Synthesis, Crystal Structures and Magnetic Properties of Composites Incorporating an Fe(II) Spin Crossover Complex and Polyoxometalates
Abstract
:1. Introduction
2. Results
2.1. Synthesis
2.2. Crystal Structures
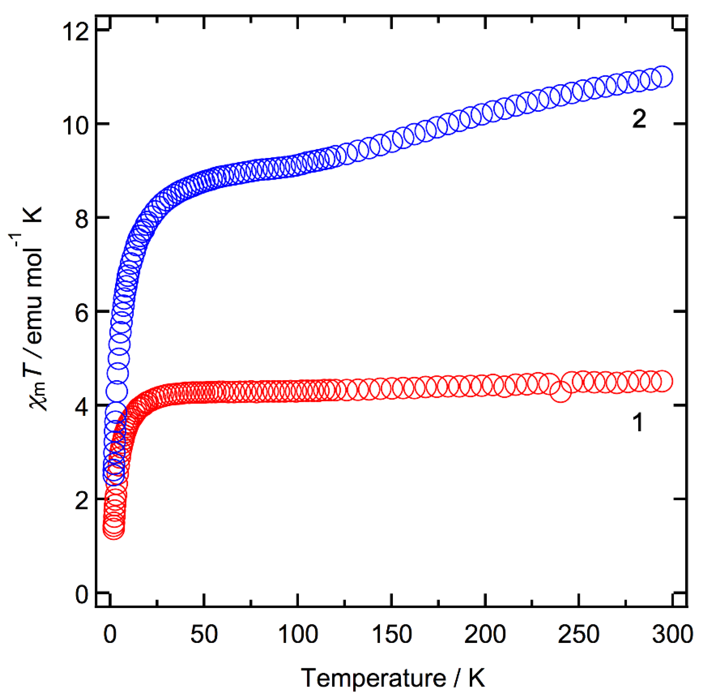
2.3. Temperature Dependence of the Magnetic Susceptibilities
3. Discussion
4. Materials and Methods
4.1. Materials
4.2. Synthesis of [Fe(dppOH)2][POM] Composites
4.3. X-ray Crystallography
4.4. Magnetic Measurements
5. Conclusions
Supplementary Materials
Acknowledgments
Author Contributions
Conflicts of Interest
References
- Real, J.; Gaspar, A.; Muñoz, C.M. Thermal, Pressure and Light Switchable Spin-Crossover Materials. Dalton Trans. 2005, 2062–2079. [Google Scholar] [CrossRef] [PubMed]
- Bousseksou, A.; Molnár, G.; Salmon, L.; Nicolazzi, W. Molecular Spin Crossover Phenomenon: Recent Achievements and Prospects. Chem. Soc. Rev. 2011, 40, 3313–3335. [Google Scholar] [CrossRef] [PubMed]
- Halcrow, M.A. The Spin-States and Spin-Transitions of Mononuclear Iron(II) Complexes of Nitrogen-Donor Ligands. Polyhedron 2007, 26, 3523–3576. [Google Scholar] [CrossRef]
- Nihei, M.; Shiga, T.; Maeda, Y.; Oshio, H. Spin Crossover Iron(III) Complexes. Coord. Chem. Rev. 2007, 251, 2606–2621. [Google Scholar] [CrossRef]
- Krivokapic, I.; Zerara, M.; Daku, M.; Vargas, A.; Enachescu, C.; Ambrus, C.; Tregenna-Piggott, P.; Amstutz, N.; Krausz, E.; Hauser, A. Spin-Crossover in Cobalt(II) Imine Complexes. Coord. Chem. Rev. 2007, 251, 364–378. [Google Scholar] [CrossRef]
- Holland, J.M.; McAllister, J.A.; Lu, Z.; Kilner, C.A.; Thornton-Pett, M.; Halcrow, M.A. An Unusual Abrupt Thermal Spin-State Transition in [FeL2][BF4]2 [L = 2,6-Di(Pyrazol-1-yl)Pyridine]. Chem. Commun. 2001, 577–578. [Google Scholar] [CrossRef]
- Holland, J.M.; McAllister, J.A.; Kilner, C.A.; Thornton-Pett, M.; Bridgeman, A.J.; Halcrow, M.A. Stereochemical Effects on the Spin-State Transition Shown by Salts of [FeL2]2+ [L = 2,6-Di(Pyrazol-1-yl)Pyridine]. J. Chem. Soc. Dalton Trans. 2002, 548–554. [Google Scholar] [CrossRef]
- Money, V.A.; Elhaïk, J.; Halcrow, M.A.; Howard, J.A.K. The Thermal and Light Induced Spin Transition in [FeL2](BF4)2 (L = 2,6-Dipyrazol-1-yl-4-Hydroxymethylpyridine). Dalton Trans. 2004, 1516–1518. [Google Scholar] [CrossRef] [PubMed]
- Halcrow, M.A. The Synthesis and Coordination Chemistry of 2,6-Bis(Pyrazolyl)Pyridines and Related Ligands—Versatile Terpyridine Analogues. Coord. Chem. Rev. 2005, 249, 2880–2908. [Google Scholar] [CrossRef]
- Carbonera, C.; Costa, J.; Money, V.A.; Elhaïk, J.; Howard, J.A.K.; Halcrow, M.A.; Létard, J.-F. Photomagnetic Properties of Iron(II) Spin Crossover Complexes of 2,6-Dipyrazolylpyridine and 2,6-Dipyrazolylpyrazine Ligands. Dalton Trans. 2006, 3058–3066. [Google Scholar] [CrossRef] [PubMed]
- Halcrow, M.A. Structure: Function Relationships in Molecular Spin-Crossover Complexes. Chem. Soc. Rev. 2011, 40, 4119–4142. [Google Scholar] [CrossRef] [PubMed]
- Cook, L.J.; Mohammed, R.; Sherborne, G.; Roberts, T.D.; Alvarez, S.; Halcrow, M.A. Spin State Behavior of Iron(II)/Dipyrazolylpyridine Complexes. New Insights from Crystallographic and Solution Measurements. Coord. Chem. Rev. 2015, 289, 2–12. [Google Scholar] [CrossRef]
- Nihei, M.; Maeshima, T.; Kose, Y.; Oshio, H. Synthesis, Structure and Magnetic Properties of an Iron(II) Complex with Nitronyl Nitroxides. Polyhedron 2007, 26, 1993–1996. [Google Scholar] [CrossRef]
- Pope, M.T.; Müller, A. Polyoxometalate Chemistry: An Old Field with New Dimensions in Several Disciplines. Angew. Chem. Int. Ed. 1991, 30, 34–48. [Google Scholar] [CrossRef]
- Tzirakis, M.D.; Lykakis, I.N.; Orfanopoulos, M. Decatungstate as an Efficient Photocatalyst in Organic Chemistry. Chem. Soc. Rev. 2009, 38, 2609–2621. [Google Scholar] [CrossRef] [PubMed]
- Long, D.L.; Tsunashima, R.; Cronin, L. Polyoxometalates: Building Blocks for Functional Nanoscale Systems. Angew. Chem. Int. Ed. 2010, 49, 1736–1758. [Google Scholar] [CrossRef] [PubMed]
- Sadakane, M.; Steckhan, E. Electrochemical Properties of Polyoxometalates as Electrocatalysts. Chem. Rev. 1998, 98, 219–238. [Google Scholar] [CrossRef] [PubMed]
- Yamase, T. Photoredox Chemistry of Polyoxometalates as a Photocatalyst. Catal. Surv. Asia 2003, 7, 203–217. [Google Scholar] [CrossRef]
- Streb, C. New Trends in Polyoxometalate Photoredox Chemistry: From Photosensitisation to Water Oxidation Catalysis. Dalton Trans. 2012, 41, 1651–1659. [Google Scholar] [CrossRef] [PubMed]
- Nakamura, O.; Kodama, T.; Ogino, I.; Miyake, Y.; Nakamura, O.; Kodama, T.; Ogino, I.; Miyake, Y. High-Conductivity Solid Proton Conductors: Dodecamolybdophosphoric Acid and Dodecatungstophosphoric Acid Crystals. Chem. Lett. 1979. [Google Scholar] [CrossRef]
- Miras, H.N.; Yan, J.; Long, D.-L.L.; Cronin, L. Engineering Polyoxometalates with Emergent Properties. Chem. Soc. Rev. 2012, 41, 7403–7430. [Google Scholar] [CrossRef] [PubMed]
- Sawada, Y.; Kosaka, W.; Hayashi, Y.; Miyasaka, H. Coulombic Aggregations of MnIII salen-Type Complexes and Keggin-Type Polyoxometalates: Isolation of Mn2 Single-Molecule Magnets. Inorg. Chem. 2012, 51, 4824–4832. [Google Scholar] [CrossRef] [PubMed]
- Sheldrick, G. A short history of SHELX. Acta Crystallogr. Sect. A 2008, 64, 112–122. [Google Scholar] [CrossRef] [PubMed]




© 2017 by the authors. Licensee MDPI, Basel, Switzerland. This article is an open access article distributed under the terms and conditions of the Creative Commons Attribution (CC BY) license (http://creativecommons.org/licenses/by/4.0/).
Share and Cite
Kuramochi, S.; Shiga, T.; Cameron, J.M.; Newton, G.N.; Oshio, H. Synthesis, Crystal Structures and Magnetic Properties of Composites Incorporating an Fe(II) Spin Crossover Complex and Polyoxometalates. Inorganics 2017, 5, 48. https://doi.org/10.3390/inorganics5030048
Kuramochi S, Shiga T, Cameron JM, Newton GN, Oshio H. Synthesis, Crystal Structures and Magnetic Properties of Composites Incorporating an Fe(II) Spin Crossover Complex and Polyoxometalates. Inorganics. 2017; 5(3):48. https://doi.org/10.3390/inorganics5030048
Chicago/Turabian StyleKuramochi, Satoshi, Takuya Shiga, Jamie M. Cameron, Graham N. Newton, and Hiroki Oshio. 2017. "Synthesis, Crystal Structures and Magnetic Properties of Composites Incorporating an Fe(II) Spin Crossover Complex and Polyoxometalates" Inorganics 5, no. 3: 48. https://doi.org/10.3390/inorganics5030048
APA StyleKuramochi, S., Shiga, T., Cameron, J. M., Newton, G. N., & Oshio, H. (2017). Synthesis, Crystal Structures and Magnetic Properties of Composites Incorporating an Fe(II) Spin Crossover Complex and Polyoxometalates. Inorganics, 5(3), 48. https://doi.org/10.3390/inorganics5030048

