Next Article in Journal
1,10-Phenanthroline and 4,5-Diazafluorene Ketones and Their Silver(I) and Platinum(II) Complexes: Syntheses and Biological Evaluation as Antiproliferative Agents
Next Article in Special Issue
Optical Absorption and Luminescence Spectra of Terbium Gallium Garnet TbGaG and Terbium Aluminum Garnet TbAlG
Previous Article in Journal
Recent Advances and Future Prospects of Lithium Recovery from Low-Grade Lithium Resources: A Review
Previous Article in Special Issue
Photoluminescence Properties of X-Ray Generated Divalent Sm in Mechanochemically Prepared Nanocrystalline CaF₂:Sm3+
 
 
Font Type:
Arial Georgia Verdana
Font Size:
Aa Aa Aa
Line Spacing:
Column Width:
Background:
Article

A Novel Fluorescent Chemosensor Based on Rhodamine Schiff Base: Synthesis, Photophysical, Computational and Bioimaging Application in Live Cells

Department of Chemistry, Morgan State University, 1700 E Cold Spring Ln, Baltimore, MD 21251, USA
*
Author to whom correspondence should be addressed.
Inorganics 2025, 13(1), 5; https://doi.org/10.3390/inorganics13010005
Submission received: 30 November 2024 / Revised: 23 December 2024 / Accepted: 24 December 2024 / Published: 27 December 2024
(This article belongs to the Special Issue Synthesis and Application of Luminescent Materials, 2nd Edition)

Abstract

A novel rhodamine-6G derivative RdN was synthesized by condensing rhodamine glyoxal and 3-hydroxy-2-naphthoic hydrazide using a microwave irradiation-assisted reaction. Colorimetric and photophysical studies have demonstrated that the molecule produced can selectively sense Pb2+ and Cu2+ ions in a solution of CH3CN/H2O (9:1, v/v). The spirolactam ring of RdN opens upon complexation with the cations, forming a highly fluorescent complex and a visible color change in the solution. The compound RdN was further studied with the help of computational methods such as the Density Functional Theory (DFT) method and time-dependent density theory (TD-DFT) calculations to study the binding interactions and properties of the molecule. DFT calculations and job plot data supported the 2:1 complex formation between RdN and Pb2+/Cu2+. The limit of detection for Pb2+ was determined to be 0.112 µM and 0.130 µM for Cu2+. The probe RdN was applied to the image of Pb2+ and Cu2+ ions in living cells and is safe for biomedical applications. It is used to monitor Pb2+ in environmental water samples.

1. Introduction

Due to the importance and toxicity of heavy metal to living organisms, there is a great demand for developing sensors for sensing and quantifying heavy metal ions in biological and environmental samples [1]. Lead is considered a hazardous metal ion; even deficient concentrations of Pb2+ exposure is irreversible and can cause a long-lasting danger to human health [2,3,4,5]. The U.S. Environmental Protection Agency sets the maximum contamination level for lead in drinking water at 15 µgL−1 [6]. Conversely, copper is an essential element in humans and is available at low levels in various tissues and cells, with higher amounts in the liver [7]. Excess copper ions in the cytoplasm can cause Alzheimer’s [7] and Parkinson’s disease [8]. Therefore, simple and cost-effective lead and copper ion detection methods in environmental and biological samples are essential. Fluorescent sensing is preferable to other methods because of its sensitivity and simplicity [8]. Several probes for Pb2+ [1,2,3,4,5] and Cu2+ [7,8,9,10] ions were investigated; however, problems and challenges exist. Most limitations include target ions’ selectivity, sensitivity, water solubility, and tedious synthetic procedures.
The rhodamine framework is ideal for building fluorescent probes due to its fluorescence on/off mechanism, which controls the interconversion between the non-fluorescent spirolactam and the ring-opened fluorescent tautomer. This structural change has been widely applicable for many years and used as a recognition mode to construct colorimetric and fluorescent probes [11,12,13,14,15,16]. Fluorescence turn-on probes for Pb2+ based on rhodamine derivatives in living cells are still a very active and significant challenge now and in the future. Many investigators are still searching for simple, more stable, convenient, and effective rhodamine derivatives.
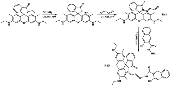
Considering these, this paper synthesized a 3-hydroxy-2-naphthoic hydrazide-modified rhodamine 6G derivative, RdN. It is a highly Pb2+ and Cu2+ selective and sensitive colorimetric and fluorescent probe in aqueous solution and living cells. The synthesis route of the proposed compound RdN is shown in Scheme 1.

2. Results and Discussion

2.1. Photophysical Studies

The detection ability of RdN was investigated by UV/Vis absorption and fluorescence spectroscopy. The optical properties of RdN towards different cations were examined in the absence and presence of various metal ions such as Na+, K+, Mg2+, Ca2+, Fe3+, Ni2+, Cu2+, Cd2+, Pb2+, Al3+, Cr3+, and Zn2+ in CH3CN/H2O solution (9/1 v/v, Tris-HCl buffer, pH = 7.2). The metal ion detection studies showed that RdN is very sensitive and selective towards Pb2+ and interference from Cu2+. As shown in Figure 1a, the rhodamine-based sensor demonstrates a characteristic peak of the spirolactam ring-opened amide form at 530 nm with a shoulder at 490 nm. The new absorption band increases gradually and is saturated at two equivalents of Pb2+ ions, as shown in Figure 1b. The probe RdN exhibited distinguishable naked-eye sensing properties toward Pb2+ and Cu2+. The optical photographs under 350 UV light indicated a noticeable fluorescence emission change, as shown in Figure 2.
The fluorescence changes of RdN were investigated in the same CH3CN/H2O solution upon adding various metal ions. As shown in Figure 3a, the sensor RdN alone is non-fluorescent when excited at 490 nm. The study revealed that the interaction of Pb2+ and Cu2+ induced a significant fluorescent enhancement at 560 nm. The change in fluorescence intensity is attributed to the ring-opened spirolactam amide form of RdN that binds with the ions. The fluorescence titration of RdN was carried out with the subsequent addition of Pb2+, and a steady increase in emission intensity was observed at 560 nm, as illustrated in Figure 3b. The unique selectivity of RdN to Pb2+ may be due to the combination of the size effect and the Hard-Soft principle [12]. Based on the 3δ/S (δ: standard deviation; S: slope) formula, the detection limits of RdN for Pb2+ and Cu2+ were determined to be 0.112 µM and 0.130 µM, respectively, from the titration plot of the absorbance. The standard deviation was determined by measuring the blank solution 10 times (n = 10). These results signified that RdN could operate as a “turn-on” type fluorescent sensor for both metal ions. The results are compared with reported literature in Table 1. The effect of pH on the fluorescence of RdN was investigated in a pH range of 3 to 11. For free RdN at pH < 5, as shown in Figure 4a, the open ring of spirolactam became protonated, which caused an evident change in color and an increase in fluorescence intensity. Therefore, all measurements were performed in a buffer solution with a pH of 7 to maintain the sensor in ring-closed form. The addition of various anions (CH3COO, N3, HSO4, CN, S−2, ClO3, NO2, CO32−, F, Cl, and Br) to the RdN-Pb2+ (1:1) solution, of which cyanide (CN) alone quenches the fluorescence intensity. The results strongly support the idea that RdN-Pb2+ binds CN ions with high selectivity, and the process demonstrates reversibility of the sensor, as shown in Figure 4b. The proposed binding mechanism of the sensor with Pb2+ with and without CN is shown in Scheme 2.
The fluorescence lifetime of the sensor RdN with Pb2+ was examined to confirm the sensor’s photophysical properties. The binding of Pb2+ in the sensor RdN had a significant impact on the lifetime of the rhodamine derivative. The experiment showed second exponential characteristics in the free RdN and RdN-Pb2+ complexes. As shown in Figure S1, the RdN-Pb2+ complex had the highest longevity compared to the free rhodamine derivative RdN. Lead (II) ions influence a rhodamine-based molecule’s time in the ground and excited states before emitting a photon.

2.2. Sensing Mechanism

The sensor RdN solution transitioned from colorless to yellow and pink interaction with Pb2+ and Cu2+. This phenomenon is due to the characteristic spirocyclic opening of the rhodamine 6G derivative, which results in the coordination of Pb2+ and Cu2+ ions. We conducted an analysis using a jobs plot through absorbance measurements to ascertain the binding mode between sensor RdN and Pb2+, as well as Cu2+. The highest absorbance at 530 nm was recorded when the mole fraction of Pb2+ and Cu2+ was close to 0.3, as shown in Figure 5a,b. The results suggest that Pb2+ and Cu2+ bind to RdN in a 1:2 stoichiometry. FTIR analysis further confirmed the sensor’s complex formation with Pb2+ and Cu2+. In a sensor, the imine bond, -C=N-, stretching frequency, and C=O starching frequency appeared at 1640 cm−1 and 1725 cm−1, respectively. After interacting with Pb2+ and Cu2+ions to the receptor RdN, these peaks diminished due to the metal ions’ direct binding to the carbonyl oxygen of the rhodamine group and imine bond nitrogen, as shown in Figure 6. The theoretical studies of the sensor and metal ion binding also confirm the coordination of Pb2+ and Cu2+ to the receptor.

2.3. Environmental Analysis

Environmental samples, such as lake, river, pond, and municipal tap water, were used to assess the applicability of RdN for determining Pb2+. River and tap water were collected from the Morgan State University campus, and pond and lake water were collected from Hillcrest Park Pond and Lake Roland. The samples were filtered and spiked with a standard solution of Pb2+ at concentrations of 3 µM and 6 µM to be analyzed by UV/Vis’s spectroscopy. The quantified concentrations for the tap water were 2.991 µM and 5.985 µM; river water 2.986 µM and 6.021 µM; lake water 3.021 µM and 5.986 µM; and pond water samples 2.987 µM and 5.988 µM. The percentage of spiked Pb2+ recovered from the water sample ranged from 99.5% to 100.7%, with a relative standard deviation (RSD) of less than 1.00%, as indicated in Table 2. These remarkable recoveries and RSD demonstrate the successful detection of the spiked Pb2+ ions by the sensor RdN. The results confirm the sensor RdN’s capability in determining Pb2+ in environmental water samples.

2.4. Time-Dependent Density Functional Theory (TD-DFT) Investigation

To understand better the coordination geometry of the interaction of the sensor with Pb+2, forming bis-(RdN)2Pb+2 complex, and said sensor with Cu+2, forming bis-(RdN)2Cu+2 complex, Density-Functional Theory (DFT) method and time-dependent density functional theory (TD-DFT) calculations were performed on these species in the gas phase and both simulated water and acetonitrile media using a conductor-like polarizable continuum model (CPCM). Spartan ’20 and ’24 software packages provided Cartesian coordinates to obtain Gaussian 09W and Gauss View 06 optimized structures for the above species. For both Spartan and Gaussian calculations, the same level of theory, B3LYP functional and basis set LanL2DZ, was employed. Vertical electronic absorptions and emission data obtained from this investigation provided excellent theoretical insight and support for the empirical results of the interactions of both Pb+2 and Cu+2 with sensor RdN.
Sensor RdN can exist as two distinct equilibrium conformers, RdN I and RdN II (Scheme 3). Frequency calculations and free energy determination of both were carried out in all three media above to determine which equilibrium conformer is of minimum energy. Conformer RdN II was found to be the more stable of the two in all three media, owing to the presence of a stabilizing intramolecular hydrogen bond between the amide oxygen and the ortho-hydroxy hydrogen in the 3-hydroxy-2-naphthoic acid moiety. In RdN I, these two groups with anti-orientation are too far apart to interact and thus cannot form a stabilizing intramolecular hydrogen bond. Calculated Gaussian Standard Energies of Formation (E) for the two conformers revealed RdN II, in the gas phase, to be more stable than RdN I by 27.09 kJ/mol; in simulated water, RdN II by 6.11 kJ/mol; and in simulated acetonitrile RdN II by 4.01 kJ/mol, corresponding to equilibrium concentrations for RdN II of 100%, 92% and 84%, in these three media, respectfully.
In the gas phase, the frontier molecular orbital energy gap (∆E) for RdN II is 2.93 eV (HOMO = −5.32 eV and LUMO = −2.39 eV). HOMO of RdN II is found along the ethereal anthracene moiety of rhodamine glyoxal, while LUMO includes the 3-hydroxy-2-naphthoic acid amide, two conjugated imino groups, and the aromatic spirolactam ring moieties. Upon formation of bis- (RdN II)2Pb+2 complex from 2RdN II and Pb+2 in this same medium, the frontier molecular orbital energy gap decreased from 2.93 eV for RdN II to 2.11 eV for said complex (HOMO = −9.05 eV and LUMO = −6.94 eV). The HOMO of said complex is located over one of the two xanthene moieties, including most of both attached diethyl amino groups. LUMO is centered about Pb+2 in the five-membered heterocyclic ring, which extends to one of the naphthoic acid hydrazide moieties, as shown in Figure 7.
In simulated water, the energy gap (∆E) for RdN II is 2.71 eV (HOMO = −5.39 eV and LUMO = −2.68 eV), and both the locations of HOMO and LUMO are unchanged from those observed in vacuum. The corresponding LUMO-HOMO energy gap (∆E) for bis-(RdN II)2Pb+2 complex in simulated water is 2.35 eV, a decrease of 0.36 eV in energy from the sensor to complex (HOMO = −5.91 eV and LUMO = −3.56 eV). Both HOMO and LUMO of bis-(RdN II)2 Pb+2 complex in simulated water mirror those in the gas phase. In simulated acetonitrile, the frontier energy gap (∆E) for RdN II is 2.72 eV (HOMO = −5.39 eV and LUMO = −2.67 eV), roughly the same frontier energy gap as in simulated water (∆E = 2.71 eV). Both HOMO and LUMO of RdN II in simulated acetonitrile mirror the energy distribution of their counterparts in simulated water. Upon formation of bis-(RdN II)2Pb+2 complex from 2 RdN II and Pb+2 in CH3CN, the energy gap (∆E) decreased by 0.36 eV, from 2.72 eV for sensor to 2.36 eV for complex (HOMO = 5.97 eV and LUMO = 3.62 eV). Also, both HOMO and LUMO of bis-(RdN II)2 Pb+2 complex in simulated CH3CN mirror those observed in both the gas phase and simulated water, as shown in Figure 8.
On formation of bis-(RdN II)2Cu+2 complex from 2RdN II and Cu+2 in the gas phase, the frontier energy gap (∆E) decreased from −2.93 eV for said sensor (HOMO = −5.32 eV and LUMO = −6.32 eV) to −2.39 eV for said complex (HOMO = −8.71 eV and LUMO = −6.32 eV). HOMO of bis-(RdN II)2Cu+2 is located exclusively about the naphthalene ring of one of the two 3-hydroxy-2-naphthoic acid hydrazide moieties. LUMO is found along one of the rhodamines glyoxal moieties and does not include the attached ethyl groups of the two amino groups, as shown in Figure 9. On formation of bis-(RdN II)2Cu+2 complex from 2RdN II and Cu+2 in the simulated water, the frontier energy gap (∆E) decreased from 2.71 eV for said sensor (HOMO = −2.68 eV and LUMO = −5.39 eV as presented earlier) to 2.64 eV for bis-(RdN II)2Cu+2 complex (HOMO = −5.88 eV and LUMO = −3.24 eV). HOMO of bis-(RdN II)2Cu+2 is found exclusively along one of the two rhodamine glyoxal moieties. Still, it does not include the ring oxygen, while LUMO includes the spirocyclic rings and extends outward into the two hydrazide moieties but does not include Cu+2. In simulated acetonitrile, the energy gap dropped from 2.72 eV for said sensor to 2.69 eV for complex (HOMO = −5.90 eV and LUMO = −3.21 eV); Both HOMO and LUMO of bis-(RdN II)2 Cu+2 complex observed in simulated CH3CN mirror the exact positions of the frontier molecular orbitals found in simulated water, as shown in Figure 10.

2.5. Cytotoxicity Assay

The cytotoxicity of sensor RdN in living cells was evaluated using Methyl Thiazolyl Tetrazolium (MTT) assay [28]. CAD cells were seeded in triplicate in 96-well culture clusters with a density of 100 µL per well at 5.0 × 104 cells/mL and incubated under the required conditions. A concentration gradient ranging from 125 to 4000 µg/L was used to prepare RdN (10 mM in DMSO) solutions, which were then washed with phosphate-buffered saline. The cells were incubated for 4 h with 5.0 mg/mL MTT solution. Subsequently, 100 µL of detergent solution was introduced into each well to dissolve the crystals formed, followed by measuring the absorbance at 570 nm. The cytotoxicity of RdN in CAD cells after 24 h was measured and presented in Figure 11. In the experiment, the toxicity of RdN in CAD cells was shown to be less than 15% at a dosage of 1000 µg/L. This concentration is significantly greater than the threshold of µmol/L Pb2+, which is considered harmful in biological systems [28]. Therefore, the results indicate that incubating CAD cells with RdN for 24 h has minimal harm.

2.6. Cellular Imaging

The fluorescence imaging analysis is conducted in CAD cells to examine the potential use of compound RdN in biological samples. After the cells were seeded on eight well-covered glass chamber slides (ibid USA, Inc. Fitchburg, Wisconsin), they were allowed to adhere overnight before being imaged. The CAD cells were washed with buffer solution and then incubated with RdN-containing medium at a concentration of 10 µM for 30 min at 37 °C. Then, they were supplemented with Pb2+ at a concentration of 10 µM for an additional 30 min. After being washed with PBS buffer, the intracellular region emits a significant fluorescence, as illustrated in Figure 12, and Figure 13 shows the same phenomenon for Cu2+. These results indicate that the probe RdN penetrates the cell membrane and can be used for in vivo imaging of Pb2+ and Cu2+ in living cells.

3. Experimental Section

3.1. Materials and Instrumentation

All solvents and reagents were received from Sigma–Aldrich (St. Louis, MO, USA), including 3-hydroxy-2-naphthoic hydrazide, rhodamine 6 g, glyoxal, methanol, and acetonitrile, and used without further purification. The salt solutions prepared nitrate [Al(NO3)3, Cr(NO3)3, Zn(NO3)2, Ni(NO3)2, NaNO3, Mg(NO3)2, Pb(NO3)2, Cd(NO3)2, KNO3] or chlorides [CuCl2, FeCl3, CaCl2], and tetrabutylammonium anion salts. The stock solution salt cations (1 × 10−3 M), anions (1 × 10−4 M), and compound RdN (1 × 10−3 M) were prepared in CH3CN/H2O. The target compounds were synthesized in a CEM microwave reactor (CEM Corporation, Mathews, NC, USA). 1H-NMR and 13C-NMR spectra were recorded using a Bruker 400 MHz spectrometer (Billerica, MA, USA). DMSO-d6 and TMS were used as solvents and internal standards for NMR spectra analysis. A Bruker 12 T Solaris FT-ICR-MS (Billerica, MA, USA) was used to record high-resolution mass spectrometry (HR-MS). The fluorescence and absorption spectra were recorded using a Cary Eclipse fluorescence spectrophotometer and an Agilent Cary 60 UV/Vis spectrometer (Greenwood Pl, Savage, MD, USA).

3.2. Cytotoxicity and Bioimaging in CAD Cells

Cath-a-differentiated (CAD) cells were used in cytotoxicity and bioimaging studies. CAD cells are derived from the mouse brain stem and can be differentiated into a neuronal phenotype. They were provided by Dr. James Wang, Cogent Neuroscience Inc., and they have been described in the literature [29]. Dulbecco’s Modified Eagles Medium (DMEM), 10% fetal bovine serum (FBS), streptomycin medium, and 1% penicillin G were used for cell culture [29,30]. Cell cultures are maintained at 37 °C in a humidified atmosphere containing 5.0% CO2 [29]. A Leica STELLARIS 5 confocal microscope (Deerfield, Illinois, USA) and BioTek Synergy H1 plate reader were used for fluorescence imaging and optical density studies of cytotoxicity [31].

3.3. Microwave-Assisted Synthesis of RdN

The rhodamine-based derivative is synthesized according to the literature [11]. A synthetic step for compound RdN is depicted in Scheme 1. Rhodamine Rd1 (100 mg, 0.219 mmol), 3-hydroxy-2-naphthoic hydrazide (46 mg, 0.219 mmol), and 2 mL methanol were mixed in a 10 mL reaction vial and placed in the cavity of a CEM microwave reactor. The reaction mixture was run under pressure and irradiated at 100 °C for 30 min. Then, the resulting solid was filtered and washed three times with cold ethanol. The product, the yellow powder, was isolated to give an 87% yield. 1H-NMR (DMSO-d6), δ (ppm): 11. 87 (1H, s), 10.95 (1H, s), 8.26 (1H, s, J = 7.5 Hz, N=C-H); 7.85 (4H, m), 7.72 (1H, J = 7.5 Hz, d), 7.53 (3H, m), 7.49 (1H, 7.5 Hz, t), 7.26 (1H, s, J = 7.5 Hz, H-Ar), 6.99 (1H, d, H-Ar), 6.36 (2H, s), 6.19 (2H, s), 5.14 (3H, m), 3.40 (4H, q, NCH2CH3), 1.86 (6H, s, -CH3), 1.19 (6H, t, NCH2CH3). 13C-NMR (DMSO-d6), δ (ppm): 192.76, 164.23, 153.21, 151.52, 148.77, 147.68, 134.30, 133.52, 130.44, 129.25, 127.90, 126.60, 124.23, 123.57, 108.31, 106.36, 97.99, 66.32, 44.08, 12.84. HRMS (MALDI): m/z Calculated for C40H37N5O4:653.2870; Found: 653.2887.

3.4. Computational Studies

The molecule’s ground-state geometries were optimized at the density functional theory (DFT) level using a hybrid B3LYP level of theory, a LanL2DZ basis set in the gas phase, water media, and simulated CH3CN using a conductor-like polarizable continuum model (CPCM). All computations were carried out using Spartan ’20 and ’24 software packages.

4. Conclusions

A colorimetric and fluorescent rhodamine-based sensor was developed to detect Pb2+ and Cu2+ ions in aqueous solution. Within the CH3CN/H2O (9:1, v/v) tris-HCl buffer solution, it was noticed that the sensor exhibited a greater degree of selectivity towards Pb2+ and Cu2+ regardless of other metal ions. The opening of the spirolactam ring, which occurs because of Pb2+ and Cu2+ ions, is the most crucial factor in sensing both ions. According to Job’s plot analysis, the stoichiometry of Pb2+ and Cu2+ binding to sensor RdN was proposed to be 1:2. The detection limit of Pb2+ and Cu2+ ions was calculated to be 0.112 µM and 0.130 µM µM, respectively. According to cytotoxicity and confocal fluorescence imaging, the probe RdN can detect Pb2+ and Cu2+ in living cells. Moreover, computational studies provided computational insights with respect to the properties of RdN, bis-(RdN)2Pb2+, and bis-(RdN)2Cu2+.

Supplementary Materials

The following supporting information can be downloaded at https://www.mdpi.com/article/10.3390/inorganics13010005/s1, Figure S1; Fluorescence lifetime measurements of RdN and Pb2+ complex; Figure S2: HRMS spectra of compound R1 (MALDI positive mode); Figure S3: Proton NMR spectra of compound RdN (DMSO-d6, 400 MHz); Figure S4: 13C- NMR spectra of compound RdN (DMSO-d6, 400 MHz); Figure S5: HRMS spectra of compound RdN (MALDI positive mode).

Author Contributions

Conceptualization, F.A.; Methodology, F.A., R.S., S.U., I.A. and J.W.; Investigation, O.A., R.S., S.U. and I.A.; Resources, F.A. and J.W.; Writing—original draft, F.A.; Supervision, F.A.; Project administration, F.A.; Funding acquisition, F.A. All authors have read and agreed to the published version of the manuscript.

Funding

This research was supported by the National Science Foundation’s Division of Chemistry under grant [2100629].

Data Availability Statement

The data presented in this study are available on request from the corresponding author.

Acknowledgments

The authors acknowledge Morgan State University’s Molecular and Cellular Biology core lab for providing instruments.

Conflicts of Interest

The authors declare no conflicts of interest.

References

  1. Hijji, Y.; Rajan, R.; Shraim, A. 3-Aminopyridine salicylidene: A sensitive and selective chemosensor for the detection of Cu (II), Al(III), and Fe(III) with application to real samples. Int. J. Mol. Sci. 2022, 23, 13113. [Google Scholar] [CrossRef] [PubMed]
  2. Su, W.; Yuan, S.; Wang, E. A Rhodamine-based fluorescent chemosensor for the detection of Pb2+, Hg2+, and Cd2+. J. Fluoresc. 2017, 27, 1871–1875. [Google Scholar] [CrossRef] [PubMed]
  3. Xie, X.; Pan, M.; Hong, L.; Liu, K.; Yang, J.; Wang, S.; Wang, S. An “Off–On” Rhodamine 6G hydrazide-based output platform for fluorescence and visual dual-mode detection of lead (II). J. Agric. Food Chem. 2021, 69, 7209–7217. [Google Scholar] [CrossRef] [PubMed]
  4. Kwon, J.; Jang, Y.; Lee, Y.; Kim, K.; Seo, M.; Nam, W.; Yoon, J. A highly selective fluorescent chemosensor for Pb2+. J. Am. Chem. Soc. 2005, 127, 10107–10111. [Google Scholar] [CrossRef]
  5. Gao, T.; Lee, K.; Yang, S. Synthesis and characterization of rhodamine based Pb2+ selective fluorescence sensor. Toxicol. Environ. Health Sci. 2009, 1, 159–162. [Google Scholar] [CrossRef]
  6. Wu, F.Y.; Zhang, H.; Xiao, M.; Han, B.X. A dual colorimetric and fluorescent sensor for lead ion based on naphthalene hydrazone derivative. Spectrochim. Acta Part A Mol. Biomol. Spectrosc. 2013, 109, 221–225. [Google Scholar] [CrossRef] [PubMed]
  7. Silpcharu, K.; Soonthonhut, S.; Sukwattanasinitt, M.; Rashatasakhon, P. Fluorescent sensor for copper and cyanide ions via the complexation-decomplexation mechanism with di(bissulfonamido)sprobifluorene. ACS Omega 2021, 6, 16696–16703. [Google Scholar] [CrossRef] [PubMed]
  8. Guo, T.; Tian, R.; Qu, W.; Yang, B.; Geng, Z.; Wang, Z. A near-infrared turn-on fluorescent sensor for the determination of copper in mitochondria. Dye. Pigment. 2022, 205, 110483. [Google Scholar] [CrossRef]
  9. Yu, H.; Lee, Y.J.; Angupillai, S.; Wang, S.; Feng, S.; Matsumoto, S.; Son, Y.A. A new dual fluorogenic and chromogenic “turn-on” chemosensor for Cu2+/F- ions. Spectrochim. Acta Part A Mol. Biomol. Spectrosc. 2015, 151, 48–55. [Google Scholar] [CrossRef] [PubMed]
  10. Mohanasundaram, D.; Bhaskar, R.; Sankarganesh, M.; Nehru, K.; Kumar, G.; Rajesh, J. A simple pyridine based fluorescent chemosensor for selective detection of copper ion. Spectrochim. Acta Part A Mol. Biomol. Spectrosc. 2022, 265, 120395. [Google Scholar] [CrossRef] [PubMed]
  11. Aduroja, O.; Abiye, I.; Fathima, A.; Tadesse, S.; Ozturk, B.; Wachira, J.; Abebe, F. Microwave-assisted synthesis for a highly selective rhodamine 6G-derived fluorescent sensor and bioimaging. Inorg. Chem. Commun. 2023, 147, 110236. [Google Scholar] [CrossRef] [PubMed]
  12. Aduroja, O.; Shaw, R.; Abebe, F. A bis(rhodamine 6G)-based fluorescent sensor for Hg2+: Microwave-assisted synthesis, photophysical properties, and computational studies. Res. Chem. Intermed. 2022, 48, 1847–1861. [Google Scholar] [CrossRef]
  13. Li, L.Q.; Meng, L.P. Novel rhodamine derivative as high selective detection lead sensor. Spectrochim. Acta A Mol. Biomol. Spectrosc 2014, 122, 772–775. [Google Scholar] [CrossRef]
  14. Liu, T.; Wan, X.; Yao, Y. Dual sensitive and selective sensor for Pb2+ and Al3+ with distinctive fluorescence response. Sens. Actuators B 2018, 254, 1094–1100. [Google Scholar] [CrossRef]
  15. Wan, J.; Zhang, K.; Li, C.; Niu, S. A novel fluorescent chemosensor based on a rhodamine 6G derivative for the detection of Pb2+ ion. Sens. Actuators B 2017, 246, 696–702. [Google Scholar] [CrossRef]
  16. Abebe, F.; Sutton, T.; Perkins, P.; Shaw, R. Two colorimetric fluorescent turn-on chemosensors for detection of Al3+ and N3-: Synthesis, photophysical, and computational studies. Luminescence 2018, 33, 1194–1207. [Google Scholar] [CrossRef] [PubMed]
  17. Iniya, M.; Vidya, B.; Anand, T.; Sivaraman, G.; Jeyanthi, D.; Krishnaveni, K.; Chellappa, D. Microwave-assisted synthesis of imidazquinazoline for chemosensing of Pb2+ and Fe3+ and living cell application. ChemistrySelect 2018, 3, 1282–1288. [Google Scholar] [CrossRef]
  18. Meng, X.; Cao, D.; Hu, Z.; Han, X.; Li, Z.; Ma, W. A highly sensitive and selective chemosensor for Pb2+ based on quinolone-coumarin. RSC Adv. 2018, 8, 33947–33951. [Google Scholar] [CrossRef] [PubMed]
  19. Prabhu, J.; Velmurugan, K.; Nandhakumar, R. Development of fluorescent lead II sensor based on an anthracene derived chalcone. Spectrochim. Acta A Mol. Biomol. Spectrosc. 2015, 144, 23–28. [Google Scholar] [CrossRef] [PubMed]
  20. Li, C.Y.; Zhou, Y.; Li, Y.F.; Kong, X.F.; Xou, C.X.; Weng, C. Colorimetric and fluorescent chemosensor for citrate based on a rhodamine and Pb2+ complex in aqueous solution. Anal. Chim. Acta 2013, 774, 79–84. [Google Scholar] [CrossRef]
  21. Karak, D.; Banerjee, A.; Lohar, S.; Sahana, A.; Mukhopadhyay, S.; Adhikari, S.; Das, D. Xanthone based Pb2+ selective turn-on fluorescent probe for living cell staining. Anal. Methods 2013, 169, 169–172. [Google Scholar] [CrossRef]
  22. Zhu, J.; Yeo, J.; Bowyer, A.; Proschogo, N.; New, E.J. Studies of the labile lead pool using a rhodamine-based fluorescent probe. Metallomics 2020, 12, 644–648. [Google Scholar] [CrossRef]
  23. Fu, Z.H.; Yan, L.B.; Zhang, X.; Zhu, F.F.; Han, X.L.; Fang, J.; Wang, Y.W.; Peng, Y. A fluorescein-based chemosensor for relay fluorescence recognition of Cu(ii) ions and biothiols in water and its applications to a molecular logic gate and living cell imaging. Org. Biomol. Chem. 2017, 15, 4115–4121. [Google Scholar] [CrossRef] [PubMed]
  24. Zavalishin, M.; Gamov, G.; Kiselev, A.; Nikitin, G. A fluorescein conjugates as colorimetric and red-emissive fluorescence chemosensor for selective recognition Cu2+ ions. Opt. Mater. 2024, 153, 115580. [Google Scholar] [CrossRef]
  25. Mahajan, P.; Dige, N.; Vanjare, B.; Eo, S.; Kim, S.; Lee, K. A nano sensor for sensitive and selective detection of Cu2+ based on fluorescein: Cell imaging and drinking water analysis. Spectrochim. Acta A Mol. Biomol. Spectrosc. 2019, 216, 105–116. [Google Scholar] [CrossRef] [PubMed]
  26. Wang, Y.; Chang, H.Q.; Wu, W.N.; Peng, W.B.; Yan, Y.F.; He, C.M.; Chen, T.; Zhao, X.L.; Xu, Z. Rhodamine 6G hydrazone bearing pyrrole unit: Ratiometric and selective fluorescent sensor for Cu2+ based on two different approaches. Sens. Actuators 2016, 228, 395–400. [Google Scholar] [CrossRef]
  27. Abebe, F.; Perkins, P.; Shaw, R.; Tadesse, S. A rhodamine-based fluorescent sensor for selective detection of Cu2+ in aqueous media: Synthesis and spectroscopic properties. J. Mol. Struct. 2020, 1205, 127594. [Google Scholar] [CrossRef]
  28. Cho, H.; Chae, J.B.; Kim, C. A thiophene-based blue-fluorescent emitting chemosensor for detecting indium (III) ion. Inorg. Chem. Commun. 2018, 97, 171–175. [Google Scholar] [CrossRef]
  29. Qi, Y.; Wang, J.; McMillian, M.; Chikaraishi, D.M. Characterization of a CNS cell line, CAD, in which morphological differentiation is initiated by serum deprivation. J. Neurosci. 1997, 17, 1217. [Google Scholar] [CrossRef] [PubMed]
  30. Nyan, D.C.; Anbazhagan, R.; Hughes-Darden, C.A.; Wachira, J. Endosomal Colocalization of Melanocortin-3 Receptor and Beta-Arrestins in CAD Cells with Altered Modification of AKT/PKB. Neuropeptides 2008, 42, 355–366. [Google Scholar] [CrossRef]
  31. He, H.; Cheng, Z.; Zheng, L.; Zhang, X. Evaluation of Fluorescent Pb2+ Probes: Instant Sensing, Cell Permeable Recognition and Quantitative Detection. Molecules 2021, 26, 512. [Google Scholar] [CrossRef] [PubMed]
Scheme 1. Microwave irradiation-assisted synthesis of RdN.
Scheme 1. Microwave irradiation-assisted synthesis of RdN.
Inorganics 13 00005 sch001
Figure 1. (a) UV-Vis absorption spectra of RdN (10 µM) with various cations. (b) UV-Vis absorption titration of RdN (10 µM) with Pb2+ (0–20 µM) in acetonitrile-water (9:1 v/v) buffer solution.
Figure 1. (a) UV-Vis absorption spectra of RdN (10 µM) with various cations. (b) UV-Vis absorption titration of RdN (10 µM) with Pb2+ (0–20 µM) in acetonitrile-water (9:1 v/v) buffer solution.
Inorganics 13 00005 g001
Figure 2. The visual color of sensor RdN (a) and the fluorescence under UV illumination after adding various metal ions (b).
Figure 2. The visual color of sensor RdN (a) and the fluorescence under UV illumination after adding various metal ions (b).
Inorganics 13 00005 g002
Figure 3. (a) Fluorescence spectra of RdN (5 µM) with cations (λexc: 490 nm). (b) Fluorescence emission titration of RdN with Pb2+ (0–15 µM) acetonitrile-water (9:1 v/v) solution.
Figure 3. (a) Fluorescence spectra of RdN (5 µM) with cations (λexc: 490 nm). (b) Fluorescence emission titration of RdN with Pb2+ (0–15 µM) acetonitrile-water (9:1 v/v) solution.
Inorganics 13 00005 g003
Figure 4. (a) Effect of pH on fluorescence intensity of sensor RdN (10 µM) (b) Fluorescence spectra of RdN-Pb2+ complex (1:1) in the presence of various anions (Cl, Br, F, CH3COO, HSO4, CN, ClO3, NO2, S−2, N3, CO32−).
Figure 4. (a) Effect of pH on fluorescence intensity of sensor RdN (10 µM) (b) Fluorescence spectra of RdN-Pb2+ complex (1:1) in the presence of various anions (Cl, Br, F, CH3COO, HSO4, CN, ClO3, NO2, S−2, N3, CO32−).
Inorganics 13 00005 g004
Scheme 2. The 1:2 binding stoichiometry of lead/copper ions and reversibility of CN on RdN-cation complex.
Scheme 2. The 1:2 binding stoichiometry of lead/copper ions and reversibility of CN on RdN-cation complex.
Inorganics 13 00005 sch002
Figure 5. (a) Job’s plot analysis of RdN versus Pb2+ at a total concentration of 10 µM. (b) Job’s plot analysis of RdN versus Cu2+ at a total concentration of 10 µM.
Figure 5. (a) Job’s plot analysis of RdN versus Pb2+ at a total concentration of 10 µM. (b) Job’s plot analysis of RdN versus Cu2+ at a total concentration of 10 µM.
Inorganics 13 00005 g005
Figure 6. FTIR spectra of free RdN and in the presence of Pb2+ and Cu2+ ions.
Figure 6. FTIR spectra of free RdN and in the presence of Pb2+ and Cu2+ ions.
Inorganics 13 00005 g006
Scheme 3. Optimized Equilibrium conformers RdN I and RdN II of Sensor RdN in the gas state and both simulated water and acetonitrile.
Scheme 3. Optimized Equilibrium conformers RdN I and RdN II of Sensor RdN in the gas state and both simulated water and acetonitrile.
Inorganics 13 00005 sch003
Figure 7. Optimized Structures and Frontier Molecular Orbitals of RdN II and bis-(RdN II)2 Pb+2 complex in Gas State.
Figure 7. Optimized Structures and Frontier Molecular Orbitals of RdN II and bis-(RdN II)2 Pb+2 complex in Gas State.
Inorganics 13 00005 g007
Figure 8. Optimized Structures and Frontier Molecular Orbitals of RdN II, bis-(RdN II)2Pb+2 complex in simulated water medium, and bis-(RdN II)2 Pb+2 complex in simulated CH3CN medium.
Figure 8. Optimized Structures and Frontier Molecular Orbitals of RdN II, bis-(RdN II)2Pb+2 complex in simulated water medium, and bis-(RdN II)2 Pb+2 complex in simulated CH3CN medium.
Inorganics 13 00005 g008
Figure 9. Optimized Structures and Frontier Molecular Orbitals of bis-(RdN)2Cu+2 in the Gas State.
Figure 9. Optimized Structures and Frontier Molecular Orbitals of bis-(RdN)2Cu+2 in the Gas State.
Inorganics 13 00005 g009
Figure 10. Optimized Structures and Frontier Molecular Orbitals of RdN II, bis-(RdN II)2 Cu+2 complex in simulated water medium, and RdN II, bis-(RdN II)2 Cu+2 complex in simulated CH3CN medium.
Figure 10. Optimized Structures and Frontier Molecular Orbitals of RdN II, bis-(RdN II)2 Cu+2 complex in simulated water medium, and RdN II, bis-(RdN II)2 Cu+2 complex in simulated CH3CN medium.
Inorganics 13 00005 g010
Figure 11. The compound RdN cytotoxicity study on CAD cells in 24 h.
Figure 11. The compound RdN cytotoxicity study on CAD cells in 24 h.
Inorganics 13 00005 g011
Figure 12. Confocal laser scanning for bright field and fluorescence imaging in Cath-a-differentiated cells (a) Cath-a-differentiated cells were incubated with RdN (10 µM) for 30 min at 37 °C. (b) The bright-field image of cells is shown in panel a. (c) Fluorescent images of cells with 10 µM RdN and further incubated with Pb2+ (10 µM) for 30 min at 37 °C. (d) an overlay image of (b,c).
Figure 12. Confocal laser scanning for bright field and fluorescence imaging in Cath-a-differentiated cells (a) Cath-a-differentiated cells were incubated with RdN (10 µM) for 30 min at 37 °C. (b) The bright-field image of cells is shown in panel a. (c) Fluorescent images of cells with 10 µM RdN and further incubated with Pb2+ (10 µM) for 30 min at 37 °C. (d) an overlay image of (b,c).
Inorganics 13 00005 g012
Figure 13. Confocal laser scanning for bright field and fluorescence imaging in Cath-a-differentiated cells (a) Cath-a-differentiated cells were incubated with RdN (10 µM) for 30 min at 37 °C. (b) The bright-field image of cells is shown in panel a. (c) Fluorescent images of cells with 10 µM RdN and incubated with Cu2+ (10 µM) for 30 min at 37 °C. (d) an overlay image of (b,c).
Figure 13. Confocal laser scanning for bright field and fluorescence imaging in Cath-a-differentiated cells (a) Cath-a-differentiated cells were incubated with RdN (10 µM) for 30 min at 37 °C. (b) The bright-field image of cells is shown in panel a. (c) Fluorescent images of cells with 10 µM RdN and incubated with Cu2+ (10 µM) for 30 min at 37 °C. (d) an overlay image of (b,c).
Inorganics 13 00005 g013
Table 1. Analytical performance of the probe RdN compared to other previously published Pb2+ probes.
Table 1. Analytical performance of the probe RdN compared to other previously published Pb2+ probes.
SensorMediaReversibleLOD (µM)Detected CationRefs.
Rhodamine BCH3Cl: THFYes-Pb2+[13]
Rhodamine BEtOH:HEPES No0.86Pb2+/Al3+[14]
Rhodamine 6GHEPESNo0.0027Pb2+[15]
Rhodamine 6GC2H5OH: H2OYes0.016Pb2+/Hg2+/Cd2+[16]
ImidazoquinazolineCH3CN: H2OYes0.69Pb2+Fe3+[17]
Coumarin
Anthracene
Rhodamine B
Xanthone
Rhodamine B
Fluorescein
Fluorescein
Fluorescein
Rhodamine B
Rhodamine B
Rhodamine 6G
CH3CN: HEPES
MeOH: H2O
H2O:C2H5OH
DMSO: H2O
2% DMSO
HEPES
CH3CN/H2O
C3H6O
C2H5OH: Tris
CH3CN: H2O
CH3CN: H2O
No
Yes
Yes
No
Yes
Yes
Yes
No
No
Yes
Yes
0.50
0.94
0.01
0.18
0.112
0.017
0.64
0.024
2.94
2.11
Pb2+
Pb2+
Pb2+
Pb2+
Pb2+
Cu2+
Cu2+
Cu2+
Cu2+/Cd2+
Cu2+
Pb2+/Cu2+
[18]
[19]
[20]
[21]
[22]
[23]
[24]
[25]
[26]
[27]
This work
Table 2. Lead (Pb2+) determination in environmental water samples.
Table 2. Lead (Pb2+) determination in environmental water samples.
Water SampleSpiked (µM)Found ( x ¯ a ± SD b) (µM)Recovery (%)RSD * (%), n = 3
Tap water3.02.991 ± 0.00699.70.20
6.05.985 ± 0.00999.80.15
River water3.02.986 ± 0.00899.50.27
6.06.021 ± 0.008100.40.13
Lake water3.03.021 ± 0.004100.70.13
6.05.986 ± 0.00999.80.15
Pond water3.02.987 ± 0.07599.62.51
6.05.988 ± 0.07899.81.30
a Mean of three individual measurements. b SD: standard deviation. * RSD: relative standard deviation.
Disclaimer/Publisher’s Note: The statements, opinions and data contained in all publications are solely those of the individual author(s) and contributor(s) and not of MDPI and/or the editor(s). MDPI and/or the editor(s) disclaim responsibility for any injury to people or property resulting from any ideas, methods, instructions or products referred to in the content.

Share and Cite

MDPI and ACS Style

Aduroja, O.; Shaw, R.; Uota, S.; Abiye, I.; Wachira, J.; Abebe, F. A Novel Fluorescent Chemosensor Based on Rhodamine Schiff Base: Synthesis, Photophysical, Computational and Bioimaging Application in Live Cells. Inorganics 2025, 13, 5. https://doi.org/10.3390/inorganics13010005

AMA Style

Aduroja O, Shaw R, Uota S, Abiye I, Wachira J, Abebe F. A Novel Fluorescent Chemosensor Based on Rhodamine Schiff Base: Synthesis, Photophysical, Computational and Bioimaging Application in Live Cells. Inorganics. 2025; 13(1):5. https://doi.org/10.3390/inorganics13010005

Chicago/Turabian Style

Aduroja, Oyedoyin, Roosevelt Shaw, Sisay Uota, Isaac Abiye, James Wachira, and Fasil Abebe. 2025. "A Novel Fluorescent Chemosensor Based on Rhodamine Schiff Base: Synthesis, Photophysical, Computational and Bioimaging Application in Live Cells" Inorganics 13, no. 1: 5. https://doi.org/10.3390/inorganics13010005

APA Style

Aduroja, O., Shaw, R., Uota, S., Abiye, I., Wachira, J., & Abebe, F. (2025). A Novel Fluorescent Chemosensor Based on Rhodamine Schiff Base: Synthesis, Photophysical, Computational and Bioimaging Application in Live Cells. Inorganics, 13(1), 5. https://doi.org/10.3390/inorganics13010005

Note that from the first issue of 2016, this journal uses article numbers instead of page numbers. See further details here.

Article Metrics

Back to TopTop