High-Coercivity Ferrimagnet Co₂FeO₂BO₃: XMCD Insights into Charge-Ordering and Cation Distribution
Abstract
1. Introduction
2. Experimental Details
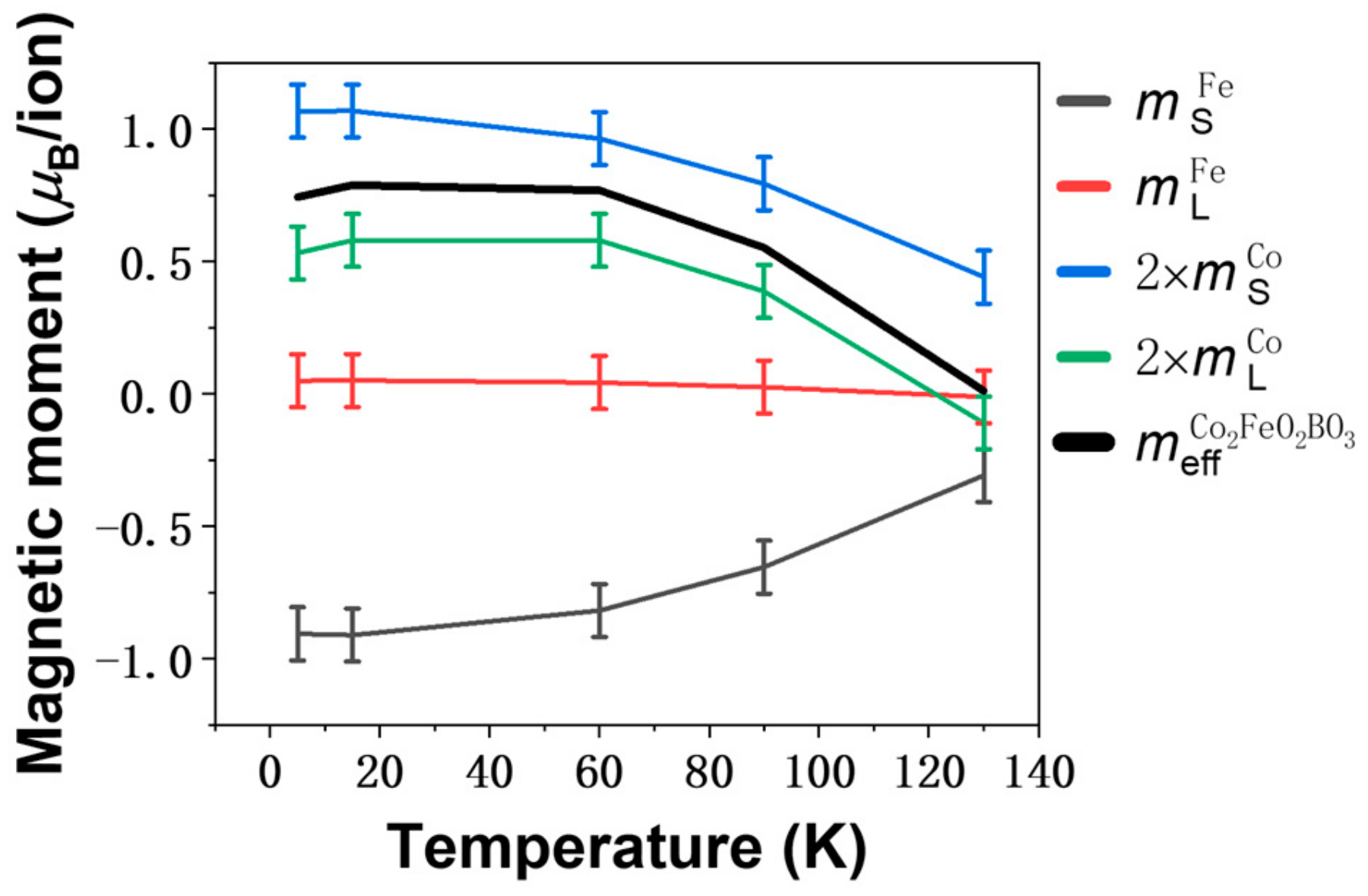
3. Results and Discussion
4. Conclusions
Supplementary Materials
Funding
Data Availability Statement
Acknowledgments
Conflicts of Interest
References
- Gutfleisch, O.; Willard, M.A.; Brück, E.; Chen, C.H.; Sankar, S.G.; Liu, J.P. Magnetic materials and devices for the 21st century: Stronger, lighter, and more energy efficient. Adv. Mater. 2011, 23, 821–842. [Google Scholar] [CrossRef] [PubMed]
- Chu, S.; Majumdar, A. Opportunities and challenges for a sustainable energy future. Nature 2012, 488, 294–303. [Google Scholar] [CrossRef] [PubMed]
- Bollero, A.; Palmero, E.M. Recent advances in hard ferrite magnets. Mod. Perm. Magn. 2022, 3, 65–112. [Google Scholar] [CrossRef]
- Kwon, H.; McClain, K.R.; Kragskow, J.G.C.; Staab, J.K.; Ozerov, M.; Meihaus, K.R.; Harvey, B.G.; Choi, E.S.; Chilton, N.F.; Long, J.R. Coercive fields exceeding 30 T in the mixed-valence single-molecule magnet (CpiPr5)2Ho2I3. J. Am. Chem. Soc. 2024, 146, 18714–18721. [Google Scholar] [CrossRef] [PubMed]
- Perlepe, P.; Oyarzabal, I.; Mailman, A.; Yquel, M.; Platunov, M.; Dovgaliuk, I.; Rouzières, M.; Négrier, P.; Mondieig, D.; Suturina, E.A.; et al. Metal-organic magnets with large coercivity and ordering temperatures up to 242 °C. Science 2020, 370, 587–592. [Google Scholar] [CrossRef]
- Miller, J.S. Organic-and molecule-based magnets. Mater. Today 2014, 17, 224–235. [Google Scholar] [CrossRef]
- Goodwin, C.A.P.; Ortu, F.; Reta, D.; Chilton, N.F.; Mills, D.P. Molecular magnetic hysteresis at 60 kelvin in dysprosocenium. Nature 2017, 548, 439–442. [Google Scholar] [CrossRef]
- Guo, F.-S.; Day, B.M.; Chen, Y.-C.; Tong, M.-L.; Mansikkamäki, A.; Layfield, R.A. Magnetic hysteresis up to 80 kelvin in a dysprosium metallocene single-molecule magnet. Science 2018, 362, 1400–1403. [Google Scholar] [CrossRef]
- Coey, M. Charge-ordering in oxides. Nature 2004, 430, 155–157. [Google Scholar] [CrossRef]
- Mir, M.; Guimarães, R.B.; Fernandes, J.C.; Continentino, M.A.; Doriguetto, A.C.; Mascarenhas, Y.P.; Ellena, J.; Castellano, E.E.; Freitas, R.S.; Ghivelder, L. Structural transition and pair formation in Fe3O2BO3. Phys. Rev. Lett. 2001, 87, 147201. [Google Scholar] [CrossRef]
- Galdino, C.W.; Freitas, D.C.; Medrano, C.P.C.; Tartaglia, R.; Rigitano, D.; Oliveira, J.F.; Mendonça, A.A. Magnetic; electronic; structural, and thermal properties of the Co3O2BO3 ludwigite in the paramagnetic state. Phys. Rev. B 2019, 100, 165138. [Google Scholar] [CrossRef]
- Larrea, J.; Sánchez, D.R.; Litterst, F.J.; Baggio-Saitovitch, E.M.; Fernandes, J.C.; Guimaraes, R.B.; Continentino, M.A. Magnetism and charge ordering in Fe₃O₂BO₃ studied by Fe⁵⁷ Mössbauer spectroscopy. Phys. Rev. B 2004, 70, 174452. [Google Scholar] [CrossRef]
- Freitas, D.C.; Continentino, M.A.; Guimaraes, R.B.; Fernandes, J.C.; Oliveira, E.P.; Santelli, R.E.; Ellena, J.; Eslava, G.G.; Ghivelder, L. Partial magnetic ordering and crystal structure of the ludwigites Co2FeO2BO3 and Ni2FeO2BO3. Phys. Rev. B 2009, 79, 134437. [Google Scholar] [CrossRef]
- Kumar, J.; Panja, S.N.; Mukkattukavil, D.J.; Bhattacharyya, A.; Nigam, A.K.; Nair, S. Reentrant superspin glass state and magnetization steps in the oxyborate Co2AlBO5. Phys. Rev. B 2017, 95, 144409. [Google Scholar] [CrossRef]
- Heringer, M.A.V.; Mariano, D.L.; Freitas, D.C.; Baggio-Saitovitch, E.; Continentino, M.A.; Sanchez, D.R. Spin-glass behavior in Co3Mn3(O2BO3)2 ludwigite with weak disorder. Phys. Rev. Mater. 2020, 4, 064412. [Google Scholar] [CrossRef]
- Kulbakov, A.A.; Sarkar, R.; Janson, O.; Dengre, S.; Weinhold, T.; Moshkina, E.M.; Portnichenko, P.Y. Destruction of long-range magnetic order in an external magnetic field and the associated spin dynamics in Cu2GaBO5 and Cu2AlBO5 ludwigites. Phys. Rev. B 2021, 103, 024447. [Google Scholar] [CrossRef]
- Medrano, C.P.C.; Sadrollahi, E.; Da Fonseca, R.G.M.; Passamani, E.C.; Freitas, D.C.; Continentino, M.A.; Sanchez, D.R.; Litterst, F.J.; Baggio-Saitovitch, E. Magnetic properties of Ni5Sn(O2BO3)2 ludwigite. Phys. Rev. B 2021, 103, 064430. [Google Scholar] [CrossRef]
- Damay, F.; Sottmann, J.; Fauth, F.; Suard, E.; Maignan, A.; Martin, C. High temperature spin-driven multiferroicity in ludwigite chromocuprate Cu2CrBO5. Appl. Phys. Lett. 2021, 118, 192903. [Google Scholar] [CrossRef]
- Ivanova, N.B.; Kazak, N.V.; Knyazev, Y.V.; Velikanov, D.A.; Bezmaternykh, L.N.; Ovchinnikov, S.G.; Vasiliev, A.D.; Platunov, M.S.; Bartolomé, J.; Patrin, G.S. Crystal structure and magnetic anisotropy of ludwigite Co2FeO2BO3. J. Exp. Theor. Phys. 2011, 113, 1015–1024. [Google Scholar] [CrossRef]
- Bartolomé, J.; Arauzo, A.; Kazak, N.V.; Ivanova, N.B.; Ovchinnikov, S.G.; Knyazev, Y.V.; Lyubutin, I.S. Uniaxial magnetic anisotropy in Co2.25Fe0.75O2BO3 compared to Co3O2BO3 and Fe₃O2BO3 ludwigites. Phys. Rev. B 2011, 83, 144426. [Google Scholar] [CrossRef]
- Bordet, P.; Suard, E. Magnetic structure and charge ordering in Fe3BO5: A single-crystal x-ray and neutron powder diffraction study. Phys. Rev. B 2009, 79, 144408. [Google Scholar] [CrossRef]
- Freitas, D.C.; Continentino, M.A.; Guimaraes, R.B.; Fernandes, J.C.; Ellena, J.; Ghivelder, L. Structure and magnetism of homometallic ludwigites: Co3O2BO3 versus Fe3O2BO3. Phys. Rev. B 2008, 77, 184422. [Google Scholar] [CrossRef]
- Angst, M.; Hermann, R.P.; Schweika, W.; Kim, J.W.; Khalifah, P.; Xiang, H.J.; Whangbo, M.H.; Kim, D.H.; Sales, B.C.; Mandrus, D. Incommensurate charge order phase in Fe2OBO3 due to geometrical frustration. Phys. Rev. Lett. 2007, 99, 256402. [Google Scholar] [CrossRef] [PubMed]
- Freitas, D.C.; Medrano, C.P.C.; Sanchez, D.R.; Regueiro, M.N.; Rodríguez-Velamazán, J.A.; Continentino, M.A. Magnetism and charge order in the ladder compound Co3O2BO3. Phys. Rev. B 2016, 94, 174409. [Google Scholar] [CrossRef]
- Kazak, N.V.; Platunov, M.S.; Knyazev, Y.V.; Molokeev, M.S.; Gorev, M.V.; Ovchinnikov, S.G.; Pchelkina, Z.V. Spin state crossover in Co3BO5. Phys. Rev. B 2021, 103, 094445. [Google Scholar] [CrossRef]
- Galdino, C.W.; Freitas, D.C.; Medrano, C.P.C.; Sanchez, D.R.; Tartaglia, R.; Rabello, L.P.; Mendonça, A.A. Structural and spectroscopic investigation of the charge-ordered, short-range ordered, and disordered phases of the Co3O2BO3 ludwigite. Phys. Rev. B 2021, 104, 195151. [Google Scholar] [CrossRef]
- Knyazev, Y.V.; Kazak, N.V.; Zhandun, V.S.; Bartolomé, J.; Arauzo, A.; Belskaya, N.A.; Bayukov, O.A.; Bezmaternykh, L.N.; Ovchinnikov, S.G. Electronic and magnetic states of Fe ions in Co2FeBO5. Dalton Trans. 2021, 50, 9735–9745. [Google Scholar] [CrossRef]
- Stöhr, J. Exploring the microscopic origin of magnetic anisotropies with X-ray magnetic circular dichroism (XMCD) spectroscopy. J. Magn. Magn. Mater. 1999, 200, 470–497. [Google Scholar] [CrossRef]
- Kawai, T.; Ma, B.M.; Sankar, S.G.; Wallace, W.E. Effect of crystal alignment on the remanence of sintered NdFeB magnets. J. Appl. Phys. 1990, 67, 4610–4612. [Google Scholar] [CrossRef]
- Cardarelli, F. Materials Handbook, 2nd ed.; Springer: London, UK, 2008. [Google Scholar] [CrossRef]
- Kütterer, R.; Hilzinger, H.-R.; Kronmüller, H. The temperature dependence of the coercive field of Co5Sm magnets. J. Magn. Magn. Mater. 1977, 4, 1–7. [Google Scholar] [CrossRef]
- Tellez-Blanco, J.C.; Kou, X.C.; Grössinger, R.; Estevez-Rams, E.; Fidler, J.; Ma, B.M. Coercivity and magnetic anisotropy of sintered Sm2Co17-type permanent magnets. J. Appl. Phys. 1997, 82, 3928–3933. [Google Scholar] [CrossRef]
- De Groot, F. High-resolution X-ray emission and X-ray absorption spectroscopy. Chem. Rev. 2001, 101, 1779–1808. [Google Scholar] [CrossRef] [PubMed]
- Liu, J.; Si, L.; Zhang, Q.; Wang, X.; Freese, J.; Harris, G.; Wu, M.; Zhang, X.; Lin, T.; Sutarto, R.; et al. Realization of fully high-spin state and strong ferromagnetism in LaCoO₃ monolayer. Adv. Funct. Mater. 2024, 2401859. [Google Scholar] [CrossRef]
- Brotton, S.J.; Shapiro, R.; van der Laan, G.; Guo, J.; Glans, P.A.; Ajello, J.M. Valence state fossils in Proterozoic stromatolites by L-edge X-ray absorption spectroscopy. J. Geophys. Res. Biogeosci. 2007, 112, G03004. [Google Scholar] [CrossRef]
- Stavitski, E.; De Groot, F.M.F. The CTM4XAS program for EELS and XAS spectral shape analysis of transition metal L edges. Micron 2010, 41, 687–694. [Google Scholar] [CrossRef]
- Carra, P.; Thole, B.T.; Altarelli, M.; Wang, X. X-ray circular dichroism and local magnetic fields. Phys. Rev. Lett. 1993, 70, 694. [Google Scholar] [CrossRef]
- Thole, B.T.; Carra, P.; Sette, F.; van der Laan, G. X-ray circular dichroism as a probe of orbital magnetization. Phys. Rev. Lett. 1992, 68, 1943. [Google Scholar] [CrossRef]
- De Groot, F.M.F.; Grioni, M.; Fuggle, J.C.; Ghijsen, J.; Sawatzky, G.A.; Petersen, H. Oxygen 1s X-ray absorption edges of transition-metal oxides. Phys. Rev. B 1989, 40, 5715. [Google Scholar] [CrossRef]
- Colliex, C.; Manoubi, T.; Ortiz, C. Electron-energy-loss-spectroscopy near-edge fine structures in the iron-oxygen system. Phys. Rev. B 1991, 44, 11402. [Google Scholar] [CrossRef]
- Pong, W.F.; Su, M.H.; Tsai, M.H.; Hsieh, H.H.; Pieh, J.Y.; Chang, Y.K.; Kuo, K.C.; Tseng, P.K.; Lee, J.F.; Chung, S.C.; et al. Oxygen 1s X-ray absorption near-edge structure of Zn-Ni ferrites: A comparison with the theoretical calculations. Phys. Rev. B 1996, 54, 16641. [Google Scholar] [CrossRef]
- Fernandes, J.C.; Guimaraes, R.B.; Continentino, M.A.; Borges, H.A.; Sulpice, A.; Tholence, J.L.; Siqueira, J.L.; Zawislak, L.I.; Da Cunha, J.B.M.; Santos, C.A.D. Magnetic interactions in the ludwigite Ni2FeO2BO3. Phys. Rev. B 1998, 58, 287. [Google Scholar] [CrossRef]
- Continentino, M.A.; Fernandes, J.C.; Guimarães, R.B.; Borges, H.A.; Sulpice, A.; Tholence, J.-L.; Siqueira, J.L.; Da Cunha, J.B.M.; Santos, C.A.D. Magnetic interactions in the monoclinic ludwigite Cu2FeO2BO3. Eur. Phys. J. B 1999, 9, 613–618. [Google Scholar] [CrossRef]
- Hrkac, G.; Woodcock, T.G.; Butler, K.T.; Saharan, L.; Bryan, M.T.; Schrefl, T.; Gutfleisch, O. Impact of different Nd-rich crystal-phases on the coercivity of Nd-Fe-B grain ensembles. Scr. Mater. 2014, 70, 35–38. [Google Scholar] [CrossRef]
- Kulesh, N.; Bolyachkin, A.; Dengina, E.; Tang, X.; Ohkubo, T.; Kajiwara, T.; Miyawaki, H.; Sepehri-Amin, H.; Hono, K. Coercivity limits in Nd-Fe-B hot-deformed magnets with ultrafine microstructure. Acta Mater. 2024, 276, 120159. [Google Scholar] [CrossRef]
- Woodcock, T.G.; Zhang, Y.; Hrkac, G.; Ciuta, G.; Dempsey, N.M.; Schrefl, T.; Gutfleisch, O.; Givord, D. Understanding the microstructure and coercivity of high-performance NdFeB-based magnets. Scr. Mater. 2012, 67, 536–541. [Google Scholar] [CrossRef]
- Bance, S.; Seebacher, B.; Schrefl, T.; Exl, L.; Winklhofer, M.; Hrkac, G.; Zimanyi, G.; Shoji, T.; Yano, M.; Sakuma, N.; et al. Grain-size dependent demagnetizing factors in permanent magnets. J. Appl. Phys. 2014, 116, 233903. [Google Scholar] [CrossRef]
- Fischbacher, J.; Kovacs, A.; Exl, L.; Kühnel, J.; Mehofer, E.; Sepehri-Amin, H.; Ohkubo, T.; Hono, K.; Schrefl, T. Searching the weakest link: Demagnetizing fields and magnetization reversal in permanent magnets. Scr. Mater. 2018, 154, 253–258. [Google Scholar] [CrossRef]
- Bishop, A.R.; Lewis, W.F. A theory of intrinsic coercivity in narrow magnetic domain wall materials. J. Phys. C Solid State Phys. 1979, 12, 3811. [Google Scholar] [CrossRef]
- Guo, X.; Chen, X.; Altounian, Z.; Ström-Olsen, J.O. Temperature dependence of coercivity in MnBi. J. Appl. Phys. 1993, 73, 6275–6277. [Google Scholar] [CrossRef]
- Hubert, A. Schäfer, Magnetic Domains, 1st ed.; Springer: Berlin/Heidelberg, Germany, 1998. [Google Scholar] [CrossRef]
- Duerrschnabel, M.; Yi, M.; Üstüner, K.; Liesegang, M.; Katter, M.; Kleebe, H.-J.; Xu, B.; Gutfleisch, O.; Molina-Luna, L. Atomic structure and domain wall pinning in samarium-cobalt-based permanent magnets. Nat. Commun. 2017, 8, 54. [Google Scholar] [CrossRef]
- Krizek, F.; Reimers, S.; Kašpar, Z.; Marmodoro, A.; Michalička, J.; Man, O.; Edström, A.; Amin, O.J.; Edmonds, K.W.; Campion, R.P.; et al. Atomically sharp domain walls in an antiferromagnet. Sci. Adv. 2022, 8, eabn3535. [Google Scholar] [CrossRef]




Disclaimer/Publisher’s Note: The statements, opinions and data contained in all publications are solely those of the individual author(s) and contributor(s) and not of MDPI and/or the editor(s). MDPI and/or the editor(s) disclaim responsibility for any injury to people or property resulting from any ideas, methods, instructions or products referred to in the content. |
© 2025 by the author. Licensee MDPI, Basel, Switzerland. This article is an open access article distributed under the terms and conditions of the Creative Commons Attribution (CC BY) license (https://creativecommons.org/licenses/by/4.0/).
Share and Cite
Platunov, M.S. High-Coercivity Ferrimagnet Co₂FeO₂BO₃: XMCD Insights into Charge-Ordering and Cation Distribution. Inorganics 2025, 13, 24. https://doi.org/10.3390/inorganics13010024
Platunov MS. High-Coercivity Ferrimagnet Co₂FeO₂BO₃: XMCD Insights into Charge-Ordering and Cation Distribution. Inorganics. 2025; 13(1):24. https://doi.org/10.3390/inorganics13010024
Chicago/Turabian StylePlatunov, Mikhail S. 2025. "High-Coercivity Ferrimagnet Co₂FeO₂BO₃: XMCD Insights into Charge-Ordering and Cation Distribution" Inorganics 13, no. 1: 24. https://doi.org/10.3390/inorganics13010024
APA StylePlatunov, M. S. (2025). High-Coercivity Ferrimagnet Co₂FeO₂BO₃: XMCD Insights into Charge-Ordering and Cation Distribution. Inorganics, 13(1), 24. https://doi.org/10.3390/inorganics13010024
