Investigations on the Spin States of Two Mononuclear Iron(II) Complexes Based on N-Donor Tridentate Schiff Base Ligands Derived from Pyridine-2,6-Dicarboxaldehyde
Abstract
:1. Introduction
2. Results and Discussion
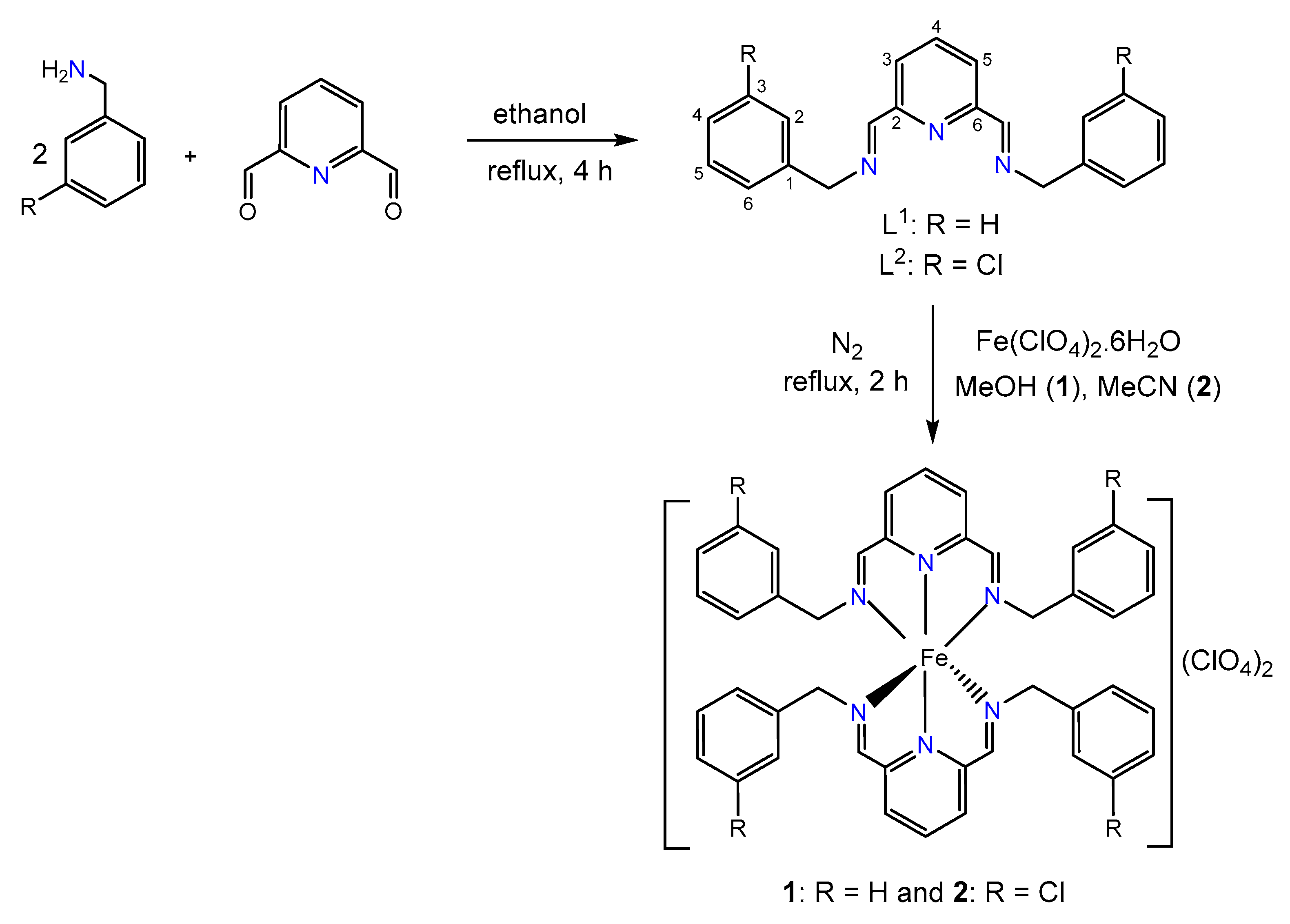
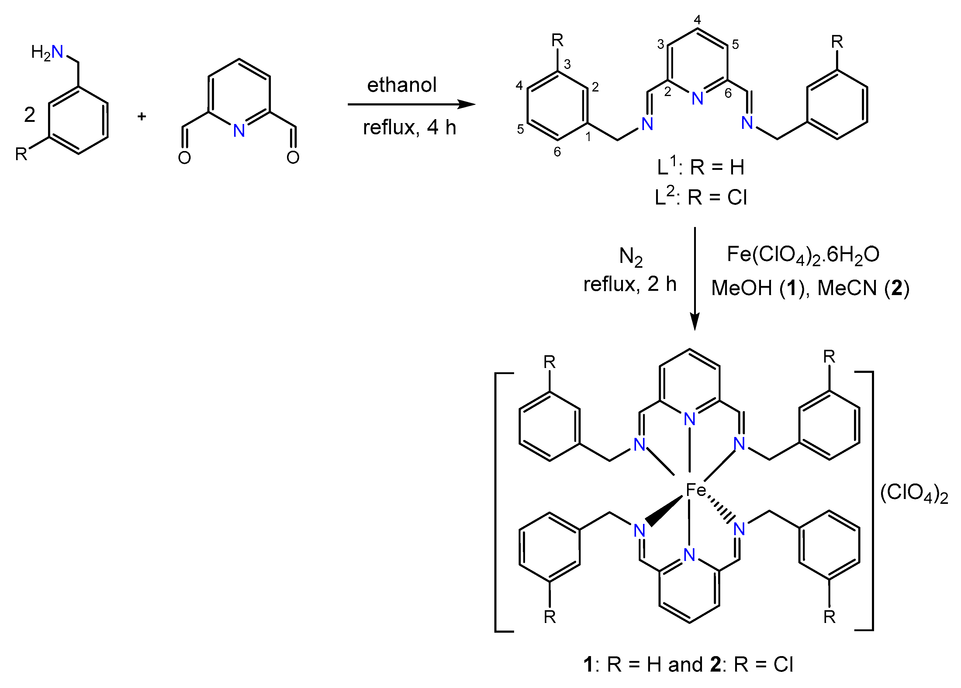
2.1. Schiff Bases L1 and L2 and Their Complexes 1 and 2
2.2. X-ray Crystallographic Analysis
2.3. Magnetic Studies
3. Materials and Methods
3.1. Synthesis
3.1.1. Synthesis of the Schiff Bases L1 and L2
3.1.2. Synthesis of the Complex [Fe(L1)2](ClO4)2·CH3OH (1)
3.1.3. Synthesis of the Complex [Fe(L2)2](ClO4)2·2CH3CN (2)
3.2. Computational Details
4. Conclusions
Supplementary Materials
Author Contributions
Funding
Institutional Review Board Statement
Informed Consent Statement
Data Availability Statement
Acknowledgments
Conflicts of Interest
References
- Cambi, L.; Szego, L. The Magnetic Susceptibility of Complex Compounds. Ber. Dtsch. Chem. Ges 1931, 64, 2591–2598. [Google Scholar] [CrossRef]
- Gutlich, P.; Goodwin, H. Spin Crossover in Transition Metal Compounds I–III. In Topics in Current Chemistry; Springer: New York, NY, USA; Berlin/Heidelberg, Germany, 2004; pp. 2–356. ISBN 3540403949. [Google Scholar]
- Miller, J.S.; Gatteschi, D. Molecule-Based Magnets Themed Issue. Chem. Soc. Rev. 2011, 40, 3313–3335. [Google Scholar] [CrossRef]
- Senthil Kumar, K.; Ruben, M. Emerging Trends in Spin Crossover (SCO) Based Functional Materials and Devices. Coord. Chem. Rev. 2017, 346, 176–205. [Google Scholar] [CrossRef]
- Sugimoto, K.; Okubo, T.; Maekawa, M.; Kuroda-Sowa, T. Visualization of Weak Interaction Effects on N2O Schiff Base Ligands in Iron(II) Spin Crossover Complexes. Cryst. Growth Des. 2021, 21, 4178–4183. [Google Scholar] [CrossRef]
- Aromi, G.; Real, J.A. Special Issue “Spin Crossover (SCO) Research”. Magnetochemistry 2016, 2, 2–4. [Google Scholar] [CrossRef]
- Swart, M.; Costas, M. Spin States in Biochemistry and Inorganic Chemistry Influence on Structure and Reactivity, 1st ed.; Swart, M.C., Ed.; John Wiley & Sons, Ltd.: Chichester, UK, 2016; ISBN 9781118898314. [Google Scholar]
- Senthil Kumar, K.; Bayeh, Y.; Gebretsadik, T.; Elemo, F.; Gebrezgiabher, M.; Thomas, M.; Ruben, M. Spin Crossover in Iron(II) Schiff Base Complexes. Dalton Trans. 2019, 48, 15321–15337. [Google Scholar] [CrossRef]
- Zhong, Z.J.; Tao, J.Q.; Zhi, Y.; Dun, C.Y.; Liu, Y.J.; You, X.Z. A Stacking Spin Crossover Iron(II) Compound with a Large Hysteresis. J. Chem. Soc. Dalton Trans. 1998, 2, 327–328. [Google Scholar] [CrossRef]
- Real, J.A.; Gaspar, A.B.; Carmen Muñoz, M. Thermal, Pressure and Light Switchable Spin Crossover Materials. Dalton Trans. 2005, 12, 2062–2079. [Google Scholar] [CrossRef]
- Halcrow, M.A. Spin-Crossover Materials Properties and Applications; John Wiley & Sons, Ltd.: Chichester, UK, 2013. [Google Scholar]
- Antonio, J.; Ana, R.; Carmen, B.G.M.; Gütlich, P.; Ksenofontov, V.; Spiering, H.; Chemie, A. Bipyrimidine-Bridged Dinuclear Iron(II) Spin Crossover Compounds. Top. Curr. Chem. 2004, 233, 167–193. [Google Scholar] [CrossRef]
- Brooker, S. Spin Crossover with Thermal Hysteresis: Practicalities and Lessons Learnt. Chem. Soc. Rev. 2015, 44, 2880–2892. [Google Scholar] [CrossRef] [Green Version]
- Halcrow, M.A. Structure: Function Relationships in Molecular Spin Crossover Complexes W. Chem. Soc. Rev. 2011, 40, 4119–4142. [Google Scholar] [CrossRef] [PubMed]
- Gamez, P.; Costa, J.S.; Quesada, M.; Aromi, G. Iron Spin Crossover Compounds: From Fundamental Studies to Practical Applications. Dalton Trans. 2009, 38, 7845–7853. [Google Scholar] [CrossRef] [PubMed]
- Murray, K.S.; Kepert, C.J. Cooperativity in Spin Crossover Systems: Memory, Magnetism and Microporosity. Top. Curr. Chem. 2006, 233, 195–228. [Google Scholar] [CrossRef]
- Weber, B.; Bauer, W.; Obel, J. An Iron (II) Spin Crossover Complex with a 70 K Wide Thermal. Angew. Chem. Int. Ed. 2008, 47, 10098–10101. [Google Scholar] [CrossRef] [PubMed]
- Gaspar, A.B.; Mun, M.C. Dinuclear Iron (II) Spin Crossover Compounds: Singular Molecular Materials for Electronics. J. Mater. Chem. 2006, 16, 2522–2533. [Google Scholar] [CrossRef]
- Schäfer, B.; Bauer, T.; Faus, I.; Wolny, J.A.; Dahms, F.; Fuhr, O.; Lebedkin, S.; Wille, H.C.; Schlage, K.; Chevalier, K.; et al. A Luminescent Pt2Fe Spin Crossover Complex. Dalton Trans. 2017, 46, 2289–2302. [Google Scholar] [CrossRef] [PubMed]
- Wang, Y.T.; Li, S.T.; Wu, S.Q.; Cui, A.L.; Shen, D.Z.; Kou, H.Z. Spin Transitions in Fe(II) Metallogrids Modulated by Substituents, Counteranions, and Solvents. J. Am. Chem. Soc. 2013, 135, 5942–5945. [Google Scholar] [CrossRef] [PubMed]
- Weber, B. Spin Crossover Complexes with N4O2 Coordination Sphere-The Influence of Covalent Linkers on Cooperative Interactions. Coord. Chem. Rev. 2009, 253, 2432–2449. [Google Scholar] [CrossRef]
- Halcrow, M.A. Spin-Crossover Compounds with Wide Thermal Hysteresis. Chem. Lett. 2014, 43, 178–1188. [Google Scholar] [CrossRef]
- Lochenie, C.; Bauer, W.; Railliet, A.P.; Schlamp, S.; Garcia, Y.; Weber, B. Large Thermal Hysteresis for Iron(II) Spin Crossover Complexes with N-(Pyrid-4-Yl)Isonicotinamide. Inorg. Chem. 2014, 53, 11563–11572. [Google Scholar] [CrossRef]
- Phonsri, W.; Macedo, D.S.; Vignesh, K.R.; Rajaraman, G.; Davies, C.G.; Jameson, G.N.L.; Moubaraki, B.; Ward, J.S.; Kruger, P.E.; Chastanet, G.; et al. Halogen Substitution Effects on N2O Schiff Base Ligands in Unprecedented Abrupt Fe(II) Spin Crossover Complexes. Chem. Eur. J. 2017, 23, 7052–7065. [Google Scholar] [CrossRef] [PubMed]
- Kimura, A.; Ishida, T. Spin Crossover Temperature Predictable from DFT Calculation for Iron(II) Complexes with 4-Substituted Pybox and Related Heteroaromatic Ligands. ACS Omega 2018, 3, 6737–6747. [Google Scholar] [CrossRef]
- Mochida, N.; Kimura, A.; Ishida, T. Spin Crossover Hysteresis of [FeII (LHiPr)2(NCS)2](LHiPr = N-2-Pyridylmethylene-4 Isopropylaniline) Accompanied by Isopropyl Conformation Isomerism. Magnetochemistry 2015, 1, 17–27. [Google Scholar] [CrossRef]
- Halcrow, M.A. The Spin-States and Spin Transitions of Mononuclear Iron(II) Complexes of Nitrogen-Donor Ligands. Polyhedron 2007, 26, 3523–3576. [Google Scholar] [CrossRef]
- Kershaw Cook, L.J.; Kulmaczewski, R.; Mohammed, R.; Dudley, S.; Barrett, S.A.; Little, M.A.; Deeth, R.J.; Halcrow, M.A. A Unified Treatment of the Relationship between Ligand Substituents and Spin State in a Family of Iron (II) Complexes. Angew. Chem. Int. Ed. 2016, 55, 4327–4331. [Google Scholar] [CrossRef]
- Létard, J.F.; Guionneau, P.; Nguyen, O.; Costa, J.S.; Marcén, S.; Chastanet, G.; Marchivie, M.; Goux-Capes, L. A Guideline to the Design of Molecular-Based Materials with Long-Lived Photomagnetic Lifetimes. Chem. Eur. J. 2005, 11, 4582–4589. [Google Scholar] [CrossRef] [PubMed]
- Yamasaki, M.; Ishida, T. Heating-Rate Dependence of Spin Crossover Hysteresis Observed in an Iron(II) Complex Having Tris (2-Pyridyl)Methanol. J. Mater. Chem. C 2015, 3, 7784–7787. [Google Scholar] [CrossRef]
- Phonsri, W.; Harding, D.J.; Harding, P.; Murray, K.S.; Moubaraki, B.; Gass, I.A.; Cashion, J.D.; Jameson, G.N.L.; Adams, H. Stepped Spin Crossover in Fe(III) Halogen Substituted Quinolylsalicylaldimine Complexes. Dalton Trans. 2014, 43, 17509–17518. [Google Scholar] [CrossRef]
- Madhu, N.T.; Salitros, I.; Schramm, F.; Klyatskaya, S.; Fuhr, O.; Ruben, M. Above Room Temperature Spin Transition in a Series of Iron(II) Bis(Pyrazolyl)Pyridine Compounds. C. R. Chim. 2008, 11, 1166–1174. [Google Scholar] [CrossRef]
- Salitros, I.; Madhu, N.T.; Boca, R.; Pavlik, J.; Ruben, M. Room-Temperature Spin-Transition Iron Compounds. Monatsh. Chem. 2009, 140, 695–733. [Google Scholar] [CrossRef]
- Bayeh, Y.; Osusky, P.; Gyepes, R.; Yutronkie, N.J.; Sergawie, A.; Hrobarik, P.; Clerac, R.; Madhu, T. Low-Spin Mononuclear Iron(II) Complexes Based on Tridentate N-Donor Schiff Base Ligand Derived from Pyridine-2,6-dicarboxaldehyde. Polyhedron, 2022; under preparation. [Google Scholar]
- Stratton, W.J.; Busch, D.H. The Complexes of Pyridinaldazine with Iron(II) and Nickel(II). J. Am. Chem. Soc. 1958, 80, 1286–1289. [Google Scholar] [CrossRef]
- Nakamoto, K. Infrared and Raman Spectra of Inorganic and Coordination Compounds Part B: Theory and Applications; John Wiley & Sons, Inc.: Hoboken, NJ, USA, 1978; Volume 156, ISBN 9780471744931. [Google Scholar]
- Nakamoto, K. Infrared and Raman Spectra of Inorganic and Coordination Compounds: Part A: Theory and Applications in Inorganic Chemistry, 6th ed.; John Wiley & Sons, Inc.: Hoboken, NJ, USA, 2008. [Google Scholar]
- Hagiwara, H.; Tanaka, T.; Hora, S. Synthesis, Structure, and Spin Crossover above Room Temperature of a Mononuclear and Related Dinuclear Double Helicate Iron(II) Complexes. Dalton Trans. 2016, 45, 17132–17140. [Google Scholar] [CrossRef] [PubMed]
- Han, W.K.; Li, Z.H.; Zhu, W.; Li, T.; Li, Z.; Ren, X.; Gu, Z.G. Molecular Isomerism Induced Fe(II) Spin State Difference Based on the Tautomerization of the 4(5)-Methylimidazole Group. Dalton Trans. 2017, 46, 4218–4224. [Google Scholar] [CrossRef] [PubMed]
- Milin, E.; Benaicha, B.; El Hajj, F.; Patinec, V.; Triki, S.; Marchivie, M.; Gómez-García, C.J.; Pillet, S. Magnetic Bistability in Macrocycle-Based Fe(II) Spin Crossover Complexes: Counter Ion and Solvent Effects. Eur. J. Inorg. Chem. 2016, 2016, 5282. [Google Scholar] [CrossRef] [Green Version]
- Marchivie, M.; Guionneau, P.; Létard, J.F.; Chasseau, D. Photo-Induced Spin-Transition: The Role of the Iron(II) Environment Distortion. Acta Crystallogr. Sect. B Struct. Sci. 2005, 61, 25–28. [Google Scholar] [CrossRef] [Green Version]
- Létard, J.F.; Guionneau, P.; Rabardel, L.; Howard, J.A.K.; Goeta, A.E.; Chasseau, D.; Kahn, O. Structural, Magnetic, and Photomagnetic Studies of a Mononuclear Iron(II) Derivative Exhibiting an Exceptionally Abrupt Spin Transition. Light-Induced Thermal Hysteresis Phenomenon. Inorg. Chem. 1998, 37, 4432–4441. [Google Scholar] [CrossRef]
- Ikuta, Y.; Ooidemizu, M.; Yamahata, Y.; Yamada, M.; Osa, S.; Matsumoto, N.; Iijima, S.; Sunatsuki, Y.; Kojima, M.; Dahan, F.; et al. A New Family of Spin Crossover Complexes with a Tripod Ligand Containing Three Imidazoles. Inorg. Chem. 2003, 42, 7001–7017. [Google Scholar] [CrossRef]
- Matouzenko, G.S.; Molnar, G.; Bréfuel, N.; Perrin, M.; Bousseksou, A.; Borshch, S.A. Spin Crossover Iron(II) Coordination Polymer with Zigzag Chain Structure. Chem. Mater. 2003, 15, 550–556. [Google Scholar] [CrossRef]
- Buron-Le Cointe, M.; Hébert, J.; Baldé, C.; Moisan, N.; Toupet, L.; Guionneau, P.; Létard, J.F.; Freysz, E.; Cailleau, H.; Collet, E. Intermolecular Control of Thermoswitching and Photoswitching Phenomena in Two Spin-Crossover Polymorphs. Phys. Rev. B 2012, 85, 39–41. [Google Scholar] [CrossRef] [Green Version]
- Craze, A.R.; Howard-Smith, K.J.; Bhadbhade, M.M.; Mustonen, O.; Kepert, C.J.; Marjo, C.E.; Li, F. Investigation of the High-Temperature Spin-Transition of a Mononuclear Iron(II) Complex Using X-Ray Photoelectron Spectroscopy. Inorg. Chem. 2018, 57, 6503–6510. [Google Scholar] [CrossRef]
- Rodríguez-Velamazán, J.A.; Carbonera, C.; Castro, M.; Palacios, E.; Kitazawa, T.; Létard, J.F.; Burriel, R. Two-Step Thermal Spin Transition and LIESST Relaxation of the Polymeric Spin Crossover Compounds Fe(X-Py)2[Ag(CN)2]2 (X = H, 3-Methyl, 4-Methyl, 3,4-Dimethyl, 3-Cl). Chem. Eur. J. 2010, 16, 8785–8796. [Google Scholar] [CrossRef] [PubMed] [Green Version]
- Sheldrick, G.M. SHELXT—Integrated Space-Group and Crystal-Structure Determination. Acta Crystallogr. Sect. A Found. Crystallogr. 2015, 71, 3–8. [Google Scholar] [CrossRef] [PubMed] [Green Version]
- Sheldrick, G.M. Crystal Structure Refinement with SHELXL. Acta Crystallogr. Sect. C Struct. Chem. 2015, 71, 3–8. [Google Scholar] [CrossRef] [PubMed]
- Lewkowski, J.; Dziȩgielewski, M. Stereochemistry of Phosphite Addition to Azomethine Bond of Achiral 2,6-Pyridinedicarbaldimines and Isophthalaldimines—A Comparative Study. Phosphorus Sulfur Silicon Relat. Elem. 2013, 188, 995–1006. [Google Scholar] [CrossRef]
- Scrimin, P.; Tecilla, P.; Tonellato, U.; Valle, G.; Veronese, A. Metal Ions Co-Operativity in the Catalysis of the Hydrolysis of a β-Amino Ester by a Macrocyclic Dinuclear Cu (II) Complex. Tetrahedron 1995, 51, 527–538. [Google Scholar] [CrossRef]
- TURBOMOLE, Version 7.5; TURBOMOLE GmbH, a Development of the University of Karlsruhe and Forschungszentrum Karlsruhe. 2020. Available online: http://www.turbomole.com (accessed on 29 May 2022).
- Tao, J.; Perdew, J.P.; Staroverov, V.N.; Scuseria, G.E. Climbing the Density Functional Ladder: Nonempirical Meta–Generalized Gradient Approximation Designed for Molecules and Solids. Phys. Rev. Lett. 2003, 91, 3–6. [Google Scholar] [CrossRef] [Green Version]
- Grimme, S.; Antony, J.; Ehrlich, S.; Krieg, H. A Consistent and Accurate Ab Initio Parametrization of Density Functional Dispersion Correction (DFT-D) for the 94 Elements H-Pu. J. Chem. Phys. 2010, 132, 154104. [Google Scholar] [CrossRef] [Green Version]
- Grimme, S.; Ehrlich, S.; Goerigk, L. Effect of the Damping Function in Dispersion Corrected Density Functional Theory. J. Comput. Chem. 2011, 32, 1456–1465. [Google Scholar] [CrossRef]
- Weigend, F.; Ahlrichs, R. Balanced Basis Sets of Split Valence, Triple Zeta Valence and Quadruple Zeta Valence Quality for H to Rn: Design and Assessment of Accuracy. Phys. Chem. Chem. Phys. 2005, 7, 3297–3305. [Google Scholar] [CrossRef]
- Frisch, M.J.; Trucks, G.W.; Schlegel, H.B.; Scuseria, G.E.; Robb, M.A.; Cheeseman, J.R.; Scalmani, G.; Barone, V.; Petersson, G.A.; Petersson, H.; et al. Gaussian 16; revision C.01; Gaussian, Inc.: Wallingford, UK, 2016. [Google Scholar]
- Tomasi, J.; Mennucci, B.; Cammi, R. Quantum Mechanical Continuum Solvation Models. Chem. Rev. 2005, 105, 2999–3093. [Google Scholar] [CrossRef]




| H-Imine | py-3,5 | py-4 | CH2 | H-2/H-6 | H-3/H-5 | H-4 | ||
| L1 | 8.42 | 7.97 | 7.79 | 4.79 | 7.30 | 7.29 | 7.21 | |
| [Fe(L1)2]2+ | 7.73 | 8.13 | 8.38 | 3.68 | 6.47 | 7.16 | 7.29 | |
| Δδ(1H) b | −0.69 | +0.16 | +0.59 | −1.11 | −0.83 | −0.13 | +0.08 | |
| H-Imine | py-3,5 | py-4 | CH2 | H-2 | H-4 | H-5 | H-6 | |
| L2 | 8.43 | 8.00 | 7.81 | 4.77 | 7.34 | 7.25 | 7.25 | 7.25 |
| [Fe(L2)2]2+ | 7.84 | 8.23 | 8.50 | 3.74 | 6.48 | 7.17 | 7.33 | 6.48 |
| Δδ(1H) b | −0.59 | +0.23 | +0.69 | −1.03 | −0.86 | −0.08 | +0.08 | −0.77 |
| C-Imine | py-2,6 | py-3,5 | py-4 | CH2 | C-1 | C-2/C-6 | C-3/C-5 | C-4 | |||
| L1 | 162.4 | 154.6 | 121.8 | 137.5 | 64.3 | 139.3 | 128.5 | 128.2 | 127.1 | ||
| [Fe(L1)2]2+ | 170.1 | 160.3 | 128.5 | 137.4 | 62.4 | 133.3 | 128.7 | 129.3 | 129.3 | ||
| Δδ(13C) b | +7.7 | +5.7 | +6.6 | −0.1 | −1.9 | −6.0 | +0.2 | +1.2 | +2.2 | ||
| C-Imine | py-2,6 | py-3,5 | py-4 | CH2 | C-1 | C-2 | C-3 | C-4 | C-5 | C-6 | |
| L2 | 163.0 | 154.4 | 122.0 | 133.8 | 63.4 | 141.8 | 128.0 | 137.6 | 127.0 | 130.1 | 126.6 |
| [Fe(L2)2]2+ | 171.1 | 160.4 | 128.6 | 135.5 | 61.8 | 134.5 | 128.7 | 137.8 | 130.9 | 129.6 | 127.3 |
| Δδ(13C) b | +8.1 | +5.9 | +6.6 | +1.7 | −1.6 | −7.3 | +0.8 | +0.2 | +3.9 | −0.5 | +0.7 |
| Parameter | L1 | 1 | 2 |
|---|---|---|---|
| Empirical formula | C21H19N3 | C43H42Cl2FeN6O9 | C46H40Cl6FeN8O8 |
| Formula weight | 313.39 | 912.44 | 1101.41 |
| Temperature | 120(2) K | ||
| Wavelength | 0.71073 Å | ||
| Crystal system | Triclinic | Monoclinic | Triclinic |
| Space group | C2/c | ||
| Unit cell dimensions | a = 8.9002(19) Å b = 10.289(2) Å c = 19.181(4)Å α = 92.691(10)° β = 99.378(9)° γ = 100.078(10)° | a = 37.8848(9) Å b = 10.5130(3) Å c = 21.4945(5) Å α = 90° β = 109.7270(10)°γ = 90° | a = 10.1735(10) Å b = 10.2669(9) Å c = 23.149(2) Å α = 92.685(3)° β = 101.466(3)° γ = 90.261(3)° |
| Volume | 1701.1(7) Å3 | 8058.5(4) Å3 | 2366.9(4) Å3 |
| Z | 4 | 8 | 2 |
| Calculated density | 1.224 g/cm3 | 1.509 g/cm3 | 1.545 g/cm3 |
| Absorption coefficient | 0.073 mm−1 | 0.573 mm−1 | 0.721 mm−1 |
| Crystal size | 0.321 × 0.299 × 0.050 mm3 | 0.248 × 0.220 × 0.104 mm3 | 0.427 × 0.358 × 0.309 mm3 |
| Theta range for data collection | 2.016° to 26.570° | 2.020° to 27.493° | 2.043° to 27.573° |
| Limiting indices | −11 ≤ h ≤ 10; −12 ≤ k ≤ 12; 0 ≤ l ≤ 24 | −48 ≤ h ≤ 49; −13 ≤ k ≤ 13; −23 ≤ l ≤ 27 | −13 ≤ h ≤ 13; −12 ≤ k ≤ 13; −30 ≤ l ≤ 30 |
| Reflections collected/unique | 7284/7284 | 54461/9242 | 71645/10877 |
| Completeness to θ: fraction | 25.242°: 100.0% | 25.242°: 99.9% | 25.242°: 99.7% |
| Absorption correction | Semi-empirical from equivalents | ||
| Max. and min. transmission | 1.00 and 0.65 | 0.95 and 0.87 | 0.91 and 0.77 |
| Refinement method | Full-matrix least-squares on F2 | ||
| Data/restraints/parameters | 7284/0/434 | 9242/6/639 | 10877/25/683 |
| Goodness-of-fit on F2 | 1.020 | 1.047 | 1.144 |
| Final R indices (I > 2σ(I)) | R1 = 0.0717; wR2 = 0.1517 | R1 = 0.0354; wR2 = 0.0779 | R1 = 0.1089 wR2 = 0.2256 |
| R indices (all data) | R1 = 0.1317; wR2 = 0.1819 | R1 = 0.0434; wR2 = 0.0818 | R1 = 0.1308; wR2 = 0.2359 |
| Largest diff. peak and hole | 0.221 and −0.251 × 10−3 Å | 0.572 and −0.463 × 10−3 Å | 0.859 and −0.894 × 10−3 Å |
| Spin states | - | LS | LS |
| CCDC number | 2165843 | 2154904 | 2128830 |
| Fe1–N Bond Lengths (Å) at 120 K | |||
|---|---|---|---|
| 1 | 2 | ||
| Fe(1)–N(2) | 1.8794(14) | Fe(1)–N(2) | 1.875(5) |
| Fe(1)–N(5) | 1.8799(14) | Fe(1)–N(5) | 1.880(5) |
| Fe(1)–N(3) | 1.9763(15) | Fe(1)–N(4) | 1.978(5) |
| Fe(1)–N(4) | 1.9846(14) | Fe(1)–N(3) | 1.981(5) |
| Fe(1)–N(6) | 1.9891(16) | Fe(1)–N(6) | 1.990(5) |
| Fe(1)–N(1) | 1.9938(15) | Fe(1)–N(1) | 1.998(5) |
| Average Fe1–N | 1.9505(15) | 1.950(5) | |
Publisher’s Note: MDPI stays neutral with regard to jurisdictional claims in published maps and institutional affiliations. |
© 2022 by the authors. Licensee MDPI, Basel, Switzerland. This article is an open access article distributed under the terms and conditions of the Creative Commons Attribution (CC BY) license (https://creativecommons.org/licenses/by/4.0/).
Share and Cite
Bayeh, Y.; Suryadevara, N.; Schlittenhardt, S.; Gyepes, R.; Sergawie, A.; Hrobárik, P.; Linert, W.; Ruben, M.; Thomas, M. Investigations on the Spin States of Two Mononuclear Iron(II) Complexes Based on N-Donor Tridentate Schiff Base Ligands Derived from Pyridine-2,6-Dicarboxaldehyde. Inorganics 2022, 10, 98. https://doi.org/10.3390/inorganics10070098
Bayeh Y, Suryadevara N, Schlittenhardt S, Gyepes R, Sergawie A, Hrobárik P, Linert W, Ruben M, Thomas M. Investigations on the Spin States of Two Mononuclear Iron(II) Complexes Based on N-Donor Tridentate Schiff Base Ligands Derived from Pyridine-2,6-Dicarboxaldehyde. Inorganics. 2022; 10(7):98. https://doi.org/10.3390/inorganics10070098
Chicago/Turabian StyleBayeh, Yosef, Nithin Suryadevara, Sören Schlittenhardt, Róbert Gyepes, Assefa Sergawie, Peter Hrobárik, Wolfgang Linert, Mario Ruben, and Madhu Thomas. 2022. "Investigations on the Spin States of Two Mononuclear Iron(II) Complexes Based on N-Donor Tridentate Schiff Base Ligands Derived from Pyridine-2,6-Dicarboxaldehyde" Inorganics 10, no. 7: 98. https://doi.org/10.3390/inorganics10070098
APA StyleBayeh, Y., Suryadevara, N., Schlittenhardt, S., Gyepes, R., Sergawie, A., Hrobárik, P., Linert, W., Ruben, M., & Thomas, M. (2022). Investigations on the Spin States of Two Mononuclear Iron(II) Complexes Based on N-Donor Tridentate Schiff Base Ligands Derived from Pyridine-2,6-Dicarboxaldehyde. Inorganics, 10(7), 98. https://doi.org/10.3390/inorganics10070098

