systems. Pharmaceutics 2018, 10, 57. [Google Scholar] [CrossRef]
- Montes Ruiz-Cabello, F.J.; Trefalt, G.; Maroni, P.; Borkovec, M. Electric double-layer potentials and surface regulation properties measured by colloidal-probe atomic force microscopy. Phys. Rev. E 2014, 90, 012301. [Google Scholar] [CrossRef]
- Jalil, A.H.; Pyell, U. Quantification of Zeta-Potential and Electrokinetic Surface Charge Density for Colloidal Silica Nanoparticles Dependent on Type and Concentration of the Counterion: Probing the Outer Helmholtz Plane. J. Phys. Chem. C 2018, 122, 4437–4453. [Google Scholar] [CrossRef]
- Vidal-Iglesias, F.J.; Solla-Gullón, J.; Rodes, A.; Herrero, E.; Aldaz, A. Understanding the Nernst Equation and Other Electrochemical Concepts: An Easy Experimental Approach for Students. J. Chem. Educ. 2012, 89, 936–939. [Google Scholar] [CrossRef]
- Schwegmann, H.; Feitz, A.J.; Frimmel, F.H. Influence of the zeta potential on the sorption and toxicity of iron oxide nanoparticles on S. cerevisiae and E. coli. J. Colloid. Interface Sci. 2010, 347, 43–48. [Google Scholar] [CrossRef] [PubMed]
- Sharma, A.; Cornejo, C.; Mihalic, J.; Geyh, A.; Bordelon, D.E.; Korangath, P.; Westphal, F.; Gruettner, C.; Ivkov, R. Physical characterization and in vivo organ distribution of coated iron oxide nanoparticles. Sci. Rep. 2018, 8, 4916. [Google Scholar] [CrossRef] [PubMed]
- Taupitz, M.; Wagner, S.; Schnorr, J.r.; Kravec, I.; Pilgrimm, H.; Bergmann-Fritsch, H.; Hamm, B. Phase I Clinical Evaluation of Citrate-coated Monocrystalline Very Small Superparamagnetic Iron Oxide Particles as a New Contrast Medium for Magnetic Resonance Imaging. Investig. Radiol. 2004, 39, 394–405. [Google Scholar] [CrossRef] [PubMed]
- Moghimi, S.M.; Symonds, P.; Murray, J.C.; Hunter, A.C.; Debska, G.; Szewczyk, A. A two-stage poly(ethylenimine)-mediated cytotoxicity: Implications for gene transfer/therapy. Mol. Ther. 2005, 11, 990–995. [Google Scholar] [CrossRef] [PubMed]
- Moore, T.L.; Rodriguez-Lorenzo, L.; Hirsch, V.; Balog, S.; Urban, D.; Jud, C.; Rothen-Rutishauser, B.; Lattuada, M.; Petri-Fink, A. Nanoparticle colloidal stability in cell culture media and impact on cellular interactions. Chem. Soc. Rev. 2015, 44, 6287–6305. [Google Scholar] [CrossRef]
- Yallapu, M.M.; Chauhan, N.; Othman, S.F.; Khalilzad-Sharghi, V.; Ebeling, M.C.; Khan, S.; Jaggi, M.; Chauhan, S.C. Implications of protein corona on physico-chemical and biological properties of magnetic nanoparticles. Biomaterials 2015, 46, 1–12. [Google Scholar] [CrossRef]
- Park, Y.; Whitaker, R.D.; Nap, R.J.; Paulsen, J.L.; Mathiyazhagan, V.; Doerrer, L.H.; Song, Y.Q.; Hurlimann, M.D.; Szleifer, I.; Wong, J.Y. Stability of superparamagnetic iron oxide nanoparticles at different pH values: Experimental and theoretical analysis. Langmuir 2012, 28, 6246–6255. [Google Scholar] [CrossRef]
- Fleming, M.S.; Walt, D.R. Stability and Exchange Studies of Alkanethiol Monolayers on Gold-Nanoparticle-Coated Silica Microspheres. Langmuir 2001, 17, 4836–4843. [Google Scholar] [CrossRef]
- Lazzari, S.; Moscatelli, D.; Codari, F.; Salmona, M.; Morbidelli, M.; Diomede, L. Colloidal stability of polymeric nanoparticles in biological fluids. J. Nanopart. Res. 2012, 14, 920. [Google Scholar] [CrossRef] [PubMed]
- Khan, S.; Gupta, A.; Verma, N.C.; Nandi, C.K. Kinetics of protein adsorption on gold nanoparticle with variable protein structure and nanoparticle size. J. Chem. Phys. 2015, 143, 164709. [Google Scholar] [CrossRef] [PubMed]
- Salvati, A.; Pitek, A.S.; Monopoli, M.P.; Prapainop, K.; Bombelli, F.B.; Hristov, D.R.; Kelly, P.M.; Aberg, C.; Mahon, E.; Dawson, K.A. Transferrin-functionalized nanoparticles lose their targeting capabilities when a biomolecule corona adsorbs on the surface. Nature Nanotechnol. 2013, 8, 137–143. [Google Scholar] [CrossRef]
- Barakat, N.S. Magnetically modulated nanosystems: A unique drug-delivery platform. Nanomedicine 2009, 4, 799–812. [Google Scholar] [CrossRef] [PubMed]
- Kurgan, E.; Gas, P. Simulation of the electromagnetic field and temperature distribution in human tissue in RF hyperthermia. Przeglad Elektrotechniczny 2015, 91, 169–172. [Google Scholar] [CrossRef]
- Enriquez-Navas, P.M.; Garcia-Martin, M.L. Application of Inorganic Nanoparticles for Diagnosis Based on MRI. In Frontiers of Nanoscience; de la Fuente JM, G.V., Ed.; Elsevier: North Holland, The Netherlands, 2012; Volume 4, pp. 233–245. [Google Scholar]
- Merbach, A.S.; Helm, L.; Tóth, É. The Chemistry of Contrast Agents in Medical Magnetic Resonance Imaging, 2nd ed.; John Wiley & Sons: Hoboken, NY, USA, 2013. [Google Scholar] [CrossRef]
- Bao, Y.; Sherwood, J.A.; Sun, Z. Magnetic iron oxide nanoparticles as T1 contrast agents for magnetic resonance imaging. J. Mater. Chem. C 2018, 6, 1280–1290. [Google Scholar] [CrossRef]
- Wei, H.; Bruns, O.T.; Kaul, M.G.; Hansen, E.C.; Barch, M.; Wiśniowska, A.; Chen, O.; Chen, Y.; Li, N.; Okada, S.; et al. Exceedingly small iron oxide nanoparticles as positive MRI contrast agents. Proc. Natl. Acad. Sci. USA 2017, 114, 2325–2330. [Google Scholar] [CrossRef]
- Di Gregorio, E.; Ferrauto, G.; Furlan, C.; Lanzardo, S.; Nuzzi, R.; Gianolio, E.; Aime, S. The Issue of Gadolinium Retained in Tissues: Insights on the Role of Metal Complex Stability by Comparing Metal Uptake in Murine Tissues Upon the Concomitant Administration of Lanthanum- and Gadolinium-Diethylentriamminopentaacetate. Investig. Radiol. 2018, 53, 167–172. [Google Scholar] [CrossRef]
- McDonald, R.J.; McDonald, J.S.; Kallmes, D.F.; Jentoft, M.E.; Murray, D.L.; Thielen, K.R.; Williamson, E.E.; Eckel, L.J. Intracranial Gadolinium Deposition after Contrast-enhanced MR Imaging. Radiology 2015, 275, 772–782. [Google Scholar] [CrossRef]
- Amiri, H.; Bordonali, L.; Lascialfari, A.; Wan, S.; Monopoli, M.P.; Lynch, I.; Laurent, S.; Mahmoudi, M. Protein corona affects the relaxivity and MRI contrast efficiency of magnetic nanoparticles. Nanoscale 2013, 5, 8656–8665. [Google Scholar] [CrossRef]
- LaConte, L.E.; Nitin, N.; Zurkiya, O.; Caruntu, D.; O’Connor, C.J.; Hu, X.; Bao, G. Coating thickness of magnetic iron oxide nanoparticles affects R2 relaxivity. J. Magn. Reson. Imaging 2007, 26, 1634–1641. [Google Scholar] [CrossRef] [PubMed]
- Roch, A.; Muller, R.N.; Gillis, P. Theory of proton relaxation induced by superparamagnetic particles. J. Chem. Phys. 1999, 110, 5403–5411. [Google Scholar] [CrossRef]
- Gossuin, Y.; Orlando, T.; Basini, M.; Henrard, D.; Lascialfari, A.; Mattea, C.; Stapf, S.; Vuong, Q.L. NMR relaxation induced by iron oxide particles: Testing theoretical models. Nanotechnology 2016, 27, 155706. [Google Scholar] [CrossRef] [PubMed]
- Bordonali, L.; Kalaivani, T.; Sabareesh, K.P.; Innocenti, C.; Fantechi, E.; Sangregorio, C.; Casula, M.F.; Lartigue, L.; Larionova, J.; Guari, Y.; et al. NMR-D study of the local spin dynamics and magnetic anisotropy in different nearly monodispersed ferrite nanoparticles. J. Phys. Cond. Matter 2013, 25, 066008. [Google Scholar] [CrossRef]
- Ruggiero, M.R.; Crich, S.G.; Sieni, E.; Sgarbossa, P.; Forzan, M.; Cavallari, E.; Stefania, R.; Dughiero, F.; Aime, S. Magnetic hyperthermia efficiency and 1H-NMR relaxation properties of iron oxide/paclitaxel-loaded PLGA nanoparticles. Nanotechnology 2016, 27, 285104. [Google Scholar] [CrossRef]
- Gilchrist, R.K.; Medal, R.; Shorey, W.D.; Hanselman, R.C.; Parrott, J.C.; Taylor, C.B. Selective Inductive Heating of Lymph Nodes. Ann. Surg. 1957, 146, 596–606. [Google Scholar] [CrossRef]
- Laurent, S.; Dutz, S.; Hafeli, U.O.; Mahmoudi, M. Magnetic fluid hyperthermia: Focus on superparamagnetic iron oxide nanoparticles. Adv. Colloid. Interface Sci. 2011, 166, 8–23. [Google Scholar] [CrossRef]
- Del Bianco, L.; Spizzo, F.; Barucca, G.; Ruggiero, M.R.; Geninatti Crich, S.; Forzan, M.; Sieni, E.; Sgarbossa, P. Mechanism of magnetic heating in Mn-doped magnetite nanoparticles and the role of intertwined structural and magnetic properties. Nanoscale 2019, 11, 10896–10910. [Google Scholar] [CrossRef]
- Gas, P.; Miaskowski, A. Specifying the ferrofluid parameters important from the viewpoint of magnetic fluid hyperthermia. In Proceedings of the 2015 Selected Problems of Electrical Engineering and Electronics (WZEE), Kielce, Poland, 17–19 September 2015; pp. 1–6. [Google Scholar] [CrossRef]
- Bunaciu, A.A.; Udriştioiu, E.G.; Aboul-Enein, H.Y. X-ray diffraction: Instrumentation and applications. Crit. Rev. Anal. Chem. 2015, 45, 289–299. [Google Scholar] [CrossRef]
- Giron, D. Thermal analysis and calorimetric methods in the characterisation of polymorphs and solvates. Therm. Acta 1995, 248, 1–59. [Google Scholar] [CrossRef]
- Vyazovkin, S. Thermal analysis. Anal. Chem. 2010, 82, 4936–4949. [Google Scholar] [CrossRef] [PubMed]
- Garcia Casillas, P.E.; Rodriguez, C.; Martinez Perez, C. Infrared Spectroscopy of Functionalized Magnetic Nanoparticles. In Infrared Spectroscopy—Materials Science, Engineering and Technology, Theophile Theophanides; IntechOpen: London, UK, 2012. [Google Scholar] [CrossRef]
- Skoglund, S.; Hedberg, J.; Yunda, E.; Godymchuk, A.; Blomberg, E.; Odnevall Wallinder, I. Difficulties and flaws in performing accurate determinations of zeta potentials of metal nanoparticles in complex solutions-Four case studies. PLoS ONE 2017, 12, e0181735. [Google Scholar] [CrossRef] [PubMed]
- Robson, A.L.; Dastoor, P.C.; Flynn, J.; Palmer, W.; Martin, A.; Smith, D.W.; Woldu, A.; Hua, S. Advantages and Limitations of Current Imaging Techniques for Characterizing Liposome Morphology. Front. Pharmacol. 2018, 9, 80. [Google Scholar] [CrossRef] [PubMed]
- Sylvester, P.W. Optimization of the tetrazolium dye (MTT) colorimetric assay for cellular growth and viability. Methods Mol. Biol. 2011, 716, 157–168. [Google Scholar] [PubMed]
- Rampersad, S.N. Multiple applications of Alamar Blue as an indicator of metabolic function and cellular health in cell viability bioassays. Sensors 2012, 12, 12347–12360. [Google Scholar] [CrossRef] [PubMed]
- Riss, T.L.; Moravec, R.A.; Niles, A.L.; Duellman, S.; Benink, H.A.; Worzella, T.J.; Minor, L. Cell Viability Assays. In Assay Guidance Manual [Internet]; Sittampalam, G.S., Grossman, A., Brimacombe, K., Eds.; Eli Lilly & Company and the National Center for Advancing Translational Sciences: Bethesda, MD, USA, 2004. Available online: https://www.ncbi.nlm.nih.gov/books/NBK144065/ (accessed on 1 June 2019).
- Patil, U.S.; Adireddy, S.; Jaiswal, A.; Mandava, S.; Lee, B.R.; Chrisey, D.B. In Vitro/In Vivo Toxicity Evaluation and Quantification of Iron Oxide Nanoparticles. Int. J. Mol. Sci. 2015, 16, 24417–24450. [Google Scholar] [CrossRef] [PubMed]
- Oancea, M.; Mazumder, S.; Crosby, M.E.; Almasan, A. Apoptosis assays. Methods Mol. Med. 2006, 129, 279–290. [Google Scholar]
- Macías-Martínez, B.I.; Cortés-Hernández, D.A.; Zugasti-Cruz, A.; Cruz-Ortíz, B.R.; Múzquiz-Ramos, E.M. Heating ability and hemolysis test of magnetite nanoparticles obtained by a simple co-precipitation method. J. Appl. Res. Technol. 2016, 14, 239–244. [Google Scholar] [CrossRef]
- Chen, D.; Tang, Q.; Li, X.; Zhou, X.; Zang, J.; Xue, W.Q.; Xiang, J.Y.; Guo, C.Q. Biocompatibility of magnetic Fe3O4 nanoparticles and their cytotoxic effect on MCF-7 cells. Int. J. Nanomed. 2012, 7, 4973–4982. [Google Scholar] [CrossRef]
























| Method(s) | Quantitative | Resolution (nm) | Complexity * | Acquisition Time | Vacuum Req. | Sample Thickness (nm) | Info on Depth (nm) | External Magn. Field | Selected Depth Info | High, Low Temperature *** | Types of Specimen **** | Ref. | |
|---|---|---|---|---|---|---|---|---|---|---|---|---|---|
| Best | Tipical | ||||||||||||
| Bitter | N | ~100 | 500 | L | <s | - | No limit | 500 | Yes | L | No | S, TF, NPs | [109] |
| Magneto-optic | Y | 300 | >500 | L | <s | - | No limit | 20 | Yes | L | Cryo/VT | S, TF, NPs | [24,110,111] |
| L-TEM | Y | 20 | 50 | M | <s | HV | <100–150 | ST ** | Yes | No | VT | S, TF, NPs | [24,112,113] |
| DPC | Y | 3 | 20 | H | <s | HV | VT | S, TF, NPs | [24,114] | ||||
| Electron holography | Y | 5 | 20 | H | 1–10 s | HV | <150 | ST ** | Yes | No | VT | S, TF, NPs | [113,115] |
| SP-SEM | Y | 10 | 100 | H | 1–100 min | UHV | No limit | 1–2 | Low | H | VT | S, TF, NPs | [24,116] |
| XMCD | Y | 300 | 500 | H | 1–10 min | UHV | No limit | <5–10 | - | H | VT | S, TF, NPs | [95,117,118] |
| TXMCD | Y | 30 | 60 | H | 1–10 s | - | <150 | ST ** | Yes | H | VT | S, TF, NPs | [95] |
| SPLEEM | Y | 3 | 40 | H | 1 s–10 min | UHV | No limit | 1–2 | - | VH | VT | S, TF, NPs | [95] |
| MFM | N | 20–30 | 100 | L/M | 5–30 min | Air, HV | No limit | 20–500 | Yes | No | Cryo/VT. | S, TF, NPs | [24,119,120] |
| SP-STM | N/Y | ≤1 | 2–3 | M | 10–100 min | (air), HV | No limit | <1–2 | Yes | VH | Cryo/VT. | S, TF, NPs of metals/semic. | [24,121] |
| N-V Diamond | Y | 400 | L | <s | No | No | Yes | No | No | S, TF, LM | [122,123] | ||
| TXMs | Y | 10–15 | 50 | M/Y | <10 s | - | No limit | ST ** | Yes | H | VT | S, TF, NPs, B | [117,121,124,125,126,127] |
| Neutron techniques | Tens of µm | VH | s | No | 5–100 | 2–3 | Yes | No | VT | LM; S, TF (pol. neutron reflectom.), NPs (SANS) | [117,128,129,130] | ||
| Method(s) | Information Provided | Acq. Time | Complexity | Sample Form | Advantages | Drawbacks | Ref. |
|---|---|---|---|---|---|---|---|
| X-ray Diffraction | Crystalline structure; crystal size, strain, defects; particle size; sample purity; iron oxide proportion | <20 min | L | Solid, liquid | Qualitative and quantitative analysis; powerful and rapid; minimal sample preparation required | Size limit (better results are obtained with large crystals); high amount of material needed (g); possible misleading results interpretation (peaks overlay) | [269] |
| Thermal Analysis (DTA, pc-DSC, TGA, µ-TGA) | Thermal stability; water adsorption; molecule adsorption; phase transition temperature; crystallinity and purity | min–hours | M-H | Solid, liquid | Qualitative and quantitative analysis; low amount of sample needed (mg–g) | Challenging results interpretation; challenging results comparison between laboratories; strong dependence of DTA signals from experimental conditions | [270,271] |
| Mössbauer Spectroscopy | Size of magnetic core; magnetic interactions; precise identification of iron oxides; magnetite and maghemite discrimination; blocking temperature | min–hours | H | Solid | Low amount of sample required (1–5 mg); valence state of iron in minerals detectable; best technique to identify different iron oxides | Low spatial resolution; thinly spread powders needed; the optimal amount of sample should be selected each time; data analysis techniques complex and variable; low number of elements suitable to be investigated; very low temperatures required | [104,223] |
| IR Spectroscopy; FTIR spectroscopy | Material structure; chemical Bonds; surface coating/functionalization of magnetic NPs | min | L | Solid, liquid | Simplicity and availability; non expensive technique; qualitative and quantitative analysis; fast mean of identification in case of magnetite; high sensitivity (µg) | Complex mixtures are hardly analyzed; functional groups cannot be exactly located | [272] |
| Dynamic light scattering (DLS) | Hydrodynamic radius of NPs; polydispersity of the sample; aggregation of NPs; adsorption of protein corona | <5 min | L | Liquid | Wide sampling of the specimen; speed and ease of measurement; estimation of the radius of solvated particles; accessible and automated process; high sensitivity to small aggregates; small amount of sample required (µL) | Highly polydispersed, diluted or fluorescent samples cannot be measured accurately | [227,228,229,231] |
| Zeta Potential | Apparent surface potential of NPs; adsorption of protein corona | <5 min | L | Liquid | Wide sampling of the specimen; speed and ease of measurement; accessible and automated process; small amount of sample required (µL) | Highly polydispersed samples cannot be measured accurately; measurements influenced by pH, ionic strength, dispersion media; measurements affected by sample sonication; measurements affected by fast metal/ion release | [273] |
| SEM TEM | Size of the magnetic core; morphology; size distribution; homogeneity; surface structure | min | L/M | Solid | Accurate information provided on size of magnetic core; images of NPs are displayed; very high magnification possible | Long and complex sample preparation; expensive technique; cryo-EM is needed for samples sensitive to temperature; low sampling of the specimen; absence of information about sample aggregation in liquid suspensions; highly qualified personnel needed; possible artifacts formation; vacuum needed | [274] |
| NMRD Profile Fitting | Nanomagnet crystals (N.C.) average radius; N.C. Néel relaxation time; N.C. anisotropy energy; N.C. specific magnetization; possible NPs clustering; longitudinal Relaxivity R1 at different magnetic fields; MRI efficiency prediction | hours | H | Liquid | Multiplicity of information provided in one fitting; prediction of MRI efficiency | Highly specific instrumentation required; samples must be in liquid form and stable during the acquisition time; staff must be highly trained | [261,262] |
| Assay | Parameter Measured | Information Provided | Measurem. Method | Advantages | Drawbacks | Ref. |
|---|---|---|---|---|---|---|
| MTT | Mitochondrial activity | Possible cytotoxic effects of compounds/drugs/NPs | Fluorescence Absorbance | Inexpensive; high throughput screening; low amount of sample needed | Operator and procedure dependent (e.g., cell density, culture medium and MTT exposure time); Substrate conversion needed | [277] |
| Alamar Blue (Resazurin) | Cellular metabolic activity | Possible cytotoxic effects of compounds/drugs/NPs | Fluorescence Absorbance | Inexpensive, High throughput screening; low amount of sample needed; more accurate than MTT | Operator and procedure dependent (e.g., cell density, culture medium and MTT exposure time); substrate conversion needed | [277] |
| Trypan Blue Exclusion Test | Membrane integrity | Possible cytotoxic effects of compounds/drugs/NPs Number of dead/viable cells | Optical microscopy | Inexpensive; extremely rapid assay; no substrate conversion needed | Operator dependent; possible interference in case of incubation with colored/fluorescent samples | [277] |
| ATP detection | ATP synthesis | Possible cytotoxic effects of compounds/drugs/NPs; number of viable cells | Luminescence | Fast assay; high sensitivity; less artifacts occurrence; no substrate conversion needed | Expensive | [277] |
| ROS production | Generation of ROS * | Possible cytotoxic effects of compounds/drugs/NPs; cell oxidative stress | Fluorescence | Inexpensive | Substrate conversion needed | [278] |
| Hemolysis Assay | Red blood cell lysis | Hemolytic power of compounds/drugs/NPs | UV–vis spectroscopy | Extremely useful in view of (pre)clinical applications; possibility to run the test in plasma | Red blood cells of the chosen specie needed | [280] |
© 2020 by the authors. Licensee MDPI, Basel, Switzerland. This article is an open access article distributed under the terms and conditions of the Creative Commons Attribution (CC BY) license (http://creativecommons.org/licenses/by/4.0/).
Share and Cite
Nisticò, R.; Cesano, F.; Garello, F. Magnetic Materials and Systems: Domain Structure Visualization and Other Characterization Techniques for the Application in the Materials Science and Biomedicine. Inorganics 2020, 8, 6. https://doi.org/10.3390/inorganics8010006
Nisticò R, Cesano F, Garello F. Magnetic Materials and Systems: Domain Structure Visualization and Other Characterization Techniques for the Application in the Materials Science and Biomedicine. Inorganics. 2020; 8(1):6. https://doi.org/10.3390/inorganics8010006
Chicago/Turabian StyleNisticò, Roberto, Federico Cesano, and Francesca Garello. 2020. "Magnetic Materials and Systems: Domain Structure Visualization and Other Characterization Techniques for the Application in the Materials Science and Biomedicine" Inorganics 8, no. 1: 6. https://doi.org/10.3390/inorganics8010006
APA StyleNisticò, R., Cesano, F., & Garello, F. (2020). Magnetic Materials and Systems: Domain Structure Visualization and Other Characterization Techniques for the Application in the Materials Science and Biomedicine. Inorganics, 8(1), 6. https://doi.org/10.3390/inorganics8010006

