Abstract
Ferrocene (Fc) has long been celebrated for its remarkable redox properties and structural versatility, making it a cornerstone of electrochemical sensor development. While extensive research has focused on cation detection using Fc-based systems, the equally critical recognition of neutral and anionic molecules remains underexplored despite their significance in biological, environmental, and industrial contexts. This review addresses this gap by exploring the latest advancements in Fc-based electrochemical sensors designed to overcome the unique challenges posed by these species—including diverse geometries, high hydration enthalpies, and the absence of formal charge. Molecular architectures such as amide-functionalised receptors, urea derivatives, Lewis acid-containing receptors, triazolium, and carboxylic acid-containing systems are examined, highlighting how these sensors achieve high selectivity and sensitivity. Furthermore, the influence of solvent environments on sensor performance is discussed, providing a critical analysis of how different receptor functionalities and solvents affect sensor behaviour. Emphasising the advantages of redox-based detection, this review aims to inspire further innovation in developing Fc-based technologies for detecting neutral and anionic species.
1. Introduction
Ferrocene (Fc), since its discovery in the early 1950s, has remained a cornerstone of electrochemical research due to its remarkable redox properties and structural versatility [1,2,3,4,5,6,7,8]. As a stable metallocene complex, Fc readily undergoes a reversible one-electron redox process between its neutral Fc and oxidised ferrocenium (Fc+) forms, making it a highly efficient and adaptable redox-active centre for sensor applications [1,9]. Recent advancements in Fc chemistry have enabled the design of diverse molecular architectures tailored for specific sensing applications. For instance, functionalisation with amide, urea, or thiourea groups enhances anion binding via hydrogen bonding interactions, while macrocyclic systems facilitate selective recognition of larger or structurally complex targets. These tailored designs exemplify how subtle structural modifications can significantly improve sensor performance, as explored in detail later in this review.
These unique characteristics have facilitated the development of various molecular recognition sensors that leverage Fc redox behaviour to detect various chemical species, including cations, anions, and neutral molecules [3,10,11]. Much of the early work on Fc-based sensors has focused on cation recognition, particularly metal ions, due to their strong interactions with the electron-rich cyclopentadienyl rings of Fc [3,11,12,13]. However, applying Fc-based sensors for anions and neutral molecules remains less explored. Detecting these species presents unique challenges—including high hydration enthalpies for anions and the absence of formal charge in neutral molecules—that demand innovative sensing mechanisms. This review addresses these challenges by exploring advanced strategies, such as dual hydrogen-bonding sites in amide-functionalised receptors (also referred to as ligands and host hereafter) and ion-pairing approaches to enhanced anion recognition.
Ferrocene-based receptors offer distinct advantages in electrochemical sensing, making them a valuable focus for this review. Their well-defined and reversible redox behaviour ensures reliable and reproducible electrochemical responses, a key requirement for effective sensor design. Additionally, Fc chemical stability allows these receptors to operate under various experimental conditions without significant degradation. Structural versatility, enabled by the ease of functionalisation of the ferrocene core, allows fine-tuning of receptor properties for specific analytes, such as fluoride (F−), chloride (Cl−), and hydrogen sulphate (HSO4−) ions. Compared to other electrochemical sensor systems, such as those based on metal complexes, carbon nanomaterials, and conducting polymers [14,15,16], Fc-based receptors uniquely combine predictable redox responses, robust performance, and adaptability. While metal complexes often demonstrate strong selectivity, they can suffer from synthetic complexity and limited operational stability [14]. Carbon nanomaterials offer high conductivity and surface area but may face challenges with functionalisation consistency [15], and conducting polymers provide design flexibility but can exhibit reduced long-term stability [16]. In contrast, ferrocene-based receptors balance these factors effectively, positioning them as highly competitive tools in ion sensing technologies. This review aims to provide a detailed overview of these systems, highlighting their strengths, recent advancements, and contributions to the field of electrochemical sensing while positioning them as essential tools for addressing current and future challenges in ion detection technologies.
Building on these advantages, electrochemical techniques like cyclic voltammetry (CV), square-wave voltammetry (SWV), and differential pulse voltammetry (DPV) are widely employed to monitor the redox behaviour of these systems. Anions and neutral molecules, significant in biological, environmental, and industrial contexts, present unique challenges for electrochemical sensing due to their diverse geometries and high hydration enthalpies [9,17]. Similarly, neutral molecules, lacking a formal charge, demand sophisticated recognition mechanisms that typically involve hydrogen bonding, π–π stacking, or specific functional groups [10].
While previous reviews have extensively covered Fc-based sensors for cation detection [3,11,12,13] and various sensing modalities such as optical, fluorescent, and colourimetric methods [17,18,19,20,21,22,23,24,25,26,27,28], there is a noticeable gap in the literature focusing exclusively on electrochemical sensors for anions and neutral molecules. To the best of our knowledge, no comprehensive review has specifically addressed the latest development and application of Fc-based redox/electrochemical sensors for these challenging analytes. This review aims to fill that gap by concentrating solely on electrochemical sensing mechanisms and strategies tailored for anions and neutral molecules.
We have organised the review into sections that discuss various receptor types, including amides, amines, urea and its derivatives, Lewis acid-containing receptors, triazolium, and carboxylic acid-containing receptors for anions. Additionally, we present examples of Fc-based sensors designed for neutral molecule detection. For each sensor type, we report critical parameters such as solvent and supporting electrolyte used, potential shifts, and possible interferences or competing anions. Finally, we provide a critical discussion on how different functionalities and solvents affect the observed behaviour of the sensors, offering insights into future design strategies. In the concluding section, we outline the current research gaps, emerging trends, and opportunities for innovation in Fc-based electrochemical sensing, providing a roadmap for advancing these technologies to address challenges in complex matrices and real-world applications. Through this focused examination, we aim to highlight the potential of Fc-based electrochemical sensors to address the challenges of detecting anions and neutral molecules and inspire further research into developing advanced sensing technologies based on Fc. Furthermore, we emphasise the unique advantages of Fc-based receptors, including their predictable redox behaviour, chemical stability, and structural versatility, positioning them as highly competitive tools in ion sensing technologies.
2. Amides-Based Receptors
Selective electrochemical recognition of dihydrogen phosphate (H2PO4−) was achieved using neutral Fc-based receptors, specifically compounds 1–4, which demonstrated effective discrimination in the presence of competing anions like HSO4− and Cl− [29]. These receptors were engineered with amide and amine functional groups, providing targeted hydrogen bonding sites to facilitate selective anion complexation. Cyclic voltammetry in acetonitrile containing 0.1 M [Bu4N][BF4] as the supporting electrolyte revealed a negative potential shift in the redox potential of the Fc/Fc+ couple upon anion binding, with H2PO4− inducing the most substantial perturbation [29].
Receptor 3 displayed a shift of 180 mV in response to H2PO4−, attributed to its optimised structural cavity that complements the geometry of this anion. This shift was significantly higher than those observed for HSO4− and Cl−, which induced shifts of 50 and 20 mV, respectively. Competition experiments involving equimolar and excess concentrations of HSO4− and Cl− further confirmed that H2PO4− dominated the electrochemical response of receptor 3.
Receptors 1, 2, and 4 exhibited negative potential shifts of 60, 100, and 110 mV in response to H2PO4− [29]. The relatively smaller shift observed for 1 is attributed to its single amide functional group, which limits its capacity for hydrogen bonding and reduces its affinity for the anion. In contrast, 2, with additional hydrogen bonding sites, exhibited a more significant shift of 100 mV, reflecting enhanced interactions with H2PO4−. Among these three receptors, 4 showed the largest shift of 110 mV, attributed to its optimised structural complementarity to the H2PO4− geometry.

Extending these observations, receptors 2 and 5–7 exhibit similar structure-dependent selectivity trends towards anions [30]. Receptor 5, studied in acetonitrile (0.1 M [Bu4N][BF4]), demonstrated strong responses to oxoanions, with negative potential shifts of 220 mV for HSO4−, 165 mV for H2PO4−, and 35 mV for Cl−, reflecting its capacity for dual hydrogen bonding and proton transfer. Due to solubility limitations in pure acetonitrile, multidentate amide 6 was examined in a 1:1 acetonitrile-dichloromethane (0.1 M [Bu4N][BF4]) solvent system and displayed shifts of 80 mV for Cl− and 45 mV for bromide, Br−, underscoring the role of multidentate binding in halide recognition. Receptor 2, investigated in acetonitrile with a single amide group, showed reduced shifts of 120 mV for H2PO4− and only 5 mV for HSO4−. In contrast, 7, also studied in acetonitrile and incorporating bis (amide) functionality, demonstrated exceptional sensitivity with a negative potential shift of 240 mV for H2PO4− and 85 mV for HSO4−. These findings highlight how subtle changes in receptor architecture and solvent environment significantly influence anion affinity and selectivity [30].
Receptor 8 is a variation of receptor 5, incorporating quaternary nitrogen alongside amide groups to enhance anion recognition [31]. Cyclic voltammetry studies in dichloromethane containing 0.1 M [Bu4N][PF4] as the supporting electrolyte revealed a negative potential shift of 373 mV for H2PO4−. This substantial shift underscores the stronger interaction of 8 with H2PO4− compared to receptor 5, which exhibited a shift of 165 mV under similar conditions. However, 8 showed a smaller shift of 176 mV in the presence of HSO4− compared to receptor 5 (220 mV), suggesting that adding quaternary nitrogen does not enhance interactions with this anion. Additionally, 8 displayed negligible response to Br− (19 mV), similar to receptor 5.
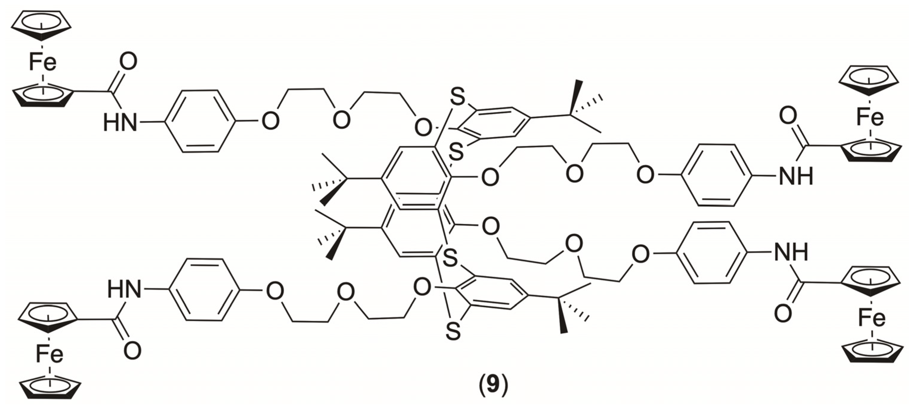
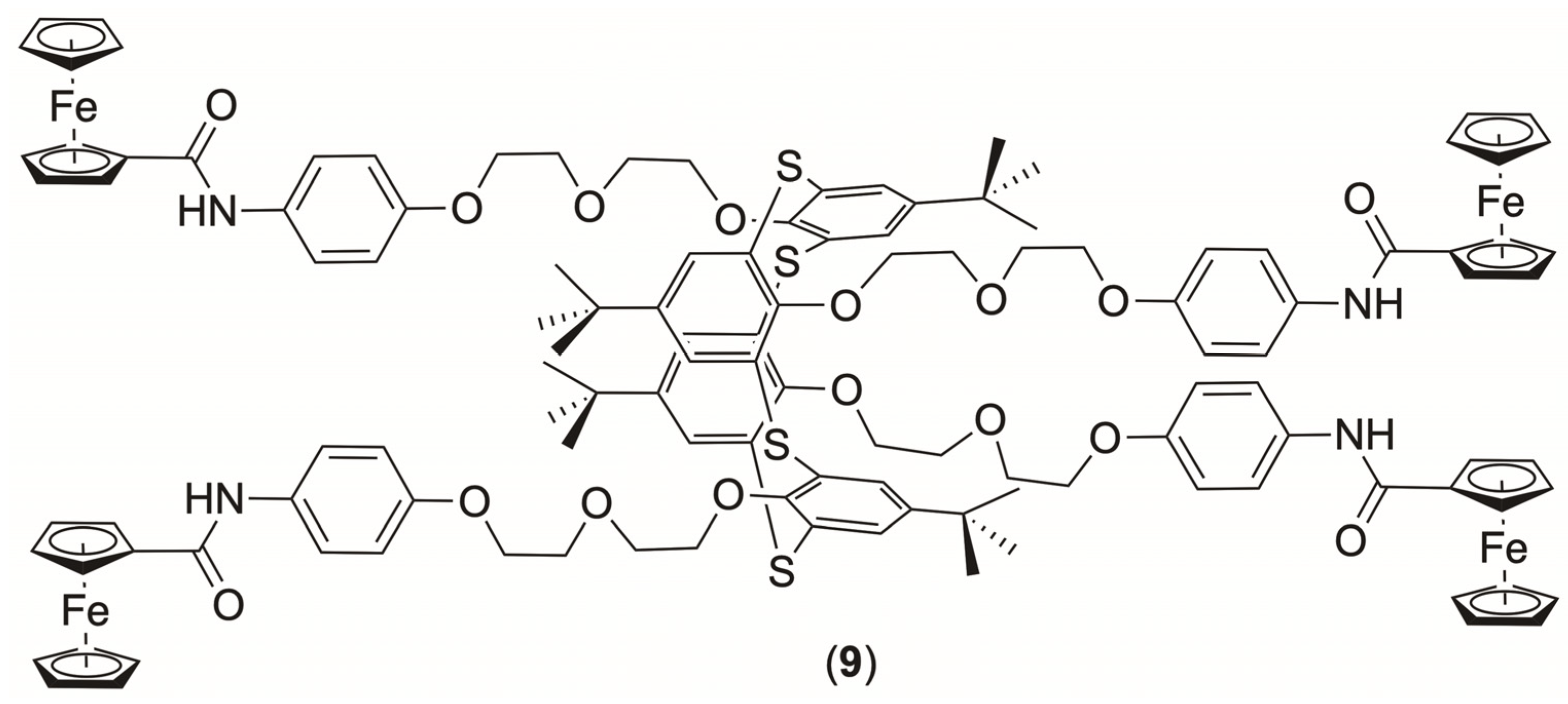
Receptor 9, incorporating four polyether arms terminated with Fc amide groups, was synthesised and evaluated for its anion recognition properties [32]. The electrochemical behaviour was studied using CV in a 1:1 dichloromethane-acetonitrile solvent mixture with 0.1 M [Bu4N][ClO4] as the supporting electrolyte. Upon adding two equivalents of H2PO4−, 9 displayed a significant negative potential shift of 275 mV. This shift was accompanied by a two-wave electrochemical response, indicating strong binding stability and effective interaction between the receptor and H2PO4−. In contrast, other anions, such as acetate (AcO−) and Br−, did not induce any measurable changes in the redox potential, demonstrating the receptor’s high selectivity. Positioning amide hydrogen bonding sites close to the Fc units was key in facilitating anion binding and stabilising the oxidised Fc+ state.

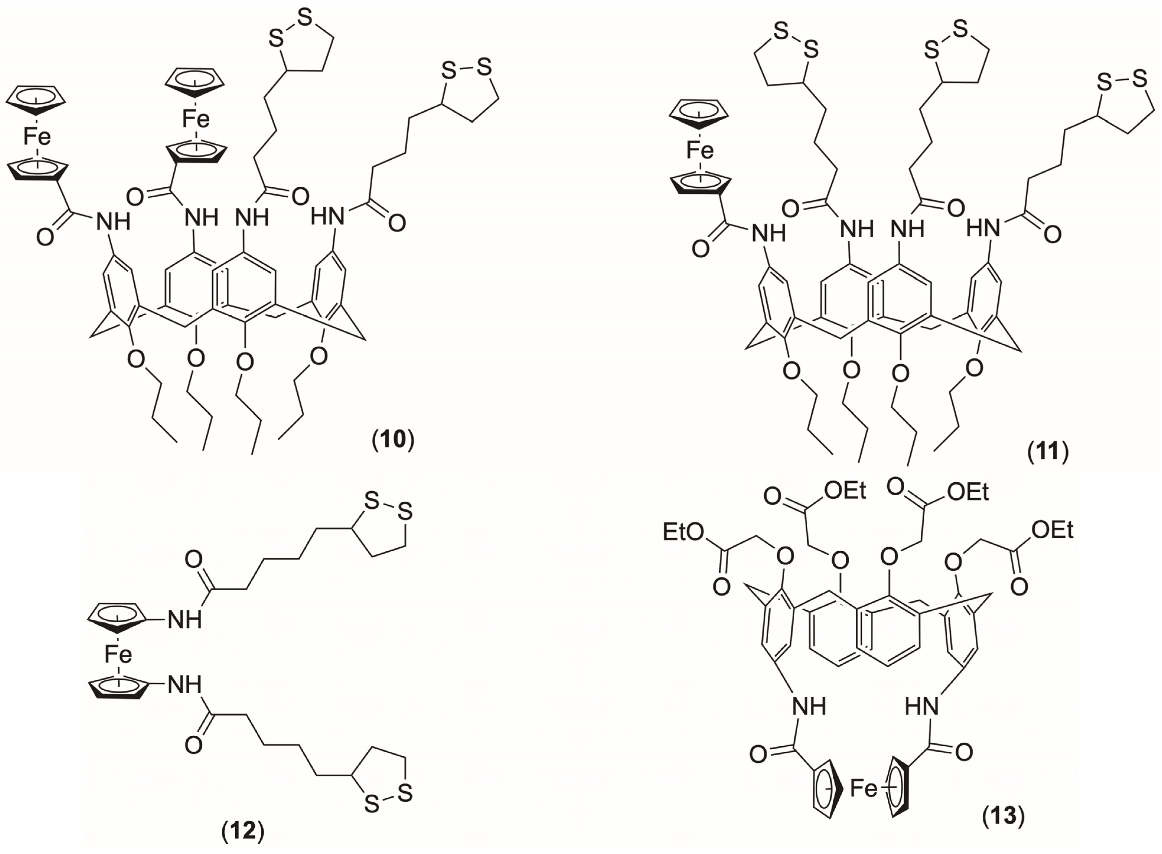
Ferrocene-functionalised Calix[4]arene receptors with amide groups, such as 10 and 11, demonstrated electrochemical responses to anions [33]. In 1:1 acetonitrile–dichloromethane (0.1 M [Bu4N][BF4]) mixture, 10 exhibited negative potential shifts of 70, 115, and 260 mV for Cl−, benzoate (Bz−), and H2PO4−, respectively, while receptor 11 showed shifts of 50, 165, and 240 mV for the same anions. These shifts highlight the ability of amide groups to engage in hydrogen bonding with anions, albeit with slightly lower binding strength compared to their urea-based counterparts (discussed in the following sections). The electrochemical behaviour differed significantly when the same receptors were attached to a gold surface in a self-assembled monolayer (SAM). While receptors 10 and 11 demonstrated robust anion binding in solution, the addition of anions such as Cl−, Bz−, and H2PO4− to their SAMs surprisingly resulted in the complete disappearance of their redox waves, even at relatively low anion concentrations (approx. 1 mM). This suggests oxidative decomposition of the Fc centres within the SAM environment, making these systems unsuitable for stable anion sensing when immobilised [33].

Electrochemical studies of 12 were conducted in a 2:1 dichloromethane–acetonitrile mixed system with 0.1 M [Bu4N][BF4] as the supporting electrolyte [34]. Negative potential shifts of 40, 20, and 210 mV were observed for Cl−, Br−, and H2PO4−, respectively, when 12 was analysed in solution. When SAM of 12 was formed on gold electrodes, the pre-organised structure amplified the redox responses, yielding potential shifts of 100, 30, and 300 mV for Cl−, Br−, and H2PO4−, respectively. This substantial enhancement highlights the role of surface confinement and pre-organisation in improving anion binding and electrochemical sensing, particularly for oxoanions like H2PO4−. Interestingly, the selectivity of 12 was consistent across solution and surface-confined states, with H2PO4− preferentially binding over halides [34].
Calix[4]arene derivative 13, featuring amide-Fc units at the wide rim and ethyl ester groups at the narrow rim, was evaluated as an electrochemical sensor for carboxylate anions [35]. Cyclic voltammetry and SWV studies were performed in acetonitrile with 0.1 M [Bu4N][PF6] as the supporting electrolyte. The redox potential of free 13 was determined to be 417 mV vs. Fc/Fc+ internal reference system (IRS). Upon adding excess Bz− (4 equivalents), the oxidation potential shifted in the negative direction by 150 mV, accompanied by the disappearance of the initial redox wave. This shift was attributed to the formation of the Fc+-Bz− complex, facilitated by hydrogen bonding and electrostatic interactions [35].
A different study focuses on the electrochemical recognition of F−, H2PO4−, adenosine triphosphate (ATP2−), and HSO4− ions using a series of amide-substituted ferrocenyl ligands (14–18) in acetonitrile or dichloromethane (0.1 M [Bu4N][ClO4]) [36]. The ligands were designed to utilise hydrogen bonding and ion-pairing interactions with amide groups for selective anion binding. Cyclic voltammetry was used to monitor redox potential shifts associated with each anion–ligand complex, revealing insights into their selectivity and binding mechanisms. The study demonstrated distinct potential shifts for each ligand–anion complex in organic solvents. The ligands exhibited a variety of one-wave and two-wave CV behaviours depending on the strength of interaction with the anions [36]. For F−, the ligands 14–16 showed one-wave behaviour, with substantial shifts indicating ion-pair formation and adsorption on the electrode, resulting in irreversible CV behaviour. For 17 and 18, adding F− induced a new reduction peak at a less positive potential linked to ion pairs precipitating on the electrode surface. The potential shifts recorded in acetonitrile in the presence of F− were 230 mV for 16, 220 mV for 14, 90 mV for 15, and 60 mV for 17. In contrast, in dichloromethane, these shifts were 310 and 290 mV for 14 and 15, respectively, suggesting stronger interactions in less polar environments.

In the case of H2PO4− and ATP2−, ligands 17 and 18 showed a clear two-wave cyclic voltammetry response, allowing for the distinct observation of complexed and free ligand peaks [36]. For 17, the H2PO4− complex showed a shift of 140 mV in acetonitrile, while in dichloromethane, this interaction was stronger, with a shift of 230 mV. Similarly, for ATP2− binding with 17, the shift was 160 mV in acetonitrile, increasing to 230 mV in dichloromethane. Ligand 18 showed maximum shifts with H2PO4− and ATP2− at 170 and 160 mV, respectively, in acetonitrile.
Hydrogen sulphate showed only minor shifts in acetonitrile, specifically 5 mV for 14 and 15, showing no effects on the Fc redox potential of 16–18, even in excess. These limited shifts indicate weaker interactions with HSO4−, supporting that the design of the ligands promotes higher selectivity for F−, H2PO4−, and ATP2− due to stronger electrostatic and hydrogen bonding interactions.
The electropolymerisation of the pyrrole-substituted monoamidoferrocene 19 onto a platinum electrode produced redox polymer films with enhanced electrochemical sensing properties for oxoanions [37]. Cyclic voltammetry and DPV studies were performed in acetonitrile or dichloromethane, containing 0.1 M [Bu4N][ClO4] as the supporting electrolyte. Upon binding H2PO4−, the Fc redox potential shifted in the negative direction by 220 mV in acetonitrile and 260 mV in dichloromethane, while ATP2− binding caused shifts of 180 mV in acetonitrile and 240 mV in dichloromethane. The polymer also responded to HSO4− with smaller shifts of 30 mV in acetonitrile and 90 mV in dichloromethane, whereas no significant response was observed for nitrate (NO3−). Compared to the monomer in solution, which displayed a weak negative shift of 80 mV for H2PO4− in acetonitrile, the polymer exhibited significantly greater sensitivity, attributed to the high local concentration of Fc units in the polymer film. This enables cooperative hydrogen bonding and electrostatic interactions with anions, particularly in less polar solvents like dichloromethane.
The electrochemical behaviour of 20 with AcO− was investigated through CV in acetonitrile [38]. In its free state, 20 exhibited a formal redox potential of 984 mV versus Ag/AgCl. Upon adding two equivalents of AcO−, a notable negative shift in the formal potential was observed, decreasing by 122 mV. This change indicates the initial binding interaction between the receptor and the AcO− ion. When four AcO− equivalents were added, the negative shift increased to 149 mV, suggesting a progression towards a (1:2) host–guest binding mode. The interaction of 20 with 2,2′-(1,3-phenylene)diacetate in acetonitrile produced a much larger response. Adding one equivalent of 2,2′-(1,3-phenylene)diacetate caused a pronounced negative potential shift of 153 mV, reflecting strong cooperative binding and forming a stable 1:1 host–guest complex. No further shift was observed with additional equivalents of 2,2′-(1,3-phenylene)diacetate, reinforcing the receptor’s high affinity and specificity for this dicarboxylate in acetonitrile.
Similarly, 21, a monofunctional control receptor, was examined under the same conditions with AcO− in acetonitrile and, in its unbound form, displayed a formal redox potential of 710 mV vs. Ag/AgCl. After adding AcO−, 21 showed a negative shift in the potential of 40 mV, which remained consistent when further acetate equivalents were introduced [38]. This smaller and stable potential shift indicates a lower affinity of receptor 21 for acetate than 20, which required fewer equivalents to achieve a higher magnitude of shift.

Ferrocene-containing macrocyclic 22, a heterodinuclear complex comprising a ruthenium–bipyridyl unit and an Fc moiety, demonstrates distinct electrochemical behaviour upon anion recognition [39]. Cyclic voltammetry studies in acetonitrile with 0.1 M [Bu4N][PF6] as the supporting electrolyte revealed two redox couples: Ru(II)/Ru(III) at 1035 mV and Fc/Fc+ at 390 mV vs. Ag/Ag+. Adding anions induced negative potential shifts in the midpoint potential of the Fc/Fc+ process, with Cl− causing the largest shift of 60 mV, followed by AcO− (20 mV) and H2PO4− (15 mV) [39].
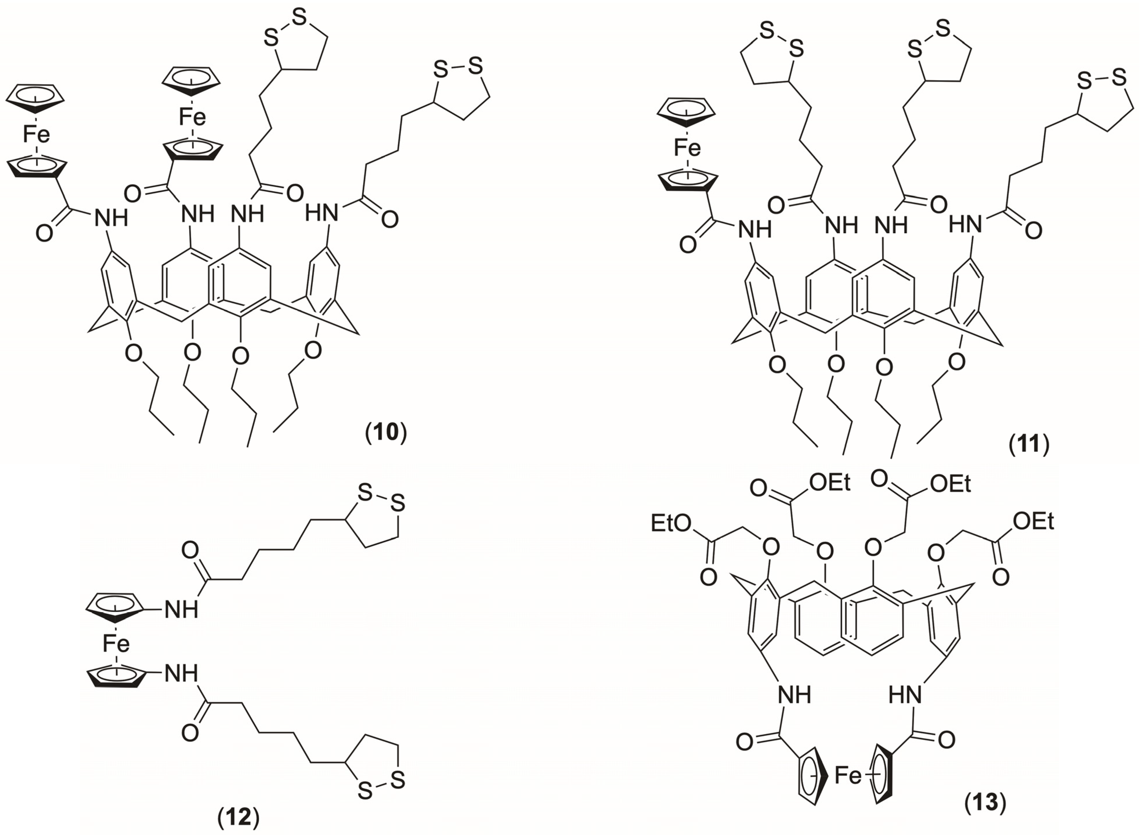
The electrochemical properties of Fc-based bis(phosphine) amide receptors and their transition metal complexes (23–25) were evaluated for anion sensing in a 1:1 acetonitrile–dichloromethane solvent system using 0.2 M [Bu4N][BF4] as the supporting electrolyte [40]. Negative potential shifts in Fc redox potential were observed upon adding anions, for Cl−, 24, containing a molybdenum centre, exhibited a potential shift of 90 mV. Similarly, 25, containing a chromium centre, showed a shift of 85 mV. The parent ligand 23 displayed a smaller shift of 65 mV, highlighting the enhanced binding capability provided by the Lewis acidic transition metal centres.

For Br−, 24 and 25 exhibited moderate negative potential shifts of 30 mV. Similarly, HSO4− produced shifts of 35 mV for both receptors, suggesting weaker binding interactions than Cl−. The most pronounced shifts were observed for H2PO4−, where 25 exhibited the most significant shift of 185 mV, reflecting strong binding likely mediated by hydrogen bonding. Receptor 24 showed a slightly smaller shift of 135 mV, which matched the shift observed for the parent ligand 23 [40].
The electrochemical data for zinc-metallated 5,10,15,20-tetrakis(o-ferrocenylcarbonylaminophenyl-substituted)porphyrin receptors 26–29 demonstrate their ability to sense anions through negative potential shifts in porphyrin oxidation and Fc redox couples [41]. However, the observed potential changes are relatively modest, raising concerns about their sensitivity and practicality as anion sensors compared to simpler systems. For example, 26 exhibited a negative potential shift of 115 mV in the porphyrin oxidation wave and 30 mV in the Fc one in the presence of Cl−. Bromide induced 85 and 20 mV shifts for the same redox events. Nitrate produced a moderate response, with shifts of 100 and 25 mV. Although HSO4− caused the largest shift of 125 mV and 50 mV, these changes are not significantly larger than those achieved by simpler Fc-based sensors.
Among the porphyrin receptors studied, 27 exhibited the strongest electrochemical response for NO3−, with a negative potential shift of 175 mV, significantly outperforming 26 and 29 (75 mV). For HSO4−, 27 again showed superior sensitivity with a shift of 150 mV, matching the responses of 28 and 29 but outperforming 26. In the case of halides, 26 showed stronger responses for Cl− (115 mV) and Br− (85 mV) compared to 28 and 29, which exhibited shifts of 95 and 70 mV for Cl−, respectively [41].

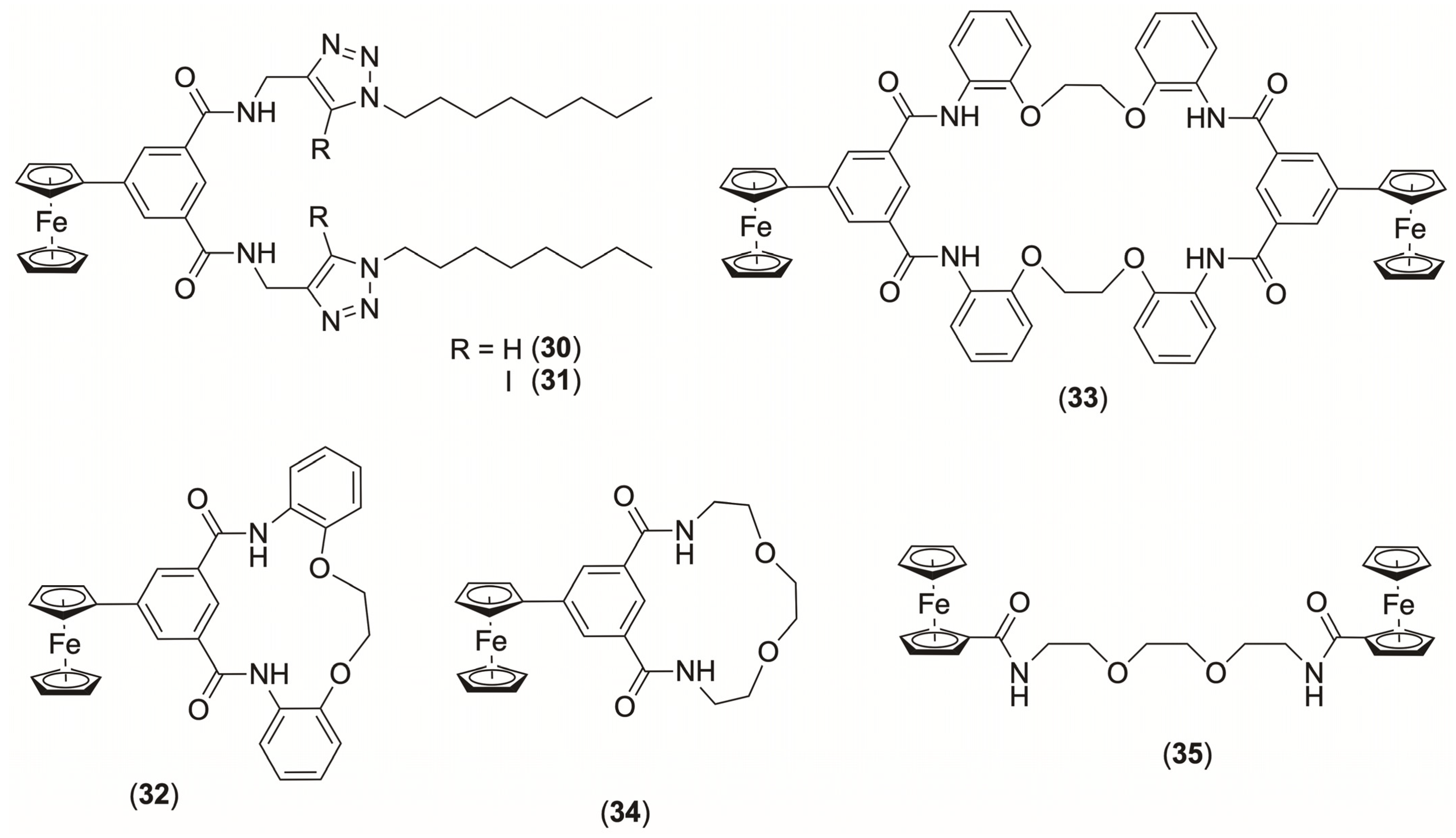
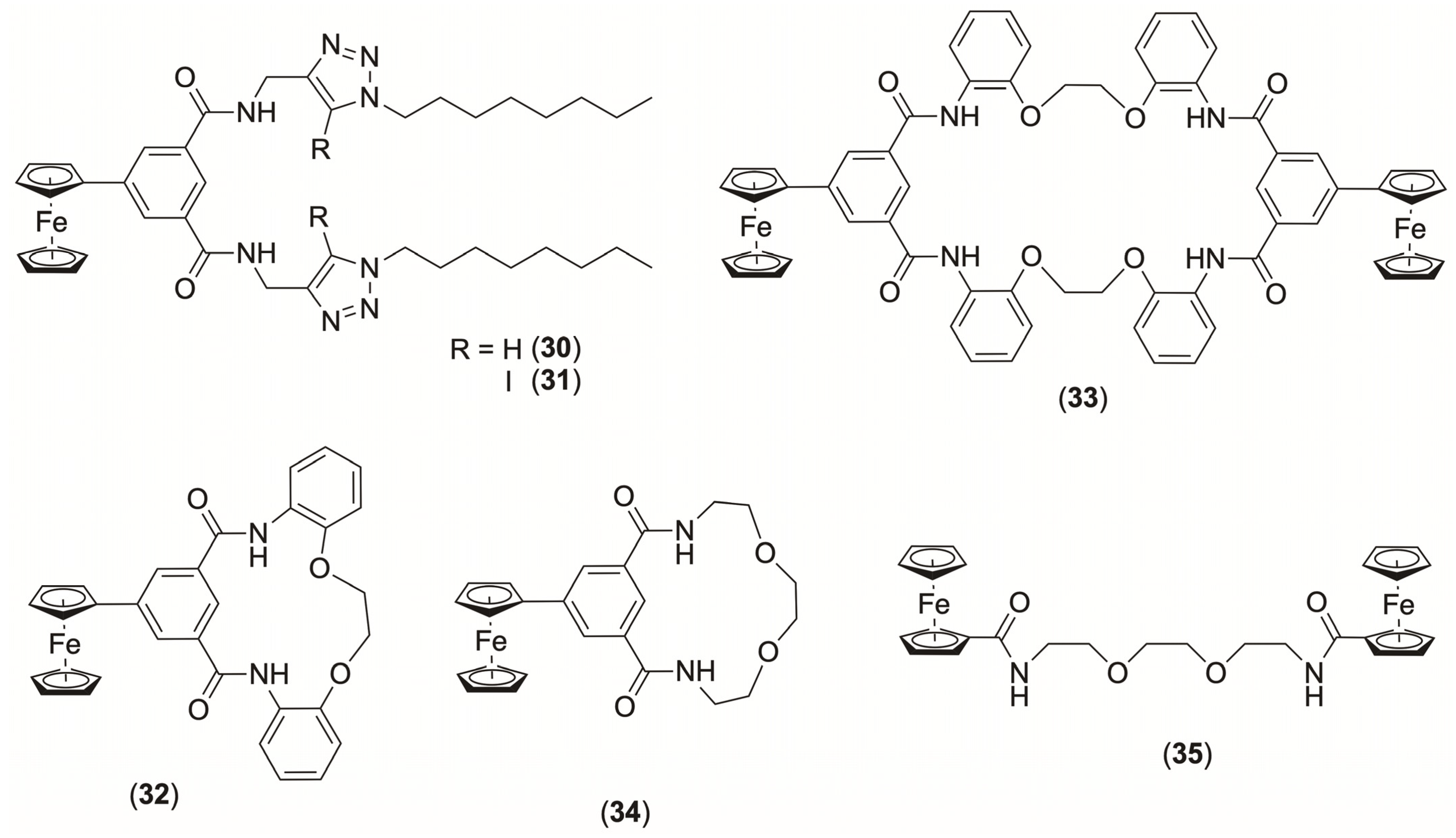
Building upon the amide-based receptors’ performance, 30 and 31 derivatives demonstrated anion-sensing capabilities [42]. Using acetonitrile (0.1 M [Bu4N][ClO4]), 31 exhibited significant negative potential shifts for H2PO4−, up to 173 mV, compared to 109 mV for its hydrogen bonding analogue 30. Other anions, including Bz− (106 mV for 31, 62 mV for 30), Cl− (79 mV for 31, 37 mV for 30), and Br− (57 mV for 31, 45 mV for 30), induced smaller but notable negative potential shifts in acetonitrile. The response diminished in 99:1 acetonitrile–water solvent systems, with H2PO4− eliciting shifts of 147 and 59 mV for 31 and 30, respectively [42]. These results highlight the superior electrochemical performance of halogen bonding motifs in the presence of competitive solvents, further distinguishing their utility in anion recognition applications.

The macrocyclic amides 32 and 33, featuring Fc moieties, demonstrated electrochemical recognition of anions, particularly H2PO4− [43]. Cyclic voltammetry and DPV studies in a 1:2 dichloromethane–acetonitrile mixture containing 0.1 M [Bu4N][ClO4] as the supporting electrolyte revealed limited negative potential shifts upon anion binding. For H2PO4−, the observed shifts were 68 mV for 32 and 94 mV for 33, significantly smaller compared to other receptors that can exhibit shifts exceeding 200 mV under similar conditions. Other anions, including Cl−, HSO4−, F−, and AcO−, induced shifts of ≤12 mV, indicating minimal interaction and weak binding affinity. While 33 exhibited slightly better performance due to its 2,2′-cyclisation, larger cavity, and additional binding sites, the overall electrochemical response of these receptors remains weak and less attractive compared to more sensitive and responsive systems.
Cyclic voltammetry studies of ferrocenophane 34 conducted in dichloromethane and acetonitrile with 0.1 M [Bu4N][BF4] as the supporting electrolyte revealed negative potential shifts in the Fc/Fc+ redox couple upon anion binding [44]. The largest shifts were observed for H2PO4−, with values of 139 mV in dichloromethane and 41 mV in acetonitrile. In mixed acetonitrile–water solutions containing up to 15% water, 34 maintained its sensing ability, displaying a shift of 162 mV for H2PO4−. Smaller shifts were observed in acetonitrile for HSO4− (67 mV) and F− (33 mV). Compared to receptor 32, 34 demonstrates a significantly higher sensitivity in dichloromethane, with a shift more than twice as large. Moreover, 34 stands out by retaining its sensing ability in mixed acetonitrile–water systems, a feature not reported for receptor 32.
Receptor 35 provides another example of selective electrochemical recognition of H2PO4− ions. Cyclic voltammetry studies of 35 in dichloromethane with 0.1 M [Bu4N][BF4] as the supporting electrolyte exhibit distinct responses in the presence and absence of anions [45]. Upon binding with H2PO4−, the original reduction peak potential at 630 mV disappears as the H2PO4− concentration increases. Simultaneously, a new signal appears at a potential 328 mV more negative, highlighting strong binding interactions and demonstrating the receptor’s efficacy in anion sensing.
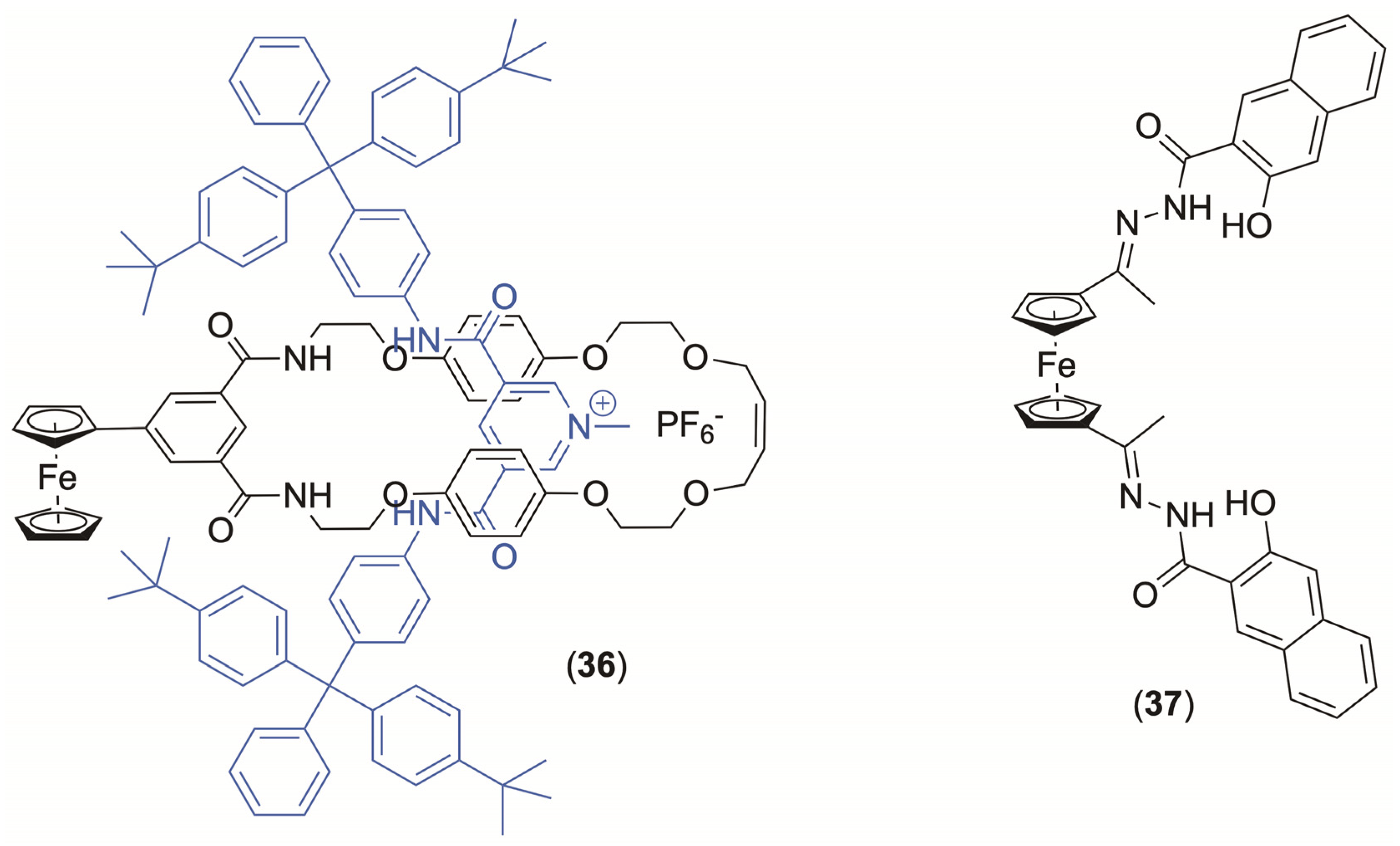
Ferrocene-functionalised rotaxane 36 demonstrated selective electrochemical recognition of anions, particularly Cl− [46]. Cyclic voltammetry studies in acetonitrile containing 0.1 M [Bu4N][PF6] revealed that the receptor exhibited a quasi-reversible redox couple for the Fc/Fc+ system at 115 mV vs. Ag/AgCl. Upon adding one equivalent of Cl−, the receptor exhibited a negative potential shift of 20 mV, which remained constant with further additions, indicating strong and specific binding. In contrast, other anions, including H2PO4−, Bz−, and HSO4−, required multiple equivalents to elicit potential shifts of 100, 25, and 40 mV, respectively. The constant response for Cl− reflects the receptor’s highly selective binding mechanism, attributed to the rotaxane’s cavity design and optimally placed amide hydrogen bonding sites [46]. These results highlight the receptor’s potential for selective Cl− sensing despite smaller potential shifts compared to other anions under non-specific conditions.
Compound 37 features amide groups as anion-binding sites for dual fluorescent and electrochemical sensing. Electrochemical experiments were conducted in dimethylformamide with 0.1 M [Bu4N][ClO4] as the supporting electrolyte. Upon titration with F−, a negative potential shift of 120 mV was observed due to the formation of a host–guest complex and subsequent deprotonation of the amide group, generating bifluoride ions (HF2−) [47]. In contrast, H2PO4− caused only a minor potential shift, while Cl−, Br−, and iodide (I−) produced no noticeable changes.

3. Urea and Derivatives-Based Receptors
The electrochemical properties of heteroditopic Fc-based urea receptors were extensively investigated, demonstrating their strong anion-sensing capabilities. The receptors exhibit a reversible one-electron redox wave associated with the Fc/Fc+ couple, shifting significantly upon adding anionic guests [48]. For receptor 38, the initial redox potential at −310 mV vs. Fc/Fc+ IRS in dimethyl sulfoxide containing 0.1 M [Bu4N][ClO4] as the supporting electrolyte showed distinct negative potential shifts depending on the anion. The addition of F− resulted in the most significant shift of 216 mV, indicating a strong interaction due to its high electronegativity and ability to form robust hydrogen bonds with the urea N–H groups. Dihydrogen phosphate, another strongly interacting anion, caused a significant shift of 144 mV, attributed to its dual hydrogen bonding capability.

Receptor 39, incorporating a ferrocenophane structural motif with urea groups as part of a macrocyclic framework, exhibited even more pronounced redox responses [48]. The initial redox potential of −370 mV vs. Fc/Fc+ IRS shifted to −590 mV upon interaction with H2PO4−, corresponding to a shift of 220 mV. Acetate caused a smaller but notable shift of 110 mV, reflecting moderate binding strength. The response to F− for receptor 39 was also significant, with a shift of 76 mV, highlighting the versatility of this receptor in accommodating a variety of anions through hydrogen bonding.
The Fc-naphthalene receptor 40 demonstrated selective electrochemical sensing of F− and H2PO4−. Cyclic voltammetry in dimethyl sulfoxide (0.1 M [Bu4N][PF6]) revealed a reversible one-electron oxidation process at −270 mV vs. Fc/Fc+ IRS for the unbound receptor [49]. Upon adding F−, the redox wave shifted in the negative potential direction by 190 mV. A similar, albeit smaller, shift of 125 mV was observed with H2PO4−. The system displayed “two-wave” behaviour for both anions, indicating potent and selective binding through hydrogen bonding interactions between the receptor’s urea groups and the anions. Other anions, including Cl−, Br−, and HSO4−, had no observable impact on the redox potential [49].
The electrochemical behaviour of multinuclear ferrocenyl derivatives, including urea (41), thiourea (42), and guanidine (43) receptors, was evaluated in dimethylformamide with 0.1 M [Bu4N][PF6] as the supporting electrolyte [50]. All three receptors exhibited a single reversible oxidation process for the Fc/Fc+ couple, with midpoint potentials between 490 and 530 mV vs. decamethylferrocene (DmFc) IRS. Receptor 43 demonstrated the largest negative potential shifts of 170 mV for H2PO4−, 140 mV for AcO−, and 110 mV for F−, indicating strong anion binding through hydrogen bonding and electrostatic interactions. Similarly, 42 showed moderate responses of 100 mV for H2PO4−, 70 mV for AcO−, and 50 mV for F−. Receptor 41 exhibited high selectivity for H2PO4− (110 mV), with negligible shifts observed for acetate and F−. Notably, Cl−, NO3−, and HSO4− induced no significant redox changes in any of the receptors [50].
Adding to the versatility of urea-functionalised sensors, the 2-ureido-4-ferrocenyl pyrimidine receptor 44 demonstrated electrochemical responsiveness to strong acids, including trifluoromethanesulfonic acid and tetrafluoroboric acid [51]. Cyclic voltammetry experiments conducted in dichloromethane (0.1 M [Bu4N][ClO4]) revealed a positive potential shift in the Fc/Fc+ redox couple upon acid addition. The midpoint potential shifted by approximately 128 mV with trifluoromethanesulfonic acid and 144 mV with tetrafluoroboric acid, forming a new, thermodynamically stable complex. Interestingly, the receptor’s response to trifluoroacetic acid resulted in only a minor shift of 20 mV [51].

The ferrocenyl derivative 45, featuring a urea moiety, demonstrated significant anion recognition capabilities [52]. Cyclic voltammetry studies conducted in dimethyl sulfoxide (0.1 M [Bu4N][PF6]) revealed notable negative potential shifts in the Fc/Fc+ redox couple upon interaction with basic anions such as F−, H2PO4−, HP2O73−, AcO−, and Bz−. For H2PO4−, the midpoint potential shifted by 155 mV after adding six equivalents of the anion, while AcO− and Bz− exhibited characteristic two-wave behaviour, with shifts of 175 and 140 mV, respectively. Interestingly, titrations with F− and HP2O73− in the presence of acetic acid yielded a single, well-defined oxidation peak with shifts of 130 and 160 mV, respectively, indicating hydrogen-bonded complex formation without deprotonation [52].
Cyclic voltammetry and DPV analysis of 40, 46–49 were conducted in dimethyl sulfoxide with 0.1 M [Bu4N][ClO4] as the supporting electrolyte to monitor the redox behaviour of these receptors [53]. Receptor 40 showed a reversible redox system at −350 mV vs. Fc/Fc+ IRS in the absence of anions. Upon binding F−, this potential shifted negatively by 190 mV, while binding with H2PO4− resulted in a shift of 125 mV. These values align with previously published data by the same research group using the same receptor [49]. Similarly, receptor 46 exhibited a potential shift of 208 mV upon F− binding and 90 mV with H2PO4−. These negative potential shifts reflect the increased difficulty of oxidation upon complexation, arising from the electrostatic and hydrogen-bonding interactions between the anions and the urea moieties. Other receptors reported in the study demonstrated similar trends: receptor 47 displayed shifts of 60 mV for F− and 108 mV for H2PO4−, receptor 48 showed shifts of 112 mV and 76 mV for F− and H2PO4−, respectively, while receptor 49 exhibited shifts of 160 mV for F− and 142 mV for H2PO4−. Importantly, anions such as Cl−, Br−, AcO−, NO3−, and HSO4− did not induce any significant potential shift, even in high concentrations [53].

The 1,3,6,8-tetraza[8]-ferrocenophane receptor 50, with an Fc unit substituted at the 1 and 1′ positions by urea groups, were studied for electrochemical responses to anions [54]. Cyclic voltammetry studies conducted in dichloromethane with 0.1 M [Bu4N][PF6] as the supporting electrolyte revealed a reversible oxidation process for receptor 50, with a midpoint potential of -130 mV versus the Fc/Fc+ IRS. Differential pulse voltammetry experiments showed selective negative potential shifts upon adding H2PO4− and F−. The maximal shifts observed were 136 mV with 2.5 equivalents of H2PO4− and 63 mV with 3.5 equivalents of F−. No significant changes were observed with Cl−, Br−, NO3−, or HSO4−.
The guanidino-ferrocenophane 51 exhibits distinctive redox behaviour upon interaction with various anions [55]. Differential pulse voltammetry analysis in a 9:1 dimethyl sulfoxide–H2O mixture with 0.1 M [Bu4N][PF6] as the supporting electrolyte revealed two distinct one-electron oxidation peaks at −350 and -90 mV vs. Fc/Fc+ IRS. Binding with F− and AcO− caused the second oxidation peak to disappear entirely, while the first peak remained unperturbed. In contrast, H2PO4− and HSO4− induced different behaviours: H2PO4− caused a positive potential shift of 14 mV for the first peak and a negative potential shift of 84 mV for the second. In comparison, HSO4− showed a large positive shift of 89 mV for the first peak and a negative one of 13 mV for the second [55]. Receptor 51 also demonstrated selectivity for nitrate NO3− and chloride Cl− in dichloromethane (0.1 M [Bu4N][PF6]), with negative potential shifts of 50 and 130 mV for NO3− and 80 and 100 mV for Cl− across its two redox peaks.
Ethynyl Fc-based semicarbazide derivatives 52–55 have been investigated as a multifunctional receptor for F− [26]. Cyclic voltammetry studies of 52 conducted in dimethyl sulfoxide with 0.1 M [Bu4N][PF6] as the supporting electrolyte exhibited a negative potential shift of 120 mV upon adding 1.4 equivalents of F−. In contrast, the other receptors (53–55) demonstrated weaker responses, with shifts limited to 10 mV under similar conditions. The superior electrochemical response of 52 was attributed to its favourable electronic communication between the Fc moiety and the fluoride-binding semicarbazide site and its extended conjugated structure [26].

Ferrocene-functionalised receptors with urea groups, such as 56 and 57, have demonstrated significant electrochemical responses to various anions [33]. Cyclic voltammetry studies in a 1:1 acetonitrile–dichloromethane solvent mixture with 0.1 M [Bu4N][BF4] revealed negative potential shifts in the Fc/Fc+ redox potential upon anion binding. Receptor 57 exhibited potential shifts of 115, 180, and 250 mV for Cl−, Bz−, and H2PO4−, respectively, when assembled into SAM on gold electrodes, with slightly smaller shifts of 60, 150, and 200 mV in solution. Receptor 56, a simpler urea-functionalised derivative, showed smaller shifts of 50, 100, and 150 mV for the same anions.

4. Amines-Based Receptors
The (ferrocenylmethyl)trimethylammonium cation 58 demonstrated effective electrochemical sensing of H2PO4− and ATP2−, leveraging strong ion-pairing interactions that become reinforced upon oxidation to the Fc+ form [56]. Cyclic voltammetry results revealed a characteristic two-wave behaviour for 58 when interacting with H2PO4− in organic media, such as dichloromethane and acetonitrile (0.1 M [Bu4N][ClO4]), showing a negative potential shift of 470 mV in dichloromethane and 295 mV in acetonitrile. This significant shift illustrates the ion-pairing effect on the Fc/Fc+ redox couple, with maximum perturbation observed at 3–4 equivalents of H2PO4−, as reflected by the emergence of a new cyclic voltammetric wave corresponding to the anion-bound complex.

Comparatively, the response to HSO4− and NO3− in these organic solvents was weaker, with shifts in the order of 10–25 mV, further confirming the selective affinity of 58 for H2PO4− and ATP2−. This selectivity is attributed to electrostatic interaction and specific hydrogen bonding with the quaternary ammonium and Fc+. The solvent choice notably influenced sensing sensitivity; non-polar solvents like dichloromethane increased electrostatic interactions, resulting in more significant redox shifts (470 and 280 mV for H2PO4− and ATP2−, respectively), while protic solvents, such as methanol, led to no detectable sensing capacity, likely due to hydrogen-bonding stabilisation of the anions [56].
The polymer film derived from 59 displays significant sensing capabilities for H2PO4− in acetonitrile containing 0.1 M [Bu4][ClO4] as the supporting electrolyte. The films were synthesised through oxidative electropolymerisation of the pyrrole-containing ferrocenylmethylammonium monomer at 900 mV vs. Ag/Ag+, resulting in stable polymer coatings on platinum electrodes [57]. Upon interaction with H2PO4−, a negative potential shift of 280 mV is observed. This shift is attributed to ion-pairing interactions between the alkylammonium groups in the polymer and H2PO4−, which are further reinforced in the oxidised Fc+ state. Compared to receptor 58, which exhibits a significantly larger potential shift of 470 mV for H2PO4− and is the only receptor capable of detecting H2PO4− in aqueous media, the polymer-based receptor 19 demonstrates slightly better sensitivity than 59, with potential shifts of 220–260 mV depending on the solvent. However, neither 59 nor 19 match the performance of 58 in terms of both sensitivity and versatility for oxo-anion detection. Moreover, as confirmed through competitive experiments, the sensing properties are highly selective for H2PO4− over other anions such as HSO4−, NO3−, and ATP2− [37,56,57].
The electrochemical identification of H2PO4− and ATP2− was also achieved using polyaza Fc macrocyclic ligands 60 and 61 in an aqueous environment [58]. When protonated in the pH range of 6 to 8, these ligands form polyammonium macrocycles capable of coordinating anions through electrostatic and hydrogen bonding interactions. Cyclic voltammetry revealed a significant negative potential shift in the Fc/Fc+ redox couple upon adding H2PO4− and ATP2−, stabilising Fc+ due to the close association with the negatively charged phosphate anions. Specifically, ligand 60 exhibited a negative potential shift of 60 mV for H2PO4− and 40 mV for ATP2−, while ligand 61 showed similar shifts, confirming effective anion recognition and binding [58].
Receptors 60 and 61, previously discussed for their H2PO4− ion recognition capabilities, were also evaluated and compared with receptor 63 to assess their performance under varying conditions [59]. The electrochemical studies were conducted in aqueous solutions adjusted to pH 6.5, with 0.2 M KCl as the supporting electrolyte. Cyclic voltammetry revealed that receptors 60, 61, and 63 exhibited negative potential shifts of 60–80 mV in the Fc/Fc+ redox couple upon binding ATP2− or hydrogen phosphate (HPO42−) [59]. However, receptors 60 and 61 exhibited superior selectivity, as other tested anions—including Cl−, NO3−, and sulphate (SO42−)—induced negligible potential shifts.
A separate study employed potentiometric techniques to investigate the selective electrochemical recognition of SO42− and H2PO4− by polyaza Fc macrocyclic receptors 60 and 62. For this experiment, a 7:3 tetrahydrofuran–water mixture (0.1 M [Bu4N][ClO4]) was used, focusing on the pH-dependent shifts in redox potential associated with anion binding [60]. For SO42− ions, 60 and 62 exhibited maximum negative potential shift at acidic pH, specifically in the pH 3–5 range, where the protonated polyammonium form of the receptors is highly effective in engaging SO42− through strong electrostatic and hydrogen bonding interactions. The most pronounced shift was observed for receptor 62, which showed a negative potential shift of approximately 54 mV at pH 4 [60]. Receptor 60 also responded to SO42− at an acidic pH (10 mV at pH 4). However, its primary selectivity was directed toward phosphate at near-neutral pH, where a shift of ca. 50 mV was observed. Receptor 62 similarly exhibited phosphate recognition, though to a lesser degree, with the most significant interactions (32 mV) occurring between pH 5.5 and 6.5. This pH range favours the binding of the H2PO4−, which predominates in neutral pH conditions and binds effectively to the partially protonated receptor.
These observations highlight the importance of the macrocyclic structure and the proximity of the Fc redox centre to the binding cavity, which enhance selectivity by optimising cation–anion interactions upon oxidation to the Fc+ state. The distinct pH-dependent shifts—54 mV for SO42− with receptor 62 at pH 4 and ca. 50 mV for phosphate with 60 at pH 7—demonstrate that these receptors can be fine-tuned for selective anion recognition, offering potential as electrochemical sensors for SO42− and phosphate in aqueous environments, where competing anions may be present [60].
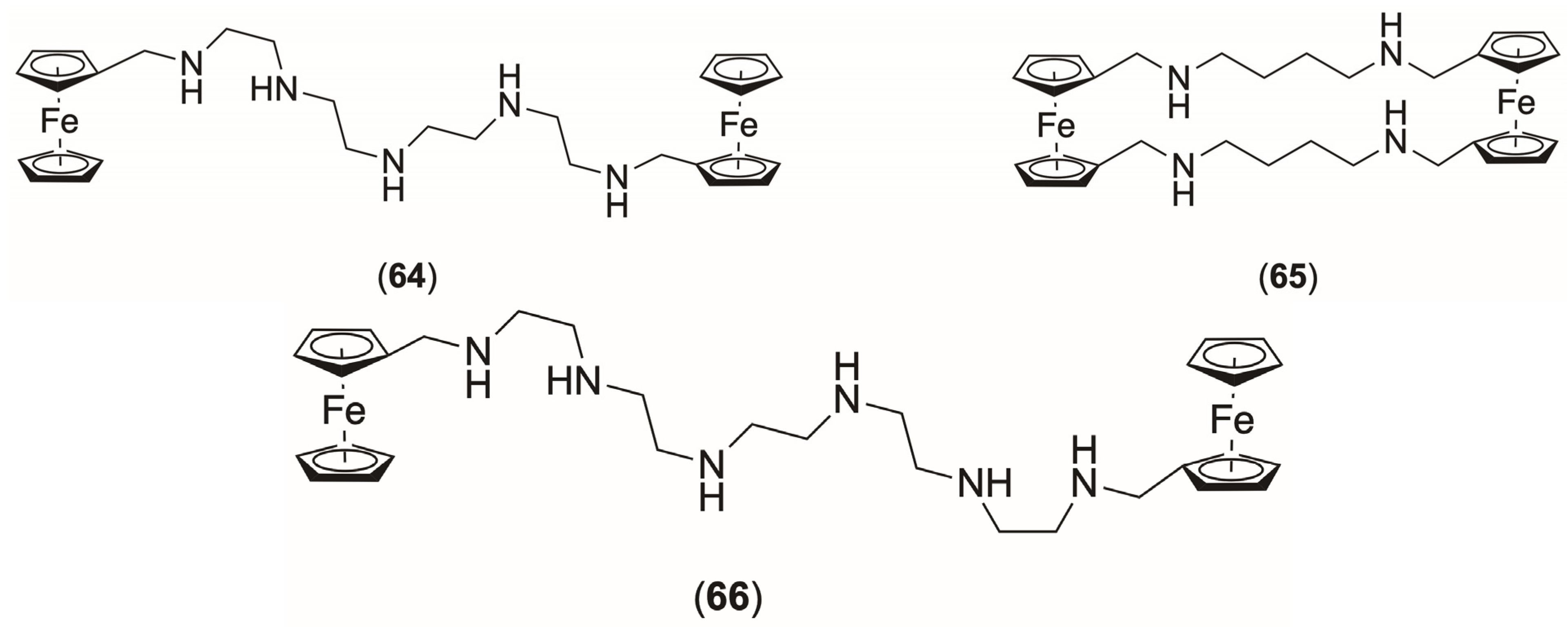
Receptors 60, 64, and 65 were synthesised and systematically evaluated for their ability to recognise anions through selective electrochemical responses, leveraging their amine-functionalised polyaza Fc frameworks to achieve strong hydrogen bonding and electrostatic pairing interactions [61]. Receptor 64 exhibited a potential shift of up to 100 mV upon binding ATP2− in a mixed solvent system of tetrahydrofuran and water (7:3 v/v), showcasing strong charge-pairing and hydrogen bonding interactions. It displayed remarkable selectivity for ATP2− over phosphate and nitrate at pH 4.9, underscoring its specificity for biologically relevant anions. Similarly, receptor 60 showed pronounced ATP2− selectivity near neutral pH, achieving potential shifts of 60 mV for H2PO4− and 40 mV for ATP2−. These values align with those reported above for the same receptor under similar experimental conditions [58].

Receptor 65 further highlighted the efficacy of amine-functionalised Fc systems in anion recognition. It enabled the selective detection of phosphate anions at pH 6–8, with shifts in the redox potential of around 100 mV, even in the presence of competing anions like NO3−, AcO−, or Cl−. These findings emphasise the importance of tuning the receptor’s protonation state and the environmental pH to achieve optimal selectivity and sensitivity.
The electrochemical behaviour of Fc-functionalised polyamine 64 and 66 was evaluated for anion recognition in tetrahydrofuran and water (7:3 v/v) at 25 °C with 0.1 M [Bu4N][ClO4] as the supporting electrolyte [62]. Cyclic voltammetry revealed that the receptors exhibit distinct negative potential shifts in their redox potentials upon interaction with anions such as ATP2−, SO42−, and phosphate, with the magnitude of these shifts dependent on the receptor structure and solution pH. At pH 3.5, 64 demonstrated the highest sensitivity to ATP2− with a potential shift of 52 mV, followed by SO42− (30 mV) and H2PO4− (22 mV). Similarly, 66 showed significant responses, particularly for SO42− (34 mV) and ATP2− (30 mV), while H2PO4− induced a smaller shift (17 mV). In contrast, NO3− did not produce any measurable change in the redox potential for either receptor. These results highlight the selective anion recognition capability of 64 and 66, with 64 exhibiting a stronger overall response to ATP2−. The pH-dependent behaviour and specificity of these receptors underline their potential as electrochemical sensors for biologically relevant anions [62].
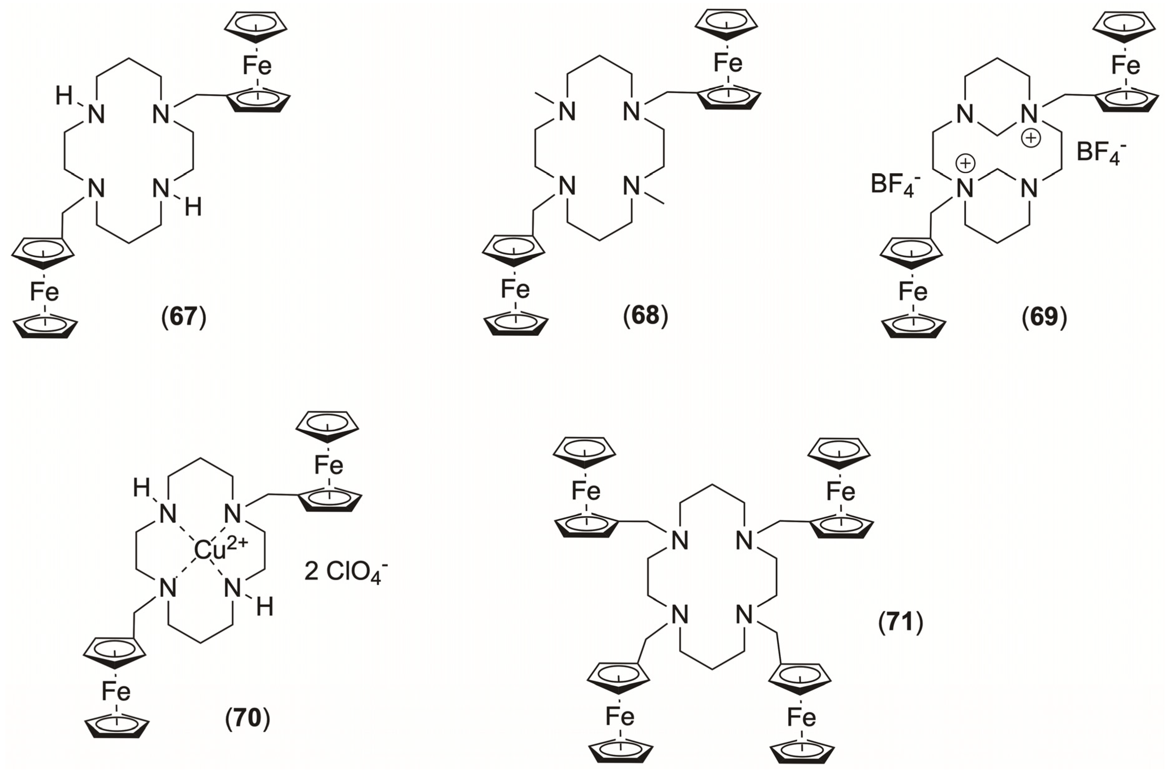
Ferrocene-functionalised polyamine macrocyclic receptors, such as 67–70, demonstrate the versatility of amine-based frameworks in electrochemical anion sensing [63]. Cyclic voltammetry and DPV studies in acetonitrile (0.1 M [Bu4N][ClO4]) revealed distinct behaviours influenced by receptor functionalisation. Receptor 67, with secondary amine groups, showed Fc reversible redox behaviour at 125 mV vs. Ag/Ag+ and exhibited a two-wave response for H2PO4− and ATP2−, with negative potential shifts of 160 and 190 mV, respectively. The pronounced shifts reflect strong hydrogen bonding interactions and electrostatic stabilisation in the Fc+ oxidation state. For HSO4−, a smaller shift of 90 mV was observed, while F− and NO3− induced negligible changes [63].
Receptor 69, with ammonium subunits, exhibited enhanced sensitivity towards F−, with a negative potential shift of 190 mV and a well-defined two-wave behaviour, attributed to strong electrostatic interactions with the dicationic receptor. However, 69 displayed no response to Cl−, Br−, or I−. Similarly, the copper(II)-complexed receptor 70 showed a selective response to F−, with a significant shift of 210 mV for the Cu2+/Cu+ redox couple and a minimal shift of 30 mV for the Fc redox couple, suggesting F− coordination to the copper centre [63].
The Fc-based polyazacycloalkane 71 was investigated for ATP2− detection using CV in aqueous solution under varying pH conditions [64]. At neutral and basic pH, the receptor exhibited a minimal change in its oxidation potential upon ATP2− addition. However, a negative potential shift in the redox potential was observed in acidic conditions, indicating enhanced binding interactions between 71 and ATP2−. Specifically, the oxidation potential shifted by 3 mV at pH 7.0, 14 mV at pH 5.0, and 33 mV at pH 3.7. These shifts were attributed to the protonation of the amino groups on 71 at lower pH, which increases the receptor’s affinity for ATP2− through electrostatic interactions and stabilisation of the complex [64].

Further electrochemical investigations into Fc-functionalised amine-based receptors 64 and 72–74 revealed selective redox responses in the presence of H2PO4− and HSO4− in acetonitrile (0.1 M [Bu4N][ClO4]) [65]. For H2PO4−, 73 exhibited the most significant midpoint potential shift of 400 mV, highlighting its strong affinity for phosphate anions. Receptor 64 displayed a similar response, showing a shift of 354 mV, followed by 74 with a shift of 346 mV. Receptor 72 showed the smallest but significant response, with a potential shift of 268 mV. In contrast, for HSO4−, 64 exhibited the most significant potential change of 263 mV, followed by 73 (118 mV), 74 (113 mV), and 72 (45 mV).
The performance of 74 in sensing H2PO4− can be further contextualised through comparison with 35, which exhibits a potential shift of 230 mV in dichloromethane (0.1 M [Bu4N][BF4]). In contrast, 74 achieves a larger shift of 346 mV in acetonitrile, indicative of stronger binding interactions. The reduced chemical shift observed for 35 can be attributed to the presence of the amide group, which, while providing additional hydrogen bonding opportunities, moderates the receptor’s overall binding strength compared to receptor 74. The difference in shifts cannot be fully explained by the solvent and supporting electrolyte effects, contributing to the difference with only 29 mV [11]. Instead, the stronger electrostatic and hydrogen-bonding interactions provided by the amine group in 74 resulted in a more pronounced stabilisation of the bound complex and a larger potential shift. Conversely, in 35, the carbonyl group in the amide withdraws electron density from the NH group, reducing its proton-donating capability and attenuating the redox response.

Our group has investigated the electrochemical behaviour of Fc-functionalised receptor 75, which incorporated two Zn(II)-TACN complexes (TACN = 1,4,7-triazacyclononane; X = Zn(II) complex completed with perchlorate anions) for selective pyrophosphate (P2O74−) anion sensing [66]. Cyclic voltammetry and SWV studies in 1:9 acetonitrile-Tris-HCl buffer (50 mM, pH 7.4) mixture revealed a single, reversible Fc/Fc+ redox couple at 450 mV vs. Ag/AgCl for 75. The addition of P2O74− resulted in a significant negative potential shift of 100 mV, indicating strong coordination between 75 and P2O74−, driven by the interaction of the Zn(II)-TACN units with the high-charge-density anion. In contrast, ATP2− and ADP2− induced smaller negative potential shifts of 68 and 54 mV, respectively, while negligible shifts (<20 mV) were observed for monophosphate nucleotides and fluoride. The selective response to P2O74− is attributed to its strong binding affinity and the receptor’s ability to undergo a conformational rearrangement to stabilise the complex. These results demonstrate the potential of Zn(II)-TACN-based Fc systems for selective detection of P2O74− in biologically relevant environments [66].
We also developed an Fc-based bis (Zn-cyclen) complex, 76, as a selective electrochemical sensor for thymidilyl-(3′-5′)-thymidine (TpT) [67]. The electrochemical measurements were performed in 0.1 M Tris-HCl buffer (pH 7.4), using glassy carbon electrodes at room temperature. Upon binding TpT, a negative potential shift of 36 mV was observed, attributed to the two deprotonated thymine moieties coordinating with the Zn-cyclen centres, forcing a structural rearrangement from a trans to a cis configuration. This interaction was unique to TpT, as other nucleobases and nucleotides, including adenine, thymine, cytosine, guanine, AMP, TMP, TDP, TTP, CMP, GMP, ApC, GpG, and P2O74−, produced negligible changes (≤ 5 mV) in the redox potential of the Fc unit. This finding inspired the development of an electrochemical sensor for selective DNA sequence recognition, particularly in studying DNA damage and repair pathways [68].

The electrochemical behaviour of the Fc-containing squaramide-based 77, designed for ion pair recognition, was investigated using CV in acetonitrile with 0.1 M [Bu4N][PF6] as the supporting electrolyte [69]. In the absence of ions, 77 displayed a midpoint potential of approximately −12 mV vs. Ag/Ag+. The potential remained unchanged after adding sodium ions (Na+), suggesting minimal interaction between Na+ and the Fc unit due to the distance from the cation-binding site. In contrast, negative potential shifts were observed when anions such as NO3−, Cl−, and Br− were introduced, indicating increased electron density on the Fc unit. For NO3−, the shifts were 42 mV (1 equiv.), 50 mV (3 equiv.), and 63 mV (5 equiv.), while Cl− produced more significant shifts of 78 mV (1 equiv.), 96 mV (3 equiv.), and 104 mV (5 equiv.), and Br− showed intermediate shifts of 42 mV (1 equiv.), 64 mV (3 equiv.), and 70 mV (5 equiv.). The negative potential shifts were further enhanced in the presence of 1 equivalent of Na+, demonstrating cooperative binding between the squaramide and crown ether units. For example, the Fc midpoint potential shifted by 62 mV (1 equiv.), 67 mV (3 equiv.), and 72 mV (5 equiv.) for NO3− and 91 mV (1 equiv.), 112 mV (3 equiv.), and 114 mV (5 equiv.) for Cl− [69]. These findings underscore 77’s sensitivity to ion pair interactions, with the enhanced shifts attributed to the stabilisation of ion pairs through cooperative binding.
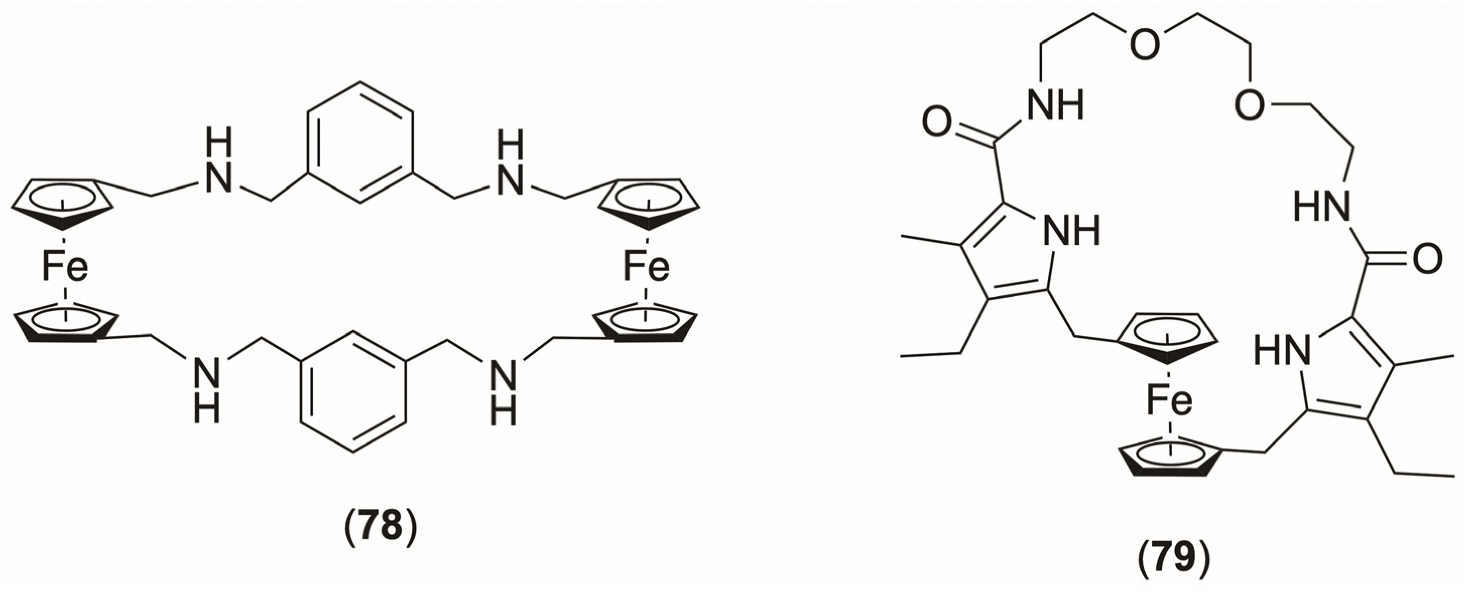
The electrochemical behaviour of the Fc-based tetraazamacrocyclic receptor 78 in the presence of carboxylate anions demonstrated distinct shifts in redox potential, highlighting its anion-sensing capability [70]. Initially, the Fc redox wave was observed at 700 mV vs. Ag/AgCl in methanol with 0.1 M [(CH3)4N][Cl] as the supporting electrolyte. Negative potential shifts were recorded upon adding the anions, with phthalate exhibiting the most significant shift of 275 mV, indicating the strongest binding interaction. Isophthalate and dipicolinate caused shifts of 193 and 168 mV, respectively, reflecting intermediate binding affinities. In contrast, 4-nitrobenzoate showed only a minor potential shift of 49 mV, consistent with its weaker binding. These negative potential shifts are attributed to the electrostatic and hydrogen bonding interactions of the carboxylates with the receptor, leading to supramolecular assembly formation [70]. The significant shift observed for phthalate underscores its strong interaction and highlights the potential of this receptor for selective electrochemical sensing of dicarboxylates in complex environments.
Receptor 79, an ansa-Fc system containing amine groups, exhibited negative potential shifts upon anion binding in acetonitrile (0.1 M [Bu4N][PF6]) [71]. Binding H2PO4− resulted in a potential shift of 136 mV, F− produced a shift of 80 mV, while Cl− generated a smaller shift of 24 mV. Comparatively, weaker shifts were observed for Br− and HSO4−, which caused potential changes of 8 mV and 16 mV, respectively.

Ferrocene–viologen-based redox-active receptors have been employed for selective anion sensing in aqueous environments containing 0.05 M KNO3 as the supporting electrolyte [72]. Cyclic voltammetry and DPV investigations revealed that 80 and 81 exhibit selective recognition of ATP2−. For 80, the Fc/Fc+ redox couple displayed a negative potential shift of 25 mV upon ATP2− addition, attributed to the electrostatic interactions between the hexacationic oxidised form of the receptor and the anion. The viologen moieties are thought to enhance further binding through charge transfer interactions with the electron-rich adenosine group of ATP2−. Receptor 81 exhibited a smaller response for ATP2−, with a shift of 10 mV. Other anions, including HSO4− and S2O42−, induced small shifts (≤20 mV) in 80 and 81 [72].

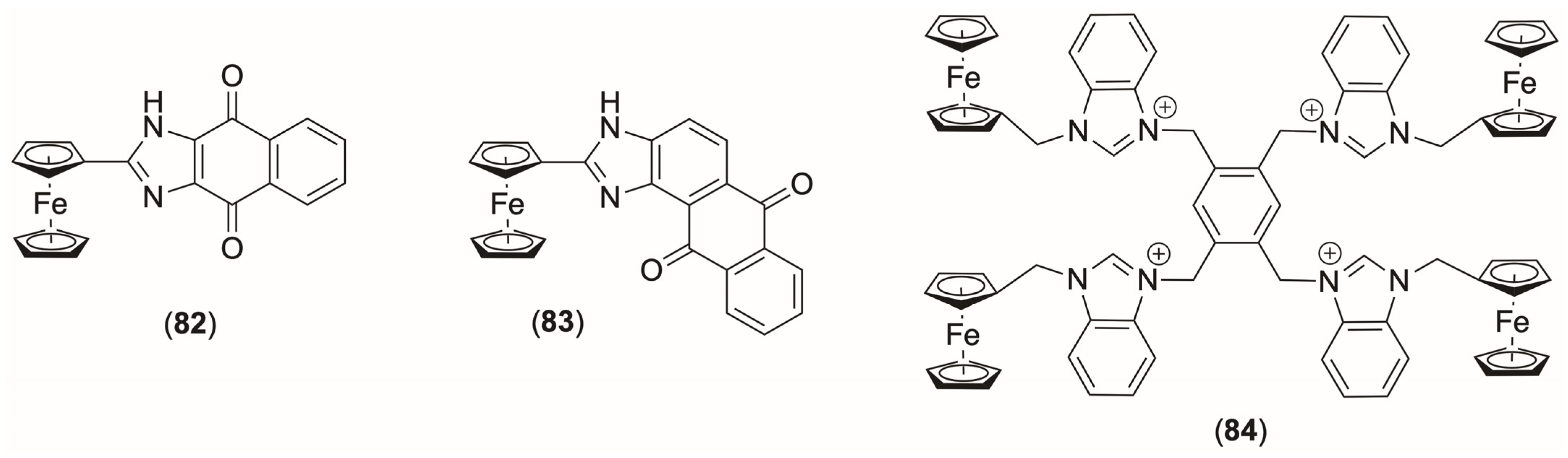
Electrochemical studies of Fc-quinone receptors with imidazole linkages in dimethyl sulfoxide (0.1 M [Bu4N][ClO4]) revealed distinct redox potential shifts for the Fc and quinone groups upon interaction with F− and cyanide (CN−) [73]. For 82, where the imidazole NH is directly attached to the quinone, CN− binding caused a potential shift of 198 mV. Fluoride binding induced smaller potential shifts of 122 mV for the Fc redox moiety. In 83, where the imidazole NH is farther from the quinone, CN− induced potential shifts of 188 mV, while F− caused shifts of 90 mV. These shifts arise from hydrogen bonding interactions at the imidazole NH, which perturb the electron density and influence charge transfer across the receptor.
For 84, bearing four ferrocenyl arms and benzimidazolium moieties, CV studies in acetonitrile (0.1 M [Bu4N][PF6]) revealed distinct potential shifts upon the addition of various anions. Notably, the receptor displayed a negative potential shift of 172 mV upon F− binding and 166 mV for hydroxide (OH−), reflecting a significant interaction mediated by ionic hydrogen bonding. Minor shifts were observed for AcO− (28 mV), Cl− (18 mV), and Br− (18 mV), suggesting weaker binding affinities [28].

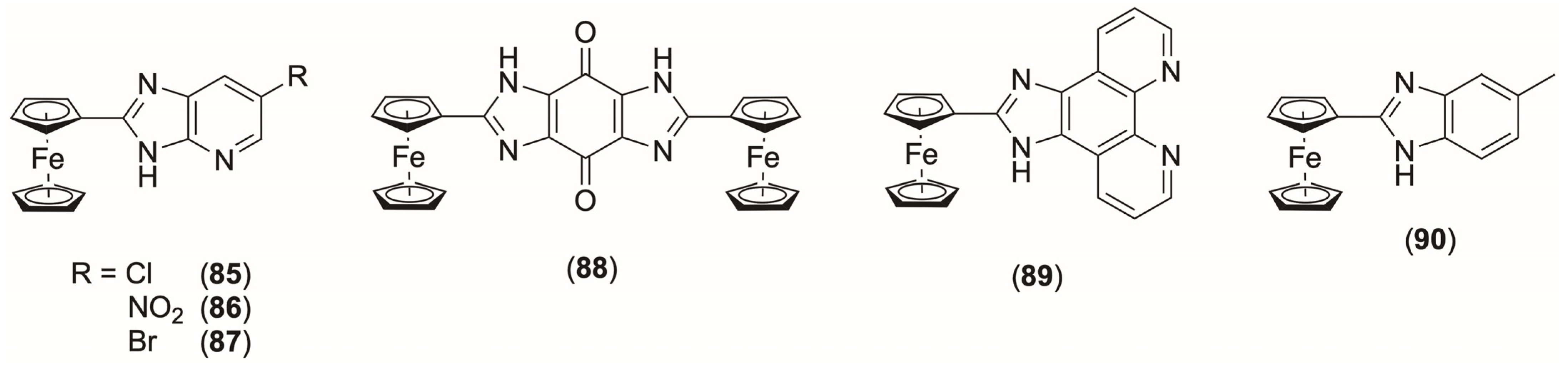
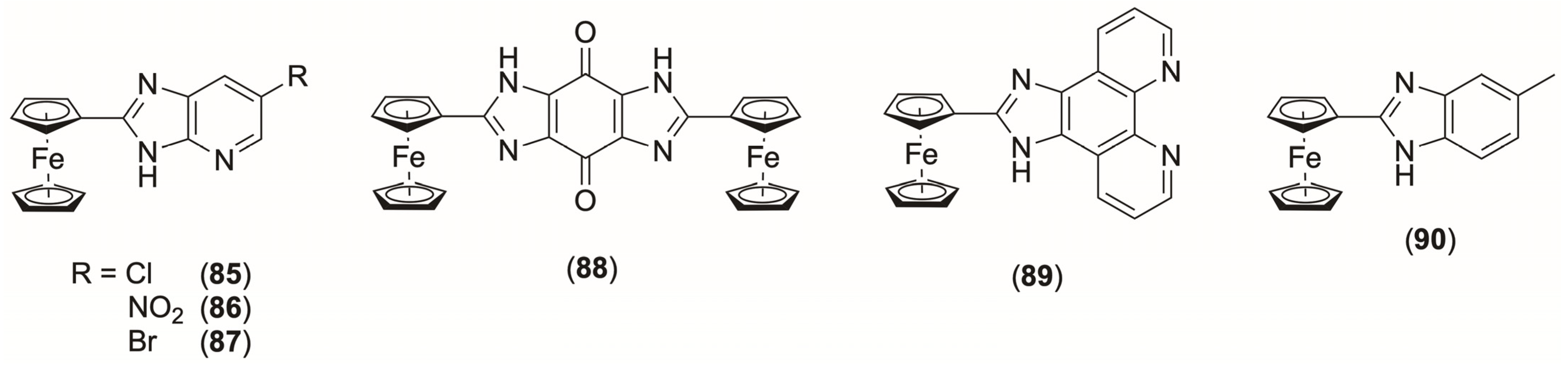
Further investigations on Fc-based imidazole derivatives (85–88) reveal their distinct ability to recognise CN− selectively [74]. Cyclic voltammetry in dimethylformamide with 0.1 M [Bu4N][ClO4] as the supporting electrolyte demonstrated that these receptors exhibit a reversible Fc/Fc+ redox couple, with midpoint potentials of 906 mV (85), 981 mV (86), 982 mV (87), and 897 mV (88) vs. Ag/Ag+. The introduction of CN− ions induced significant negative potential shifts of 269 mV for 85, 154 mV for 86, 81 mV for 87, and 238 mV for 88. These shifts are attributed to hydrogen bonding between the imidazole NH and CN−. Notably, other anions caused minor shifts of 57, 43, 47, and 47 mV to 85 midpoint potential when F−, Cl−, NO3−, or AcO− were added, underscoring the receptors’ specificity for cyanide. The observed “two-wave” behaviour in the presence of CN− further highlights the formation of robust receptor–anion complexes. This complements the earlier findings on Fc-quinone systems, demonstrating the pivotal role of imidazole in facilitating selective and tunable electrochemical responses for anion sensing [74].

Building on the above electrochemical recognition trends, 89 demonstrated selective sensing of F− and P2O74− in acetonitrile with 0.1 M [Bu4N][PF6] as the supporting electrolyte [75]. Cyclic voltammetry revealed a reversible one-electron oxidation at 640 mV vs. DmFc IRS. Adding F− caused a stepwise response: an initial negative potential shift of 70 mV, attributed to hydrogen bonding interactions, followed by a significant shift of 340 mV at higher concentrations, indicating receptor deprotonation. For P2O74−, an initial shift of 110 mV was observed in the presence of acetic acid, suppressing deprotonation and highlighting hydrogen bonding as the primary interaction mode. The shift increased to 340 mV without acetic acid, indicating simultaneous hydrogen bonding and deprotonation. Other anions, including ATP2− and ADP2−, produced smaller shifts of 70 and 40 mV, respectively, in methanol, while H2PO4−, AcO−, Cl−, and NO3− caused negligible responses [75].
Receptor 90, containing an Fc moiety directly attached to 5-methylbenzimidazole, demonstrated selective electrochemical sensing for F− ions. Differential pulse voltammetry studies were conducted in acetonitrile (0.1 M [Bu4N][PF6]). Upon adding F−, a new oxidation peak at 516 mV, accompanied by the gradual decrease of the free receptor’s peak from 675 to 594 mV, was observed [76]. These changes indicate the formation of a fluoride-bound complex and the irreversible nature of the redox process with increasing F− concentrations. Other anions, including Cl−, Br−, H2PO4−, and NO3−, did not cause significant perturbation in the Fc/Fc+ midpoint potential [76].
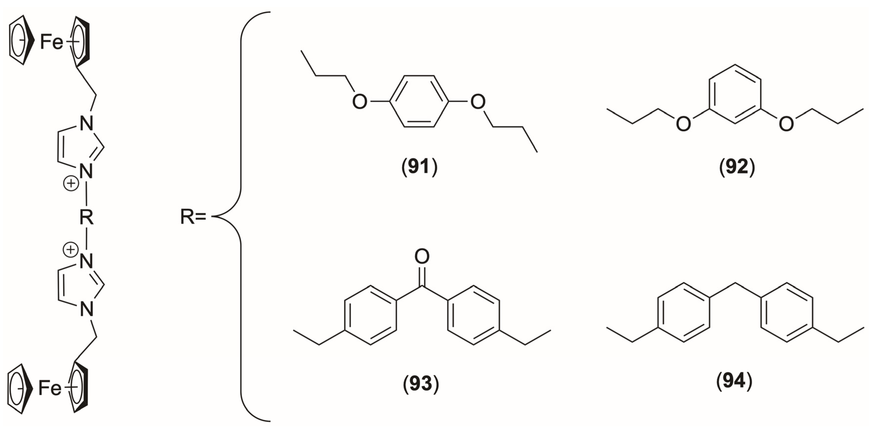
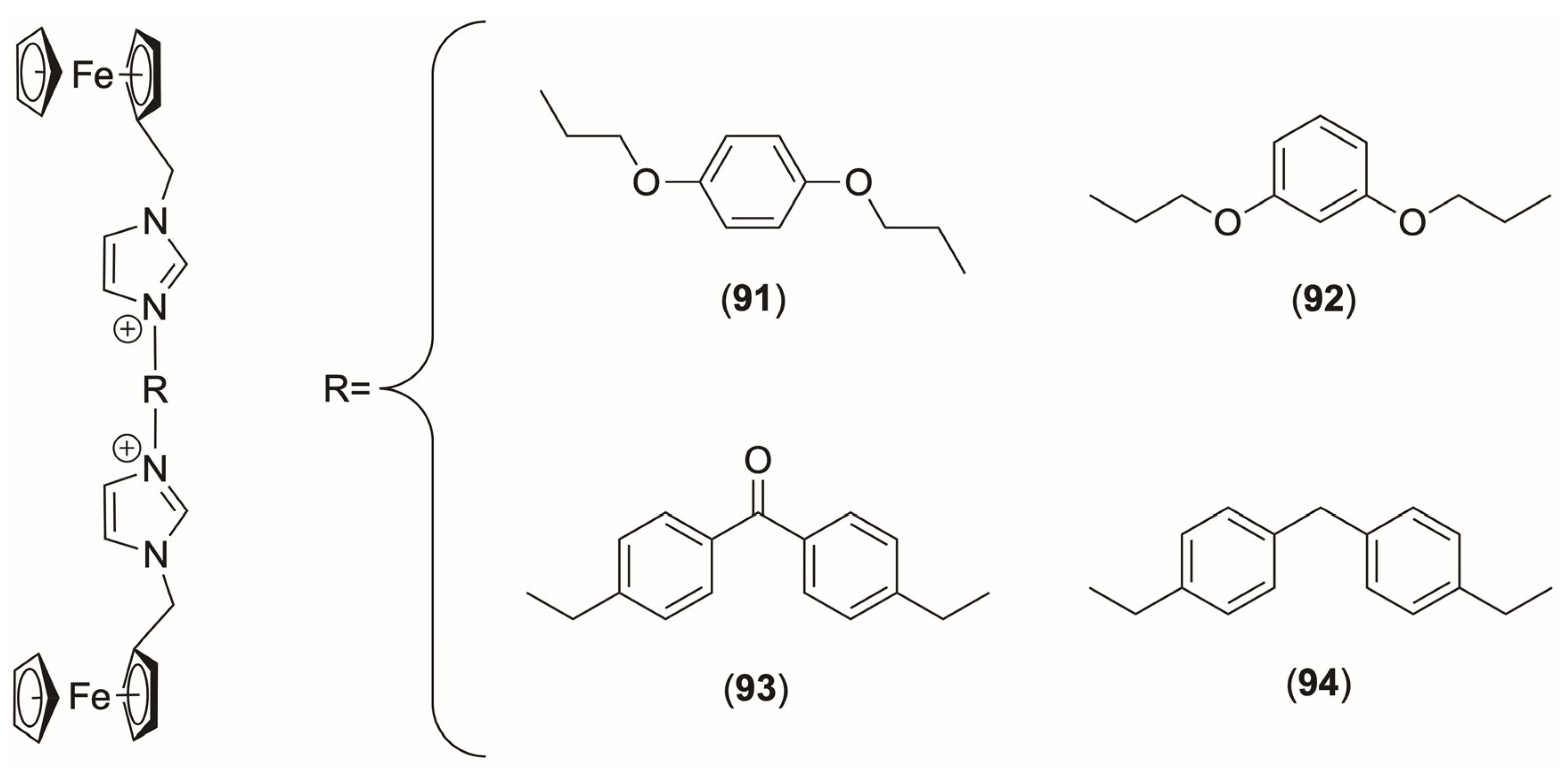
The electrochemical behaviour of acyclic Fc-based imidazolium salts 91–94 further emphasises the role of structural flexibility in anion recognition. Cyclic voltammetry and DPV studies in acetonitrile containing 0.1 M [Bu4N][PF6] as the supporting electrolyte demonstrated reversible Fc/Fc+ redox couples for all receptors, with potential shifts reflecting strong interactions with specific anions [77]. Fluoride exhibited potential shifts of 212, 201, 164, and 168 mV for receptors 91, 92, 93, and 94, respectively. Similarly, AcO− induced 68, 65, 36, and 48 mV shifts. In contrast, shifts for HSO4−, Cl−, I−, and Br− elicited small to negligible responses. The flexible receptors 91 and 92 showed greater sensitivity, attributed to their ability to adjust conformation for optimal hydrogen bonding interactions, compared to the more rigid receptors 93 and 94 [77].

The electrochemical behaviour of 95–99 illustrates the role of spacer length and electrostatic interactions in anion recognition [78]. Cyclic voltammetry and SWV studies in acetonitrile (0.1 M [Bu4N][PF6]) revealed reversible redox processes for all receptors. Among these, F− induced the most significant negative potential shifts of 230 mV, 160 mV, 28 mV, and 12 mV for 95, 96, 97, and 98, respectively. The bis-substituted 99 exhibited a shift of 200 mV for F−, suggesting enhanced anion binding through electrostatic interactions and ion-pair formation with the Fc+ centre. Other anions, including Cl−, Br−, HSO4−, and H2PO4−, caused significantly smaller shifts, generally below 100 mV [78].

The receptor 95 has been reported in an earlier study under identical conditions—acetonitrile (0.1 M [Bu4N][PF6])—alongside the imidazolium-functionalised ferrocene receptors 100 and 101 [79]. All three receptors demonstrated significant electrochemical responses to anions, particularly F−, Cl−, Br−, and HSO4−, through a combination of hydrogen bonding and charge–charge electrostatic interactions. Upon F− addition, notable negative potential shifts of 230 mV for 95, 270 mV for 100, and 300 mV for 101 were observed, indicating strong ion-pair formation and effective redox communication between the ferrocene and imidazolium moieties.
While 95 displayed a consistent and reproducible response to F−, 100 demonstrated a particularly enhanced interaction with Cl−, showing a significant potential shift of 310 mV, compared to smaller shifts observed for 95 (65 mV) and 101 (72 mV). For Br−, all receptors exhibited minimal shifts (e.g., 16 mV for 101 and 12 mV for 95), suggesting weaker interactions. Similarly, HSO4− induced only modest negative potential shifts, typically below 108 mV across all three receptors [79].
These observations highlight the varying affinity of imidazolium-based receptors towards different anions, with the most significant responses observed for F− and Cl−. Furthermore, structural variations, such as the length of alkyl spacers linking the ferrocene core to the imidazolium group, influence solubility (improving with longer spacers), anion-binding strength (decreasing with longer spacers), and electrochemical responsiveness (diminishing with increased spacer length) [78,79].
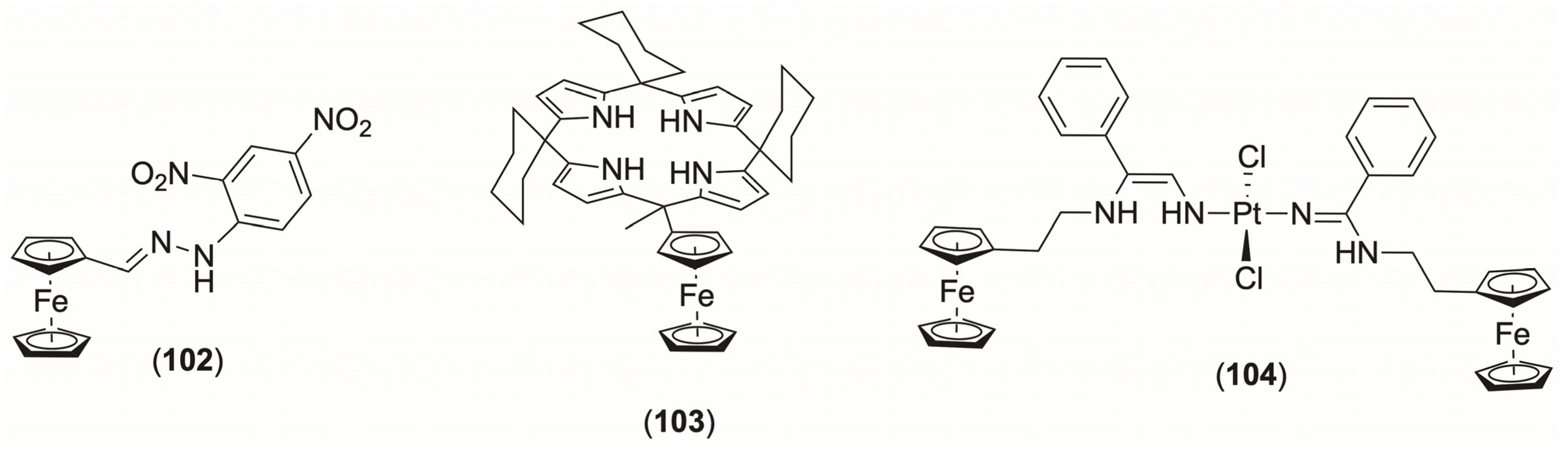
Electrochemical analysis of ferrocene-2,4-dinitrophenylhydrazone, 102, revealed distinct electrochemical responses to AcO− in dimethyl sulfoxide with 0.1 M [Bu4N][PF6] as the supporting electrolyte. Cyclic voltammetry demonstrated a well-defined Fc/Fc+ redox couple, which underwent a negative potential shift upon AcO− addition. Differential pulse voltammetry provided further resolution, showing an 85 mV cathodic shift in the primary oxidation peak, accompanied by the disappearance of a secondary peak. This change reflects the strong binding of AcO− to the hydrazone N–H site, influencing the Fc redox environment. Notably, the interaction with AcO− was selective, as competing anions such as Cl−, Br−, and I− produced negligible shifts [80].

Electrochemical studies of Fc-substituted calix[4]pyrrole 103 demonstrated its potential as an electrochemical sensor for anions [81]. Conducted in a 9:1 acetonitrile–dimethyl sulfoxide solvent mixture with 0.1 M [Bu4N][PF6] as the supporting electrolyte, CV and SWV revealed modest negative potential shifts in the Fc/Fc+ redox couple upon binding various anions. Dihydrogen phosphate induced the most significant shift of approx. 95 mV, followed by F− (76 mV), Cl− (36 mV), and Br− (12 mV). Interestingly, hydrogen sulphate showed no significant potential shift, suggesting minimal interaction. These shifts are attributed to hydrogen bonding interactions between the calix[4]pyrrole NH groups, the Fc cyclopentadienyl CH groups, and the anions [81].
Receptor 104 demonstrates selective electrochemical recognition of H2PO4− [82]. Cyclic voltammetry and SWV experiments were conducted in a 2.5:0.5 acetonitrile–dichloromethane solvent system with 0.1 M [Bu4N][PF6] as the supporting electrolyte. Upon adding H2PO4−, the receptor exhibited a negative potential shift of 90 mV, indicating an interaction between the receptor’s amidine NH groups and the anion. Selectivity tests revealed that the receptor does not exhibit significant potential shifts for other anions, such as HSO4−, F−, and acetate [82].
A series of bis (ferrocenyl) molecular clips with cationic pyridinium units were synthesised for cooperative anion binding and electrochemical sensing [83]. The modular podands included ortho-, meta-, and para-substituted derivatives (105–107) and a more rigid, preorganised three-arm host (108). Electrochemical studies were performed in acetonitrile containing 0.1 M [Bu4N][PF6] as the supporting electrolyte, and upon adding Cl− ions, the flexible meta derivative 106 exhibited a negative potential shift of 64 mV, attributed to a conformational change from a transoid to a cisoid structure. Bromide and NO3− induced shifts of 40 and 20 mV, respectively. Conversely, I− caused negligible changes, indicating weaker interaction. The ortho- and para-derivatives (105 and 107) showed lower electrochemical responses, showing potential shifts of 40 and 28 mV for Br− and 37 and 20 mV for NO3−, respectively. The preorganised host 108 exhibited smaller potential shifts (e.g., 29 mV for Cl−), suggesting limited conformational flexibility and weaker signal transduction despite higher binding affinities [84].

5. Triazolium-Based Receptors
The electrochemical behaviour of 109 highlights its capability for selective anion sensing. Cyclic voltammetry and SWV were carried out in a 1:1 dichloromethane–acetonitrile mixture with 0.15 M [Bu4N][PF6] as the supporting electrolyte [85]. The receptor displayed two distinct oxidation peaks corresponding to its Fc units, with a midpoint potential of 556 mV for the monosubstituted Fc units and 972 mV for the disubstituted ones. Adding oxoanions like H2PO4− and P2O74− induced notable negative potential shifts in both redox peaks. For H2PO4 −, potential shifts of 76 and 327 mV were observed for the monosubstituted and disubstituted Fc units, respectively [85]. Similarly, P2O74− caused shifts of 32 and 252 mV. Sulphate and AcO− also elicited responses, but only the disubstituted Fc showed a shift of 52 mV for SO42− and 65 mV for AcO−. No electrochemical potential changes were observed for F−, Cl−, Br−, or NO3−.

Building on these findings, receptor 110, incorporating two ferrocenyl substituents, demonstrated an even more selective response to P2O74− [86]. Square-wave voltammetry in methanol (0.1 M [Bu4N][ClO4]) revealed a reversible oxidation peak at 630 mV versus Ag/AgCl. Upon the addition of P2O74−, a negative potential shift of 63 mV was observed. In contrast, H2PO4− induced no observable shifts, highlighting the receptor’s high specificity for P2O74− [86].
The Fc-appended aryl triazole 111 exhibits selective electrochemical recognition of phosphate anions, as revealed by CV and DPV studies conducted in dichloromethane (0.1 M [Bu4N][PF6]). The receptor displayed a reversible one-electron process at 200 mV vs. Ag/Ag+ in the absence of anions [87]. Upon binding with H2PO4− and P2O74−, significant negative potential shifts of 200 and 180 mV, respectively, were observed. This behaviour is attributed to hydrogen bonding interactions between the receptor’s triazole C–H and the anions, facilitating electron density transfer to the ferrocenyl centre, making it more prone to oxidation. In contrast, anions such as Cl−, Br−, I−, HSO4−, and NO3− induced no observable redox potential changes [87].
Expanding on the performance of 111, more recent investigations have highlighted the anion sensing capabilities via hydrogen bonding of 112 and halogen bonding of 113 bis-Fc sensors [88]. In acetonitrile containing 0.1 M [Bu4N][ClO4] as the supporting electrolyte, the midpoint potential of 113 shifted by up to 120 mV upon binding with Cl−. Bromide and HSO4− elicited shifts of 56 and 77 mV, respectively. Even in 4:1 acetonitrile–water mixtures (0.1 M [Bu4N][ClO4]), 113 retained its sensitivity, with shifts of 54 mV for Br− and 46 mV for Cl−, underscoring its robustness in mixed solvent systems. In contrast, 112 showed attenuated performance, with a midpoint shift of only 38 mV for Cl− in pure acetonitrile [88].

The non-symmetric Fc-tethered aryl-triazole receptor 114 demonstrates selective electrochemical recognition of H2PO4− [89]. Cyclic voltammetry studies were conducted in acetonitrile with 0.03 M [Bu4N][PF6] as the supporting electrolyte. The receptor showed a midpoint potential of 580 mV vs. DmFc IRS. In the presence of an excess of H2PO4−, the midpoint potential shifted negatively by approximately 101 mV. This shift reflects complexation with H2PO4− and the stabilisation of the oxidised Fc+ form. The slow complexation kinetics observed resulted in distinct free and bound receptor peaks [89]. By contrast, other anions, including HSO4−, Cl−, and NO3−, caused negligible shifts in the redox potential, underscoring the receptor’s poor electrochemical response towards these species. While 114 exhibits selectivity for H2PO4−, the modest potential shifts indicate limited electrochemical sensitivity.
The electrochemical behaviour of Fc-modified boron-dipyrromethane 115 was investigated in acetonitrile with 0.1 M [Bu4N][PF6] as the supporting electrolyte. Targeting halide anions, the sensors exhibited modest negative potential shifts of approximately 30 mV in the Fc/Fc+ redox couple upon Br− binding [27]. The shifts indicate poor electrochemical sensitivity compared to more robust electrochemical sensors, as the observed potential change is minimal. While the sensors demonstrate significant potential for fluorescence-based spectroscopic analysis due to their redox-modulated optical responses, their electrochemical performance is suboptimal and may limit their standalone application for anion sensing from an electrochemical perspective.
Cyclic voltammetry studies of 116 conducted in acetonitrile with 0.1 M [Bu4N][PF6] as the supporting electrolyte revealed a positive potential shift of 380 mV in the Fc/Fc+ redox couple compared to free Fc, attributed to the electron-withdrawing effect of the triazolium groups [90]. Upon Cl− binding, a negative potential shift of 25 mV was observed in the 116 oxidation potential, increasing to 40 mV with excess Cl−. In contrast, Bz− binding resulted in precipitation, inhibiting further electrochemical characterisation [90].

6. Carboxylic-Based Receptors
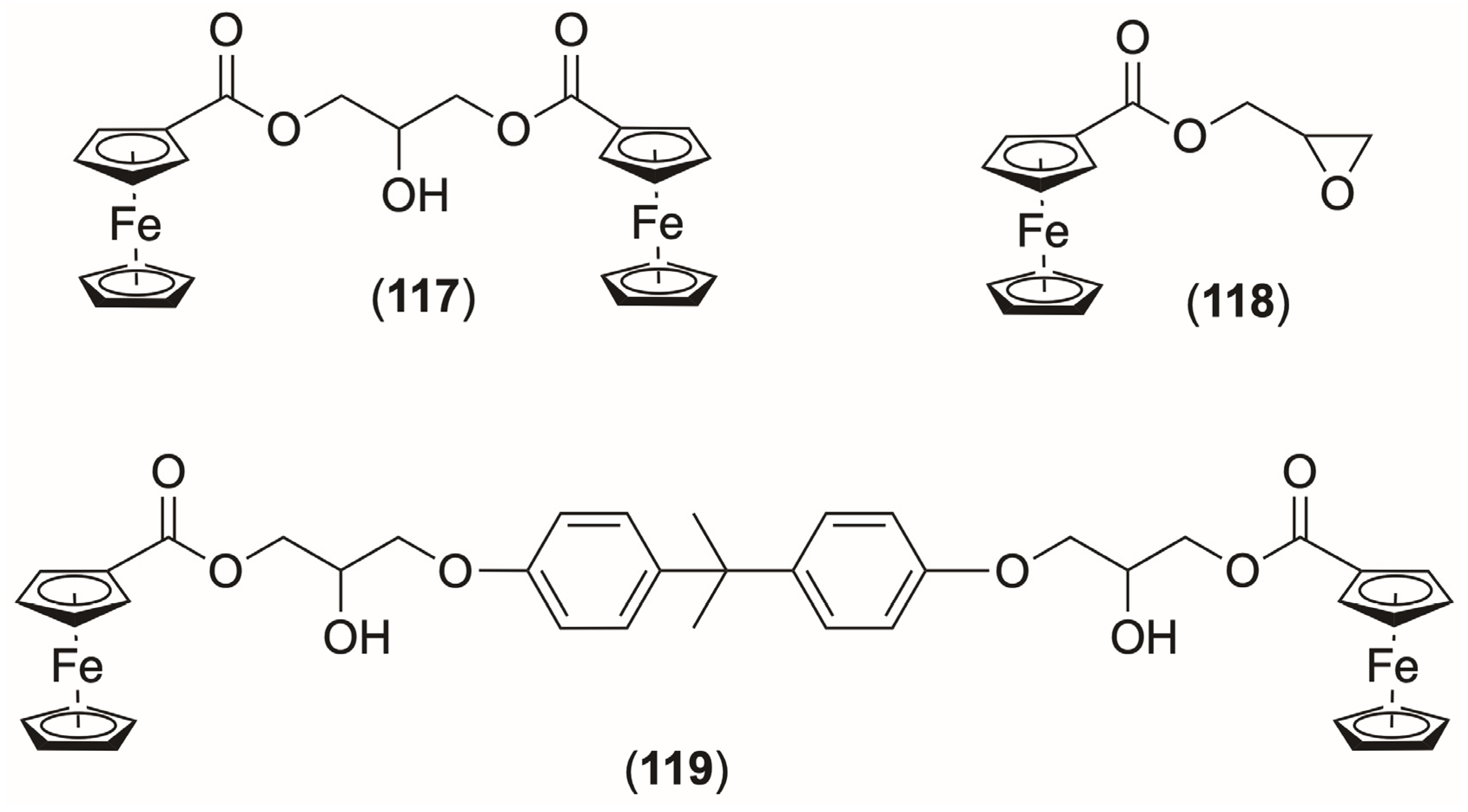
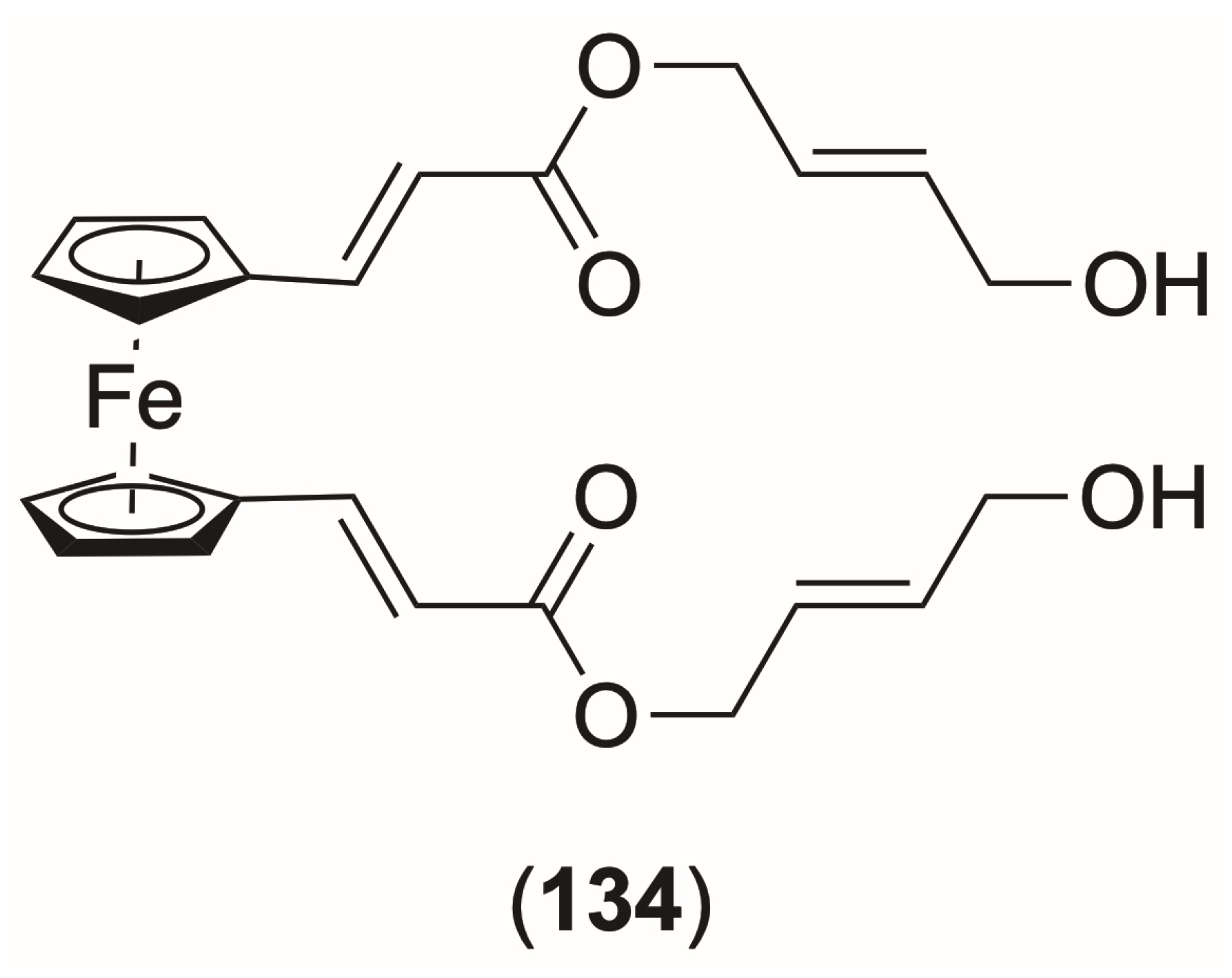
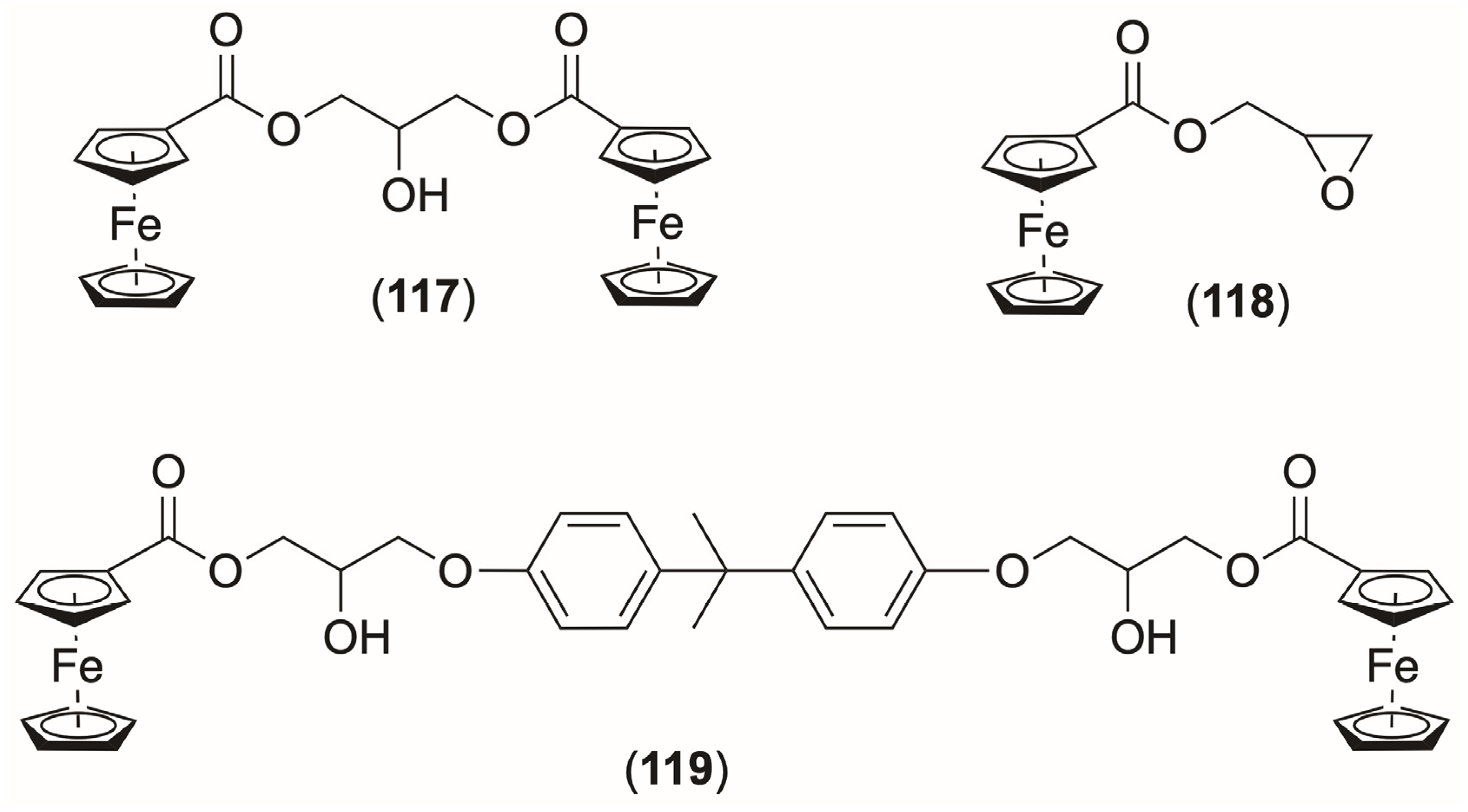
Carboxylic groups, while capable of forming hydrogen bonds with anions via their oxygen atoms, often show weaker interactions than other functional groups such as amines or amides. This limitation is evident in the electrochemical performance of Fc-based compounds like 1,3-diferrocenecarboxylic acid diacylglycerol (117) and glycidyl ester of Fc carboxylate 118. In experiments using dichloromethane with 0.1 M [Bu4N][BF4] as the supporting electrolyte, both compounds demonstrated suboptimal responses to H2PO4− during cyclic voltammetry measurements [91]. For 117, a modest oxidation potential shift of 33 mV was observed as the H2PO4− concentration reached one equivalent. This minor shift highlights its poor binding performance. In comparison, amine- and amide-based receptors in the same solvent system have been shown to exhibit potential shifts exceeding 200 mV due to stronger and more specific hydrogen-bonding interactions (see above). The performance of 118 was even more limited, with negligible potential shifts and a decrease in current intensity attributed to weak hydrogen bonding and the precipitation of the compound onto the electrode surface.

Receptor 119 demonstrated electrochemical selectivity in recognising H2PO4− [92]. Cyclic voltammetry studies in dichloromethane with 0.01 M [Bu4N][BF4] as the supporting electrolyte revealed a significant negative potential shift of 390 mV upon adding H2PO4−. The shift was explained by the Kaifer–Echegoyen model, where the association constant for Fc+ is significantly higher than that of Fc, favouring anion binding [92].
7. Lewis Acids-Based Receptors
The electrochemical behaviour of silicon- and tin-containing ferrocenophanes and related derivatives was explored to evaluate their ability to recognise anions, particularly Cl−, F−, and H2PO4−. The experiments conducted in acetonitrile or dichloromethane with tetrabutylammonium salts as supporting electrolytes revealed that the substituents on the tin centres strongly influenced anion sensitivity [93]. Among the derivatives, the chloro-substituted ferrocenophane 120 exhibited the most promising electrochemical performance, with negative potential shifts of 130 mV for Cl−, 210 mV for F−, and 480 mV for H2PO4−. Notably, 120 maintained structural integrity and resisted chemical decomposition during oxidation, making it a strong candidate for selective anion sensing applications.
The fluoro-substituted ferrocenophane 121 showed moderate negative potential shifts of 100 mV for Cl− and 180 mV for F−. However, it suffered from irreversible chemical reactions in the presence of H2PO4−, limiting its utility [93]. The chlorostannyl-substituted derivative 122 demonstrated notable shifts of 220 mV for Cl− and 560 mV for H2PO4−, highlighting its high sensitivity to phosphate ions. In contrast, the phenyl-substituted 123 showed negligible sensitivity to all tested anions and other derivatives.
Despite 120 promising sensitivity to H2PO4−, its response to Cl− and F− remains modest compared to simpler Fc derivatives, such as bis (phosphine) or urea-functionalised systems, which often exhibit negative potential shifts exceeding 200 mV.

The electrochemical properties of 124 were evaluated for selective F− recognition in methanol–water mixtures and aqueous solutions [94]. The measurements, performed using CV with a glassy carbon electrode and Ag/AgCl reference electrode, demonstrated a strong interaction between the Lewis acidic centre and the F− ion, which acts as a Lewis base. This interaction is mediated by a shift from sp2 to sp3 hybridisation at the boron centre upon F− binding. The redox potential of 124 shifted significantly upon the addition of F−. In a methanol–water mixture, the negative potential shift was approximately 90 mV, while in a pure aqueous solution, the potential shift reached 175 mV. Other anions, such as Cl− and Br−, caused negligible potential changes even at high concentrations, and SO42− produced only a small perturbation [94].
The bis (ferrocenyltellurotriazole) receptor 125 demonstrated robust anion sensing capabilities through chalcogen bonding, modulated by the Fc/Fc+ redox couple [95]. Cyclic voltammetry studies in acetonitrile (0.1 M [Bu4N][PF6]) revealed substantial negative potential shifts upon interaction with various anions. For instance, H2PO4− induced the most significant negative potential shift of 217 mV, followed by Cl− (157 mV) and Br− (133 mV). The sensitivity of 125 was diminished in 9:1 acetonitrile-H2O mixtures, with maximum shifts of 81 mV for H2PO4− and 42 mV for Br−.
The electrochemical behaviour of Fc-modified boron-dipyrromethane 126 was investigated in acetonitrile with 0.1 M [Bu4N][PF6] as the supporting electrolyte. Targeting halide anions, the sensors exhibited modest negative potential shifts of approximately 30 mV in the Fc/Fc+ redox couple upon Br− binding [27]. The shifts indicate poor electrochemical sensitivity compared to more robust electrochemical sensors, as the observed potential change is minimal.
The bidentate bis(boronate) Fc-based Lewis acid 127 exhibits distinct electrochemical behaviour upon F− binding [96]. Cyclic voltammetry studies conducted in dichloromethane with 0.1 M [Bu4N][PF6] as the supporting electrolyte revealed that the free receptor shows a midpoint potential at 206 mV vs. Fc/Fc+ IRS. Upon adding two equivalents of F−, the midpoint potential shifted positively by 146 mV, reflecting the stabilisation of the oxidised ferrocenium state due to fluoride complexation at the boronate centres. Importantly, no significant potential shifts were observed with other anions, such as Cl−, Br−, I−, BF4−, PF6−, H2PO4−, HSO4−, or NO3− [96].
Receptor 128 was developed for saccharide recognition, featuring a diboronic acid Fc framework with a hexamethylene linker [97]. Differential pulse voltammetry was employed to investigate the electrochemical behaviour of 128 in an aqueous methanolic buffer (52.1 wt% methanol, pH 8.21) in the presence of D-glucose. After adding D-glucose, the Fc oxidation potential exhibited a positive potential shift of 84 mV. The shift is attributed to saccharide binding through boronic acid–diol interactions, which reduce electron density on the Fc core, stabilising the redox process [97]. Similarly, the chiral ferrocenylboronic acid receptor 129 was designed for saccharide recognition and tested using normal pulse voltammetry in phosphate buffer (0.1 M, pH 7.0) [98]. Upon binding D-sorbitol, the oxidation potential shifted in the negative direction by 42 mV, demonstrating the receptor’s sensitivity to saccharide binding.

8. Detection of Neutral Molecules
Neutral molecules present a distinct category of analytes for electrochemical sensing due to their ability to interact with receptors under specific conditions. These interactions often rely on transformations that render the molecule more detectable, such as protonation, oxidation, or other chemical modifications. In the case of protonation, the neutral molecule is converted into an ionic species, which can then engage in electrostatic or hydrogen-bonding interactions with redox-active receptors. This approach enables selective recognition by shifts in redox potentials. Ferrocene-based receptors’ tunable redox properties and versatile binding sites are particularly effective for detecting such molecules in their neutral state or after undergoing a chemical transformation that enhances receptor interactions.
One example is 130, designed to detect amino acid ester salts such as Gly-OMe·HCl, Ala-OMe·HCl, and related species. In their free form, these molecules are neutral, but upon protonation to form ammonium cations (e.g., Gly-OMe·H+), they engage with the receptor cavity via hydrogen bonding and electrostatic interactions [99]. Cyclic voltammetry studies in acetonitrile with 0.1 M [Bu4N][ClO4] revealed that coordination with Cu(I) cations significantly enhanced receptor pre-organisation, stabilising its conformation for optimal binding. The Cu(I) complex of the receptor, which exhibited an initial oxidation potential of 77 mV vs. Ag/Ag+, showed positive shifts upon interaction with amino acid ester salts. The shifts were 31 mV for Gly-OMe·HCl, 24 mV for Ala-OMe·HCl, 35 mV for Val-OMe·HCl, 17 mV for Leu-OMe·HCl, 20 mV for Ile-OMe-HCl, 30 mV for Thr-OMe·TosOH, 30 mV for Tle-OMe·TosOH, and 21 mV for Nva-OMe·TosOH. Meanwhile, negative potential shifts in the Fc/Fc+ redox couple were observed for the Fc moiety upon complexation, with values of 22 mV for Gly-OMe·HCl, 18 mV for Ala-OMe·HCl, 21 mV for Val-OMe·HCl, 26 mV for Leu-OMe·HCl, 23 mV for Thr-OMe·TosOH, 24 mV for Tle-OMe·TosOH, and 22 mV for Nva-OMe·TosOH [99].

The electrochemical behaviour of receptors 131–133 was studied to assess their redox responses to complexation with neutral molecules, using CV in dichloromethane with 0.1 M [Bu4N][ClO4] as the supporting electrolyte [100]. Receptors 131 and 132, both 1,1′-disubstituted amidopyridyl derivatives, exhibited formal potentials of 440 and 400 mV, respectively, vs. Fc/Fc+ internal reference system. Upon complexation with ethyleneurea, receptor 131 showed a negative potential shift of 60 mV, while trimethyleneurea caused a shift of 50 mV, and barbital shifted the potential by 35 mV. Similarly, receptor 133 showed a negative potential shift of 35 mV for barbital binding, with smaller or negligible shifts for other guests.

Receptor 133, which features a single amidopyridyl group, exhibited smaller shifts of 30 and 25 mV upon complexation with ethyleneurea and trimethyleneurea, respectively [100]. The reduced response compared to receptors 131 and 133 highlights the importance of dual hydrogen bonding arms for enhancing redox perturbation and guest binding.
The application of receptors 131 and 133 was extended to evaluate their interaction with neutral carboxylic acids [101]. To this end, CV experiments were conducted in dichloromethane with 0.1 M [Bu4N][ClO4] as the supporting electrolyte. Upon binding to monocarboxylic acids such as butyric acid, heptanoic acid, and decanoic acid, 133 showed a negative potential shift of 20, 20, and 25 mV, respectively. In contrast, 131 showed shifts of 60, 55, and 55 mV, reflecting the proportionality of the redox response to the number of hydrogen bonds formed. With glutaric acid (a dicarboxylic acid), 133 displayed a negative potential shift of 20 mV, while 131 exhibited a significantly larger shift of 85 mV. These findings suggest that receptors 131 and 133 exhibit slightly superior sensitivity and selectivity for carboxylic acids compared to barbituric derivatives, likely due to the stronger hydrogen bonding interactions and the proximity of the carboxylic acid guests to the Fc core.
Receptor 134 exhibited distinct electrochemical behaviour upon binding unprotected amino acids, with significant shifts in the redox potential [102]. In a 55:45 acetonitrile–H2O solvent system at pH 7.2 with 0.1 M [Bu4N][ClO4] as the supporting electrolyte, the free receptor displayed a reversible redox wave at 664 mV vs. Ag/Ag+. Upon complexation, negative potential shifts were observed for different amino acids; aspartic acid caused a shift of 82 mV, glutamic acid shifted the potential by 98 mV, glycine shifted by 80 mV, and lysine resulted in a shift of 69 mV. These shifts reflect the receptor’s ability to form stable complexes with amino acids through multipoint interactions, particularly favouring anionic amino acids. This is evidenced by more significant shifts for aspartic acid and glutamic acid.

9. Critical Evaluation of Anion-Specific Receptor Performance and Structural Implications
We have examined diverse Fc-based electrochemical sensors designed to recognise and bind different anions, showcasing their utility and adaptability. A critical analysis of these systems allows us to highlight the most promising receptors for each anion based on their electrochemical performance, specifically the magnitude of the potential shift observed upon anion binding. The structural features underpinning these performances further elucidate design principles for optimising receptor efficacy.
For H2PO4−, which has garnered significant attention due to its biological and environmental importance, the most effective receptors are 122, exhibiting the highest potential shift of 560 mV; 120, with a shift of 480 mV; and 58, displaying a significant shift of 470 mV. While receptor 122 demonstrates the best redox performance due to its highly optimised functionalisation and multidentate binding sites, its structural complexity and synthesis requirements may limit its broader applicability. Receptor 120, with slightly lower performance, offers a more streamlined design, balancing effectiveness and simplicity. In contrast, receptor 58 provides a competitive redox response with a relatively straightforward structure, relying on quaternary ammonium groups for enhanced ion-pairing interactions. These examples illustrate that while increased structural complexity often correlates with improved sensing capabilities, there is value in achieving a balance between structural sophistication and practical feasibility.
For F−, a widely studied anion due to its environmental and industrial relevance, the most effective receptors include 16 (230 mV), 14 (220 mV), 38 (216 mV), 95 (230 mV), 100 (270 mV), and 101 (300 mV). Among these, the imidazolium-functionalised receptors (95, 100, and 101) exhibit the most pronounced redox shifts, highlighting their exceptional affinity for F−. Receptor 101 has the highest shift (300 mV), indicating robust ion-pair formation and redox communication. Receptor 100 follows closely with a shift of 270 mV, while 95 matches receptor 16 with a shift of 230 mV, reinforcing its reliability in F− sensing. Comparatively, receptor 16 achieves a significant redox shift through optimised hydrogen-bonding interactions and ion-pairing capacity, while 14 offers a practical alternative with a more straightforward structure. Receptor 38 balances moderate structural complexity with effective hydrogen bonding, ensuring selective F− recognition.
For Cl−, notable for its importance in biological systems, the top-performing receptors are 100 (310 mV), 122 (220 mV), 125 (157 mV), and 120 (103 mV). Receptor 100 achieves the highest potential shift, significantly surpassing other receptors in redox response and demonstrating exceptional selectivity and binding affinity for Cl−. This remarkable performance is attributed to the strong electrostatic and hydrogen-bonding interactions facilitated by the imidazolium moiety. Receptor 122, while slightly less effective, still showcases excellent selectivity and binding due to its highly functionalised design. Receptor 125 provides a competitive redox response with a less complex synthesis process, and 120, with its streamlined structure, offers an ideal balance between performance and practicality for Cl− detection.
For Br−, the leading receptors include 125 (133 mV), 26 (85 mV), and 31 (57 mV). Receptor 125 demonstrates superior performance, benefiting from its optimised hydrogen bonding and structural adaptability. Receptor 26 achieves a slightly lower shift but maintains a practical and scalable design, while receptor 31 offers modest sensitivity but stands out for its simplicity and ease of synthesis.
For HSO4−, receptors 27 (150 mV), 95 (108 mV), 113 (77 mV), and 3 (50 mV) represent the most effective options. Receptor 27 exhibits the highest shift, driven by its dual hydrogen-bonding functionality and structural complementarity. Receptor 95 follows with a notable shift of 108 mV, highlighting the strong electrostatic interactions facilitated by the imidazolium moiety. Receptor 113 provides a moderate shift with robust halogen bonding capabilities, while receptor 3 balances selectivity and simplicity, making it suitable for general sensing applications.
For SO42−, the best receptors are 66 (34 mV) and 64 (30 mV). Although the potential shifts are smaller, these receptors excel in acidic conditions, where their protonated forms enhance electrostatic and hydrogen-bonding interactions. Receptor 66, in particular, demonstrates slightly superior performance in maintaining selectivity under these conditions.
For P2O7⁴−, key receptors include 109 (252 mV), 111 (180 mV), and 89 (110 mV). Receptor 109 provides the most significant redox shift due to its ability to stabilise the high-charge-density anion through strong hydrogen bonding. Although slightly less effective, receptor 111 balances performance and synthesis feasibility, while receptor 89 offers competitive sensing capabilities for applications in biological environments.
For AcO−, the most effective receptors are 102 (85 mV), 91 (68 mV), 92 (65 mV), and 109 (65 mV). Receptor 102 exhibits the highest sensitivity, attributed to its robust hydrogen-bonding interactions at the hydrazone site. Receptors 91 and 92 provide similar performance, showcasing their flexibility and adaptability for acetate sensing. Receptor 109 adds further versatility with its dual hydrogen bonding capability.
For CN−, a critical anion for industrial and environmental monitoring, the leading receptors are 85 (269 mV), 88 (238 mV), and 82 (198 mV). Receptor 85 achieves the highest shift, reflecting its exceptional binding interactions mediated by hydrogen bonding and receptor deprotonation. Receptor 88 also demonstrates strong redox performance, with receptor 82 offering a competitive alternative for selective cyanide detection.
For ATP2−, a biologically significant anion, the top receptors are 58 (280 mV), 19 (180 mV), 17 (160 mV), and 18 (160 mV). Receptor 58 stands out with its remarkable redox shift, attributed to its quaternary ammonium groups and enhanced ion-pairing interactions. Receptor 19, while less sensitive, offers a robust design optimised for ATP2− recognition. Receptors 17 and 18 provide moderate shifts, balancing performance with synthetic simplicity.
The structural implications for receptor performance are profound, as the binding cavity’s geometry, functional group arrangement, and preorganisation influence selectivity and sensitivity. Receptors with rigid, preorganised structures tend to show greater redox potential shifts due to reduced entropic penalties upon binding. However, the experimental data above reveal that more straightforward, less preorganised systems, such as 102 for acetate or 58 for ATP2−, can still achieve significant shifts through optimised hydrogen bonding and functional group placement. This suggests that while preorganisation is beneficial, receptor performance can be enhanced by strategically incorporating flexible or multifunctional binding sites. Furthermore, incorporating hydrogen-bonding groups, electrostatic interaction sites, or transition-metal centres enhances the binding strength, translating to more significant redox potential shifts. By critically evaluating these systems, we underscore the importance of tailoring receptor architecture to maximise binding affinity and electrochemical response for targeted applications. This updated analysis further highlights that structural adaptability, such as in receptors 85 and 88 for cyanide, can be equally crucial as rigid preorganisation in achieving strong anion recognition. This analysis highlights high-performing receptors and offers insights for future receptor design, emphasising the synergy between structure and function in Fc-based anion and neutral molecule sensors.
The electrochemical performance of Fc-based receptors shows significant variation depending on the solvent environment, with systems in organic solvents typically exhibiting larger potential shifts upon analyte binding compared to aqueous systems. This phenomenon can be attributed to differences in dielectric constant, hydrogen-bonding capabilities, and solvation effects between these media [103,104,105]. Organic solvents, with their relatively low dielectric constants, reduce the stabilisation of charged species and enhance the electrostatic interactions between the receptor and the analyte, resulting in more pronounced potential shifts. Conversely, the high dielectric constant of water and its ability to form extensive hydrogen-bonding networks often mitigate receptor–anion interactions, leading to smaller shifts in aqueous systems.
Moreover, solvation effects are less disruptive in organic solvents, allowing the receptor’s functional groups to interact more directly with the target analyte. In contrast, aqueous environments introduce competing interactions between the solvent and both the receptor and the analyte, which diminishes the binding strength and alters the electrochemical response. The structural preorganisation of receptors plays a pivotal role in mitigating these solvent-dependent effects. Receptors with rigid, hydrophobic frameworks or those designed to minimise water disruption—such as those incorporating macrocyclic or supramolecular architectures—tend to perform better in aqueous systems, although their potential shifts remain smaller than in organic media. For example, receptor 64 for SO42− and 109 for P2O7⁴− demonstrate how supramolecular architectures mitigate water-induced disruptions and improve sensitivity in aqueous conditions. This dichotomy highlights the need for careful solvent selection and receptor design tailored to the intended sensing application and operating conditions.
10. Conclusions and Future Perspectives
This review demonstrates that Fc-based electrochemical sensors are invaluable for detecting diverse chemical species due to their exceptional redox properties, structural versatility, and adaptability to various sensing environments. While significant progress has been made in cation sensing, we have highlighted the substantial and growing potential of Fc-based sensors for neutral and anionic species. These analytes present unique challenges—including weak interactions, high hydration enthalpies (for anions), and the absence of formal charge (for neutral molecules)—that require innovative design strategies, such as advanced functionalisation and tailored molecular architectures, to enhance selectivity and sensitivity.
By examining detailed examples such as quaternary ammonium-functionalised Fc receptors like 58 for H2PO4− recognition (which exhibited a significant potential shift of 470 mV) and macrocyclic frameworks like receptor 27 for HSO4− detection (a potential shift of 150 mV observed after anion binding), this study underscores the versatility of Fc-based systems in selective anion recognition. We also discussed how solvent environments influence sensor behaviour, with organic solvents typically enhancing receptor–analyte interactions compared to aqueous systems. Electrochemical techniques like CV and SWV play pivotal roles in elucidating sensor responses, driving further refinement of sensor designs. Furthermore, we emphasised that while rigid, preorganised receptors often demonstrate enhanced performance, flexible systems like 102 for AcO− detection (85 mV shift) and 58 for ATP2− recognition (280 mV shift) highlight the potential of adaptable architectures in diverse environments.
However, despite significant advancements, several key challenges and research gaps must be addressed to unlock their full potential for real-world applications. One key challenge is achieving selectivity in complex matrices, where competing ions or analytes can significantly interfere with sensor performance. Innovative receptor architectures incorporating dual hydrogen-bonding sites or ion-pairing mechanisms offer promising solutions, but further optimisation is required to enhance selectivity and reproducibility. Another significant limitation is the underexplored influence of solvents on the redox behaviour of Fc receptors. The differences in solvation effects between the neutral Fc and oxidised Fc+ forms are not fully understood, yet they play a crucial role in defining sensor performance. Additionally, the transition from organic to aqueous environments remains challenging. Many Fc-based receptors exhibit reduced efficacy in aqueous systems due to solubility issues and competing interactions with water molecules. Developing receptor frameworks tailored explicitly for aqueous sensing environments remains a pressing need. Integrating Fc-based receptors into practical sensor devices also presents an ongoing hurdle. Despite the promising proof-of-concept studies, translating these systems into portable, field-deployable platforms requires advancements in fabrication techniques, sensor stability, and response consistency. Moreover, dynamic range and detection limits are often overlooked in current studies. While high sensitivity is frequently reported, a broader dynamic range and defined practical detection limits are essential for real-world applications.
Future research should prioritise diversifying the structural architectures of Fc-based receptors and refining their performance under complex, competitive conditions. Emphasising the synergy between structural preorganisation and functional adaptability will be pivotal in achieving unparalleled selectivity and sensitivity. By advancing the understanding of solvent effects, redox mechanisms, and receptor-analyte interactions, Fc-based systems have the potential to redefine the landscape of electrochemical sensing, addressing critical challenges in biological, industrial, and environmental domains while solidifying their role as indispensable tools in modern analytical science.
Author Contributions
Conceptualization, A.A.J.T., A.M.T., K.T.M. and A.K.V.M.; methodology, A.A.J.T., A.M.T., K.T.M. and A.K.V.M.; software, A.A.J.T., A.M.T. and K.T.M.; validation, A.A.J.T., A.M.T., K.T.M. and A.K.V.M.; formal analysis, A.A.J.T., A.M.T., K.T.M. and A.K.V.M.; investigation, A.A.J.T., A.M.T., K.T.M. and A.K.V.M.; resources, A.A.J.T., A.M.T., K.T.M. and A.K.V.M.; data curation, A.A.J.T., A.M.T., K.T.M. and A.K.V.M.; writing—original draft preparation, A.A.J.T.; writing—review and editing, A.A.J.T., A.M.T., K.T.M. and A.K.V.M.; visualization, A.A.J.T., A.M.T., K.T.M. and A.K.V.M.; supervision, A.A.J.T.; project administration, A.A.J.T. All authors have read and agreed to the published version of the manuscript.
Funding
This research received no external funding.
Data Availability Statement
Not applicable.
Conflicts of Interest
The authors declare no conflicts of interest.
References
- Fabbrizzi, L. The ferrocenium/ferrocene couple: A versatile redox switch. ChemTexts 2020, 6, 22. [Google Scholar] [CrossRef]
- Togni, A.; Hayashi, T. Ferrocenes: Homogeneous Catalysis, Organic Synthesis, Materials Science; Wiley: Hoboken, NJ, USA, 2008. [Google Scholar]
- Bayly, S.R.; Beer, P.D.; Chen, G.Z. Ferrocene Sensors. In Ferrocenes: Ligands, Materials and Biomolecules; Stepnicka, P., Ed.; John Wiley & Sons: Chichester, UK, 2008; pp. 281–318. [Google Scholar]
- Casado, C.M.; Alonso, B.; García-Armada, M.P. 7.02—Ferrocenes and Other Sandwich Complexes of Iron. In Comprehensive Organometallic Chemistry IV; Parkin, G., Meyer, K., O’hare, D., Eds.; Elsevier: Oxford, UK, 2022; pp. 3–45. [Google Scholar]
- Hein, R.; Beer, P.D. 14.12—Organometallic Receptors for Charged and Neutral Guest Species. In Comprehensive Organometallic Chemistry IV; Parkin, G., Meyer, K., O’hare, D., Eds.; Elsevier: Oxford, UK, 2022; pp. 418–462. [Google Scholar]
- Zanello, P. Electrochemical and X-ray Structural Aspects of Transition Metal Complexes Containing Redox-Active Ferrocene Ligands. In Ferrocenes: Homogeneous Catalysis, Organic Synthesis, Materials Science; Togni, A., Hayashi, T., Eds.; VCH Publishers: New York, NY, USA, 1995. [Google Scholar]
- Stepnicka, P. (Ed.) Ferrocenes: Ligands, Materials and Biomolecules; John Wiley & Sons, Ltd.: Chichester, UK, 2008. [Google Scholar]
- Togni, A.; Hayashi, T. (Eds.) Ferrocenes: Homogeneous Catalysis, Organic Synthesis, Materials Science; VCH Publishers: New York, NY, USA, 1995. [Google Scholar]
- Beer, P.D.; Gale, P.A.; Chen, G.Z. Electrochemical molecular recognition: Pathways between complexation and signalling. J. Chem. Soc. Dalton Trans. 1999, 1897–1910. [Google Scholar] [CrossRef]
- Osakada, K.; Sakano, T.; Horie, M.; Suzaki, Y. Functionalized ferrocenes: Unique properties based on electronic communication between amino group of the ligand and Fe center. Coord. Chem. Rev. 2006, 250, 1012–1022. [Google Scholar] [CrossRef]
- Torriero, A.A.J.; Mruthunjaya, A.K.V. Ferrocene-Based Electrochemical Sensors for Cations. Inorganics 2023, 11, 472. [Google Scholar] [CrossRef]
- Pal, A.; Ranjan Bhatta, S.; Thakur, A. Recent advances in the development of ferrocene based electroactive small molecules for cation recognition: A comprehensive review of the years 2010–2020. Coord. Chem. Rev. 2021, 431, 213685. [Google Scholar] [CrossRef]
- Liu, Y.; Li, J.; Yin, D. Progress of Ferrocene-Based Metal Cation Recognition Receptor. Chin. J. Org. Chem. 2021, 41, 158–170. [Google Scholar] [CrossRef]
- John, A.; Benny, L.; Cherian, A.R.; Narahari, S.Y.; Varghese, A.; Hegde, G. Electrochemical sensors using conducting polymer/noble metal nanoparticle nanocomposites for the detection of various analytes: A review. J. Nanostruct. Chem. 2021, 11, 1–31. [Google Scholar] [CrossRef]
- Bagyalakshmi, S.; Sivakami, A.; Pal, K.; Sarankumar, R.; Mahendran, C. Manufacturing of electrochemical sensors via carbon nanomaterials novel applications: A systematic review. J. Nanopart. Res. 2022, 24, 201. [Google Scholar] [CrossRef]
- Wang, G.; Morrin, A.; Li, M.; Liu, N.; Luo, X. Nanomaterial-doped conducting polymers for electrochemical sensors and biosensors. J. Mater. Chem. B 2018, 6, 4173–4190. [Google Scholar] [CrossRef] [PubMed]
- Ballester, P. Recognition of Anions; Springer Science & Business Media: Berlin, Germany, 2008; Volume 129. [Google Scholar]
- Beer, P.D.; Chen, Z.; Ogden, M.I. Voltammetric and NMR studies of a bis(ferrocenecarboxamide)-substituted diaza 18-crown-6 receptor that simultaneously complexes and electrochemically recognises both cations and anions. J. Chem. Soc. Faraday Trans. 1995, 91, 295–302. [Google Scholar] [CrossRef]
- Sun, R.; Wang, L.; Yu, H.; Abdin, Z.-U.; Chen, Y.; Huang, J.; Tong, R. Molecular Recognition and Sensing Based on Ferrocene Derivatives and Ferrocene-Based Polymers. Organometallics 2014, 33, 4560–4573. [Google Scholar] [CrossRef]
- Molina, P.; Tárraga, A.; Caballero, A. Ferrocene-based small molecules for multichannel molecular recognition of cations and anions. Eur. J. Inorg. Chem. 2008, 2008, 3401–3417. [Google Scholar] [CrossRef]
- Martínez-Máñez, R.; Sancenón, F. Fluorogenic and Chromogenic Chemosensors and Reagents for Anions. Chem. Rev. 2003, 103, 4419–4476. [Google Scholar] [CrossRef] [PubMed]
- Beer, P.D.; Gale, P.A.; Chen, Z. Electrochemical recognition of charged and neutral guest species by redox-active receptor molecules. Adv. Phys. Org. Chem. 1999, 31, 1–90. [Google Scholar]
- Sahoo, S.K. Fluorescent chemosensors containing redox-active ferrocene: A review. Dalton Trans. 2021, 50, 11681–11700. [Google Scholar] [CrossRef] [PubMed]
- Cametti, M.; Rissanen, K. Recognition and sensing of fluoride anion. Chem. Commun. 2009, 2809–2829. [Google Scholar] [CrossRef] [PubMed]
- Alfonso, M.; Espinosa Ferao, A.; Tárraga, A.; Molina, P. Electrochemical and Fluorescent Ferrocene-Imidazole-Based Dyads as Ion-Pair Receptors for Divalent Metal Cations and Oxoanions. Inorg. Chem. 2015, 54, 7461–7473. [Google Scholar] [CrossRef] [PubMed]
- Fu, H.; Shi, Y.; You, J.; Hao, T.; Wang, T. Design and synthesis ethynyl ferrocene-based multifunctional chemosensors for fluoride anion. Res. Chem. Intermed. 2019, 45, 3557–3570. [Google Scholar] [CrossRef]
- Taylor, A.J.; Hein, R.; Patrick, S.C.; Davis, J.J.; Beer, P.D. Anion Sensing through Redox-Modulated Fluorescent Halogen Bonding and Hydrogen Bonding Hosts. Angew. Chem. Int. Ed. 2024, 63, e202315959. [Google Scholar] [CrossRef]
- Zhuo, J.-B.; Yan, J.-F.; Yuan, Y.-F. Electrochemical and optical recognition studies of anions using a multi-site ferrocene-based benzimidazolium receptor. J. Organomet. Chem. 2024, 1021, 123370. [Google Scholar] [CrossRef]
- Beer, P.D.; Chen, Z.; Goulden, A.J.; Graydon, A.; Stokes, S.E.; Wear, T. Selective electrochemical recognition of the dihydrogen phosphate anion in the presence of hydrogen sulfate and chloride ions by new neutral ferrocene anion receptors. J. Chem. Soc. Chem. Commun. 1993, 1834–1836. [Google Scholar] [CrossRef]
- Beer, P.D.; Graydon, A.R.; Johnson, A.O.; Smith, D.K. Neutral ferrocenoyl receptors for the selective recognition and sensing of anionic guests. Inorg. Chem. 1997, 36, 2112–2118. [Google Scholar] [CrossRef] [PubMed]
- Tan, Q.; Wang, L.; Ma, L.; Yu, H.; Ding, J.; Liu, Q.; Xiao, A.; Ren, G. Study on anion electrochemical recognition based on a novel ferrocenyl compound with multiple binding sites. J. Phys. Chem. B 2008, 112, 11171–11176. [Google Scholar] [CrossRef]
- Guo, D.-S.; Liu, Z.-P.; Ma, J.-P.; Huang, R.-Q. A novel ferrocene-based thiacalix[4]arene ditopic receptor for electrochemical sensing of europium (III) and dihydrogen phosphate ions. Tetrahedron Lett. 2007, 48, 1221–1224. [Google Scholar] [CrossRef]
- Cormode, D.P.; Evans, A.J.; Davis, J.J.; Beer, P.D. Amplification of anion sensing by disulfide functionalized ferrocene and ferrocene-calixarene receptors adsorbed onto gold surfaces. Dalton Trans. 2010, 39, 6532–6541. [Google Scholar] [CrossRef] [PubMed]
- Beer, P.D.; Davis, J.J.; Drillsma-Milgrom, D.A.; Szemes, F. Anion recognition and redox sensing amplification by self-assembled monolayers of 1,1′-bis(alkyl-N-amido)ferrocene. Chem. Commun. 2002, 1716–1717. [Google Scholar] [CrossRef]
- Tomapatanaget, B.; Tuntulani, T.; Chailapakul, O. Calix[4]arenes Containing Ferrocene Amide as Carboxylate Anion Receptors and Sensors. Org. Lett. 2003, 5, 1539–1542. [Google Scholar] [CrossRef] [PubMed]
- Reynes, O.; Maillard, F.; Moutet, J.-C.; Royal, G.; Saint-Aman, E.; Stanciu, G.; Dutasta, J.-P.; Gosse, I.; Mulatier, J.-C. Complexation and electrochemical sensing of anions by amide-substituted ferrocenyl ligands. J. Organomet. Chem. 2001, 637–639, 356–363. [Google Scholar] [CrossRef]
- Reynes, O.; Gulon, T.; Moutet, J.-C.; Royal, G.; Saint-Aman, E. Amplification upon polymerization of the electrochemical anion sensing properties of an amidoferrocene monoreceptor molecule. J. Organomet. Chem. 2002, 656, 116–119. [Google Scholar] [CrossRef]
- Kim, D.-S.; Miyaji, H.; Chang, B.-Y.; Park, S.-M.; Ahn, K.H. Selective recognition and electrochemical sensing of dicarboxylates with a ferrocene-based bis(o-trifluoroacetylcarboxanilide) receptor. Chem. Commun. 2006, 3314–3316. [Google Scholar] [CrossRef]
- Beer, P.D.; Szemes, F.; Balzani, V.; Salà, C.M.; Drew, M.G.B.; Dent, S.W.; Maestri, M. Anion Selective Recognition and Sensing by Novel Macrocyclic Transition Metal Receptor Systems. 1H NMR, Electrochemical, and Photophysical Investigations. J. Am. Chem. Soc. 1997, 119, 11864–11875. [Google Scholar] [CrossRef]
- Kingston, J.E.; Ashford, L.; Beer, P.D.; Drew, M.G.B. Anion recognition and sensing by neutral and charged transition metal co-ordinated ferrocene phosphine amide receptors. J. Chem. Soc. Dalton Trans. 1999, 251–258. [Google Scholar] [CrossRef]
- Beer, P.D.; Drew, M.G.B.; Jagessar, R. Selective anion recognition by novel 5,10,15,20-tetrakis(o-ferrocenylcarbonylaminophenyl-substituted) zinc metalloporphyrin receptors. J. Chem. Soc. Dalton Trans. 1997, 881–886. [Google Scholar] [CrossRef]
- Hein, R.; Li, X.; Beer, P.D.; Davis, J.J. Enhanced voltammetric anion sensing at halogen and hydrogen bonding ferrocenyl SAMs. Chem. Sci. 2021, 12, 2433–2440. [Google Scholar] [CrossRef] [PubMed]
- Liu, W.; Li, X.; Song, M. Voltammetric Anion Sensors based on Redox-active Ferrocene-bearing Macrocyclic Amides. Z. Anorg. Allg. Chem. 2017, 643, 1112–1117. [Google Scholar] [CrossRef]
- Deng, L.; Wang, L.; Huo, J.; Tan, Q.; Yang, Q.; Yu, H.; Gao, H.; Wang, J. Preparation of N,N‘-Bisethoxyethane[12]amideferrocenophane and Its Application in Anion Recognition. J. Phys. Chem. B 2008, 112, 5333–5337. [Google Scholar] [CrossRef] [PubMed]
- Li, C.; Wang, L.; Deng, L.; Yu, H.; Huo, J.; Ma, L.; Wang, J. Electrochemical Assessment of the Interaction of Dihydrogen Phosphate with a Novel Ferrocenyl Receptor. J. Phys. Chem. B 2009, 113, 15141–15144. [Google Scholar] [CrossRef]
- Evans, N.H.; Beer, P.D. A ferrocene functionalized rotaxane host system capable of the electrochemical recognition of chloride. Org. Biomol. Chem. 2011, 9, 92–100. [Google Scholar] [CrossRef] [PubMed]
- Zhang, B.-G.; Xu, J.; Zhao, Y.-G.; Duan, C.-Y.; Cao, X.; Meng, Q.-J. Host–guest complexation of a fluorescent and electrochemical chemsensor for fluoride anion. Dalton Trans. 2006, 1271–1276. [Google Scholar] [CrossRef] [PubMed]
- Otón, F.; Tárraga, A.; Espinosa, A.; Velasco, M.D.; Molina, P. Heteroditopic ferrocene-based ureas as receptors for anions and cations. Dalton Trans. 2006, 3685–3692. [Google Scholar] [CrossRef]
- Otón, F.; Tárraga, A.; Velasco, M.D.; Espinosa, A.; Molina, P. A new fluoride selective electrochemical and fluorescent chemosensor based on a ferrocene–naphthalene dyad. Chem. Commun. 2004, 1658–1659. [Google Scholar] [CrossRef] [PubMed]
- Lorenzo, Á.; Aller, E.; Molina, P. Iminophosphorane-based synthesis of multinuclear ferrocenyl urea, thiourea and guanidine derivatives and exploration of their anion sensing properties. Tetrahedron 2009, 65, 1397–1401. [Google Scholar] [CrossRef]
- Keszei, S.J.; Balogh, S.; Fehér, C.; Nagy, L.; Tumanov, N.; Wouters, J.; Lendvay, G.; Skoda-Földes, R. Molecular Recognition of Strong Acids by Using a 2-Ureido-4-Ferrocenyl Pyrimidine Receptor. Eur. J. Inorg. Chem. 2019, 2019, 4095–4104. [Google Scholar] [CrossRef]
- González, M.d.C.; Otón, F.; Orenes, R.A.; Espinosa, A.; Tárraga, A.; Molina, P. Ferrocene–Triazole–Pyrene Triads as Multichannel Heteroditopic Recognition Receptors for Anions, Cations and Ion Pairs. Organometallics 2014, 33, 2837–2852. [Google Scholar] [CrossRef]
- Otón, F.; Tárraga, A.; Espinosa, A.; Velasco, M.D.; Molina, P. Ferrocene-Based Ureas as Multisignaling Receptors for Anions. J. Org. Chem. 2006, 71, 4590–4598. [Google Scholar] [CrossRef]
- Otón, F.; Tarraga, A.; Espinosa, A.; Velasco, M.D.; Bautista, D.; Molina, P. Preparation, Structure, and Anion Sensing Properties of 1,n-Diaza[n]ferrocenophanes. J. Org. Chem. 2005, 70, 6603–6608. [Google Scholar] [CrossRef] [PubMed]
- Otón, F.; Tárraga, A.; Molina, P. A Bis-guanidine-Based Multisignaling Sensor Molecule That Displays Redox-Ratiometric Behavior or Fluorescence Enhancement in the Presence of Anions and Cations. Org. Lett. 2006, 8, 2107–2110. [Google Scholar] [CrossRef] [PubMed]
- Reynes, O.; Moutet, J.-C.; Pecaut, J.; Royal, G.; Saint-Aman, E. (Ferrocenylmethyl)trimethylammonium cation: A very simple probe for the electro-chemical sensing of dihydrogen phosphate and ATP anions. New J. Chem. 2002, 26, 9–12. [Google Scholar] [CrossRef]
- Reynes, O.; Royal, G.; Chaînet, E.; Moutet, J.-C.; Saint-Aman, E. Poly(Ferrocenylalkylammonium): A Molecular Electrode Material for Dihydrogenphosphate Sensing. Electroanalysis 2003, 15, 65–69. [Google Scholar] [CrossRef]
- Beer, P.D.; Chen, Z.; Drew, M.G.B.; Johnson, A.O.M.; Smith, D.K.; Spencer, P. Transition metal cation and phosphate anion electrochemical recognition in water by new polyaza ferrocene macrocyclic ligands. Inorg. Chim. Acta 1996, 246, 143–150. [Google Scholar] [CrossRef]
- Beer, P.D.; Chen, Z.; Drew, M.G.B.; Kingston, J.; Ogden, M.; Spencer, P. New polyaza and polyammonium ferrocene macrocyclic ligands that complex and electrochemically recognise transition metal cations and phosphate anions in water. J. Chem. Soc., Chem. Commun. 1993, 1046–1048. [Google Scholar] [CrossRef]
- Beer, P.D.; Cadman, J.; Lloris, J.M.; Martínez-Máñez, R.; Padilla, M.E.; Pardo, T.; Smith, D.K.; Soto, J. Selective electrochemical recognition of sulfate over phosphate and phosphate over sulfate using polyaza ferrocene macrocyclic receptors in aqueous solution. J. Chem. Soc. Dalton Trans. 1999, 127–134. [Google Scholar] [CrossRef]
- Snowden, T.S.; Anslyn, E.V. Anion recognition: Synthetic receptors for anions and their application in sensors. Curr. Opin. Chem. Biol. 1999, 3, 740–746. [Google Scholar] [CrossRef] [PubMed]
- Lloris, J.M.; Martínez-Máñez, R.; Padilla-Tosta, M.; Pardo, T.; Soto, J.; Tendero, M.J.L. Open-chain polyazaalkane ferrocene-functionalised receptors for the electrochemical recognition of anionic guests and metal ions in aqueous solution. J. Chem. Soc. Dalton Trans. 1998, 3657–3662. [Google Scholar] [CrossRef]
- Reynes, O.; Bucher, C.; Moutet, J.-C.; Royal, G.; Saint-Aman, E.; Ungureanu, E.-M. Electrochemical sensing of anions by redox-active receptors built on the ferrocenyl cyclam framework. J. Electroanal. Chem. 2005, 580, 291–299. [Google Scholar] [CrossRef]
- Padilla-Tosta, M.E.; Martínez-Máñez, R.; Pardo, T.; Soto, J.; Tendero, M.J.L. Quantitative determination of metal ions and anions in aqueous solution by using pH-responsive redox-active receptors. Chem. Commun. 1997, 887–888. [Google Scholar] [CrossRef]
- Lloris, J.M.; Martínez-Máñez, R.; Soto, J.; Pardo, T. An electrochemical study in acetonitrile of macrocyclic or open-chain ferrocene-containing oxa-aza or polyaza receptors in the presence of protons, metal cations and anions. J. Organomet. Chem. 2001, 637–639, 151–158. [Google Scholar] [CrossRef]
- Zeng, Z.; Torriero, A.A.J.; Bond, A.M.; Spiccia, L. Fluorescent and Electrochemical Sensing of Polyphosphate Nucleotides by Ferrocene Functionalised with Two Zn(II)-(TACN)(pyrene) Complexes. Chem. Eur. J. 2010, 16, 9154–9163. [Google Scholar] [CrossRef] [PubMed]
- Zeng, Z.; Torriero, A.A.J.; Belousoff, M.J.; Bond, A.M.; Spiccia, L. Synthesis, X-ray Structure of Ferrocene Bearing bis(Zn-cyclen) Complexes and the Selective Electrochemical Sensing of TpT. Chem. Eur. J. 2009, 15, 10988–10996. [Google Scholar] [CrossRef]
- Shiddiky, M.J.A.; Torriero, A.A.J.; Zeng, Z.; Spiccia, L.; Bond, A.M. Highly selective and sensitive DNA assay based on electrocatalytic oxidation of ferrocene bearing zinc(ii)-cyclen complexes with diethylamine. J. Am. Chem. Soc. 2010, 132, 10053–10063. [Google Scholar] [CrossRef]
- Zaleskaya-Hernik, M.; Karbarz, M.; Romański, J. The use of microelectrodes to study ion recognition by a squaramide-based ion pair receptor consisting of a ferrocene reporter. J. Electroanal. Chem. 2023, 928, 117058. [Google Scholar] [CrossRef]
- Cui, X.; Delgado, R.; Carapuça, H.M.; Drew, M.G.B.; Félix, V. Carboxylate anions binding and sensing by a novel tetraazamacrocycle containing ferrocene as receptor. Dalton Trans. 2005, 3297–3306. [Google Scholar] [CrossRef] [PubMed]
- Scherer, M.; Sessler, J.L.; Gebauer, A.; Lynch, V. A bridged pyrrolic ansa-ferrocene. A new type of anion receptor. Chem. Commun. 1998, 85–86. [Google Scholar] [CrossRef]
- Reynes, O.; Bucher, C.; Moutet, J.-C.; Royal, G.; Saint-Aman, E. Redox sensing of anions in pure aqueous environment by ferrocene-containing 4,4′-bipyridinium-based receptors and polymer films. Chem. Commun. 2004, 428–429. [Google Scholar] [CrossRef]
- Satheshkumar, A.; Manivannan, R.; Elango, K.P. Spectroscopic, electrochemical and theoretical studies on anion recognition by receptors with redox active ferrocene and quinone centers bridged by imidazole. J. Organomet. Chem. 2014, 750, 98–106. [Google Scholar] [CrossRef]
- Manivannan, R.; Elango, K.P. Spectral and electrochemical studies on anion recognition by ferrocene based imidazoles possessing different electron acceptor moieties. J. Organomet. Chem. 2015, 799–800, 99–107. [Google Scholar] [CrossRef]
- Zapata, F.; Caballero, A.; Espinosa, A.; Tárraga, A.; Molina, P. Cation Coordination Induced Modulation of the Anion Sensing Properties of a Ferrocene−Imidazophenanthroline Dyad: Multichannel Recognition from Phosphate-Related to Chloride Anions. J. Org. Chem. 2008, 73, 4034–4044. [Google Scholar] [CrossRef]
- Nedunchezhian, K.; Nallathambi, S. Mono- and di-ferrocene conjugated 5-methyl benzimidazole based multi-channel receptors for cations/anions with their antimicrobial and anticancer studies. New J. Chem. 2023, 47, 4656–4666. [Google Scholar] [CrossRef]
- Zhuo, J.-B.; Zhang, C.-Y.; Lin, C.-X.; Bai, S.; Xie, L.-L.; Yuan, Y.-F. Acyclic ferrocene-based imidazolium salts as multi-site anion receptors. J. Organomet. Chem. 2014, 763–764, 34–43. [Google Scholar] [CrossRef]
- Weng, T.-Q.; Huang, Y.-F.; Xue, L.-S.; Cheng, J.; Jin, S.; Liu, S.-H.; Wu, D.-Y.; Chen, G.Z. Anion-Binding-Induced Electrochemical Signal Transduction in Ferrocenylimidazolium: Combined Electrochemical Experimental and Theoretical Investigation. Molecules 2019, 24, 238. [Google Scholar] [CrossRef]
- Kong, D.; Weng, T.; He, W.; Liu, B.; Jin, S.; Hao, X.; Liu, S. Synthesis, characterization, and electrochemical properties of ferrocenylimidazolium. J. Organomet. Chem. 2013, 727, 19–27. [Google Scholar] [CrossRef]
- Sun, M.; Wang, X.; Shang, X.; Zhao, X.; Liu, L. A simple but effective ferrocene-based dual-channel colorimetric acetate electro-optical chemosensor. J. Mol. Struct. 2022, 1250, 131864. [Google Scholar] [CrossRef]
- Gale, P.A.; Hursthouse, M.B.; Light, M.E.; Sessler, J.L.; Warriner, C.N.; Zimmerman, R.S. Ferrocene-substituted calix[4]pyrrole: A new electrochemical sensor for anions involving CH⋯ anion hydrogen bonds. Tetrahedron Lett. 2001, 42, 6759–6762. [Google Scholar] [CrossRef]
- Nieto, D.; González-Vadillo, A.M.; Bruña, S.; Pastor, C.J.; Kaifer, A.E.; Cuadrado, I. Pt(ii)-activated coupling of aminoethylferrocene with benzonitrile. A facile access route to a new redox-active bis(ferrocenyl-amidine) anion sensor. Chem. Commun. 2011, 47, 10398–10400. [Google Scholar] [CrossRef] [PubMed]
- Abouderbala, L.O.; Belcher, W.J.; Boutelle, M.G.; Cragg, P.J.; Steed, J.W.; Turner, D.R.; Wallace, K.J. Cooperative anion binding and electrochemical sensing by modular podands. Proc. Natl. Acad. Sci. USA 2002, 99, 5001–5006. [Google Scholar] [CrossRef]
- Steed, J.W. A modular approach to anion binding podands: Adaptability in design and synthesis leads to adaptability in properties. Chem. Commun. 2006, 2637–2649. [Google Scholar] [CrossRef] [PubMed]
- Zapata, F.; Caballero, A.; Molina, P. Ferrocene–Triazole Combination as a Benchmark for the Electrochemical Detection of Noncovalent Halogen-Bonding Interactions. Eur. J. Inorg. Chem. 2017, 2017, 237–241. [Google Scholar] [CrossRef]
- Zapata, F.; Gonzalez, L.; Caballero, A.; Alkorta, I.; Elguero, J.; Molina, P. Dual Role of the 1,2,3-Triazolium Ring as a Hydrogen-Bond Donor and Anion–π Receptor in Anion-Recognition Processes. Chem. Eur. J. 2015, 21, 9797–9808. [Google Scholar] [CrossRef]
- Cao, Q.-Y.; Pradhan, T.; Kim, S.; Kim, J.S. Ferrocene-appended aryl triazole for electrochemical recognition of phosphate ions. Org. Lett. 2011, 13, 4386–4389. [Google Scholar] [CrossRef] [PubMed]
- Patrick, S.C.; Hein, R.; Docker, A.; Beer, P.D.; Davis, J.J. Solvent Effects in Halogen and Hydrogen Bonding Mediated Electrochemical Anion Sensing in Aqueous Solution and at Interfaces. Chem. Eur. J. 2021, 27, 10201–10209. [Google Scholar] [CrossRef] [PubMed]
- Bhattacharjee, N.; Nathani, A.; Unzaga, J.B.; Ito, T.; Flood, A.H. Redox-gated recognition of dihydrogen phosphate using a ferrocene-tethered non-symmetric aryl-triazole pentad. Supramol. Chem. 2024, 34, 339–347. [Google Scholar] [CrossRef]
- White, N.G.; Beer, P.D. A ferrocene redox-active triazolium macrocycle that binds and senses chloride. Beilstein J. Org. Chem. 2012, 8, 246–252. [Google Scholar] [CrossRef] [PubMed]
- Ma, L.; Wang, L.; Tan, Q.; Yu, H.; Huo, J.; Ma, Z.; Hu, H.; Chen, Z. Study on synthesis and electrochemical properties of novel ferrocene-based compounds and their applications in anion recognition. Electrochim. Acta 2009, 54, 5413–5420. [Google Scholar] [CrossRef]
- Tan, Q.; Wang, L.; Yu, H.; Deng, L. Study on Synthesis and Electrochemical Properties of a Novel Ferrocene-Based Compound and Its Application in Anion Recognition. J. Phys. Chem. B 2007, 111, 3904–3909. [Google Scholar] [CrossRef] [PubMed]
- Altmann, R.; Gausset, O.; Horn, D.; Jurkschat, K.; Schürmann, M.; Fontani, M.; Zanello, P. Novel Silicon- and Tin-Containing Ferrocenophanes and Related Compounds as Lewis Acids. Organometallics 2000, 19, 430–443. [Google Scholar] [CrossRef]
- Dusemund, C.; Sandanayake, K.R.A.S.; Shinkai, S. Selective fluoride recognition with ferroceneboronic acid. J. Chem. Soc. Chem. Commun. 1995, 333–334. [Google Scholar] [CrossRef]
- Hein, R.; Docker, A.; Davis, J.J.; Beer, P.D. Redox-Switchable Chalcogen Bonding for Anion Recognition and Sensing. J. Am. Chem. Soc. 2022, 144, 8827–8836. [Google Scholar] [CrossRef]
- Aldridge, S.; Bresner, C.; Fallis, I.A.; Coles, S.J.; Hursthouse, M.B. Multidentate Lewis acids: Synthesis, structure and mode of action of a redox-based fluoride ion sensor. Chem. Commun. 2002, 740–741. [Google Scholar] [CrossRef]
- Arimori, S.; Ushiroda, S.; Peter, L.M.; Jenkins, A.T.A.; James, T.D. A modular electrochemical sensor for saccharides. Chem. Commun. 2002, 2368–2369. [Google Scholar] [CrossRef] [PubMed]
- Ori, A.; Shinkai, S. Electrochemical detection of saccharides by the redox cycle of a chiral ferrocenylboronic acid derivative: A novel method for sugar sensing. J. Chem. Soc. Chem. Commun. 1995, 1771–1772. [Google Scholar] [CrossRef]
- Murashima, T.; Tsukiyama, S.; Fujii, S.; Hayata, K.; Sakai, H.; Miyazawa, T.; Yamada, T. Amino acid ester salt recognition by ferrocene-based ditopic receptor bearing oligoethylene glycol with pendant bipy subunits: CV, UV-vis and ESR studies. Org. Biomol. Chem. 2005, 3, 4060–4064. [Google Scholar] [CrossRef]
- Westwood, J.; Coles, S.J.; Collinson, S.R.; Gasser, G.; Green, S.J.; Hursthouse, M.B.; Light, M.E.; Tucker, J.H.R. Binding and Electrochemical Recognition of Barbiturate and Urea Derivatives by a Regioisomeric Series of Hydrogen-Bonding Ferrocene Receptors. Organometallics 2004, 23, 946–951. [Google Scholar] [CrossRef]
- Carr, J.D.; Lambert, L.; Hibbs, D.E.; Hursthouse, M.B.; Malik, K.M.A.; Tucker, J.H.R. Novel electrochemical sensors for neutral molecules. Chem. Commun. 1997, 1649–1650. [Google Scholar] [CrossRef]
- Debroy, P.; Banerjee, M.; Prasad, M.; Moulik, S.P.; Roy, S. Binding of Amino Acids into a Novel Multiresponsive Ferrocene Receptor Having an Ene Backbone. Org. Lett. 2005, 7, 403–406. [Google Scholar] [CrossRef] [PubMed]
- Hefter, G. Ion solvation in aqueous–organic mixtures. Pure Appl. Chem. 2005, 77, 605–617. [Google Scholar] [CrossRef]
- Radhika, V. Ion-Solvation Behavior of Heterocyclic Dichromates in Aqueous-Organic Solvent Mixtures. Proc. Natl. Acad. Sci. India Sect. A Phys. Sci. 2020, 90, 593–599. [Google Scholar] [CrossRef]
- Smiatek, J.; Heuer, A.; Winter, M. Properties of Ion Complexes and Their Impact on Charge Transport in Organic Solvent-Based Electrolyte Solutions for Lithium Batteries: Insights from a Theoretical Perspective. Batteries 2018, 4, 62. [Google Scholar] [CrossRef]
Disclaimer/Publisher’s Note: The statements, opinions and data contained in all publications are solely those of the individual author(s) and contributor(s) and not of MDPI and/or the editor(s). MDPI and/or the editor(s) disclaim responsibility for any injury to people or property resulting from any ideas, methods, instructions or products referred to in the content. |
© 2024 by the authors. Licensee MDPI, Basel, Switzerland. This article is an open access article distributed under the terms and conditions of the Creative Commons Attribution (CC BY) license (https://creativecommons.org/licenses/by/4.0/).