Structure and Electrochemical Performance of Glasses in the Li2O-B2O3-V2O5-MoO3 System
Abstract
1. Introduction
2. Results and Discussion
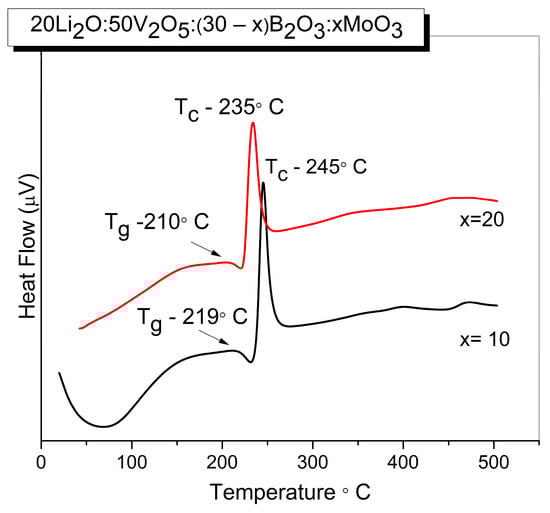
2.1. XRD and DCS Studies
2.2. IR Spectral Analysis
2.3. Density, Molar Volume, Oxygen Packing Density and Oxygen Molar Volume
2.4. Diffuse Reflectance Spectra (DRS)
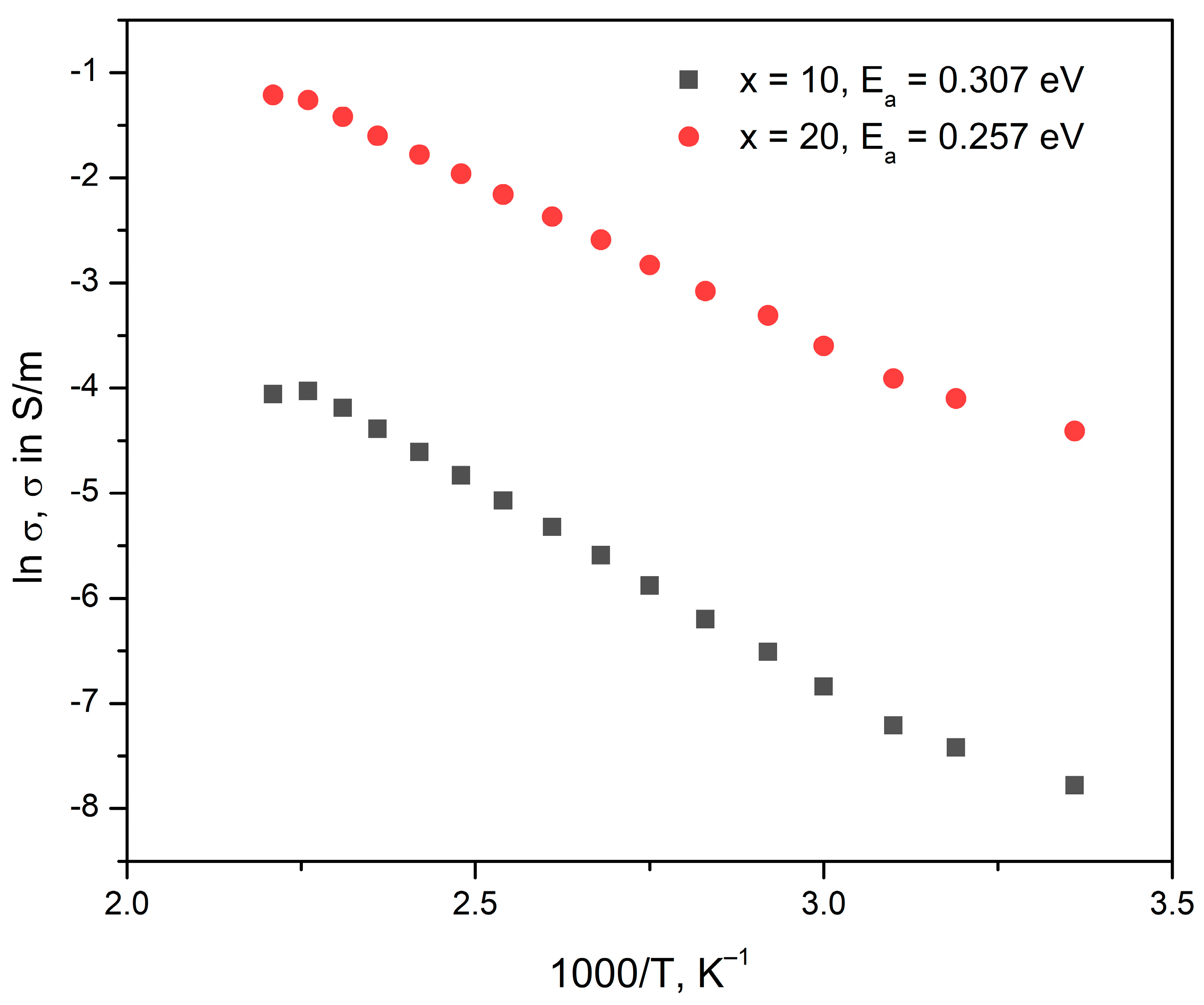
2.5. Electrical Properties
2.6. All-Solid-State Battery
3. Materials and Methods
3.1. Sample Preparation
3.2. Sample Characterization
3.3. Preparation of Cathode Materials
3.4. Battery Cell Assembly
4. Conclusions
Author Contributions
Funding
Institutional Review Board Statement
Informed Consent Statement
Data Availability Statement
Conflicts of Interest
References
- Vermeer, W.; Mouli, G.R.C.; Bauer, P. A Comprehensive Review on the Characteristics and Modeling of Lithium-Ion Battery Aging. IEEE Trans. Transp. Electrif. 2022, 8, 2205–2232. [Google Scholar] [CrossRef]
- Barbosa, J.C.; Gonçalves, R.; Costa, C.M.; Lanceros-Mendez, S. Recent Advances on Materials for Lithium-Ion Batteries. Energies 2021, 14, 3145. [Google Scholar] [CrossRef]
- Afyon, S.; Krumeich, F.; Mensing, C.; Borgschulte, A.; Nesper, R. New High Capacity Cathode Materials for Rechargeable Li-ion Batteries: Vanadate-Borate Glasses. Sci. Rep. 2014, 4, 7113. [Google Scholar] [CrossRef]
- Hassaan, M.Y.; Salem, S.M.; Moustafa, M.G. Study of nanostructure and ionic conductivity of Li1.3Nb0.3V1.7(PO4)3 glass ceramics used as cathode material for solid batteries. J. Non-Cryst. Solids 2014, 391, 6–11. [Google Scholar] [CrossRef]
- Zhao, E.L.; Zhao, S.X.; Wu, X.; Li, J.W.; Yu, L.Q.; Nan, C.W.; Cao, G. Electrochemical performance of Li2O-V2O5-SiO2-B2O3 glass as cathode material for lithium ion batteries. J. Materiomics 2019, 5, 663–669. [Google Scholar] [CrossRef]
- Gao, Y.; Liu, K.; Zhu, C.; Zhang, X.; Zhang, D. Co-Estimation of State-of-Charge and State-of- Health for Lithium-Ion Batteries Using an Enhanced Electrochemical Model. IEEE Trans. Ind. Electron. 2021, 69, 2684–2696. [Google Scholar] [CrossRef]
- Zhang, W.; Wang, L.; Wang, L.; Liao, C.; Zhang, Y. Joint State-of-Charge and State-of-Available-Power Estimation Based on the Online Parameter Identification of Lithium-Ion Battery Model. IEEE Trans. Ind. Electron. 2021, 69, 3677–3688. [Google Scholar] [CrossRef]
- Wei, Z.; Quan, Z.; Wu, J.; Li, Y.; Pou, J.; Zhong, H. Deep Deterministic Policy Gradient-DRL Enabled Multiphysics-Constrained Fast Charging of Lithium-Ion Battery. IEEE Trans. Ind. Electron. 2022, 69, 2588–2598. [Google Scholar] [CrossRef]
- Ni, Z.; Yang, Y. A Combined Data-Model Method for State-of-Charge Estimation of Lithium-Ion Batteries. IEEE Trans. Instrum. Meas. 2022, 71, 2503611. [Google Scholar] [CrossRef]
- Mustafa, J.; Alqaed, S.; Husain, S.; Jamil, B.; Sharifpur, M.; Cheraghian, G. Effect of Phase Change Materials on Lithium-Ion Plate Batteries. Batteries 2023, 9, 60. [Google Scholar] [CrossRef]
- Wei, Z.; Hu, J.; He, H.; Yu, Y.; Marco, J. Embedded Distributed Temperature Sensing Enabled Multistate Joint Observation of Smart Lithium-Ion Battery. IEEE Trans. Ind. Electron. 2023, 70, 555–565. [Google Scholar] [CrossRef]
- Kittaneh, O. On the Theory of the Arrhenius-Normal Model with Applications to the Life Distribution of Lithium-Ion Batteries. Batteries 2023, 9, 55. [Google Scholar] [CrossRef]
- Shui, Z.Y.; Li, X.H.; Feng, Y.; Wang, B.C.; Wang, Y. Combining Reduced-Order Model with Data-Driven Model for Parameter Estimation of Lithium-Ion Battery. IEEE Trans. Ind. Electron. 2023, 70, 1521–1531. [Google Scholar] [CrossRef]
- Krishnamoorthy, U.; Ayyavu, P.G.; Panchal, H.; Shanmugam, D.; Balasubramani, S.; Al-rubaie, A.J.; Al-khaykan, A.; Oza, A.D.; Hembrom, S.; Patel, T.; et al. Efficient Battery Models for Performance Studies-Lithium Ion and Nickel Metal Hydride Battery. Batteries 2023, 9, 52. [Google Scholar] [CrossRef]
- Delmas, C.; Cognac-Auradou, H.; Cocciantelli, J.M.; Menetrier, M.; Doumerc, J.P. The LixV2O5 system: An overview of the structure modifications induced by the lithium intercalation. Solid State Ionics. 1994, 69, 257–264. [Google Scholar] [CrossRef]
- Attos, O.; Massot, M.; Mavi, H.S.; Julien, C. Spectroscopic investigations of the network structure in borovanadate glasses. MRS Online Proc. Libr. 1997, 455, 477–482. [Google Scholar] [CrossRef]
- Bih, L.; El Omari, M.; Réau, J.M.; Haddad, M.; Boudlich, D.; Yacoubi, A.; Nadiri, A. Electronic and ionic conductivity of glasses inside the Li2O–MoO3–P2O5 system. Solid State Ion. 2000, 132, 71–85. [Google Scholar] [CrossRef]
- Bih, L.; Nadiri, A.; El Omari, M.; Yacoubi, A.; Haddad, M. FTIR, EPR and X-ray investigation of mixed valence molybdenum phosphate A2O–(MoO3)2–P2O5 (A=Li,Na) glasses. Phys. Chem. Glas. 2002, 43, 153–157. [Google Scholar]
- Jozwiak, P.; Garbarczyk, J.E. Mixed electronic–ionic conductivity in the glasses of the Li2O–V2O5–P2O5 system. Solid State Ion. 2005, 176, 2163–2166. [Google Scholar] [CrossRef]
- Al-Hajry, A.; Al-Shahrani, A.; El-Desoky, M.M. Structural and other physical properties of barium vanadate glasses. Mater. Chem. Phys. 2006, 95, 300–306. [Google Scholar] [CrossRef]
- Bih, L.; Abbas, L.; Nadiri, A.; Amraoui, Y.E.; Mezzane, D.; Khemakhem, H. DC and AC conductivities of the yLi2O–(1-y)[0.35(MoO3)2–0.65(P2O5)] glasses. M. J. Condenced Mater. 2006, 7, 70–73. [Google Scholar]
- Rao, L.S.; Reddy, M.S.; Reddy, M.R.; Veeraiah, N. Dielectric dispersion in Li2O–MoO3–B2O3 glass system doped with V2O5. J. Alloys Compd. 2008, 464, 472–482. [Google Scholar] [CrossRef]
- Takahashi, H.; Karasawa, T.; Sakuma, T.; Garbarczyk, J.E. Electrical conduction in the vitreous and crystallized Li2O–V2O5–P2O5 system. Solid State Ion. 2010, 81, 27–32. [Google Scholar] [CrossRef]
- Barczyński, R.J.; Król, P.; Murawski, L. AC and DC conductivities in V2O5–P2O5 glasses containing alkaline ions. J. Non-Cryst. Solids 2010, 356, 1965–1967. [Google Scholar] [CrossRef]
- Gowda, V.C.; Chethana, B.K.; Reddy, C.N. Ion transport studies in lithium phospho-molybdate glasses containing Cl− ion. Mat. Sci. Eng. B-Adv. 2013, 178, 826–833. [Google Scholar] [CrossRef]
- Saetova, N.S.; Raskovalov, A.A.; Antonov, B.D.; Yaroslavtseva, T.V.; Reznitskikh, O.G.; Zabolotskaya, E.V.; Kadyrova, N.I.; Telyatnikova, A.A. Conductivity and spectroscopic studies of Li2O-V2O5-B2O3 glasses. Ionics 2018, 24, 1929–1938. [Google Scholar] [CrossRef]
- Kindle, M.; Kmiec, S.; d’Anciães, I.; Silva, A.; Eckert, H.; Martin, S.W.; Song, M.K.; McCloy, J.S. Structural properties of alumina-doped lithium borovanadate glasses and glass-ceramics. J. Non-Cryst. Solids 2019, 521, 119551. [Google Scholar] [CrossRef]
- Saetova, N.S.; Raskovalov, A.A.; Antonov, B.D.; Denisova, T.A.; Zhuravlev, N.A. Structural features of Li2O–V2O5–B2O3 glasses: Experiment and molecular dynamics simulation. J. Non-Cryst. Solids 2020, 545, 120253. [Google Scholar] [CrossRef]
- Banagar, A.V.; Kumar, M.P.; Nagaraja, N. Effect of Mixed Transition Metal Ions in B2O3-V2O5-MoO3 Glass System. J. Electron. Mater. 2020, 49, 7370–7378. [Google Scholar] [CrossRef]
- Ori, G.; Montorsi, M.; Pedone, A.; Siligardi, C. Insight into the structure of vanadium containing glasses: A molecular dynamics study. J. Non-Cryst. Solids 2011, 357, 2571–2579. [Google Scholar] [CrossRef]
- Boora, M.; Malik, S.; Kumar, V.; Bala, M.; Arora, S.; Rohilla, S.; Kumar, A.; Dalal, J. Investigation of structural and impedance spectroscopic properties of borate glasses with high Li+ concentration. Solid State Ion. 2021, 368, 115704. [Google Scholar] [CrossRef]
- Ukpong, A.M. Controlling the crystallization of lithium borovanadate phases in an oxide glass composite using the CALPHAD approach. Mater. Today Proc. 2021, 38, 1059–1070. [Google Scholar] [CrossRef]
- Yang, X.; Muñoz, F.; Vargas, P.; Palomar, T.; Rosero-Navarro, N.C. Electrochemical Stability and Ionic Conductivity of AlF3 Containing Lithium Borate Glasses: Fluorine Effect, Strength or Weakness? Battery Energy 2025, 4, e70007. [Google Scholar] [CrossRef]
- Rosero-Navarro, N.C.; Watanabe, H.; Jalem, R.; Mena, M.; Yang, X.; Sugio, S.; Ito, H.; Tateyama, Y.; Miura, A.; Tadanaga, K. Microstructure-controlled Li ion conductive oxide–based ceramic solid electrolytes supporting high current densities. Electrochim. Acta 2025, 528, 146233. [Google Scholar] [CrossRef]
- Warren, Z.; Seghers, M.; Boissière, P.; Aparicio, M.; Rosero-Navarro, N.C. Effect of Temperature during Open Vessel Sintering on Li6PS5Cl Solid-State Electrolyte Powders for Use in Cathode Composite Electrodes. ACS Electrochem. 2025, 1, 1093–1100. [Google Scholar] [CrossRef]
- Peng, L.; Lei, T.; Cheng, S.; Xie, J. Synergistic fluorine-nitrogen interfaces enabling stable high-voltage sulfide-based all-solid-state lithium metal batteries. Nano Res. 2025, 18, 94907614. [Google Scholar] [CrossRef]
- Guo, S.; Li, W.; Wu, X.; Guo, X.; Gong, Z.; Wang, E.; Wang, R.; Luo, J.; Mi, L.; Kang, J.; et al. Functional Separator Induced Interface Potential Uniform Reformation Enabling Dendrite-Free Metal Batteries. Adv. Funct. Mater. 2025. [Google Scholar] [CrossRef]
- Miura, A.; Rosero-Navarro, N.C.; Sakuda, A.; Tadanaga, K.; Phuc, N.H.H.; Matsuda, A.; Machida, N.; Hayashi, A.; Tatsumisago, M. Liquid-phase syntheses of sulfide electrolytes for all-solid-state lithium battery. Nat. Rev. Chem. 2019, 3, 189–198. [Google Scholar] [CrossRef]
- Men, M.; Wu, J.; Liu, G.; Zhang, J.; Zhang, N.; Yao, X. Sulfide solid electrolyte synthesized by liquid phase approach and application in all-solid-state lithium batteries. Acta Phys.-Chim. Sin. 2025, 41, 100004. [Google Scholar] [CrossRef]
- Warren, Z.; Rosero-Navarro, N.C. Solution-Based Suspension Synthesis of Li2S–P2S5 Glass-Ceramic Systems as Solid-State Electrolytes: A Brief Review of Current Research. ACS Omega 2024, 9, 31228–31236. [Google Scholar] [CrossRef]
- International Centre for Diffraction Data. Pennsylvania, USA 2025. Available online: www.ICDD.com.
- Hamad, A.H.; Marzouk, M.A.; ElBatal, H.A. The Effect of Bi2O3 on Optical, FTIR and Thermal Properties of SrO-B2O3 glasses. Silicon 2016, 8, 121–131. [Google Scholar] [CrossRef]
- Soliman, A.A.; Kashif, I. Copper oxide content dependence of crystallization behavior, glass forming ability, glass stability and fragility of lithium borate glasses. Phys. B 2010, 405, 247–253. [Google Scholar] [CrossRef]
- Zhu, L.; Xu, T.F.; Nie, Q.H.; Shen, X. Spectral properties and thermal stability of erbium TeO2-WO3-La2O3 glass. J. Inorg. Mater. 2006, 21, 351–356. [Google Scholar]
- Varsamis, C.P.; Makris, E.N.; Valvi, C.; Kamitsos, E.I. Short-range structure, the role of bismuth and property-structure correlations in bismuth borate glasses. Phys. Chem. Chem. Phys. 2021, 23, 10006–10020. [Google Scholar] [CrossRef] [PubMed]
- Milanova, M.; Aleksandrov, L.; Yordanova, A.; Iordanova, R.; Tagiara, N.S.; Herrmann, A.; Gao, G.; Wondraczek, L.; Kamitsos, E.I. Structural and luminescence behavior of Eu3+ ions in ZnO-B2O3-WO3 glasses. J. Non-Cryst. Solids 2023, 600, 122006. [Google Scholar] [CrossRef]
- Iordanova, R.; Milanova, M.; Aleksandrov, L.; Khanna, A. Structural study of glasses in the system B2O3-Bi2O3-La2O3-WO3. J. Non-Cryst. Solids 2018, 481, 254–259. [Google Scholar] [CrossRef]
- Markova-Velichkova, M.; Iordanova, R.; Dimitriev, Y. Glass formation in the V2O5-MoO3-ZnO system. Phys. Status Solidi C 2011, 8, 3159–3162. [Google Scholar] [CrossRef]
- Khan, S.; Singhm, K. Structual, optical, thermal and conducting properties of V2−xLixO5-δ (0.15≤x≤0.30) system. Sci. Rep. 2020, 10, 1089. [Google Scholar]
- Bachvarova-Nedelcheva, A.; Iordanova, R.; Kostov, K.L.; Ganev, V.; Yordanov, S.; Dimitriev, Y. Synthesis and structural chatacterization of a glass in the Ag2O-SeO2-MoO3 system. J. Non-Cryst. Solids 2018, 481, 138–147. [Google Scholar] [CrossRef]
- Milanova, M.; Iordanova, R.; Tatsumisago, M.; Hayashi, A.; Tzvetkov, P.; Nihtianova, D.; Markov, P.; Dimitriev, Y. Soft mechanochemical synthesis and electrochemical behavior of LiVMoO6 for all-solid-state lithium batteries. J. Mater. Sci. 2016, 51, 3574–3584. [Google Scholar] [CrossRef]
- Milanova, M.; Iordanova, R.; Aleksandrov, L.; Hassan, M.; Dimitriev, Y. Glass formation and structure of glasses in the ZnO―Bi2O3―WO3―MoO3 system. J. Non-Cryst. Solids 2011, 357, 2713–2718. [Google Scholar] [CrossRef]
- Ray, N.H. Composition-properties relationship in Inorganic Oxide Glasses. J. Non-Cryst. Solids 1974, 15, 423–434. [Google Scholar] [CrossRef]
- Saddeek, Y.B.; Azooz, M.A.; Saddek, A.B. Ultrasonic investigations of some bismuth borate glasses doped with Al2O3. Bull. Mater. Sci. 2015, 38, 241–246. [Google Scholar] [CrossRef]
- Aryal, P.; Kesavulu, C.R.; Kim, H.J.; Lee, S.W.; Kang, S.J.; Kaewkhao, J.; Chanthima, N.; Damdee, B. Optical and luminescence characteristics of Eu3+-doped B2O3: SiO2: Y2O3: CaO glasses for visible red laser and scintillation material applications. J. Rare Earths 2018, 36, 482–491. [Google Scholar] [CrossRef]
- Villegas, M.A.; Fernández Navarro, J.M. Physical and structural properties of glasses in the TeO2–TiO2–Nb2O5 system. J. Eur. Ceram. Soc. 2007, 27, 2715–2723. [Google Scholar] [CrossRef]
- Centi, G.; Perathoner, S.; Trifiro, F.; Aboukals, A.; Aissi, C.F.; Guelton, M. Physicochemiacl Characterizationof V-Silicates. J. Phus. Chem. 1992, 96, 2617–2629. [Google Scholar] [CrossRef]
- Aleksandrov, L.; Iordanova, R.; Dimitriev, Y.; Georgiev, N.; Komatsu, T. Eu3+ doped 1La2O3:2WO3:1B2O3 glass and glass–ceramic. Opt. Mater. 2014, 36, 1366–1372. [Google Scholar] [CrossRef]
- Margha, F.H.; El-Bassyouni, G.T.; Turky, G.M. Enhancing the electrical conductivity of vanadate glass system (Fe2O3, B2O3, V2O5) via doping with sodium or strontium cations. Ceram. Int. 2018, 45, 11838–11843. [Google Scholar] [CrossRef]
- Rao, L.S. AC conductivity and polarization phenomenon of Li2O-MoO3-B2O3:V2O5 glasses. J. Alloys Compd. 2019, 787, 1280–1289. [Google Scholar]







| Sample | Li2O (mol%) | B2O3 (mol%) | V2O5 (mol%) | MoO3 (mol%) | Melting Temperature (°C) | Colling Rate K/s | Visual Assessment | 
|---|---|---|---|---|---|---|---|
| 1. | 30 | 10 | 10 | 50 | 850 | ≤101–102 | Hygroscopic/Non homogeneous glass | 
| 2. | 30 | 30 | 10 | 30 | 850 | ≤101–102 | Hygroscopic/Non homogeneous glass | 
| 3. | 30 | 50 | 10 | 10 | 850 | ≤101–102 | Hygroscopic/Non homogeneous glass | 
| Sample | Li2O (mol%) | B2O3 (mol%) | V2O5 (mol%) | MoO3 (mol%) | Melting Temperature (°C) | Colling Rate K/s | Visual Assessment | 
|---|---|---|---|---|---|---|---|
| 1. | 20 | 20 | 50 | - | 950 | 101–102 | Glass + crystals | 
| 2. | 20 | 20 | 50 | 10 | 950 | 101–102 | Non hygroscopic/Homogeneous glass | 
| 3. | 20 | 10 | 50 | 20 | 950 | 101–102 | Non hygroscopic/Homogeneous glass | 
| 4. | 20 | 10 | 40 | 30 | 950 | 101–102 | Glass + crystals | 
| 5. | 20 | 10 | 30 | 40 | 950 | 101–102 | Glass + crystalls | 
| Sample ID | Tg/°C | Tc/°C | ΔT/°C | EB/KJ mol−1 | 
|---|---|---|---|---|
| x = 10 | 219 | 245 | 24 | 612 | 
| x = 20 | 210 | 235 | 25 | 592 | 
| Infrared Bands Position (cm−1) | Assignment | Ref. | 
|---|---|---|
| 468–472 | δ V2O2 (VO5) | [49] | 
| 573 | νs (Me2O8), Me = V/Mo | [51] | 
| 649–651 | νas (VO4) | [48] | 
| 697 | ν3 (MoO4) | [52] | 
| 728 | νs (Me2O8), Me = V/Mo | [51] | 
| 767–764 | ν (V-O-V) | [49] | 
| 885 | ν (Me-O-Me), (Mo/VO6) Me = V/Mo | [51] | 
| 910 | ν1 (MoO4) | [52] | 
| 923–916 | ν (Me = O), (Mo/VO6) Me = V/Mo | [48,52] | 
| 980–971 | ν (Mo = O), MoO6 | [50] | 
| 1000–993 | ν (V = O), (VO5) | [49] | 
| 1090–1072 | ν BØ4− | [47] | 
| 1196; 1242–1253 | ν3 BO33− | [45] | 
| 1221; 1237–1330 | B-O-B stretch in pyroborate units, BØO22−;B-O− stretch in in pyroborate units, BØO22− | [45] | 
| 1266–1270; 1352, 1392–1418; 1452–1464 | BØ stretch in metaborate unuts, BØ2O + νas(B–O–B); B–O–B bridges connect BO3 units ν(B–O-) stretch in BØ2O− units | [45,46] | 
| Sample ID | ρ (g/cm3) | Vm (cm3/mol) | Vo (cm3/mol) | OPD (g atom/L) | 
|---|---|---|---|---|
| x = 10 | 2.964 ± 0.006 | 39.90 | 11.08 | 90.22 | 
| x = 20 | 3.051 ± 0.002 | 43.48 | 12.08 | 82.80 | 
| x (mol%) | t (°C) | |Z| (Ω) | φ (°) | σ (S/m) | Ea (eV) | 
|---|---|---|---|---|---|
| 20 | RT | 1.0699 × 103 | −0.03 | 0.0121 | 0.257 ± 0.001 | 
| 40 | 7.8543 × 102 | −0.03 | 0.0165 | ||
| 50 | 6.4880 × 102 | −0.03 | 0.02 | ||
| 60 | 4.7676 × 102 | −0.04 | 0.0273 | ||
| 70 | 3.5601 × 102 | −0.05 | 0.0365 | ||
| 80 | 2.8176 × 102 | −0.05 | 0.0461 | ||
| 90 | 2.1960 × 102 | −0.06 | 0.0592 | ||
| 100 | 1.7293 × 102 | −0.05 | 0.0751 | ||
| 110 | 1.3925 × 102 | −0.05 | 0.0933 | ||
| 120 | 1.1285 × 102 | −0.06 | 0.115 | ||
| 130 | 9.2586 × 101 | −0.06 | 0.14 | ||
| 140 | 7.7259 × 101 | −0.07 | 0.168 | ||
| 150 | 6.4038 × 101 | −0.07 | 0.203 | ||
| 160 | 5.3605 × 101 | −0.08 | 0.242 | ||
| 170 | 4.5850 × 101 | −0.10 | 0.283 | ||
| 180 | 4.3496 × 101 | −0.11 | 0.299 | ||
| 10 | RT | 3.0617 × 104 | −0.05 | 4.16 × 10−4 | 0.307 ± 0.002 | 
| 40 | 2.1214 × 104 | −0.03 | 6 × 10−4 | ||
| 50 | 1.7194 × 104 | −0.03 | 7.41 × 10−4 | ||
| 60 | 1.1905 × 104 | −0.03 | 0.00107 | ||
| 70 | 8.5299 × 103 | −0.03 | 0.00149 | ||
| 80 | 6.2686 × 103 | −0.03 | 0.00203 | ||
| 90 | 4.5696 × 103 | −0/03 | 0.00279 | ||
| 100 | 3.4185 × 103 | −0.04 | 0.00373 | ||
| 110 | 2.6089 × 103 | −0.04 | 0.00488 | ||
| 120 | 2.0284 × 103 | −0.04 | 0.00628 | ||
| 130 | 1.5909 × 103 | −0.05 | 0.00801 | ||
| 140 | 1.2780 × 103 | −0.05 | 0.00997 | ||
| 150 | 1.0293 × 103 | −0.06 | 0.0124 | ||
| 160 | 8.4183 × 102 | −0.06 | 0.0151 | ||
| 170 | 7.1487 × 102 | −0.08 | 0.0178 | ||
| 180 | 7.3508 × 102 | −0.11 | 0.0173 | 
| Disclaimer/Publisher’s Note: The statements, opinions and data contained in all publications are solely those of the individual author(s) and contributor(s) and not of MDPI and/or the editor(s). MDPI and/or the editor(s) disclaim responsibility for any injury to people or property resulting from any ideas, methods, instructions or products referred to in the content. | 
© 2025 by the authors. Licensee MDPI, Basel, Switzerland. This article is an open access article distributed under the terms and conditions of the Creative Commons Attribution (CC BY) license (https://creativecommons.org/licenses/by/4.0/).
Share and Cite
Milanova, M.; Yang, X.; Vargas, P.; Rosero-Navarro, N.C.; Harizanova, R.; Jivov, B.; Aleksandrov, L.; Iordanova, R.; Shopska, M.; Koleva, S. Structure and Electrochemical Performance of Glasses in the Li2O-B2O3-V2O5-MoO3 System. Inorganics 2025, 13, 285. https://doi.org/10.3390/inorganics13090285
Milanova M, Yang X, Vargas P, Rosero-Navarro NC, Harizanova R, Jivov B, Aleksandrov L, Iordanova R, Shopska M, Koleva S. Structure and Electrochemical Performance of Glasses in the Li2O-B2O3-V2O5-MoO3 System. Inorganics. 2025; 13(9):285. https://doi.org/10.3390/inorganics13090285
Chicago/Turabian StyleMilanova, Margarita, Xinhao Yang, Pamela Vargas, Nataly Carolina Rosero-Navarro, Ruzha Harizanova, Bojidar Jivov, Lyubomir Aleksandrov, Reni Iordanova, Maya Shopska, and Savina Koleva. 2025. "Structure and Electrochemical Performance of Glasses in the Li2O-B2O3-V2O5-MoO3 System" Inorganics 13, no. 9: 285. https://doi.org/10.3390/inorganics13090285
APA StyleMilanova, M., Yang, X., Vargas, P., Rosero-Navarro, N. C., Harizanova, R., Jivov, B., Aleksandrov, L., Iordanova, R., Shopska, M., & Koleva, S. (2025). Structure and Electrochemical Performance of Glasses in the Li2O-B2O3-V2O5-MoO3 System. Inorganics, 13(9), 285. https://doi.org/10.3390/inorganics13090285
 
        






 
       