Abstract
The potassium alumanyl [{SiNDipp}AlK]2 (SiNDipp = {CH2SiMe2NDipp}2; Dipp = 2,6-i-Pr2C6H3) reacts with organic azides via reductive N2 elimination. With the less sterically encumbered azides PhN3 and C10H15N3 (1-azidoadamantane), the putative initially formed aluminium imide undergoes facile [2 + 3] cycloaddition to provide the tetrazenylaluminates [{SiNDipp}Al-κ2-N,N′-({N(R)}2N2)]K (R = Ph, C10H15). In contrast, each Al(I) centre of [{SiNDipp}AlK]2 only reacts with a single equivalent of 2,4,6-Me3C6H2N3 to provide the imidoaluminate [{SiNDipp}AlN(2,4,6-Me3C6H2)(K∙C6H6)], which crystallises as a monomer and displays a short Al-N distance of 1.7040(13) Å. Attempts to synthesise the azide [{SiNDipp}AlN3] by reaction of [{SiNDipp}AlI] with an excess of KN3 resulted in exclusive formation of the bis(azido)aluminate [{SiNDipp}Al(N3)2K], which crystallises as an infinite 1-dimensional polymer propagated by μ-(1,3)-N3 bridging interactions between the potassium cations and azide anions. Although the THF-adducted azide [{SiNDipp}AlN3(THF)] may be synthesised and characterised by more stringent control of the reaction stoichiometry, the synthetic viability of this route remains compromised by competitive generation of [{SiNDipp}Al(N3)2K].
1. Introduction
Motivated by both their practical potential (e.g., as precursors to nitride materials) [1,2] or to address more fundamental questions of main group heteronuclear multiple bonding [3,4,5,6], the chemistry of nitrogen-bonded aluminium compounds has attracted longstanding attention [7,8]. Initial studies of oligomeric aluminium imides, [RAlNR′]n, demonstrated that systems comprising less sterically demanding organic substituents may be isolated as cage structures with alternating Al and N vertices and with a topology dictated by the identity of R and R′ [9,10,11,12]. Despite the introduction of various more sterically demanding organic residues at either, or both, of the constituent aluminium or nitrogen centres that allowed the synthesis of several dimeric iminoalanes with Al2N2 cores [5,13,14,15,16], monomeric analogues long continued to prove elusive.
Roesky and co-workers demonstrated in 2001 that, while reactions of various triorganosilyl azides with the sterically encumbered Al(I) species [(BDI)Al:] (I: BDI = HC[(Me)CNDipp]2; Dipp = 2,6-i-Pr2C6H3) provided the requisite elimination of dinitrogen, the resultant transient imides were insufficiently stabilised to prevent the [2 + 3] cycloaddition of a further azide equivalent to provide aluminatetrazene species (II–IV, Figure 1a) [17,18]. Although the aluminium species could not be structurally characterised in the solid state, by analogy to its heavier congener [(BDI)Ga=N(2,6-Trip2C6H3)], Power and co-workers’ use of the very sterically encumbered azide 2,6-Trip2C6H3N3 (Trip = 2,4,6-i-Pr3C6H2) confirmed that the kinetic stabilisation of the Al=N linkage could be achieved [19]. A further indication of the reactivity intrinsic to the terminal Al-N bond was provided by a subsequent report of the behaviour of I toward the less sterically demanding m-terphenyl azide 2,6-Dipp2C6H3N3 which underwent C-H activation of a flanking methyl group [19,20]. The first structurally characterised terminal aluminium imide (V, Figure 1b) resulted serendipitously from β-diketiminate ligand degradation after treatment of a tert-butyl-substituted analogue of I with the N-heterocyclic carbene 1,3-di-isopropyl-4,5-dimethyl-2-ylidene [21]. Although V was shown to comprise a short Al-N bond [1.705(2) Å], crystallographic verification of rationally accessed imide species has only been realised during the past half-decade. Effectively simultaneous reports from the groups of Coles and Aldridge described the anionic imide units of compounds VI and VIIa that were accessed by the respective treatment of the potassium alumanyls K2[Al(NON)]2 (VIII [22], NON = [O(SiMe2NDipp)2]2−) [23,24,25] and K2[Al(NONxanth)]2 (IX [26], NONxanth = 4,5-bis(2,6-diisopropylanilido)-2,7-di-tert-butyl-9,9-dimethyl-xanthene) [27,28,29,30], with 2,4,6-Me3C6H2N3 and DippN3. This protocol was subsequently extended by Aldridge and co-workers to the synthesis of a variety of analogous, but more labile, silyl- and borylimido derivatives (VIIb–VIId) [30]. Compounds VI and VIIa–VIId presented similarly short terminal Al-N bond lengths (VI, 1.7251(11); VIIa, 1.723(2); VIIb 1.730(6); VIIc 1.7304(15); VIId 1.739(3) Å) that were initially formulated as multiple Al=N bonds. The calculated Wiberg bond indices (WBI, ca. 0.6), however, implicated minimal potential for π bonding such that the molecules are better represented with the ionic formulations depicted in Figure 1 [30]. The current lower limit to any Al-N bond length was subsequently achieved by Power’s characterisation of the charge neutral species Ar′Al≡NAr″ [X, Ar′ = C6H-2,6-(C6H2-2,4,6-i-Pr3)2-3,5-i-Pr2; Ar″ = C6H3-2,6-(C6H2-2,4,6-Me3)2] [31]. In this case, the extreme kinetic protection afforded by both the Al-bound Ar′ and N-bound Ar″ substituents impose an unperturbed linear geometry to the C-Al=N-C unit and a resultant contraction of the Al-N bond distance to 1.625(4) Å. Although dispersion-corrected DFT calculations performed on X attributed a combination of one σ- and two π-type components to the Al-N bonding, even here the 90% electron localisation on the N atom yielded a consequent WBI of only 0.89.
Figure 1.
(a) Reactivity of I toward RN3 and the synthesis of compounds II–IV; (b) the structures of compounds V, VI, VIIa-d, X, and XI.
Against this backdrop, our own recent observations have centred on the potassium alumanyl reagent (XI) [32], which is supported by the sterically demanding {SiNDipp}2− dianion (SiNDipp = {CH2SiMe2NDipp}2) and acts as a potent but kinetically discriminating two-electron reductant toward multiply bonded organic and inorganic small molecule substrates [33,34,35,36,37]. In this contribution, we extend our study of XI to its reactivity with organic azides and describe our unsuccessful attempts to synthesise molecular Al-μ-N-Al-bridged derivatives of the nitride (N3−) anion by reaction of XI with azidoaluminium species which are also supported by the {SiNDipp}2− dianion.
2. Results and Discussion
In common with many reactions of the azide functional group at low oxidation state p-block element centres [38], treatment of XI with the less sterically demanding azidobenzene and azidoadamantantane induced visible N2 elimination. In a manner reminiscent of the reactivity of I (Figure 1a) [17,18] and IX with Me3SiN3 [27], and Power and co-workers’ observations of the one-coordinate alanediyl precursor to compound X with azidoadamantantane [31], the presumed phenyl- and adamantylimidoaluminium intermediates undergo immediate [2 + 3] cycloaddition with a further equivalent of azide to provide the respective tetrazene derivatives, 1 and 2 (Scheme 1).
Scheme 1.
Synthesis of compounds 1–3.
Compound 1 was soluble in C6D6 and displayed a series of {SiNDipp} ligand resonances in its 1H and 13C{1H} NMR spectra consistent with the retention of a C2v-symmetric chelate structure. In contrast, compound 2 rapidly deposited as a colourless amorphous solid from the benzene reaction solvent, necessitating the use of d8-THF to record solution-state NMR data. Under these conditions, the resultant 1H NMR spectrum evidenced a lowering of symmetry that results in a diastereotopic disposition of the {SiNDipp} iso-propyl methyl substituents that is most clearly evidenced by a splitting of the corresponding methine environments, which resonated as a pair of equally intense (2H by relative integration) multiplets at δ 4.21 and 4.09 ppm. Single crystals suitable for X-ray diffraction analysis were, thus, obtained either from n-hexane (1) or by slow diffusion of the same alkane solvent into a THF solution (2). The results of these analyses are shown in Figure 2 and Figure 3, respectively, while selected bond length and angle data for both compounds are presented in Table 1.
Figure 2.
Plot depicting the molecular structure of compound 1. Ellipsoids are depicted at 30% probability. Minor disordered components and hydrogen atoms (those attached to C11, C22, and C38 excepted) have been omitted and, in addition, peripheral substituents are depicted as wireframes, for perspicuity. Symmetry operations: 1 1 − x, y, 3∕2 − z; 2 1 − x, 1 − y, 1 − z; 3 x, 1 − y, –½ + z; 4 x, 1 − y, ½ + z.
Figure 3.
Plot depicting the structure of 2. Ellipsoids are depicted at 30% probability. Minor disordered components and hydrogen atoms have been omitted and, in addition, peripheral substituents are depicted as wireframes, for clarity. Symmetry operation: 1 3∕2 − x, y, 1 − z.
Table 1.
Selected bond lengths (Å) and angles (°) for compounds 1–5.
Like the solid-state structure of Aldridge and co-workers’ tetrazenylaluminate derivative, [{(NONxanth)Al(N4(SiMe3)2}K]∞ [27], compound 1 presents as a 1-dimensionsal polymer (Figure 2), in this case of centrosymmetric molecular dimers. The dimeric units are assembled about two bridging potassium cations (K1 and K11), each of which interacts with N4, N5/N41, N51 (K1-N4 2.7463(14); K1-N5 3.0370(15); K1-N51 2.9304(16) Å) of the {AlN4} heterocycle and are further encapsulated by polyhapto engagement with a single N-Dipp substituent of each chelated dianion. Polymer propagation parallel to the orthorhombic c axis is then achieved via a sequence of intermolecular C-H···potassium contacts between K1/K11 and the para-situated methine unit of each remaining N-Dipp group. Unlike 1, compound 2 crystallises in the presence of ether solvent and as a molecular contact ion pair (Figure 3). Although the potassium cation (K1) of 2 again interacts strongly with N3 and N31 (2.7647(10) Å), further intermolecular interactions are, thus, prevented by O-coordination of four molecules of THF. Despite these dissimilarities, the various Al-N and N-N bond lengths and angles about the {AlN4} heterocycles of both compounds 1 and 2 are perturbed only marginally, either in mutual comparison (Table 1) or when appraised against the analogous metric data deduced for [{(NONxanth)Al(N4(SiMe3)2}K]∞ [27].
Cognisant of the closely comparable behaviour of both potassium alumanyls IX and XI toward less sterically demanding azides, we turned our attention to the bulkier mesityl azide that was successfully employed in the synthesis of compound VI (Figure 1). Accordingly, treatment of the dimeric potassium alumanyl, XI, with two molar equivalents of the azide in benzene again produced a visible gas evolution at room temperature. Subsequent assessment by 1H NMR spectroscopy of the reaction indicated the complete consumption of both reagents and the formation of a single new compound (3, Scheme 1), which manifested as a unique, albeit broadened, set of {SiNDipp} ligand and mesityl methyl (δ 2.20 (3H), 1.58 (6H) ppm) environments. Compound 3 could be isolated by slow evaporation of the reaction solvent as single crystals suitable for X-ray diffraction analysis, the results of which are depicted in Figure 4 with selected bond length and angle data presented in Table 1. Like the most closely comparable species, VI and VIIa, compound 3 comprises a distorted trigonal planar aluminium centre (Σangles = 359.9°) with N3Al coordination provided by a combination of the bidentate {SiNDipp} dianion and a terminal arylimido ligand. Unlike both previously reported dimeric potassium arylimidoaluminates, however, compound 3 sequesters a molecule of benzene solvent, which interacts in an η6-fashion with the potassium cation (K1···benzenecent 2.9740(11) Å) and enforces a monomeric contact ion paired structure. K1 is further encapsulated by a similar interaction with a {SiNDipp} N-aryl substituent (K1···benzenecent 2.9064(8) Å) and a close contact to the imido nitrogen atom (K1-N3 2.7285(13) Å). The Al1-N3 bond (1.7040(13) Å) is marginally shorter than the analogous distances reported for either VI (1.7251(11) Å) or VIIa (1.723(2) Å) and is accompanied by a more obtuse Al1-N3-C31 bond angle (154.44(11) vs. 137.07(9) (VI); 146.4(2)° (VIIa)). Although these data could be interpreted as indicative of enhanced multiple bond character, in agreement with Aldridge and co-workers’ previous calculations [30], we suggest that the contraction of the Al-Nimide bond in 3 is more plausibly attributed to a slightly augmented electrostatic interaction resulting from the reduced nuclearity of its structure.
Figure 4.
Plot depicting the structure of 3. Ellipsoids are depicted at 30% probability. In addition to solvent, hydrogen atoms (those attached to C11 and C39 excepted) have been omitted and some peripheral substituents are depicted as wireframes, for visual ease.
The groups of Aldridge and Goicoechea have also described the use of the {NONxanth}2− dianion to achieve the isolation of terminal aluminium imides (VIIb–VIId, Figure 1) bearing bulky heteroatom (E = Si, B) substituents at nitrogen [30]. Although superficially analogous to VI, VIIa, and 3, the greater lability of the N-E bonds also renders these compounds as viable synthons for the [N]3− anion. With these observations in mind, we speculated that similar Al-N-Al-based nitride structures could be accessible through reaction of XI and an appropriately bulky aluminium azide.
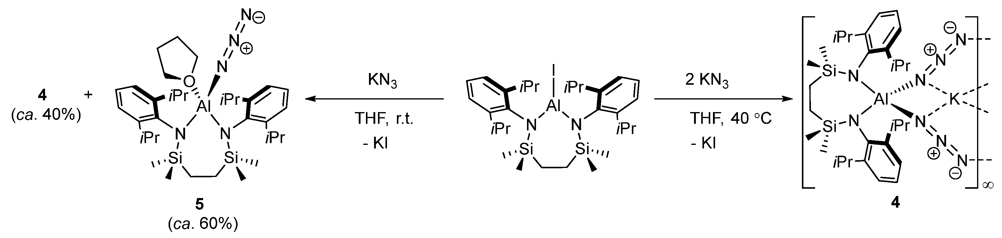
An initial reaction of [{SiNDipp}AlI] and Me3SiN3 in benzene provided no evidence of reaction. The aluminium iodide was, thus, treated with a twofold excess of KN3 in THF at 40 °C for 24 h. This procedure provided a colourless precipitate and a colourless solution, filtration of which yielded compound 4 as a pale yellow powder upon removal of volatiles (Scheme 2). Once isolated, compound 4 was found to be insoluble in either benzene or toluene but redissolved readily in THF. Analysis in d8-THF by 1H and 13C NMR spectroscopy was consistent with a highly symmetric (C2v) structure, an inference that was subsequently supported by X-ray diffraction analysis performed on a single crystal isolated by slow evaporation of a saturated solution of 4 in THF. Compound 4 is a potassium bis(azido)aluminate (Figure 5), which crystallises as a one-dimensional polymer parallel to thea axis. This extended structure is propagated via a series of μ-K···N interactions between the alkali metal cations and azide anions, which act as μ-(1,3)-N3 bridging ligands. Although aluminium derivatives coordinated by more than a single azide anion are by no means common, the structure of 4 is otherwise unremarkable and displays bond lengths and angles (Table 1) which are consistent with relevant literature precedents [39,40,41,42].
Scheme 2.
Synthesis of compounds 4 and 5.
Figure 5.
Plot depicting the structure of 4. Ellipsoids are depicted at 30% probability. Hydrogen atoms have been omitted and peripheral substituents are depicted as wireframes, for visual ease. Symmetry operations: 1 −1 + x, y, z; 2 1 − x, 1 − y, 1 − z; 3 1 + x, y, z; 4 2 − x, 1 − y, 1 − z; 5 –x, 1 − y, 1 − z.
In a subsequent attempt to achieve the synthesis of a mono(azido)aluminium product, a further reaction was performed on an NMR scale at room temperature in d8-THF between equimolar quantities of [{SiNDipp}AlI] and KN3. Assessment of this reaction, which presented as a pale yellow solution and a colourless precipitate, after 2 h by 1H NMR spectroscopy indicated the formation of an approximate 2:3 ratio of 4 and a further new species, compound 5 (Scheme 2), which was readily identifiable in comprising diastereotopic {SiNDipp} silylmethyl and N-Dipp iso-propyl substituents, which resonated as two singlets (δ 0.10, 0.09 ppm) and a pair of apparent septets (δ 3.90, 3.78 ppm), respectively. All attempts to fractionally crystallise a bulk sample of 5 for further study of its reactivity were frustrated by its consistent contamination with significant quantities of 4. A pure sample of 5 sufficient for characterisation was, however, isolated by mechanical separation of the colourless block single crystals obtained by slow diffusion of n-hexane into a THF solution. The resultant X-ray diffraction analysis identified 5 as the THF adduct of the desired monoazidoaluminium product (Figure 6), the most salient features of which are congruent with the comparable metric data provided by 4 (Table 1).
Figure 6.
Plot depicting the structure of 5. Ellipsoids are depicted at 30% probability. Hydrogen atoms have been omitted and peripheral substituents are depicted as wireframes, for clarity.
The unavailability of workable quantities of 5 prompted us to direct our attention back to the potential of the bis-azidoaluminate, compound 4. Although attempted reactions between compounds XI and 4 in both THF or as a suspension in benzene provided visible evidence of gas evolution, analysis by NMR spectroscopy was, in both cases, indicative of the formation of an intractable mixture of products (Figures S21 and S22).
3. Materials and Methods
3.1. General Considerations
Except when stated otherwise, all experiments were conducted using standard Schlenk line and/or glovebox techniques under an inert atmosphere of argon. NMR spectra were recorded with an Agilent ProPulse spectrometer (1H at 500 MHz, 13C at 126 MHz). The spectra are referenced relative to residual protio solvent resonances. Elemental analyses were performed at Elemental Microanalysis Ltd., Okehampton, Devon, UK. Due to the air and moisture sensitivity of compounds 1, 3, and 4, however, no meaningful elemental analysis results could be obtained even after multiple attempts. Solvents were dried by passage through a commercially available solvent purification system and stored under argon in ampoules over 4 Å molecular sieves. Benzene-d6 and THF-d8 were purchased from Merck and dried over a potassium mirror before distilling and storage over molecular sieves. [{SiNDipp}AlK]2 (XI) and [{SiNDipp}AlI] were prepared according to reported procedures [32]. Other chemicals were purchased from Merck and used without further purification.
3.2. Syntheses of New Compounds
Synthesis of [{SiNDipp}Al-κ2-N,N′-({N(Ph)}2N2)]K (1)
In a J Youngs NMR tube, C6D6 (ca. 0.5 mL) was added to [{SiNDipp}AlK]2 (XI, 28.0 mg, 0.025 mmol), before addition of PhN3 (11.9 mg, 0.10 mmol) to the bright yellow solution via a micropipette. Gas evolution was observed from the resulting reaction mixture, which transformed into a colourless solution within 10 min at room temperature. In situ analysis by NMR spectroscopy indicated quantitative transformation into one single new species 1. The benzene solution was then put under reduced pressure to remove all volatiles, n-hexanes (0.4 mL) were added to the waxy residue, and a tiny amount of solid material was removed by filtration. The filtrate was then kept at −30 °C to provide 1 as colourless crystals suitable for X-ray diffraction analysis. Yield 26 mg, 67%. 1H NMR (500 MHz, 298 K, Benzene-d6) δ 6.98–6.88 (m, 10H, C6H5), 6.80 (t, J = 7.5 Hz, 2H, p-C6H3), 6.74 (d, J = 7.5 Hz, 4H, m-C6H3), 4.25–3.86 (m, 4H, CHMe2), 1.30 (d, J = 6.7 Hz, 12H, CHMe2), 1.27 (s, 4H, SiCH2), 0.62 (d, J = 6.7 Hz, 12H, CHMe2), 0.34 (s, 12H, SiMe2). 13C{1H} NMR (126 MHz, 298 K, Benzene-d6) δ 149.6, 149.2, 147.5 (i- and o-C6H5), 140.4 (i-C6H5), 129.9 (C6H5), 129.3 (C6H5), 124.9 (C6H5), 124.2 (C6H5), 123.3 (m-C6H3), 123.0 (m-C6H3), 122.6 (C6H5), 119.2 (p-C6H3), 27.4 (CHMe2), 26.2 (CHMe2), 25.6 (CHMe2), 15.3 (SiCH2), 3.4 (SiMe2).
Synthesis of [{SiNDipp}Al-κ2-N,N′-({N(Ad)}2N2)][K(THF)4] (2)
In a J Youngs NMR tube, C6D6 (ca. 0.5 mL) was added to [{SiNDipp}AlK]2 (XI, 28.0 mg, 0.025 mmol), before the addition of 1-azidoadamantane, (AdN3, 17.8 mg, 0.10 mmol) to the bright yellow solution. Gas evolution was observed from the resulting reaction mixture, which turned pale red with a large amount of colourless amorphous precipitate within 5 min at room temperature. THF (0.2 mL) was then added to the suspension to provide a clear homogeneous solution. The solution was transferred to a vial and was carefully layered with n-hexane (0.5 mL). Keeping the vial at room temperature for 3 days provided compound 2 as colourless crystals suitable for X-ray diffraction analysis. The colourless crystals were collected, washed with n-hexane (3 × 0.3 mL), and dried in vacuo to afford 2 as a colourless powder. Yield: 33.7 mg, 76%. Anal. Cal’d. for C66H108AlKN6O4Si2 (2, 1171.88): C, 67.65%; H, 9.29%; N, 7.17%. Found: C, 67.32%; H, 8.97%, N, 7.28%. 1H NMR (500 MHz, 298 K, d8-THF) δ 7.03 (dd, J = 7.6, 1.9 Hz, 2H, m-C6H3), 6.85 (dd, J = 7.6, 1.9 Hz, 2H, m-C6H3), 6.76 (t, J = 7.6 Hz, 2H, p-C6H3), 4.21 (sept, J = 6.6 Hz, 2H, CHMe2), 4.09 (sept, J = 6.7 Hz, 2H, CHMe2), 1.82–1.75* (m, 12H, CH2 on Ad)*overlapping with coordinated residual protio-THF, 1.57 (s br, 3H, CH on Ad), 1.55 (s br, 3H, CH on Ad), 1.51–1.41 (m, 12H, CH2 on Ad), 1.37 (s, 4H, SiCH2), 1.35 (d, J = 6.4 Hz, 6H, CHMe2) 1.23 (d, J = 6.5 Hz, 6H, CHMe2), 0.97 (d, J = 6.7 Hz, 6H, CHMe2), 0.92 (d, J = 6.6 Hz, 6H, CHMe2), 0.54 (s, 6H, SiMe2), −0.43 (s, 6H, SiMe2). Coordinated residual protio-THF is also observed in the 1H NMR spectrum at 3.62 ppm. 13C{1H} NMR (126 MHz, 298 K, d8-THF) δ 153.5 (i-C6H3), 148.2 (o-C6H3), 146.7 (o-C6H3), 125.3 (m-C6H3), 124.8 (m-C6H3), 121.9 (p-C6H3), 55.1 (i-C on Ad), 44.9 (CH on Ad), 37.9 (CH2 on Ad), 31.3 (CH2 on Ad), 29.1 (CHMe2), 28.3 (CHMe2), 28.2 (CHMe2), 26.6 (CHMe2), 26.3 (CH Me2), 26.0 (CHMe2), 16.8 (SiCH2), 9.4 (SiMe2), 5.3 (SiMe2).
Synthesis of [({SiNDipp}Al)NMes]K (3)
In a J Youngs NMR tube, C6D6 (ca. 0.5 mL) was added to [{SiNDipp}AlK]2 (XI, 28.0 mg, 0.025 mmol), before addition of MesN3 (8.0 mg, 0.050 mmol) to the bright yellow solution via a micropipette. Gas evolution was observed and the reaction mixture transformed into a colourless solution within 10 min at room temperature. The reaction mixture was kept at room temperature for 2 h before all volatiles were removed in vacuo. The residue was then dissolved in n-hexane (0.6 mL), and slow evaporation of the resultant solution provided colourless crystals suitable for X-ray diffraction analysis. All the crystalline materials were collected and washed with hexane (0.2 mL × 2) and dried under vacuum, providing 3 as a colourless solid. Yield 22 mg, 63%. 1H NMR (500 MHz, 298 K, Benzene-d6) δ 7.03–6.75 (m, 6H, C6H3), 6.66 (s, 2H, C6H2Me3), 4.20–3.85 (br, 4H, CHMe2), 2.20 (s, 3H, p-C6H2Me3), 1.58 (s, 6H, o-C6H2Me3), 1.31 (d, J = 6.8 Hz, 12H, CHMe2), 1.28–1.22 (m, 6H, CHMe2), 1.22–1.03 (m, 10H, CHMe2 and SiCH2), 0.45–0.00 (br, 12H, SiMe2). 13C{1H} NMR (126 MHz, 298 K, Benzene-d6) δ 157.0 (4o ArC on MesN), 148.8 (4o ArC on C6H3), 147.3 (4o ArC on C6H3), 129.5 (m-C6H2Me3), 124.9 (4o ArC on MesN), 124.4 (m-C6H3), 123.5 (4o ArC on MesN), 115.6 (p-C6H3), 28.2, 26.1, 25.2 (CHMe2 and CHMe2), 23.9 (o-C6H2Me3), 20.9 (p-C6H2Me3), 14.7 (SiCH2), 1.0 (SiMe2). *Hexane impurity observed in the spectra.
Synthesis of [({SiNDipp}Al)(N3)2]K (4)
[{SiNDipp}AlI] (1.30 g, 2 mmol) and KN3 (320 mg, 4 mmol) were charged into a Schlenk flask. THF (50 mL) was then added to the reaction vessel via a cannula to afford a pale-red solution with a white suspension. The reaction mixture was stirred at 40 °C for 24 h to provide a colourless solution and a white precipitate. The solution was then filtered with a filter cannula, and the filtrate was collected and put under reduced pressure to remove all volatiles. The resultant waxy solid was extracted into THF/toluene (40 mL/20mL), and a minor amount of brown precipitate was removed by filtration. All volatiles were removed in vacuo from the filtrate to afford compound 4 as a pale-yellow powder. Yield 1.05 g, 81%. Colourless single needle crystals of 4 suitable for X-ray diffraction analysis were obtained by slow evaporation of a saturated solution in THF. 1H NMR (500 MHz, 298 K, THF-d8) δ 6.93 (d, J = 7.5 Hz, 4H, m-C6H3), 6.80 (t, J = 7.5 Hz, 2H, p-C6H3), 4.02 (sept, J = 6.8 Hz, 4H, CHMe2), 1.27 (d, J = 6.8 Hz, 12H, CHMe2), 1.17 (d, J = 6.8 Hz, 12H, CHMe2), 0.90 (s, 4H, SiCH2), −0.07 (s, 12H, SiMe2). 13C{1H} NMR (126 MHz, 298 K, THF-d8) δ 147.7 (o-C6H3), 147.6 (i-C6H3), 123.7 (m-C6H3), 122.5 (p-C6H3), 28.3 (CHMe2), 25.9 (CHMe2), 25.8 (CHMe2), 15.2 (SiCH2), 1.1 (SiMe2).
Isolation of [({SiNDipp}Al)N3(THF)] (5)
In a J Youngs NMR tube, d8-THF (ca. 0.5 mL) was added to a mixture of [{SiNDipp}AlI] (32.5 mg, 0.05 mmol) and KN3 (4 mg, 0.05 mmol). The pale-yellow reaction mixture (with white precipitates) was then sonicated at room temperature for 2 h before being analysed by 1H NMR spectroscopy, which indicated the formation of two species, one of which was identified as 4. Slow diffusion of n-hexane into the THF solution at −30 °C provided [({SiNDipp}Al)(N3)2]K (4) as a colourless amorphous powder and [({SiNDipp}Al)N3(THF)] (5) as colourless crystalline blocks suitable for X-ray diffraction analysis. An NMR sample of 5 was prepared by mechanical separation of the crystals, which were dissolved in d8-THF. 1H NMR (500 MHz, 298 K, THF-d8) δ 7.09 (dd, J = 7.6, 1.8 Hz, 2H, m-C6H3), 7.04 (dd, J = 7.6, 1.8 Hz, 2H, m-C6H3), 6.97 (t, J = 7.6 Hz, 2H, p-C6H3), 3.90 (sept, J = 6.8 Hz, 2H, CHMe2), 3.78 (sept, J = 6.8 Hz, 2H, CHMe2), 1.33 (d, J = 6.8 Hz, 6H, CHMe2), 1.20 (d, J = 6.8 Hz, 12H,CHMe2), 1.17 (d, J = 6.8 Hz, 6H, CHMe2), 1.06 (s br, 4H, SiCH2), 0.10 (s, 6H, SiMe2), 0.09 (s, 6H, SiMe2). 13C{1H} NMR (126 MHz, 298 K, THF-d8) δ 148.0 (i-C6H3), 146.6 (o-C6H3), 146.4 (o-C6H3), 125.3 (p-C6H3), 124.6 (m-C6H3), 124.3 (m-C6H3), 32.7 (CHMe2), 30.8 (CHMe2), 28.7 (CHMe2), 28.1 (CHMe2), 26.7 (CHMe2), 26.6 (CHMe2), 15.0 (SiCH2), 2.1 (SiMe2), 1.7 (SiMe2).
4. Conclusions
In summary, the potassium alumanyl, [{SiNDipp}AlK]2, reacts with organic azides through N2 elimination. In common with earlier reports, whereas less sterically demanding organic azides react with the initially formed imidoaluminate through [2 + 3] cycloaddition to provide the corresponding tetrazenylaluminate products, the terminal imide function may be characterised through recourse to the bulkier N-mesityl substituent. In contrast to previously reported derivatives of this type, [{SiNDipp}AlN(2,4,6-Me3C6H2)(K∙C6H6)] crystallises as a molecular monomer through the sequestration of a molecule of benzene solvent and displays a short Al-N bond length of 1.7040(13) Å. Although reactions of [{SiNDipp}AlI] with KN3 result in metathesis of the iodide and azide anions, the viability of this route to the desired molecular azide is limited by its onward reaction with further KN3, irrespective of the reaction stoichiometry, and the formation of the bis(azido)aluminate derivative [({SiNDipp}Al)(N3)2]K.
Supplementary Materials
The following supporting information can be downloaded at: https://www.mdpi.com/article/10.3390/inorganics13010025/s1, NMR spectra (Figures S1–S22) and details of the X-ray analysis of compounds 1–5 (Table S1). References [43,44,45] are cited in the supplementary materials.
Author Contributions
M.S.H. coordinated and conceptualised the research and authored the initial draft of the manuscript. H.-Y.L., R.J.S. and J.K. synthesised and characterised compounds 1–5. M.F.M. curated and finalised the X-ray data reported in the paper. All authors contributed to the final version of the manuscript. All authors have read and agreed to the published version of the manuscript.
Funding
We thank the Royal Commission for the Exhibition of 1851 for the provision of a Postdoctoral Fellowship (R.J.S.).
Data Availability Statement
NMR spectra and crystal data are given in the Supplementary Materials. Crystal data and details of the data collection and refinement are given in Table S1. Crystallographic data for 1–5 have been deposited with the Cambridge Crystallographic Data Centre (CCDC 2369737–2369741). Copies of this information may be obtained free of charge from The Director, CCDC, 12 Union Road, Cambridge, CB2 1EZ, UK (fax: +44-1223-336033; email: deposit@ccdc.cam.ac.uk or http://www.ccdc.cam.ac.uk).
Conflicts of Interest
The authors declare no conflicts of interest.
References
- Azad Malik, M.; O’Brien, P. III–V and Related Semiconductor Materials. In The Group 13 Metals Aluminium, Gallium, Indium and Thallium: Chemical Patterns and Peculiarities; Wiley: Hoboken, NJ, USA, 2011; pp. 612–653. [Google Scholar]
- Jegier, J.A.; Gladfelter, W.L. The use of aluminum and gallium hydrides in materials science. Coord. Chem. Rev. 2000, 206–207, 631–650. [Google Scholar] [CrossRef]
- Power, P.P. Homonuclear multiple bonding in heavier main group elements. J. Chem. Soc. Dalton Trans. 1998, 2939–2951. [Google Scholar] [CrossRef]
- Fischer, R.C.; Power, P.P. Pi-Bonding and the Lone Pair Effect in Multiple Bonds Involving Heavier Main Group Elements: Developments in the New Millennium. Chem. Rev. 2010, 110, 3877–3923. [Google Scholar] [CrossRef] [PubMed]
- Waggoner, K.M.; Hope, H.; Power, P.P. Synthesis and Structure of [MeAlN(2,6-iPr2C6H3)]3: An Aluminum-Nitrogen Analogue of Borazine. Angew. Chem. Int. Ed. Engl. 1988, 27, 1699–1700. [Google Scholar] [CrossRef]
- Wehmschulte, R.J.; Power, P.P. Reactions of (H2AlMes*)2 (Mes* = 2,4,6-(t-Bu)3C6H2) with H2EAr (E = N, P, or As; Ar = aryl): Characterization of the Ring Compounds (Mes*AlNPh)2 and (Mes*AlEPh)3 (E = P or As). J. Am. Chem. Soc. 1996, 118, 791–797. [Google Scholar] [CrossRef]
- Laubengayer, A.W.; Smith, J.D.; Ehrlich, G.G. Aluminum-Nitrogen Polymers by Condensation Reactions 1. J. Am. Chem. Soc. 1961, 83, 542–546. [Google Scholar] [CrossRef]
- Amirkhalili, S.; Hitchcock, P.B.; Smith, J.D. Complexes of organoaluminium compounds. Part 10. Crystal and molecular structures of the cage compounds bis-µ-methylamido-hexa-µ3-methylimido-bis(dimethylaluminium)-hexakis(methylaluminium) and bis-µ-methylamido-hexa-µ3-methylimido-bis(dimethylgallium)-hexakis-(methylgallium). J. Chem. Soc. Dalton Trans. 1979, 7, 1206–1212. [Google Scholar]
- Cesari, M.; Perego, G.; Del Piero, G.; Cucinella, S.; Cernia, E. The chemistry and the stereochemistry of poly(N-alkyliminoalanes): II. The crystal and molecular structure of the hexamer, (HAlN-i-Pr)6. J. Organometal. Chem. 1974, 78, 203–213. [Google Scholar] [CrossRef]
- Del Piero, G.; Cesari, M.; Dossi, G.; Mazzei, A. The chemistry and the stereochemistry of poly(n-alkyliminoalanes): X. The crystal and molecular structure of the tetramers (HAlN-i-Pr)4 and (MeAlN-i-Pr)4. J. Organometal. Chem. 1977, 129, 281–288. [Google Scholar] [CrossRef]
- Del Piero, G.; Cesari, M.; Perego, G.; Cucinella, S.; Cernia, E. The chemistry and the stereochemistry of poly (N-alkyliminoalanes): XI. The crystal and molecular structure of the hexamer (HAlN-n-Pr)6 and the octamer (HAlN-n-Pr)8. J. Organometal. Chem. 1977, 129, 289–298. [Google Scholar] [CrossRef]
- Belgardt, T.; Waezsada, S.D.; Roesky, H.W.; Gornitzka, H.; Haeming, L.; Stalke, D. Synthesis and Characterization of (Pentafluorophenyl)amino-Based Amino- and Iminometallanes. Crystal Structures of (MeAlNC6F5)4 and NHC6F5Ga(MesGa)3(µ3-NC6F5)4 (Mes = 2,4,6-Me3C6H2). Inorg. Chem. 1994, 33, 6247–6251. [Google Scholar] [CrossRef]
- Schulz, S.; Häming, L.; Herbst-Irmer, R.; Roesky, H.W.; Sheldrick, G.M. Synthesis and Structure of the First Dimeric Iminoalane Containing an Al2N2 Heterocycle. Angew. Chem. Int. Ed. Engl. 1994, 33, 969–970. [Google Scholar] [CrossRef]
- Schulz, S.; Voigt, A.; Roesky, H.W.; Häming, L.; Herbst-Irmer, R. Synthesis of Dimeric Iminoalanes by Oxidative Addition of Azides to (Cp*Al)4: Structural Characterization of (Cp*AlNSitBu3)2 (Cp* = C5Me5). Organometallics 1996, 15, 5252–5253. [Google Scholar] [CrossRef]
- Fisher, J.D.; Shapiro, P.J.; Yap, G.P.A.; Rheingold, A.L. [CpAlN(2,6-i-Pr2C6H3)]2: A Dimeric Iminoalane Obtained by Alkane Elimination. Inorg. Chem. 1996, 35, 271–272. [Google Scholar] [CrossRef] [PubMed]
- Hamilton, T.P.; Shaikh, A.W. Theoretical Study of the Dimerization of Multiply-Bonded Aluminum−Nitrogen Compounds. Inorg. Chem. 1997, 36, 754–755. [Google Scholar] [CrossRef]
- Cui, C.; Roesky, H.W.; Schmidt, H.-G.; Noltemeyer, M. [HC{(CMe)(NAr)}2]Al[(NSiMe3)2N2] (Ar = 2,6-iPr2C6H3): The First Five-Membered AlN4 Ring System. Angew. Chem. Int. Ed. 2000, 39, 4531–4533. [Google Scholar] [CrossRef]
- Zhu, H.; Yang, Z.; Magull, J.; Roesky, H.W.; Schmidt, H.-G.; Noltemeyer, M. Syntheses and Structural Characterization of a LAl(N3)N[μ-Si(N3)(tBu)]2NAl(N3)L and a Monomeric Aluminum Hydride Amide LAlH(NHAr) (L = HC[(CMe)(NAr)]2, Ar = 2,6-iPr2C6H3). Organometallics 2005, 24, 6420–6425. [Google Scholar] [CrossRef]
- Hardman, N.J.; Cui, C.M.; Roesky, H.W.; Fink, W.H.; Power, P.P. Stable, monomeric imides of aluminum and gallium: Synthesis and characterization of {HC(MeCDippN)2)}MN-2,6-Trip2C6H3 (M = Al or Ga; Dipp = 2,6-iPr2C6H3; Trip = 2,4,6-iPr3C6H2). Angew. Chem. Int. Ed. 2001, 40, 2172–2174. [Google Scholar] [CrossRef]
- Zhu, H.; Chai, J.; Chandrasekhar, V.; Roesky, H.W.; Magull, J.; Vidovic, D.; Schmidt, H.-G.; Noltemeyer, M.; Power, P.P.; Merrill, W.A. Two Types of Intramolecular Addition of an Al−N Multiple-Bonded Monomer LAlNAr‘ Arising from the Reaction of LAl with N3Ar‘ (L = HC[(CMe)(NAr)]2, Ar‘ = 2,6-Ar2C6H3, Ar = 2,6-iPr2C6H3). J. Am. Chem. Soc. 2004, 126, 9472–9473. [Google Scholar] [CrossRef]
- Li, J.F.; Li, X.F.; Huang, W.; Hu, H.F.; Zhang, J.Y.; Cui, C.M. Synthesis, Structure, and Reactivity of a Monomeric Imino-alane. Chem. Eur. J. 2012, 18, 15263–15266. [Google Scholar] [CrossRef]
- Schwamm, R.J.; Anker, M.D.; Lein, M.; Coles, M.P. Reduction vs. Addition: The Reaction of an Aluminyl Anion with 1,3,5,7-Cyclooctatetraene. Angew. Chem. Int. Ed. Engl. 2018, 58, 1489–1493. [Google Scholar] [CrossRef] [PubMed]
- Anker, M.D.; Schwamm, R.J.; Coles, M.P. Synthesis and reactivity of a terminal aluminium–imide bond. Chem. Commun. 2020, 56, 2288–2291. [Google Scholar] [CrossRef] [PubMed]
- Coles, M.P.; Evans, M.J. The emerging chemistry of the aluminyl anion. Chem. Commun. 2022, 59, 503–519. [Google Scholar] [CrossRef]
- Coles, M.P. Aluminyl Anions. In Encyclopedia of Inorganic and Bioinorganic Chemistry; Wiley: Hoboken, NJ, USA, 2024; pp. 1–23. [Google Scholar]
- Hicks, J.; Vasko, P.; Goicoechea, J.M.; Aldridge, S. Synthesis, structure and reaction chemistry of a nucleophilic aluminyl anion. Nature 2018, 557, 92–95. [Google Scholar] [CrossRef]
- Heilmann, A.; Hicks, J.; Vasko, P.; Goicoechea, J.M.; Aldridge, S. Carbon Monoxide Activation by a Molecular Aluminium Imide: C−O Bond Cleavage and C−C Bond Formation. Angew. Chem. Int. Ed. Engl. 2020, 59, 4897–4901. [Google Scholar] [CrossRef]
- Hicks, J.; Vasko, P.; Goicoechea, J.M.; Aldridge, S. The Aluminyl Anion: A New Generation of Aluminium Nucleophile. Angew. Chem. Int. Ed. Engl. 2020, 60, 1702–1713. [Google Scholar] [CrossRef]
- Heilmann, A.; Vasko, P.; Hicks, J.; Goicoechea, J.M.; Aldridge, S. An Aluminium Imide as a Transfer Agent for the [NR]2−Function via Metathesis Chemistry. Chem.–A Eur. J. 2023, 29, e202300018. [Google Scholar] [CrossRef]
- Heilmann, A.; Saddington, A.M.; Goicoechea, J.M.; Aldridge, S. Aluminium and Gallium Silylimides as Nitride Sources. Chem.–A Eur. J. 2023, 29, e202302512. [Google Scholar] [CrossRef]
- Queen, J.D.; Irvankoski, S.; Fettinger, J.C.; Tuononen, H.M.; Power, P.P. A Monomeric Aluminum Imide (Iminoalane) with Al–N Triple-Bonding: Bonding Analysis and Dispersion Energy Stabilization. J. Am. Chem. Soc. 2021, 143, 6351–6356. [Google Scholar] [CrossRef]
- Schwamm, R.J.; Coles, M.P.; Hill, M.S.; Mahon, M.F.; McMullin, C.L.; Rajabi, N.A.; Wilson, A.S.S. A Stable Calcium Alumanyl. Angew. Chem. Int. Ed. 2020, 59, 3928–3932. [Google Scholar] [CrossRef]
- Schwamm, R.J.; Hill, M.S.; Liu, H.; Mahon, M.F.; McMullin, C.L.; Rajabi, N.A. Seven-Membered Cyclic Potassium Diamidoalumanyls. Chem.–A Eur. J. 2021, 27, 14971–14980. [Google Scholar] [CrossRef] [PubMed]
- Liu, H.-Y.; Hill, M.S.; Mahon, M.F. Diverse reactivity of an Al(I)-centred anion towards ketones. Chem. Commun. 2022, 58, 6938–6941. [Google Scholar] [CrossRef] [PubMed]
- Liu, H.-Y.; Hill, M.S.; Mahon, M.F.; McMullin, C.L.; Schwamm, R.J. Seven-Membered Cyclic Diamidoalumanyls of Heavier Alkali Metals: Structures and C–H Activation of Arenes. Organometallics 2023, 42, 2881–2892. [Google Scholar] [CrossRef] [PubMed]
- Liu, H.-Y.; Mahon, M.F.; Hill, M.S. Aluminum–Boron Bond Formation by Boron Ester Oxidative Addition at an Alumanyl Anion. Inorg. Chem. 2023, 62, 15310–15319. [Google Scholar] [CrossRef]
- Hill, M.S.; Mahon, M.F.; McMullin, C.L.; Neale, S.E.; Pearce, K.G.; Schwamm, R.J. White Phosphorus Reduction and Oligomerization by a Potassium Diamidoalumanyl. Z. Anorg. Allg. Chem. 2022, 648, e202200224. [Google Scholar] [CrossRef]
- Zhu, L.; Kinjo, R. Reactions of main group compounds with azides forming organic nitrogen-containing species. Chem. Soc. Rev. 2023, 52, 5563–5606. [Google Scholar] [CrossRef]
- Uhl, W.; Gerding, R.; Pohl, S.; Saak, W. Reactions of R2Al-AlR2 (R = CH(SiMe3)2) with trimethylsilyl azide. Insertion into the Al-Al bond and formation of a trimeric dialkylaluminum azide. Chem. Ber. 1995, 128, 81–85. [Google Scholar] [CrossRef]
- Fischer, R.A.; Miehr, A.; Sussek, H.; Pritzkow, H.; Herdtweck, E.; Müller, J.; Ambacher, O.; Metzger, T. Structures of (C5H5N)3Al(N3)3, [Me2N(CH2)3]2Al(N3) and Me2(N3)Al(H2NBut). Low-temperature OMVPE of AlN in the absence of ammonia. Chem. Commun. 1996, 23, 2685–2686. [Google Scholar] [CrossRef]
- Sussek, H.; Stowasser, F.; Pritzkow, H.; Fischer, R.A. Tetraazido Complexes of Aluminium, Gallium, and Indium. Eur. J. Inorg. Chem. 2000, 2000, 455–461. [Google Scholar] [CrossRef]
- Knabel, K.; Nöth, H. Synthesis and Structures of Some Aluminum Pseudohalides. Z. Naturforschung Sect. B-A J. Chem. Sci. 2005, 60, 155–163. [Google Scholar] [CrossRef]
- Dolomanov, O.V.; Bourhis, L.J.; Gildea, R.J.; Howard, J.A.K.; Puschmann, H. OLEX2: A Complete Structure Solution, Refinement and Analysis Program. J. Appl. Crystallogr. 2009, 42, 339–341. [Google Scholar] [CrossRef]
- Sheldrick, G.M. SHELXT-Integrated Space-Group and Crystal-Structure Determination. Acta Crystallogr. Sect. A Found. Adv. 2015, A71, 3–8. [Google Scholar] [CrossRef] [PubMed]
- Sheldrick, G.M. Crystal Structure Refinement with SHELXL. Acta Crystallogr. Sect. C Struct. Chem. 2015, C71, 3–8. [Google Scholar] [CrossRef]
Disclaimer/Publisher’s Note: The statements, opinions and data contained in all publications are solely those of the individual author(s) and contributor(s) and not of MDPI and/or the editor(s). MDPI and/or the editor(s) disclaim responsibility for any injury to people or property resulting from any ideas, methods, instructions or products referred to in the content. |
© 2025 by the authors. Licensee MDPI, Basel, Switzerland. This article is an open access article distributed under the terms and conditions of the Creative Commons Attribution (CC BY) license (https://creativecommons.org/licenses/by/4.0/).







