Strain Modulation of Electronic Properties in Monolayer SnP2S6 and GeP2S6
Abstract
1. Introduction
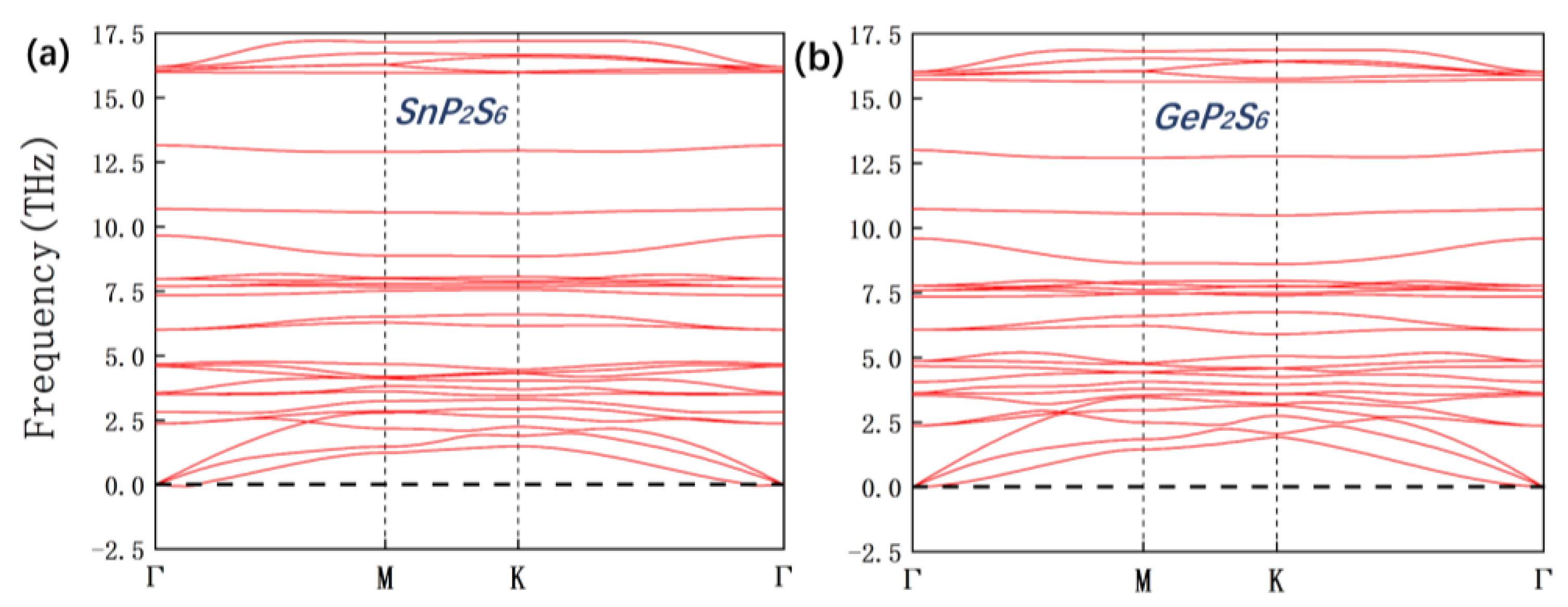
2. Result and Discussion
3. Calculation Method
4. Conclusions
Author Contributions
Funding
Data Availability Statement
Conflicts of Interest
References
- Geim, A.K.; Novoselov, K.S. The rise of graphene. Nat. Mater. 2007, 6, 183–191. [Google Scholar] [CrossRef] [PubMed]
- Novoselov, K.S.; Geim, A.K.; Morozov, S.V.; Jiang, D.; Katsnelson, M.I.; Grigorieva, I.V.; Dubonos, S.V.; Firsov, A.A. Two-dimensional gas of massless Dirac fermions in graphene. Nature 2005, 438, 197–200. [Google Scholar] [CrossRef] [PubMed]
- Tang, Q.; Zhou, Z.; Chen, Z. Innovation and discovery of graphene-like materials via density-functional theory computations. Wiley Interdiscip. Rev. Comput. Mol. Sci. 2015, 5, 360–379. [Google Scholar] [CrossRef]
- Neto, A.C.; Guinea, F.; Peres, N.M.; Novoselov, K.S.; Geim, A.K. The electronic properties of graphene. Rev. Mod. Phys. 2009, 81, 109. [Google Scholar] [CrossRef]
- Novoselov, K.S.; Geim, A.K.; Morozov, S.V.; Jiang, D.; Zhang, Y.; Dubonos, S.V.; Grigorieva, I.V.; Firsov, A.A. Electric field effect in atomically thin carbon films. Science 2004, 306, 666–669. [Google Scholar] [CrossRef] [PubMed]
- Kanoun, M.B.; Goumri-Said, S. Tailoring optoelectronic properties of monolayer transition metal dichalcogenide through alloying. Materialia 2020, 12, 100708. [Google Scholar] [CrossRef]
- Chettri, B.; Patra, P.K.; Lalmuanchhana; Lalhriatzuala; Verma, S.; Rao, B.K.; Verma, M.L.; Thakur, V.; Kumar, N.; Hieu, N.N.; et al. Induced magnetic states upon electron–hole injection at B and N sites of hexagonal boron nitride bilayer: A density functional theory study. Int. J. Quantum Chem. 2021, 121, e26680. [Google Scholar] [CrossRef]
- Raya, S.S.; Ansari, A.S.; Shong, B. Adsorption of gas molecules on graphene, silicene, and germanene: A comparative first-principles study. Surf. Interfaces 2021, 24, 101054. [Google Scholar] [CrossRef]
- Lu, F.; Wang, W.; Luo, X.; Xie, X.; Cheng, Y.; Dong, H.; Liu, H.; Wang, W.-H. A class of monolayer metal halogenides MX2: Electronic structures and band alignments. Appl. Phys. Lett. 2016, 108, 132104. [Google Scholar] [CrossRef]
- Liu, P.; Lu, F.; Wu, M.; Luo, X.; Cheng, Y.; Wang, X.-W.; Wang, W.; Wang, W.-H.; Liu, H.; Cho, K. Electronic structures and band alignments of monolayer metal trihalide semiconductors MX3. J. Mater. Chem. C 2017, 5, 9066–9071. [Google Scholar] [CrossRef]
- Susner, M.A.; Chyasnavichyus, M.; McGuire, M.A.; Ganesh, P.; Maksymovych, P. Metal thio-and selenophosphates as multifunctional van der Waals layered materials. Adv. Mater. 2017, 29, 1602852. [Google Scholar] [CrossRef]
- Li, X.; Zhu, H. Two-dimensional MoS2: Properties, preparation, and applications. J. Mater. 2015, 1, 33–44. [Google Scholar] [CrossRef]
- Gurarslan, A.; Jiao, S.; Li, T.D.; Li, G.; Yu, Y.; Gao, Y.; Riedo, E.; Xu, Z.; Cao, L. Van der waals force isolation of monolayer MoS2. Adv. Mater. 2016, 28, 10055–10060. [Google Scholar] [CrossRef]
- Molina-Sánchez, A.; Hummer, K.; Wirtz, L. Vibrational and optical properties of MoS2: From monolayer to bulk. Surf. Sci. Rep. 2015, 70, 554–586. [Google Scholar] [CrossRef]
- Sugita, Y.; Miyake, T.; Motome, Y. Multiple dirac cones and topological magnetism in honeycomb-monolayer transition metal trichalcogenides. Phys. Rev. B 2018, 97, 035125. [Google Scholar] [CrossRef]
- Chyasnavichyus, M.; Susner, M.A.; Ievlev, A.V.; Eliseev, E.A.; Kalinin, S.V.; Balke, N.; Morozovska, A.N.; McGuire, M.A.; Maksymovych, P. Size-effect in layered ferrielectric CuInP2S6. Appl. Phys. Lett. 2016, 109, 172901. [Google Scholar] [CrossRef]
- Zhang, X.; Zhao, X.; Wu, D.; Jing, Y.; Zhou, Z. MnPSe3 monolayer: A promising 2d visible-light photohydrolytic catalyst with high carrier mobility. Adv. Sci. 2016, 3, 1600062. [Google Scholar] [CrossRef]
- Jing, Y.; Zhou, Z.; Zhang, J.; Huang, C.; Li, Y.; Wang, F. SnP2S6 monolayer: A promising 2D semiconductor for photocatalytic water splitting. Phys. Chem. Chem. Phys. 2019, 21, 21064–21069. [Google Scholar] [CrossRef]
- Liu, J.; Shen, Y.; Lv, L.; Wang, X.; Zhou, M.; Zheng, Y.; Zhou, Z. Rational design of porous GeP2S6 monolayer for photocatalytic water splitting under the irradiation of visible light. Flatchem 2021, 30, 100296. [Google Scholar] [CrossRef]
- He, J.; Lee, S.H.; Naccarato, F.; Brunin, G.; Zu, R.; Wang, Y.; Miao, L.; Wang, H.; Alem, N.; Hautier, G.; et al. SnP2S6: A Promising Infrared Nonlinear Optical Crystal with Strong Nonresonant Second Harmonic Generation and Phase-Matchability. ACS Photonics 2022, 9, 1724–1732. [Google Scholar] [CrossRef]
- Jacobsen, R.S.; Andersen, K.N.; Borel, P.I.; Fage-Pedersen, J.; Frandsen, L.H.; Hansen, O.; Kristensen, M.; Lavrinenko, A.V.; Moulin, G.; Ou, H.; et al. Strained silicon as a new electro-optic material. Nature 2006, 441, 199–202. [Google Scholar] [CrossRef] [PubMed]
- Falvo, M.R.; Clary, G.J.; Taylor, R.M., II; Chi, V.; Brooks, F.P., Jr.; Washburn, S.; Superfine, R. Bending and buckling of carbon nanotubes under large strain. Nature 1997, 389, 582–584. [Google Scholar] [CrossRef]
- Johari, P.; Shenoy, V.B. Tuning the electronic properties of semiconducting transition metal dichalcogenides by applying mechanical strains. ACS Nano 2012, 6, 5449–5456. [Google Scholar] [CrossRef]
- Shi, H.; Pan, H.; Zhang, Y.W.; Yakobson, B.I. Quasiparticle band structures and optical properties of strained monolayer MoS2 and WS2. Phys. Rev. B 2013, 87, 155304. [Google Scholar] [CrossRef]
- Horzum, S.; Sahin, H.; Cahangirov, S.; Cudazzo, P.; Rubio, A.; Serin, T.; Peeters, F.M. Phonon softening and direct to indirect band gap crossover in strained single-layer MoSe2. Phys. Rev. B 2013, 87, 125415. [Google Scholar] [CrossRef]
- Lee, Y.; Cho, S.B.; Chung, Y.C. Tunable indirect to direct band gap transition of monolayer Sc2CO2 by the strain effect. ACS Appl. Mater. Interfaces 2014, 6, 14724–14728. [Google Scholar] [CrossRef]
- He, K.; Poole, C.; Mak, K.F.; Shan, J. Experimental demonstration of continuous electronic structure tuning via strain in atomically thin MoS2. Nano Lett. 2013, 13, 2931–2936. [Google Scholar] [CrossRef] [PubMed]
- Conley, H.J.; Wang, B.; Ziegler, J.I.; Haglund, R.F., Jr.; Pantelides, S.T.; Bolotin, K.I. Bandgap engineering of strained monolayer and bilayer MoS2. Nano Lett. 2013, 13, 3626–3630. [Google Scholar] [CrossRef]
- Yun, W.S.; Han, S.W.; Hong, S.C.; Kim, I.G.; Lee, J.D. Thickness and strain effects on electronic structures of transition metal dichalcogenides: 2H-MX2 semiconductors (M = Mo, W; X = S, Se, Te). Phys. Rev. B 2012, 85, 033305. [Google Scholar] [CrossRef]
- Zhong, F.; Wang, H.; Wang, Z.; Wang, Y.; He, T.; Wu, P.; Peng, M.; Wang, H.; Xu, T.; Wang, F.; et al. Recent progress and challenges on two-dimensional material photodetectors from the perspective of advanced characterization technologies. Nano Res. 2021, 14, 1840–1862. [Google Scholar] [CrossRef]
- Wang, L.; Boutilier, M.S.H.; Kidambi, P.R.; Jang, D.; Hadjiconstantinou, N.G.; Karnik, R. Fundamental transport mechanisms, fabrication and potential applications of nanoporous atomically thin membranes. Nat. Nanotechnol. 2017, 12, 509–522. [Google Scholar] [CrossRef]
- Zhao, J.; Ma, D.; Wang, C.; Guo, Z.; Zhang, B.; Li, J.; Nie, G.; Xie, N.; Zhang, H. Recent advances in anisotropic two-dimensional materials and device applications. Nano Res. 2021, 14, 897–919. [Google Scholar] [CrossRef]
- Haborets, V.; Glukhov, K.; Banys, J.; Vysochanskii, Y. Layered GeP2S6, GeP2Se6, GeP2Te6, SnP2S6, SnP2Se6, and SnP2Te6 Polar Crystals with Semiconductor–Metal Transitions Induced by Pressure or Chemical Composition. Integr. Ferroelectr. 2021, 220, 90–99. [Google Scholar] [CrossRef]
- Lin, M.; Liu, P.; Wu, M.; Cheng, Y.; Liu, H.; Cho, K.; Wang, W.H.; Lu, F. Two-dimensional nanoporous metal chalcogenophosphates MP2X6 with high electron mobilities. Appl. Surf. Sci. 2019, 493, 1334–1339. [Google Scholar] [CrossRef]
- Whangbo, M.H.; Brec, R.; Ouvrard, G.; Rouxel, J. Reduction sites of transition-metal phosphorus trichalcogenides MPX3. Inorg. Chem. 1985, 24, 2459–2461. [Google Scholar] [CrossRef]
- Togo, A.; Tanaka, I. First principles phonon calculations in materials science. Scr. Mater. 2015, 108, 1–5. [Google Scholar] [CrossRef]
- Zhang, Y.; Wang, F.; Feng, X.; Sun, Z.; Su, J.; Zhao, M.; Wang, S.; Hu, X.; Zhai, T. Inversion symmetry broken 2D SnP2S6 with strong nonlinear optical response. Nano Res. 2022, 15, 2391–2398. [Google Scholar] [CrossRef]
- Scalise, E.; Houssa, M.; Pourtois, G.; Afanas’ev, V.; Stesmans, A. Strain-induced semiconductor to metal transition in the two-dimensional honeycomb structure of MoS2. Nano Res. 2012, 5, 43–48. [Google Scholar] [CrossRef]
- Kohn, W.; Sham, L.J. Self-consistent equations including exchange and correlation effects. Phys. Rev. 1965, 140, A1133. [Google Scholar] [CrossRef]
- Kresse, G.; Furthmüller, J. Efficient iterative schemes for ab initio total-energy calculations using a plane-wave basis set. Phys. Rev. B 1996, 54, 11169. [Google Scholar] [CrossRef]
- Perdew, J.P.; Burke, K.; Ernzerhof, M. Generalized gradient approximation made simple. Phys. Rev. Lett. 1996, 77, 3865. [Google Scholar] [CrossRef] [PubMed]









Disclaimer/Publisher’s Note: The statements, opinions and data contained in all publications are solely those of the individual author(s) and contributor(s) and not of MDPI and/or the editor(s). MDPI and/or the editor(s) disclaim responsibility for any injury to people or property resulting from any ideas, methods, instructions or products referred to in the content. |
© 2023 by the authors. Licensee MDPI, Basel, Switzerland. This article is an open access article distributed under the terms and conditions of the Creative Commons Attribution (CC BY) license (https://creativecommons.org/licenses/by/4.0/).
Share and Cite
Zhou, J.; Gu, Y.; Xie, Y.-E.; Qiao, F.; Yuan, J.; He, J.; Wang, S.; Li, Y.; Zhou, Y. Strain Modulation of Electronic Properties in Monolayer SnP2S6 and GeP2S6. Inorganics 2023, 11, 301. https://doi.org/10.3390/inorganics11070301
Zhou J, Gu Y, Xie Y-E, Qiao F, Yuan J, He J, Wang S, Li Y, Zhou Y. Strain Modulation of Electronic Properties in Monolayer SnP2S6 and GeP2S6. Inorganics. 2023; 11(7):301. https://doi.org/10.3390/inorganics11070301
Chicago/Turabian StyleZhou, Junlei, Yuzhou Gu, Yue-E Xie, Fen Qiao, Jiaren Yuan, Jingjing He, Sake Wang, Yangsheng Li, and Yangbo Zhou. 2023. "Strain Modulation of Electronic Properties in Monolayer SnP2S6 and GeP2S6" Inorganics 11, no. 7: 301. https://doi.org/10.3390/inorganics11070301
APA StyleZhou, J., Gu, Y., Xie, Y.-E., Qiao, F., Yuan, J., He, J., Wang, S., Li, Y., & Zhou, Y. (2023). Strain Modulation of Electronic Properties in Monolayer SnP2S6 and GeP2S6. Inorganics, 11(7), 301. https://doi.org/10.3390/inorganics11070301

