Abstract
In this study, we present a convenient approach for the preparation of viscose, maghemite, goethite, and poly(methylhydro-dimethyl)siloxane hybrid materials possessing electromagnetic shielding properties, thermal stability, strong magnetization, and very good hydrophobicity. The chemical compositions, morphologies, thermal properties, magnetic measurements, wettability, and dielectric properties of the prepared composites and pristine precursors were thoroughly investigated by Fourier transform infrared spectroscopy (FTIR), scanning and transmission electron microscopy (SEM and TEM), thermal degradation (TG, DTG, and DTA), magnetic measurements (magnetization, thermomagnetic curves, relative magnetic permeability), and dielectric spectrometry. Moreover, the electromagnetic shielding properties of pristine viscose and the final composite were assessed.
1. Introduction
Modern living involves the use of electronic devices to the greatest extent. All these devices emit electric fields (electricity sources, electrical microtransformers) and electromagnetic fields (phones, GPS, Wi-Fi transmitters, smart watches, etc.). These electric and electromagnetic fields propagate at radiowave, microwave, or electric power wave frequencies (1–1012 Hz), in contrast to ionizing electromagnetic waves (considered dangerous or even deadly), such as cosmic rays, gamma radiation, X-rays, or ultraviolet radiation (with frequencies of 1015–1024 Hz). Exposure to these emissions can cause cancer, brain tumors, memory loss, leukemia, sleeplessness, heart disease, etc. [1, 2, 3]. Apart from the human health aspect, there is also the phenomenon of electromagnetic interference [4]. The agglomeration of electronic devices in the vicinity of others could disturb their functioning by inducing parasitic electric and electromagnetic fields. For all these reasons, it has become necessary to develop barriers that can stop or filter part of the electromagnetic radiation through electromagnetic shielding.
Electromagnetic shielding is the procedure by which materials prevent electromagnetic radiation from passing through them by using reflection, absorption, and sometimes refraction [4]. A material can shield electromagnetic radiation through three procedures: reflection, absorption, or multiple internal reflections. For shielding with reflection radiation, the material must have electric carriers such as free electrons or holes, which can interact with the electric component of the incident electromagnetic field. The material needs to have electrical conductivity of about 1 S∙cm. For shielding with the absorption of electromagnetic radiation, the material is dielectric (electrically insulating material), with high electric and/or magnetic dipoles (ferroelectric and/or ferromagnetic materials) [4, 5]. Absorption loss occurs because incident electromagnetic waves induced in the medium involve the displacement of the electron cloud, which produces ohmic losses and the heating of the material (i.e., heat loss). Ferroelectric materials have a high dielectric constant but also dielectric losses, which directly influence the absorption phenomenon. Ferromagnetic materials (magnetite, maghemite, and ferrite) present, as the main absorption loss mechanism, a magnetic dissipation phenomenon, thus allowing the integration of several complementary loss paths, ultimately increasing the total electromagnetic attenuation capacity [6, 7].
In the third case, multiple reflective shields are required in the presence of a large interface (nanofibers, nanotubes, or nanometric pyramidal structures) or the presence of large specific surfaces (multiple-layered materials or porous foam materials) [4].
Mathematically, the shielding effectiveness (SE) can be expressed on a logarithmic scale [4, 5, 6]:
where SER is the shielding effectiveness for the reflection component; SEA is the shielding effectiveness for absorption; SEMR is the shielding effectiveness for the multiple reflection component; and dB is decibels, the unit of measurement for the quantitative determination of shielding effectiveness.
SE [dB] = SER + SEA + SEMR
In turn, the three components of shielding can be determined from Equations (2)–(4) [8, 9, 10]:
where σ = ω·ε0·ε″ is the conductivity of the shielding material (measured in S/m), ω = 2πf is the angular frequency (Hz), f is the linear frequency (Hz), ε0 is the electrical permittivity of the free space—8.854·10−12 F/m, ε″ is the absorption permittivity (loose permittivity), µr is the relative magnetic permeability of the shielding material, and δ =
is the skin depth, which is defined as the distance required by the wave to be attenuated with a value of 1/e (e: Euler constant—2.71828) or 37% of its original strength.
SEMR = −20 log10 (1 − e−2t/δ)
Most of the materials used for electromagnetic shielding are hard solids, especially those used against ionizing radiation (lead, metal alloys, prestressed concrete, and metal containers filled with plain water or even heavy water). To shield from radiofrequency waves or electric fields emitted by power cables, research is focusing on thin materials that can take the form of emitting devices. Thus, in recent years, textiles and textile materials have become the subject of research in this regard. Natural or synthetic textile materials do not have electromagnetic shielding qualities at any frequency of electromagnetic radiation except the frequency of visible light (1015 Hz) [2]. Some textile composites may have electromagnetic shielding properties, depending on the precursor chosen to form the composite. In particular, it has been proven that textiles that contain metallic threads can exhibit electromagnetic shielding by reflection, ferromagnetic particles can induce shielding by absorption in composite textiles, and textiles that incorporate nanoparticles with specific shapes (nanowires, nanotubes, or pyramidal structures) can exhibit shielding by multiple reflections. Most attempts have aimed to obtain composite fabrics with metal inserts. Specifically, Perumalraj and colleagues synthesized one by knitting a cotton fabric with a copper insert [10]. The obtained shielding reached values between 31 and 32.5 dB, depending on the diameter of the copper wires (0.1–0.12 mm) and the thickness of the textile composite material (0.79–0.9 mm). Ortlek and his colleagues aimed to obtain a composite material of polyester and stainless steel, also by knitting [11]. Here, shielding values of 25–60 dB were obtained at frequencies of 30 MHz–9.5 GHz. Wang also used cotton integrated with stainless steel filaments and achieved 25–40 dB of noise reduction, depending on how the filaments were arranged and oriented [12]. To obtain textile materials with multiple reflections of incident electromagnetic radiation, the most convenient material used is carbon nanotubes. In this regard, Culica et al. created composites of viscose, oxidized viscose, and carbon nanotubes [13]. Shielding of 60–110 dB was obtained, depending on the thickness of the composite (1–1.5 mm), at industrial frequencies (50–55 Hz), and 25 dB at a frequency of 106 Hz for the composite of carbon nanotubes in viscose. Meanwhile, for the composite with oxidized viscose, the shielding decreased to 70–80 dB (50–55 Hz) and 20 dB (106 Hz). In another work, a layer-by-layer technique was used to prepare cationic cotton coated with graphene oxide/polypyrrole with multireflection shielding [14]. Cationic cotton was prepared by the polymerization of 3-chloro-2-hydroxypropyltrimethyl ammonium chloride after cleaning the fabric by ultrasonication. The average EMI SE values for one, two, three, and four cycles of deposition were from 10 to 24.3 dB in the frequency range of 3.9–6 GHz. Regarding composite textiles with electromagnetic shielding properties through absorption, research is rarer and is based on the incorporation of particles with high dielectric constants or magnetic particles into the textile matrix. Specifically, a composite was created from viscose and barium titanate (a ferroelectric material with a high dielectric constant), which became a felt when pressed [5]. The authors also performed a heat treatment on one of the samples, followed by cooling in an intense electric field, which led to an increase in electromagnetic shielding. Shielding of 18 dB was obtained for the felt loaded with 10% ferroelectric particles, 20 dB for 20% barium titanate particles, and 22 dB for the composite heat-treated in an intense electric field.
Another problem is the use of composite textiles outdoors during rain or in humid environments. Most textiles, while not being strongly hydrophilic, are still not hydrophobic. Consequently, it would be necessary to render them hydrophobic without losing their physical properties. Polysiloxanes are used as coating agents in the textile industry due their ability to diffuse onto the textile support’s surface and create hydrophobic coatings on the contact surface. Polysiloxane copolymers with Si-H functional groups are used to create hydrophobic and durable coating films through a crosslinking reaction, often catalyzed by substances like zinc octoate or acid catalysts. In addition to the very good hydrophobization effect, such a film also provides other properties to the solid surface, such as a smooth and silky texture and water washing [15, 16].
The aim of this work was to synthesize a ferromagnetic and highly hydrophobic textile material in the form of a felt (from which various covers could be produced), which could be used as an electromagnetic shield for different frequencies of incident radiation (industrial frequencies of 50–55 Hz for power cables and electrical transformers, as well as radiofrequencies).
2. Results and Discussion
2.1. Structural Characterization
FTIR Analysis
The structures of V, MG, PSi, and the V/MG/PSi composite were first assessed by infrared spectroscopy. Figure 1 illustrates the infrared spectra of pure V, MG, PSi, and V/MG/PPSi samples.
Figure 1.
Infrared spectra of V, MG, Psi, and V/MG/PSi.
For viscose (V), peaks are found at 3350 cm−1 (OH stretching vibration), 2891 cm−1 (CH symmetrical stretching), 1639 cm−1 (OH bending of absorbed water), 1420 cm−1 (HCH in-plane bending vibration and/or CH2 scissoring motion and/or CH2 symmetric bending at C6), 1367 cm−1 (CH in-plane bending), 1315 cm−1 (CH2 rocking vibration at C6), 1018 cm−1 (CO at C6), 895 cm−1 (COC stretching at β-(1→4)-glycoside linkages), and 667 cm−1 (δ COH out-of-plane bending) [17]. MG shows peaks at 3435 cm−1 (OH stretching: surface hydroxyl groups and H2O), 3152 cm−1 (ν (OH): bulk hydroxyl stretching in goethite structures), 2920 cm−1 (H-OH: intramolecular frequencies), 1628 cm−1 (δ(OH): absorbed water), 1117 and 1047 cm−1 (Fe-O asymmetric stretching: goethite), 885 cm−1 (δ-OH in-plane: goethite), 795 cm−1 (δ-OH out-of-plane: goethite), 579 cm−1 (ν(Fe-O): intrinsic stretching—maghemite), and 399 cm−1 (τOH: goethite) [18]. For PSi, peaks are observed at 2964 cm−1 (C-H stretching in -CH3 groups), 2158 cm−1 (Si-H bending), 1261 and 800 cm−1 (Si-CH3), and 1091 and 1032 cm−1 (Si-O-Si) [19, 20, 21, 22]. The final composite V/MG/PSi shows peaks at 3441 cm−1 (OH stretching vibration), 2963 cm−1 (C-H stretching in -CH3 groups: PSi), 2924 cm−1 (H-OH: intramolecular frequencies—goethite), 2872 cm−1 (CH symmetrical stretching: V), 2158 cm−1 (Si-H bending: PSi), 1636 cm−1 (δ(OH): absorbed water), 1456 and 1422 cm−1 (HCH in-plane bending vibration and/or CH2 scissoring motion and/or CH2 symmetric bending at C6: V), 1261 cm−1 (Si-CH3: PSi), 1097 and 1030 cm−1 (Si-O-Si: PSi), 890 cm−1 (COC stretching at β-(1→4)-glycoside linkages: V), 804 cm−1 (δ-OH out-of-plane: goethite), and 584 cm−1 (ν(Fe-O): intrinsic stretching—maghemite).
Following the ultrasonication of the V and MG mixture, and under increased temperatures (up to 86 °C), the OH band located at 3350 cm−1 on V is moved to 3441 cm−1. The C-O-C band of viscose between 1018 and 998 cm−1 is enlarged between 1055 and 1022 cm−1. The δ-OH out-of-plane band for goethite (on MG) is moved to 804 cm−1 for V/MG/PSi. All this represents evidence for a strong interaction between MG nanoparticles and V (new hydrogen bonds). The Si-H-specific band of the PSi copolymer is significantly reduced in the spectrum of V/MG/PSi, indicating its oxidation and condensation (crosslinking) during the ultrasonication treatment. For the polysiloxane copolymer (PSi), the ratio between the heights of the peaks at 2158 cm−1 (Si-H) and 1261 cm −1 (Si-CH3) was equal to 0.41, which was higher than the corresponding value determined for the V/MG/PSi composite, i.e., 0.2 [19].
2.2. Morphology/Dimensional Characterization
SEM was used to identify the supramolecular structures of the composite V/MG/PSi and compare them to those of pure viscose (V). The SEM images of V and V/MG/PSi are shown in Figure 2.
Figure 2.
SEM images for pristine viscose (V) and the composite (V/MG/PSi).
Viscose fibers have diameters of approximately 10 microns. In the composite, agglomerations of maghemite and goethite can be observed, and the polysiloxane covers the viscose fibers like transparent armor. The submicron-sized maghemite and goethite particles were analyzed by TEM microscopy (Figure 3). Maghemite nanoparticles with approximately spherical shapes and sizes, generally less than 100 nm (some of them being less than 50 nm), surround the goethite acicular formations, with lengths of around 100 nm and diameters of approximately 10 nm.
Figure 3.
TEM images of maghemite/goethite nanoparticles.
2.3. Thermal Properties
The thermal degradation of the precursors (V, MG) and the magnetic composite (V/MG/PSi) was performed in an inert gas (He) atmosphere, with a flow rate of 40 mL/min and a heating rate of 10 °Cmin−1, in a temperature range between 30 and 680 °C. The TG, DTG, and DTA curves recorded for V, MG, and V/MG/PSi are presented in Figure 4. The mass losses and the main thermal parameters obtained by thermal degradation are presented in Table 1. In the case of maghemite/goethite, as expected, no mass losses were observed; the curve representation was created only to show its thermal stability up to a temperature of 680 °C and for comparison with the other samples.
Figure 4.
TG, DTG, and DTA curves for V, MG, and V/MG/PSi.
Table 1.
Thermogravimetric data.
The thermal degradation of viscose (V) occurs in a single degradation step that takes place through an endothermic process at 341.3 °C, and the mass losses are significant: 95.56 wt.%. In the case of the V/MG/PSi magnetic composite, thermal degradation occurs in one stage, also through an endothermic process, located at 351.3 °C, with a mass loss of 72.8 wt.%. The presence of polysiloxane on the surfaces of viscose fibers increases the thermal stability of the composite by 10 °C (from 341 to 351 °C). The thermal stability of the magnetic composite at temperatures at which mass losses of 10 and 20 wt% by weight occur (T10 = 320, T20 = 332 °C) is higher that of pure viscose (T10 = 314, T20 = 325 °C). This may be due to the presence of polysiloxane but also to the appearance of hydrogen bonds between viscose and goethite, as can be observed from the FTIR spectrum.
2.4. Magnetic Measurements
The magnetic properties of maghemite/goethite (MG) and the viscose (V/MG/PSi) composite were monitored by analyzing the hysteresis loops (magnetization curves), thermomagnetic curves (temperature dependence of magnetization) in the temperature range of 10–300 K, and magnetic permeability. Maghemite/goethite (Figure 5) exhibits a narrow hysteresis curve, typical of soft ferromagnetic materials (magnetite, maghemite). The saturation values of the magnetic moment are 60 emu g−1 at 300 K (27 °C) and 76 emu g−1 at 10 K (−263 °C). There are high magnetization values; consequently, the magnetic properties are very good [18].
Figure 5.
Magnetization curves for MG and V/MG/PSi.
The variation in the magnetization of samples at different temperatures is due to surface effects arising from crystalline symmetries and antisymmetries, the existence of defects (voids), the reduced coordination of atoms at the surface of the ferromagnetic material, or a higher degree of interactions between particles. All of these can influence the electronic spin; thus, variations in magnetization occur [18]. The composite retains the ferromagnetic aspect of the magnetization curve. The saturation values of the magnetic moment for V/MG/PSi are 22 emu g−1 at 300 K and 33 emu g−1 at 10 K.
The measured magnetic permeability of MG is 875·10−6 H/m, and that of the V/MG/PSi textile composite is 260·10−6 H/m.
The temperature dependence of magnetization, measured with the zero field cooling (ZFC) and field cooling (FC) standards, is shown in Figure 6.
Figure 6.
Thermomagnetic curves for MG and V/MG/PSi.
The ZFC and FC curves for MG show a characteristic that is specific to ferromagnetic materials. Namely, in the case of ZFC, a smooth increase in the magnetic moment is observed up to the transition temperature of 148 K, followed by a more pronounced increase after this temperature; for the FC curve, there is a slow decrease in the magnetic moment from 250 K to 10 K. The FC and ZFC curves for the composite are typical of superparamagnetic materials with a blocking temperature of 45 K (−228 °C). At values lower than this blocking temperature, the textile composite behaves like a ferromagnetic material (a slight increase in the magnetic moment with increasing temperatures), and, once the temperature exceeds 45 K, V/MG/PSi behaves like a paramagnetic material (a decrease in the magnetic moment until it is canceled). At the critical temperature (45 K), the thermal energy absorbed by the material becomes comparable to the energy of a magnetic anisotropy barrier, which allows the material to act as a ferromagnetic one [18, 20, 21]. Thus, the analyzed sample behaves like a supermagnet with a single magnetic domain. This phenomenon can occur in magnetic particles with nanometric dimensions but also in magnetic composites in which surface phenomena occur, such as the appearance of hydrogen bonds between iron oxyhydroxides and the OH groups of viscose [20]. This can positively influence the electromagnetic shielding properties, with the incident electromagnetic radiation being composed of an electric field and a magnetic field, the latter interfering with the paramagnetic field emitted by the shield.
2.5. Wettability Study
The wettability levels of pristine viscose (V) and the textile composite (V/MG/PSi) were investigated by measuring the static contact angles (CAs) of two liquids, water (w) and ethylene glycol (eg), with the prepared solid surface. The calculated average values of the contact angle measurements are presented in Table 2.
Table 2.
CAw and CAeg for V and V/MG/PSi.
In general, it can be considered that values of 90° represent a boundary between a hydrophilic nature (lower values) and a hydrophobic nature (higher values) [23]. It can be seen that viscose, prepared by pressing as a felt, is hydrophilic upon contact with water (CAw = 83.2 < 90). In ethylene glycol, a liquid with a higher density than water (1.11 g/cm3), the hydrophilic quality is even more pronounced, with the contact angle decreasing to 75.7°. The contact angle value in the case of water also correlates with those in other studies [22, 23]. In the case of the magnetic composite treated with polysiloxane, the situation changes radically. The contact angles with water (122.5°) and ethylene glycol (117.8°) indicate a superhydrophobic nature. Composite felts can be used in liquid media such as water or ethylene glycol without being penetrated by them.
2.6. Dielectric Properties
The dielectric constant (ε′) and absorption or loss permittivity (ε″) were determined at room temperature in the frequency range of 10−2–106 Hz. The dielectric constants and dielectric losses of insulating materials (like viscose) are attributed to the polarization of the electrons and molecules, with four types of polarization: electronic (the relative, limited, and elastic displacement of the atomic electron cloud relative to the nucleus), ionic polarization (a deformation polarization, like the electronic one, that is more common in ionic crystals and polymers that contain losing or terminal groups from this type of crystal or reactive groups), orientation polarization (also called relaxation polarization, which is characteristic of polar dielectrics that have a spontaneous electric moment regardless of the existence of an external electric field), and interfacial polarization (also called inhomogeneity or migration polarization, which can occur in composite materials containing precursors with very different dielectric properties) [24, 25, 26]. Moreover, the existence of defects in the crystalline structure at the composite level can cause an increase in absorption permittivity, a phenomenon that directly influences the electromagnetic absorption performance [27, 28, 29]. The variation in ε′ and ε″ as a function of the frequency for V and the composite textile (V/MG/PSi) is depicted in Figure 7.
Figure 7.
Variation in ε′ and ε″ as a function of frequency for V and V/MG/PSi.
In the case of viscose, the dielectric constant takes values from 3.8 (high frequencies) to 8.7 (low frequencies). The dielectric constant of the composite has higher values, ranging between 5.7 and 13.1, with the presence of iron oxides and polysiloxane causing an increase in electronic polarization. The absorption permittivity (dielectric losses) has a lower value than the dielectric constant in the case of viscose over the entire frequency range analyzed (ε″ varies from 1.13 at high frequencies to 2.61 at low frequencies). In the case of textile composites, the dielectric losses radically change in value: ε″ is always higher than ε′ (ε″ ranged from 9.5 to 21.8). This phenomenon may be due to interfacial polarization or inhomogeneities, which are usually found in composites [30].
2.7. Shielding Properties
The shielding effectiveness was calculated with Formula (3) for the viscose (V) and textile composite (V/MG/PSi) samples. The samples were prepared in the form of felts (by pressing) and had a thickness of 3 mm.
Regarding the shielding effectiveness (Figure 8), viscose had no shielding properties (SE V > 0 dB) over the entire frequency range analyzed. In contrast, the textile composite behaved as a shield against incident electromagnetic radiation, with shielding effectiveness that varied between −1.8 dB (at a low frequency—10−2 Hz) and −40.8 dB (at 106 Hz). At industrial frequencies (50–55 Hz), the shielding had a value of −16.9 dB, sufficient to cover power cables or electrical transformers (protection against electromagnetic interference). According to the variations in the graph, it is possible that, at frequencies higher than 106 Hz, the shielding obtained will have higher values (radio- or radar-wave shielding).
Figure 8.
The effectiveness of electromagnetic shielding depending on the frequency variation for V and the V/MG/PSi composite.
For comparison, in Table 3, we present some shielding effectiveness values obtained for textile composites cited in the literature.
Table 3.
Shielding efficiency of various textile composites.
3. Materials and Methods
3.1. Materials
Viscose fibers (V) (Lenzing AG, Salzkammergut, Austria; linear density, 1.3 dtex; fiber length, 39 mm); iron sulfate heptahydrate (FeSO4·7H2O: Sigma-Aldrich, St. Louis, MO, USA, 99% purity); sodium hydroxide pellets (Merck, Darmstadt, Germany, 99% purity); octamethylcyclotetrasiloxane, 98% purity, nD20 = 1.3982, d420 = 0.9561 (Fluka); linear oligo-hydromethylsiloxane, 1.364% H, nD20 = 1.3983, d420 = 0.9977 (L-31, Union Carbide, Texas City, TX, USA); hexamethyldisiloxane, 99.5% purity, nD20 = 1.3774, d420 = 0.7636 (Fluka); a VIONIT CS 34C acid catalyst (styrene divinylbenzene sulfonic acid copolymer; Romanian product)—an ion exchange resin based on polystyrenedivinylbenzene beads functionalized with sulfonic groups (exchange capacity = 4.2 mval g−1, porosity = 39.42%, granulation = 0.4–0.7 mm, specific surface = 35 m2 g−1); a zinc octoate catalyst (Sigma-Aldrich, 99% purity); toluene (Sigma-Aldrich, 99% purity); and Milli-Q ultrapure distilled water (our laboratory) were used without further purification.
3.2. Preparation
3.2.1. Synthesis of Maghemite/Goethite Ferromagnetic Nanoparticles (MG)
MG nanoparticles were obtained according to a previously described method (chemical precipitation process performed under ultrasound) [15]. Briefly, aqueous solutions of FeSO4 (1/2 w/w) and NaOH (1/4 w/w) were prepared in ultrapure water and mixed (1/1 w/w ratio) in a Berzelius beaker by ultrasonic irradiation (ultrasound generator at 50% of the maximum intensity) for 1 h. The energy dissipated in the ultrasonic bath was 109 kJ after 60 min of sonication. The sample was then centrifuged, washed with Milli-Q water, centrifuged again, and dried in a Trade Raypa vacuum oven for 24 h at 40 °C to obtain a dark brown powder: maghemite/goethite nanoparticles.
3.2.2. Preparation of Viscose/Maghemite/Goethite Composite (V/MG)
The V/MG composite was obtained by ultrasonicating a suspension of Vs/MG (4/1 w/w) in distilled water for 15 min (ultrasound generator at 50% of maximum intensity). During sonication, 29.3 kJ of energy was dissipated in the mixture, and, at the end of the ultrasonication period, a temperature of 86 °C was reached. The resulting V/MG fibers, of a uniform brown color, were dried in a vacuum oven at 40 °C for 24 h.
3.2.3. Preparation of Poly(methylhydro-dimethyl)siloxane Copolymers (PSi)
The poly(methylhydro-dimethyl)siloxane copolymer (PSi) was synthesized according to the methods described by Cojocaru et al. [21]. Copolymers (PHS) was synthesized using a bulk heterogenous polymerization-equilibration reaction of octamethylcyclotetrasiloxane (a), linear hydromethylsiloxane (b) and hexamethyldisiloxane (c), in the presence of styrene divinylbenzene sulfonic acid copolymer (VIONIT CS 34C) as an acidic catalyst. The reaction scheme for synthesis of the PSi copolymer (d) is shown in Scheme 1.
Scheme 1.
Synthesis of poly(methylhydro-dimethyl)siloxane copolymer.
Scheme 1.
Synthesis of poly(methylhydro-dimethyl)siloxane copolymer.

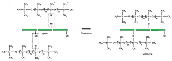
3.2.4. Preparation of Hydrophobic Composite (V/MG/PSi)
The hydrophobic Vs/MG/PSi composite was prepared by suspending 5 g of the Vs/MG composite in a 15 mL solution with a PSi concentration of 5% in toluene containing a Zn octoate catalyst (PSi/catalyst = 4/1 w/w). The reaction scheme is shown in Scheme 2. The mixture was heated at 60 °C for 24 h. Furthermore, the composite fibers were extracted from the solution and toluene was removed at 60 °C under vacuum. The 0.12 g/g content of polysiloxane attached to V/MG fibers was calculated using Equation (5):
where WPSiattached, WV/MG/PSi, and WV/MG represent the content of the polysiloxane copolymer attached to the composite fibers (g/g) and the weights (g) of the hydrophobized and pristine composite samples, respectively.
WPSiattached = (WV/MG/Psi − WV/MG)/WV/MG
Scheme 2.
Reaction scheme for V/MG/PSi synthesis.
3.3. Equipment and Method
Ultrasound experiments were performed with a Sonics Vibracell ultrasound generator (nominal electric power of 750 W, ultrasound frequency of 20 kHz, equipped with a display indicating the energy delivered to the probe tip and a temperature sensor). A vacuum oven was used to dry the samples. The centrifugation of the solutions was achieved with a Hettich Eba 21 centrifuge (4000 rot/min). The structures of the precursors and composites were investigated by FTIR spectroscopy on potassium bromide pellets using a Bruker Vertex 70 spectrometer. The surface morphologies were visualized by scanning electron microscopy (SEM) on an ESEM Quanta 200 electronic deflection microscope. Transmission electron microscopy (TEM) analysis was carried out with a Hitachi High-Tech HT7700 instrument, operated in high-resolution mode at a 100 kV accelerating voltage. The samples were prepared by drop casting from diluted dispersions of nanoparticles in ethanol onto carbon-coated copper grids with 300-mesh holey (Ted Pella) and dried in a vacuum. Magnetic measurements (magnetization, thermomagnetic curves, and relative magnetic permeability) were performed on a Quantum Design PPMSQD-9 vibrating sample magnetometer for an applied magnetic field in the range of −20–20 kOe. The temperature dependence of the magnetization was followed using standard zero field cooling (ZFC) and field cooling (FC) procedures between 10 and 300 K for the applied magnetic field of 200 Oe. Thermal degradation was followed on an STA 449F1 Jupiter thermobalance (Netzsch, Germany). Data collection was carried out with the Proteus® software, 8.10 SP0. Dielectric measurements were performed on a Concept 40 Novocontrol dielectric spectrometer at room temperature, with silver electrodes, in the frequency range of 106–10−2 Hz on cylindrical pellets (13 mm diameter, 3 mm thickness). The contact surfaces with spectrometer electrodes were covered with a silver conductive paste to avoid interfacial polarization and possible edge effects. Shielding effectiveness (SE) was calculated with Equation (3), with the textile composite being an absorber of electromagnetic radiation. The wettability of V, V/MG, and V/MG/Psi was investigated by measuring the contact angle of a drop of liquid (water and ethylene glycol) placed on the surface of the sample (prepared as a felt by pressing, as in dielectric spectrometry), using the KSV Cam 200 device from KSV Instruments, Ltd. (Helsinki, Finland). Ten measurements were performed for each liquid guide drop.
4. Conclusions
In this work, we used viscose as an organic matrix for the incorporation of ferromagnetic MG using the ultrasonication process. After this, a V/MG composite was treated with PSi and prepared in the form of a felt. The final composite, V/MG/PSi, is ferromagnetic and superhydrophobic. The shielding values (dB) for V/MG/PSi are good considering the thickness of the material—3 mm (40.8 dB for 106 Hz and 16.9 for 50–55 Hz). Due to its appearance (felt), ferromagnetic properties, and hydrophobic nature (it can take the shape of the device to be shielded, can be perfectly packaged without stitching, and can be used in wet or even liquid environments), this composite can be easily adapted to various requirements, being an efficient alternative to existing electromagnetic shielding materials. As future study perspectives, we note the following: establishing a relationship between the thickness of the composite (which would lead to an increase in shielding) and the appearance of the textile; the incorporation of ferroelectric particles (such as barium titanate), which would lead to an increase in electromagnetic shielding; or the incorporation of electrically conductive particles, which would induce the appearance of shielding by reflection.
Author Contributions
Conceptualization, R.R. and M.E.F.; methodology, E.U. and O.C.U.; software, R.R., B.M.T. and O.C.U.; validation, R.R., M.E.F. and E.U.; formal analysis, B.M.T. and O.C.U.; investigation, R.R., M.E.F. and O.C.U.; resources, E.U., B.M.T. and O.C.U.; data curation, R.R. and M.E.F.; writing—original draft preparation, R.R., M.E.F. and E.U.; writing—review and editing, R.R., M.E.F. and E.U.; visualization, R.R., M.E.F. and E.U.; supervision, R.R. and M.E.F. All authors have read and agreed to the published version of the manuscript.
Funding
This research received no external funding.
Institutional Review Board Statement
Not applicable for studies not involving humans or animals.
Informed Consent Statement
Not applicable.
Data Availability Statement
The raw data supporting the conclusions of this article will be made available by the authors on request.
Conflicts of Interest
The authors declare no conflicts of interest.
References
- Singh, S.; Kapoor, N. Health implications of electromagnetic fields, mechanisms of action, and research needs. Adv. Biol. 2014, 24, 198609. [Google Scholar] [CrossRef]
- Yakymenko, I.; Sidorik, E. Risks of Carcinogenesis from electromagnetic radiation of mobile telephony devices. Exp. Oncol. 2010, 32, 54–60. [Google Scholar]
- Mosii, P.; Jari, I.; Ursu, A.M.; Naum, A.G. The relationship between job strain and ischemic heart disease mediated by endothelial dysfunction markers and imaging. Medicina 2024, 60, 1048. [Google Scholar] [CrossRef] [PubMed]
- Zhang, Y.; Tian, W.; Liu, L.; Cheng, W.; Wang, W.; Liew, K.M.; Wang, B.; Hu, Y. Eco-friendly flame retardant and electromagnetic interference shielding cotton fabrics with multi-layered coatings. Chem. Eng. J. 2019, 372, 1077–1090. [Google Scholar] [CrossRef]
- Rotaru, R.; Peptu, C.; Harabagiu, V. Viscose-Barium Titanate Composites for electromagnetic shielding. Cell. Chem. Technol. 2016, 50, 621–628. [Google Scholar]
- Deng, S.; Xu, X.; Fan, C.; He, Q.; Wang, Y. Constructing pod-like ZnFe2O4@SiO2@C composite fibers network structure to enhance impedance matching for efficient microwave absorption. Colloids Surf. A Physicochem. Eng. Asp. 2025, 727, 138430. [Google Scholar] [CrossRef]
- Lei, Y.; He, Q.; Wang, Y.; Fan, C.; Yin, X.; Wang, C.; Liu, L. Sustainable CoFe-Doped Biomass Carbon Aerogels for Ultra-Broadband Electromagnetic Absorption and Thermal Management. ACS Sustain. Chem. Eng. 2025, 13, 16679–16693. [Google Scholar] [CrossRef]
- Saini, P.; Choudhary, V.; Singh, B.P.; Mathur, R.; Dhawan, S.K. Polyaniline–MWCNT nanocomposites for microwave absorption and EMI shielding. Mater. Chem. Phys. 2009, 113, 919. [Google Scholar] [CrossRef]
- Ott, H.W. Electromagnetic Compatibility Engineering; John Willey & Soons: Hoboken, NJ, USA, 2009. [Google Scholar]
- Perumalraj, R.; Dasaradan, B.S. Electromagnetic shielding effectiveness of copper core yarn knitted fabrics. Indian J. Fibre Text. Res. 2009, 34, 149–154. [Google Scholar]
- Ortlek, H.G.; Kılıc, G.; Okyay, G.; Bilgin, S. Electromagnetic shielding characteristics of different fabrics knitted from yarns containing stainless steel wire. Ind. Textila 2011, 62, 304–308. [Google Scholar]
- Wang, Y.; Gordon, S.; Yu, W.; Wang, Z. A highly stretchable, easily processed and robust metal wire-containing woven fabric with strain-enhanced electromagnetic shielding effectiveness. Text. Res. J. 2021, 91, 2063–2073. [Google Scholar] [CrossRef]
- Culica, M.; Biliuta, G.; Rotaru, R.; Lisa, G.; Baron, R.; Coseri, S. New Electromagnetic Shielding Materials Based On Viscose-Carbon Nanotube Composites. Polym. Engeneering Sci. 2019, 59, 1499–1506. [Google Scholar] [CrossRef]
- Lan, C.; Zou, L.; Wang, N.; Qiu, Y.; Ma, Y. Multi-reflection-enhanced electromagnetic interference shielding performance of conductive nanocomposite coatings on fabrics. J. Colloid Interface Sci. 2021, 590, 467–475. [Google Scholar] [CrossRef] [PubMed]
- Vazquez, F. Silicones: Beyond Softening in Garment Finishing. In Proceedings of the 1999 AATCC Garment Finishing Symposium, Charlotte, NC, USA, 4–5 May 1999. [Google Scholar]
- Almeida, J.; Fortuna, M.E.; Pricop, L.; Lobiuc, A.; Leite, A.; Silva, A.M.N.; Monteiro, R.P.; Rangele, M.; Harabagiu, V.; Silva, A.M.G. (Aminophenyl)porphyrins as precursors for the synthesis of porphyrin-modified siloxanes. J. Porphyr. Phthalocyanines 2019, 23, 1001–1012. [Google Scholar] [CrossRef]
- Rotaru, R.; Fortuna, M.E.; Ungureanu, E.; Ungureanu, O.; Dascalu, A.; Harabagiu, V. In Situ and Partial In Situ Synthesis of Cellulose Magnetite/Maghemite Composites. Appl. Sci. 2025, 15, 492. [Google Scholar] [CrossRef]
- Cornell, R.M.; Schwertmann, U. The Iron Oxides: Structure, Properties, Reactions, Occurrences and Uses, 2nd ed.; WILEY-VCH Verlag GmbH & Co. KGaA: Weinheim, Germany, 2003. [Google Scholar]
- Cojocaru, C.; Pricop, L.; Samoilă, P.; Rotaru, R.; Harabagiu, V. Surface hydrophobization of polyester fibers with poly(methylhydro-dimethyl)siloxane copolymers and their application as nonwoven sorbents for oil spill cleanup. Polym. Test. 2017, 59, 377–389. [Google Scholar] [CrossRef]
- Montazer, M.; Harifi, T. Magnetic nanofinishes for textiles. In Nanofinishing of Textile Materials; The Textile Institute Book Series; Woodhead Publishing: Sawston, UK, 2018; pp. 225–240. [Google Scholar]
- Kommareddi, N.S.; Tata, M.; John, V.T.; McPherson, G.L.; Herman, M.F.; Lee, Y.S.; O’Connor, C.J.; Akkara, J.A.; Kaplan, D.L. Synthesis of Superparamagnetic Polymer−Ferrite Composites Using Surfactant Microstructures. Chem. Mater. 1996, 8, 801–809. [Google Scholar] [CrossRef]
- Fortuna, M.E.; Ignat, M.; Tudorachi, N.; Ungureanu, E.; Rotaru, R.; Harabagiu, V. Hybrid siloxane materials based on a mutually reactive epoxy–amine system: Synthesis, structure, and thermal stability investigations. Inorganics 2024, 12, 118. [Google Scholar] [CrossRef]
- Kleinschek, K.S.; Ribitsch, V.; Kreže, T.; Smole, M.S.; Peršin, Z. Correlation of regenerated cellulose fibres morphology and surface free energy components. Lenzing. Berichte 2003, 82, 83–95. [Google Scholar]
- Munaro, M.; Moreno, L.; Scarpa, P.C.N.; Das-Gupta, D.K. Polarization behaviour in polymers. In Proceedings of the 1999 Annual Report Conference on Electrical Insulation and Dielectric Phenomena (Cat. No.99CH36319), Austin, TX, USA, 17–20 October 1999; Volume 1, pp. 19–22. [Google Scholar]
- Shuvayev, V.P. Ionic migrational polarization of polymers. Polym. Sci. USSR 1985, 27, 2350–2356. [Google Scholar] [CrossRef]
- Ying, S.X.; Young, J.; Lee, J. 3D Orientation imaging of polymer chains with polarization-controlled coherent Raman microscopy. J. Am. Chem. Soc. 2022, 144, 23030–23043. [Google Scholar] [CrossRef] [PubMed]
- Li, B.; Randall, C.A.; Manias, E. Polarization mechanism underlying strongly enhanced dielectric permittivity in polymer composites with conductive fillers. J. Phys. Chem. C 2022, 126, 7596–7604. [Google Scholar] [CrossRef]
- Zhou, X.; Zhang, W.; Zhao, Z.; Zhang, P.; Sun, N.; Cheng, X. The luminescence enhancement of NaLaSiO4:Tb3+ green phosphor by co-substituting Si4+-O2−/La3+-O2− with B3+-F−/Ba2+-F− for white light-emitting diodes. Ceram. Int. 2025, 51, 12831–12841. [Google Scholar] [CrossRef]
- Pintilie, L.; Boni, G.A.; Chirila, C.F.; Stancu, V.; Trupina, L.; Istrate, C.M.; Radu, C.; Pintilie, I. Homogeneous versus inhomogeneous polarization switching in PZT thin films: Impact of the structural quality and correlation to the negative capacitance effect. Nanomaterials 2021, 11, 2124. [Google Scholar] [CrossRef]
- Sarkar, K.; Das, D.; Chattopadhyay, S. Smart and Economic Conductive Textile for Electromagnetic Interference Shielding. Procedia Eng. 2017, 216, 93–100. [Google Scholar] [CrossRef]
- Kardarian, K.; Busani, T.; Osório, I.; Domingos, H.; Igreja, R.; Franco, R.; Cortez, J. Sintering of nanoscale silver coated textiles, a new approach to attain conductive fabrics for electromagnetic shielding. Mater. Chem. Phys. 2014, 147, 815–822. [Google Scholar] [CrossRef]
- Onar, N.; Akşit, A.C.; Ebeoglugil, M.F.; Birlik, I.; Celik, E.; Ozdemir, I. Structural, electrical, and electromagnetic properties of cotton fabrics coated with polyaniline and polypyrrole. J. Appl. Polym. Sci. 2009, 4, 2003–2010. [Google Scholar] [CrossRef]
- Neruda, M.; Vojtech, L. Electromagnetic Shielding Effectiveness of Woven Fabrics with High Electrical Conductivity: Complete Derivation and Verification of Analytical Model. Materials 2018, 11, 1657. [Google Scholar] [CrossRef]
Disclaimer/Publisher’s Note: The statements, opinions and data contained in all publications are solely those of the individual author(s) and contributor(s) and not of MDPI and/or the editor(s). MDPI and/or the editor(s) disclaim responsibility for any injury to people or property resulting from any ideas, methods, instructions or products referred to in the content. |
© 2025 by the authors. Licensee MDPI, Basel, Switzerland. This article is an open access article distributed under the terms and conditions of the Creative Commons Attribution (CC BY) license (https://creativecommons.org/licenses/by/4.0/).








