Method of Moments Optimization of Distributed Raman Amplification in Fibers with Randomly Variying Birefringence
Abstract
1. Introduction
2. Theoretical Model
2.1. Basic Model for the Vectorial Soliton Raman Amplification
- Dispersive effects, which are included by developing the propagation constant in frequency powers series.
- Losses not dependent on the polarization.
- No-pump depletion is taken into account in CW.
2.2. Calculation of the Polarization-Dependent Effective Raman Gain Coefficient in Random Birefringence Fibers
- If ⇒ so ó .In this case, there will be a strong dependence of the gain with polarization, either with parallel polarization and maximum value, or with orthogonal polarization and minimum value.
- If ⇒, so .Here, the gain coefficient for each main polarization axis becomes the same and independent of the input pump and signal polarization states. Its value turns out to be the average at of the maximum value in parallel polarization.
- For distances L of the order of length , the factor will fluctuate between the maximum and minimum of gain.
2.3. Averaging Vector Propagation Equations with Effective Raman Gain Term
3. Simulation and Results
3.1. Obtaining Optimal Launch Conditions. Method of the Moments
- The CW pumping model introduces a phase constant in the polarization components as a consequence of the XPM effect, but that constant has no impact on the overall study of the soliton propagation [29].
- The pumping power at each amplification stage will follow an exponential decay for which the effective length is given by:
- Insulators are placed at each pump station, ensuring the performance of the system by avoiding interactions between consecutive pumping sections.
- The zero-order moment considering each pulse as a particle with energy:
- The first-order moment associated wit the central temporal position :
- The Root Mean Square (RMS) is given by the second-order moment:the exact width is related to the RMS width through a constant factor that depends on the functional form of each pulse [30].
3.2. Effect of the Distributed Gain on the Energy and Width of the Propagating Vector Pulses
- The random birefringence effect on the gain is included in the effective coefficient , through the decoupling length between the polarization states of the pump and the signal, using Equation (22). In the conventional scenario for a monomode fiber, the values of the parameter are included in the range , this election turns into a distance not bigger than a kilometer.
- In that way, the amplification effective length for every section is bigger than the , i.e., , assuring the complete decoupling between the polarization states of the signal and pump in the propagation process, achieving the same amplification for both signal components and with the same average value. In our model, this effect is clearly bring out since the effective coefficient reaches the value before the pulse propagation in each one of the amplification zones .
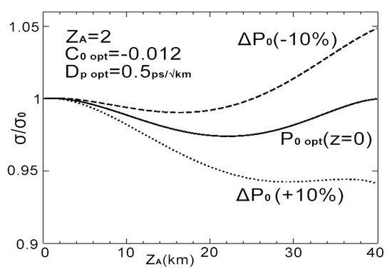
- The simulations have been carried out in soliton systems with 5–10 ps width in the anomalous dispersion regime, which allow an effective transmission rate of 10–40 Gb/s. Our study is centered on the effect of initial control of the phase via the lineal chirp and the optimal peak power, obtained according the Method of Moments, in the stability of the vectorial solitons with Raman gain. For completeness, different values for the parameter have been used.
4. Conclusions
Author Contributions
Funding
Acknowledgments
Conflicts of Interest
Abbreviations
| CVS | Chirped Vectorial Soliton |
| CW | Continuous Wave |
| DRA | Distributed Raman Amplification |
| FWM | Four Wave Mixture |
| PMD | Polarization Mode Dispersion |
| RFA | Raman Fiber Amplifier |
| SPM | Self Phase Modulation |
| SSFM | Split-Step Fourier Method |
| SRS | Stimulated Raman Scattering |
| XPM | Cross-Phase Modulation |
References
- Hellwarth, R.W. Theory of Phase Conjugation by Stimulated Raman Scattering in a Waveguide. J. Opt. Soc. Am. A 1978, 68, 1050–1056. [Google Scholar] [CrossRef]
- Stolen, R.H. Polarization Effects in Fiber Raman and Brioullin Lasers. IEEE J. Quantum Electron. 1979, 15, 1157–1160. [Google Scholar] [CrossRef]
- Lin, Q.; Agrawal, G.P. Vector Theory of Stimulated Raman Scattering and its Applications to Fiber-Based Raman Amplifiers. J. Opt. Soc. Am. 2003, 20, 1616–1631. [Google Scholar] [CrossRef]
- Galtarossa, A.; Palmieri, L.; Santagiustina, M.; Ursini, L. Oplarized Bacward Raman Amplification in Randomly Birefringent Fibers. J. Lightwave Technol. 2006, 24, 4055–4063. [Google Scholar] [CrossRef]
- Sergeyev, S.V.; Popov, S.; Friberg, A.T. Modelling Polarization-Dependent Gain in Fiber Raman Amplifier with Randomly Varying Birefringence. Opt. Commun. 2006, 262, 114–119. [Google Scholar] [CrossRef]
- Sergeyev, S.V. Activated Polarization Pulling and De-correlation of Signal and Pump States of Polarization in a Fiber Raman Amplifier. Opt. Express 2011, 19, 24268–24279. [Google Scholar] [CrossRef]
- Sergeyev, S.V. Fiber Raman Amplification in a Two-scale Spun Fiber. Opt. Mater. Express 2012, 2, 1683–1689. [Google Scholar] [CrossRef]
- Kozlov, V.V.; Nuño, J.; Ania-Castañón, J.D.; Wabnitz, S. Theory of Fiber Optic Raman Polarizers. Opt. Lett. 2010, 35, 3970–3972. [Google Scholar] [CrossRef][Green Version]
- Kozlov, V.V.; Nuño, J.; Ania-Castañón, J.D.; Wabnitz, S. Theoretical Study of Optical Fiber Raman Polarizers With Counterpropagating Beams. J. Lightwave Technol. 2011, 29, 341–347. [Google Scholar] [CrossRef]
- Kozlov, V.V.; Nuño, J.; Ania-Castañón, J.D.; Wabnitz, S. Multichannel Raman Polarizer with Suppressed Relative Intensity Noise for Wavelength Division Multiplexing Transmission Lines. Opt. Lett. 2012, 37, 2073–2075. [Google Scholar] [CrossRef]
- Kalashnikov, V.; Sergeyev, S.V.; Ania-Castanón, J.D.; Jacobsen, G.; Popov, S. Stochastic Phenomena in a Fiber Raman Amplifier. Ann. Phys. 2017, 529, 1600238. [Google Scholar] [CrossRef]
- Ortiz-Mora, A.; Díaz, A.; Gómez-Alcalá, R.; Dengra, A. Determination of the Optimum Launch Conditions in Counter-Raman Amplification Using the Method of Moments. Optik 2013, 124, 1505–1511. [Google Scholar] [CrossRef]
- Agrawal, G.P. Nonlinear Fiber Optics, 3rd ed.; Academic Press: Cambridge, MA, USA, 2001. [Google Scholar]
- Headley, C.; Agrawal, G.P. Unified description of Ultrafast Stimulated Raman Scattering in Optical Fibers. J. Opt. Soc. Am. B 1996, 13, 2170–2177. [Google Scholar] [CrossRef]
- Menyuk, C.R. Pulse Propagation in an Elliptically Birefringent Kerr Medium. IEEE J. Quantum Electron. 1987, 23, 174–176. [Google Scholar] [CrossRef]
- Mahmood, M.F.; Zachary, W.W.; Gill, T.L. Nonlinear Pulse Propagation in Elliptically Birefringent Optical Fibers. Phys. D Nonlinear Phenom. 1996, 90, 271–279. [Google Scholar] [CrossRef]
- Menyuk, C.R. Nonlinear Pulse Propagation in Birefringent Optical Fibers. IEEE J. Quantum Electron. 1989, 25, 2674–2682. [Google Scholar] [CrossRef]
- Blow, K.J.; Wood, D. Theoretical Description of Transient Stimulated Raman Scattering in Optical Fibers. IEEE J. Quantum Electron. 1989, 25, 2665–2673. [Google Scholar] [CrossRef]
- Lin, Q.; Agrawal, G.P. Raman Response Function for Silica Fibers. Opt. Lett. 2006, 31, 3086–3088. [Google Scholar] [CrossRef]
- Hellwarth, R.W. Third-order Optical Susceptibilities of Liquids and Solids. Prog. Quantum Electron. 1977, 5, 1–68. [Google Scholar] [CrossRef]
- Stolen, R.H.; Tomlinson, W.J. Effect of the Raman Part of the Nonlinear Refractive Index on Propagation of Ultrashort Optical Pulses in Fibers. J. Opt. Soc. Am. B 1992, 9, 565–573. [Google Scholar] [CrossRef]
- Chen, Y. Combined Processes of Stimulated Raman Scattering and Four-Wave Mixing in Optical Fibers. J. Opt. Soc. Am. B 1990, 7, 43–52. [Google Scholar] [CrossRef]
- Ablowitz, M.J.; Clarkson, P.A. Solitons, Nonlinear Evolution Equations and Inverse Scattering, 1st ed.; Cambridge University Press: Cambridge, UK, 1991. [Google Scholar]
- Stolen, R.H. Issues in Raman Gain Measurements. In Technical Digest Symposium on Optical Fiber Measurements; NIST Special Publication: Gaithersburg, MD, USA, 2000. [Google Scholar]
- Zhang, M.; Liu, D.; Wang, Y.; Huang, D. Efficient Numerical Method for Predicting the Polarization-Dependent Raman Gain in Fiber Raman Amplifiers. J. Opt. Soc. Am. A 2004, 21, 263–266. [Google Scholar] [CrossRef]
- Matsumoto, M.; Akagi, Y.; Hasegawa, A. Propagation of Solitons in Fibers with Randomly Varying Birefringence: Effects of Soliton Transmission Control. J. Lightwave Technol. 1997, 15, 584–589. [Google Scholar] [CrossRef]
- Kumar, D.R.; Rao, B.P. Soliton Interaction in Birefringent Optical Fibers: Effects of Nonlinear Gain Devices. Optik 2012, 123, 117–124. [Google Scholar] [CrossRef]
- Wai, P.K.A.; Menyuk, C.R.; Chen, H.H. Stability of Solitons in Randomly Varying Birefringent Fibers. Opt. Lett. 1991, 16, 1231–1233. [Google Scholar] [CrossRef]
- Dahan, D.; Eisenstein, G. Numerical Comparison Between Distributed and Discrete Amplification in a Point-to-Point 40-Gb/s 40-WDM-Based Transmission System With Three Different Modulation Formats. J. Lightwave Technol. 2002, 20, 379–388. [Google Scholar] [CrossRef]
- Kozlov, M.V.; McKinstrie, C.J.; Xie, C. Moment Equations for Optical Pulses in Dispersive and Dissipative Systems. Opt. Commun. 2005, 251, 194–208. [Google Scholar] [CrossRef]
- Santhanam, J.; Agrawal, G.P. Raman-Induced Spectral Shifts in Optical Fibers: General Theory Based on the Moment Method. Opt. Commun. 2003, 222, 413–420. [Google Scholar] [CrossRef]
- Anderson, D. Variational Approach to Nonlinear Pulse Propagation in Optical Fibers. Phys. Rev. A 1983, 27, 3135–3145. [Google Scholar] [CrossRef]
- Press, W.H. (Ed.) Numerical Recipes in Fortran 90: The Art of Scientific Computing, 2nd ed.Cambridge University Press: Cambridge, UK, 1996. [Google Scholar]
- Liu, X.; Lee, B. A Fast Method for Nonlinear Schrodinger Equation. IEEE Photonics Technol. Lett. 2003, 15, 1549–1551. [Google Scholar]






© 2020 by the authors. Licensee MDPI, Basel, Switzerland. This article is an open access article distributed under the terms and conditions of the Creative Commons Attribution (CC BY) license (http://creativecommons.org/licenses/by/4.0/).
Share and Cite
Ortiz-Mora, A.; Rodríguez, P.; Díaz-Soriano, A.; Martínez-Muñoz, D.; Dengra, A. Method of Moments Optimization of Distributed Raman Amplification in Fibers with Randomly Variying Birefringence. Photonics 2020, 7, 86. https://doi.org/10.3390/photonics7040086
Ortiz-Mora A, Rodríguez P, Díaz-Soriano A, Martínez-Muñoz D, Dengra A. Method of Moments Optimization of Distributed Raman Amplification in Fibers with Randomly Variying Birefringence. Photonics. 2020; 7(4):86. https://doi.org/10.3390/photonics7040086
Chicago/Turabian StyleOrtiz-Mora, Antonio, Pedro Rodríguez, Antonio Díaz-Soriano, David Martínez-Muñoz, and Antonio Dengra. 2020. "Method of Moments Optimization of Distributed Raman Amplification in Fibers with Randomly Variying Birefringence" Photonics 7, no. 4: 86. https://doi.org/10.3390/photonics7040086
APA StyleOrtiz-Mora, A., Rodríguez, P., Díaz-Soriano, A., Martínez-Muñoz, D., & Dengra, A. (2020). Method of Moments Optimization of Distributed Raman Amplification in Fibers with Randomly Variying Birefringence. Photonics, 7(4), 86. https://doi.org/10.3390/photonics7040086

