In Situ OBIC Mapping to Investigate Native Defect Dynamics in GaInN/GaN-Based Light-Emitting Diodes
Abstract
1. Introduction
2. Materials and Methods
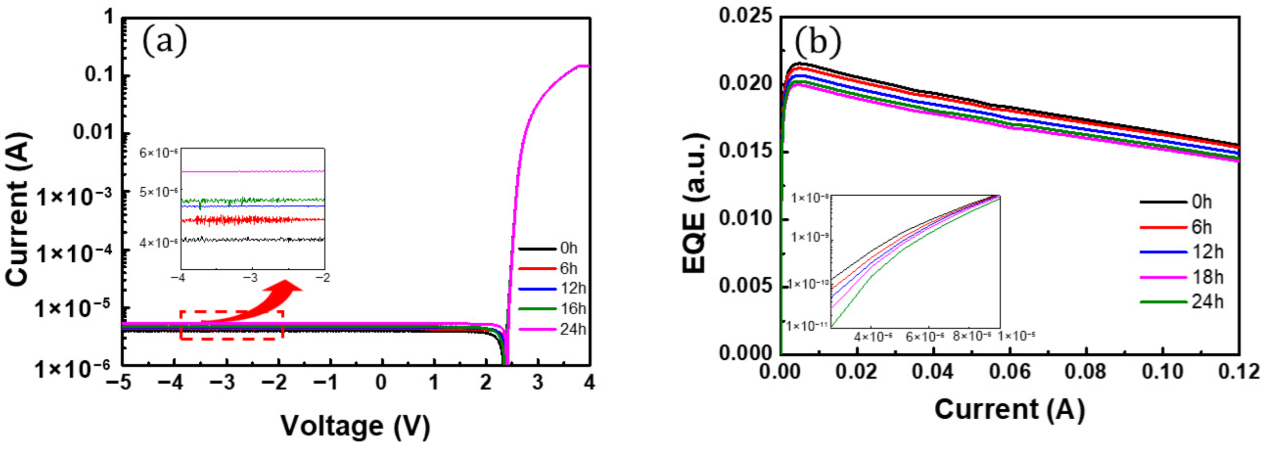
3. Results and Discussion
4. Conclusions
Author Contributions
Funding
Acknowledgments
Conflicts of Interest
References
- Ajia, I.A.; Edwards, P.R.; Pak, Y.; Belekov, E.; Roldan, M.A.; Wei, N.; Liu, Z.; Martin, R.W.; Roqan, I.S. Generated Carrier Dynamics in V-Pit-Enhanced InGaN/GaN Light-Emitting Diode. ACS Photonics 2018, 5, 820–826. [Google Scholar] [CrossRef]
- Puchtler, T.J.; Woolf, A.; Zhu, T.T.; Gachet, D.; Hu, E.L.; Oliver, R.A. Effect of Threading Dislocations on the Quality Factor of InGaN/GaN Microdisk Cavities. ACS Photonics 2015, 2, 137–143. [Google Scholar] [CrossRef]
- Hu, H.; Zhou, S.; Liu, X.; Gao, Y.; Gui, C.; Liu, S. Effects of GaN/AlGaN/ Sputtered AlN Nucleation Layers on Performance of GaN-Based Ultraviolet Light-Emitting Diodes. Sci. Rep. 2017, 7, 44627. [Google Scholar] [CrossRef]
- Zhou, S.; Yuan, S.; Liu, Y.; Guo, L.J.; Liu, S.; Ding, H. Highly Efficient and Reliable High Power LEDs with Patterned Sapphire Substrate and Strip-Shaped Distributed Current Blocking Layer. Appl. Surf. Sci. 2015, 355, 1013–1019. [Google Scholar] [CrossRef]
- Akasaka, T.; Gotoh, H.; Saito, T.; Makimoto, T. High Luminescent Efficiency of InGaN Multiple Quantum Wells Grown on InGaN Underlying Layers. Appl. Phys. Lett. 2004, 85, 3089. [Google Scholar] [CrossRef]
- Khan, A.; Hwang, S.; Lowder, J.; Adivarahan, V.; Fareed, Q. Reliability Issues in AlGaN-Based Deep Ultraviolet Light-Emitting Diodes. In Proceedings of the 2009 IEEE International Reliability Physics Symposium (IRPS), Montreal, QC, Canada, 26–30 April 2009; pp. 89–93. [Google Scholar]
- Meneghini, M.; Tazzoli, A.; Mura, G.; Meneghesso, G.; Zanoni, E. A Review on the Physical Mechanisms That Limit the Reliability of GaN-Based LEDs. IEEE Trans. Electron Devices 2010, 57, 108–118. [Google Scholar] [CrossRef]
- Sawyer, S.; Rumyantsev, S.L.; Shur, M.S. Degradation of AlGaN-Based Ultraviolet Light-Emitting Diodes. Solid-State Electron. 2008, 52, 968–972. [Google Scholar] [CrossRef]
- Chatterjee, B.; Lundh, J.S.; Shoemaker, D.; Kim, T.K.; Kim, H.; Giebnik, N.C.; Kwak, J.S.; Cho, J.; Choi, S. Characterization of the Interdependence Between the Light Output and Self-Heating of Gallium Nitride Light-Emitting Diodes. J. Electron. Packag. 2020, 142, 031111. [Google Scholar] [CrossRef]
- Cao, X.A.; Sandvik, P.M.; LeBoeuf, S.F.; Arthur, S.D. Defect Generation in InGaN/GaN Light-Emitting Diodes Under Forward and Reverse Electrical Stresses. Microelectron. Reliab. 2003, 43, 1987–1991. [Google Scholar] [CrossRef]
- Chitnis, A.; Adivarahan, V.; Zhang, J.P.; Wu, S.; Sun, J.; Pachipulusu, R.; Mandavilli, V.; Gaevski, M.; Shatalov, M.; Khan, M.A. High DC Power 325 nm Emission Deep UV LEDs Over Sapphire. Electron. Lett. 2002, 38, 2002. [Google Scholar] [CrossRef]
- Chang, K.S.; Yang, S.C.; Kim, J.Y.; Kook, M.H.; Ryu, S.Y.; Choi, H.Y.; Kim, G.H. Precise Temperature Mapping of GaN-Based LEDs by Quantitative Infrared Micro-Thermography. Sensors 2012, 12, 4648–4660. [Google Scholar] [CrossRef]
- Yan, B.; Teng, D.; Liu, L.; Wang, G. Electrical Stressing and Self-Heating Effects on GaN-Based LEDs’ Degradation Under Extremely Low Temperature. In Proceedings of the 2018 19th International Conference on Electronic Packaging Technology (ICEPT), Shanghai, China, 8–11 August 2018; pp. 168–175. [Google Scholar]
- De Santi, C.; Buffolo, M.; Renso, N.; Neviani, A.; Meneghesso, G.; Zanoni, E.; Meneghini, M. Evidence for Defect-Assisted Tunneling and Recombination at Extremely Low Current in InGaN/GaN-Based LEDs. Appl. Phys. Express 2019, 12, 052007. [Google Scholar] [CrossRef]
- Glaab, J.; Ruschel, J.; Kolbe, T.; Knauer, A.; Rass, J.; Cho, H.K.; Ploch, N.L.; Kreutzmann, S.; Einfeldt, S.; Weyers, M.; et al. Degradation of (In)AlGaN-Based UVB LEDs and Migration of Hydrogen. IEEE Photonics Technol. Lett. 2019, 31, 529–532. [Google Scholar] [CrossRef]
- Cheng, C.H.; Tzou, A.J.; Chang, J.H.; Su, C.Y.; Liu, P.C.; Lee, C.Y.; Chiu, C.H.; Kuo, H.C.; Lu, T.C.; Wang, S.C. Growing GaN LEDs on Amorphous SiC Buffer with Variable C/Si Compositions. Sci. Rep. 2016, 6, 19757. [Google Scholar] [CrossRef]
- Chen, S.W.; Chang, C.J.; Lu, T.C. Effect of Strains and V-Shaped Pit Structures on the Performance of GaN-Based Light-Emitting Diodes. Crystals 2020, 10, 311. [Google Scholar] [CrossRef]
- Zhao, Q.; Miao, J.H.; Zhou, S.J.; Gui, C.Q.; Tang, B.; Liu, M.L.; Wan, H.; Hu, J.F. High-Power GaN-Based Vertical Light-Emitting Diodes on 4-Inch Silicon Substrate. Nanomaterials 2019, 9, 1178. [Google Scholar] [CrossRef] [PubMed]
- Kim, H.D.; Kim, K.H.; Kim, S.J.; Kim, T.G. Fabrication of conducting-filament-embedded indium tin oxide electrodes: Application to lateral-type gallium nitride light-emitting diodes. Opt. Express 2015, 23, 28775. [Google Scholar] [CrossRef]
- Cole, E.I.; Soden, J.M.; Rife, J.L.; Barton, D.L.; Henderson, C.L. Novel Failure Analysis Techniques Using Photon Probing with a Scanning Optical Microscope. In Proceedings of the 1994 IEEE International Reliability Physics Symposium, Seattle, WA, USA, 11–14 April 1994; pp. 388–398. [Google Scholar]
- Miller, M.A.; Tangyunyong, P.; Cole, E.I. Characterization of Electrically-Active Defects in Ultraviolet Light-Emitting Diodes with Laser-Based Failure Analysis Techniques. J. Appl. Phys. 2016, 119, 024505. [Google Scholar] [CrossRef]
- Essely, F.; Guitard, N.; Darracq, F.; Pouget, V.; Bafleur, M.; Perdu, P.; Touboul, A.; Lewis, D. Optimizing Pulsed OBIC Technique for ESD Defect Localization. IEEE Trans. Device Mater. Reliab. 2007, 7, 617–624. [Google Scholar] [CrossRef]
- Bautista, G.; Blanca, C.M.; Saloma, C. Tracking the Emergence of Defect in Light Emitting Semiconductor Diodes with Two-Photon Excitation Microscopy and Spectral Microthermography. Appl. Opt. 2007, 46, 855–860. [Google Scholar] [CrossRef]
- Essely, F.; Darracq, F.; Pouget, V.; Remmach, M.; Beaudoin, F.; Guitard, N.; Bafleur, M.; Perdu, P.; Touboul, A.; Lewis, D. Application of Various Optical Techniques for ESD Defect Localization. Microelectron. Reliab. 2006, 46, 1563–1568. [Google Scholar] [CrossRef]
- AlTal, F.; Gao, J. High Resolution Scanning Optical Imaging of a Frozen Polymer p-n Junction. J. Appl. Phys. 2016, 120, 115501. [Google Scholar] [CrossRef]
- Kao, F.J.; Huang, M.K.; Wang, Y.S.; Huang, S.L.; Lee, M.K.; Sun, C.K. Two-Photon Optical-Beam-Induced Current Imaging of Indium Gallium Nitride Blue Light-Emitting Diodes. Opt. Lett. 1999, 24, 1407–1409. [Google Scholar] [CrossRef]
- Nami, M.; Stricklin, I.E.; DaVico, K.M.; Masabih, S.M.U.; Rishinaramangalam, A.K.; Brueck, S.R.J.; Brener, I.; Feezell, D.F. Carrier Dynamics and Electro-Optical Characterization of High-Performance GaN/InGaN Core-Shell Nanowire Light-Emitting Diodes. Sci. Rep. 2018, 8, 501. [Google Scholar] [CrossRef]
- Buffolo, M.; Caria, A.; Piva, F.; Roccato, N.; Casu, C.; Santi, C.D.; Trivellin, N.; Meneghesso, G.; Zanoni, E.; Meneghini, M. Defects and Reliability of GaN-Based LEDs: Review and perspectives. Phys. Status Solidi A 2022, 219, 2100727. [Google Scholar] [CrossRef]
- Wang, S.; Liu, Z.; Zhang, C.; Xu, G.; Ge, C.; Zeng, Z.; Zhang, X.; Tian, P. Variation of carrier lifetime with optical excitation power density in micro-LEDs. Opt. Express 2024, 32, 31939–31947. [Google Scholar] [CrossRef]
- Li, X.; DeJong, E.; Armitage, R.; Feezell, D. Multiple-carrier-lifetime model for carrier dynamics in InGaN/GaN LEDs with a non-uniform carrier distribution. J. Appl. Phys. 2024, 135, 035702. [Google Scholar] [CrossRef]
- Piprek, J. Efficiency Models for GaN-Based Light-Emitting Diodes: Status and Challenges. Materials 2020, 13, 5174. [Google Scholar] [CrossRef]
- Chen, S.A.; Li, X.; Lin, K.H.; Chen, Y.H.; Huang, J.J. Sidewall Interface Nitrogen Treatment for Improving GaN-Based Micron-Scale Light-Emitting Diode Efficiency. ACS Appl. Electron. Mater. 2024, 6, 8277–8285. [Google Scholar] [CrossRef]
- Kaufmann, U.; Kunzer, M.; Maier, M.; Obloh, H.; Ramakrishnan, A.; Santic, B.; Schlotter, P. Nature of the 2.8 eV Photoluminescence Band in Mg Doped GaN. Appl. Phys. Lett. 1998, 72, 1326–1328. [Google Scholar] [CrossRef]
- Li, Y.-L.; Gessmann, T.; Schubert, E.F.; Sheu, J.K. Carrier Dynamics in Nitride-Based Light-Emitting p-n Junction Diodes with Two Active Regions Emitting at Different Wavelengths. J. Appl. Phys. 2003, 94, 2167–2172. [Google Scholar] [CrossRef]
- Osiński, M.; Zeller, J.; Chiu, P.C.; Phillips, B.S.; Barton, D.L. AlGaN/InGaN/GaN Blue Light Emitting Diode Degradation Under Pulsed Current Stress. Appl. Phys. Lett. 1996, 69, 898–900. [Google Scholar] [CrossRef]
- Soh, C.B.; Chua, S.J.; Lim, H.F.; Chi, D.Z.; Liu, W.; Tripathy, S. Identification of Deep Levels in GaN Associated with Dislocations. J. Phys. Condens. Matter 2004, 16, 6305–6315. [Google Scholar] [CrossRef]
- Han, D.-P.; Oh, C.-H.; Kim, H.; Shim, J.-I.; Kim, K.-S.; Shin, D.-S. Conduction Mechanisms of Leakage Currents in InGaN/GaN-Based Light-Emitting Diodes. IEEE Trans. Electron Devices 2015, 62, 587–592. [Google Scholar]
- Ashraf, A.; Davis, K.O.; Ogutman, K.; Schoenfeld, W.V.; Eisaman, M.D. Hyperspectral laser beam induced current system for solar cell characterization. In Proceedings of the IEEE 42nd Photovoltaic Specialist Conference (PVSC), New Orleans, LA, USA, 14–19 June 2015; pp. 1–4. [Google Scholar]
- Takeshita, T.; Hirota, Y.; Ishibashi, T.; Muramoto, Y.; Ito, T.; Tohmori, Y.; Ito, H. Degradation behavior of avalanche photodiodes with a mesa structure observed using a digital OBIC monitor. IEEE Trans. Electron Devices 2006, 53, 1567–1574. [Google Scholar] [CrossRef]
- Bushmaker, A.W.; Lingley, Z.; Brodie, M.; Foran, B.; Sin, Y. Optical Beam Induced Current and Time Resolved Electro-Luminescence in Vertical Cavity Surface Emitting Lasers During Accelerated Aging. IEEE Photonics J. 2019, 11, 1504011. [Google Scholar] [CrossRef]
- Zhou, S.; Lv, J.; Wu, Y.; Zhang, Y.; Zheng, C.; Liu, S. Reverse Leakage Current Characteristics of InGaN/GaN Multiple Quantum Well Ultraviolet/Blue/Green Light-Emitting Diodes. Jpn. J. Appl. Phys. 2018, 57, 051003. [Google Scholar] [CrossRef]
- Kim, J.; Kim, J.; Tak, Y.; Chae, S.; Kim, J.Y.; Park, Y. Effect of V-Shaped Pit Size on the Reverse Leakage Current of InGaN/GaN Light-Emitting Diodes. IEEE Electron Device Lett. 2013, 34, 1409–1411. [Google Scholar] [CrossRef]
- Ulrici, W. Hydrogen-Impurity Complexes in III–V Semiconductors. Rep. Prog. Phys. 2004, 67, 2233–2286. [Google Scholar] [CrossRef]
- Chang, K.J.; Lee, S.G. A First-Principles Study of Mg-Related Defects in GaN. Mater. Sci. Forum 1997, 258–263, 1137–1142. [Google Scholar]
- Neugebauer, J.; Van de Walle, C.G. Theory of Point Defects and Complexes in GaN. MRS Proc. 1995, 395, 645. [Google Scholar] [CrossRef]
- Nakamura, S.; Mukai, T.; Senoh, M.; Iwasa, N. Thermal Annealing Effects on P-Type Mg-Doped GaN Films. Jpn. J. Appl. Phys. 1992, 31, 139–142. [Google Scholar] [CrossRef]
- Piva, F.; Grigoletto, M.; Brescancin, R.; De Santi, C.; Buffolo, M.; Ruschel, J.; Glaab, J.; Vidal, D.H.; Guttmann, M.; Rass, J.; et al. Impact of Mg-doping on the performance and degradation of AlGaN-based UV-C LEDs. Appl. Phys. Lett. 2023, 122, 151108. [Google Scholar] [CrossRef]
- Onwukaeme, C.; Ryu, H.Y. Investigation of the Optimum Mg Doping Concentration in p-Type-Doped Layers of InGaN Blue Laser Diode Structures. Crystals 2021, 11, 1335. [Google Scholar] [CrossRef]
- Hernández-Gutiérrez, C.A.; Casallas-Moreno, Y.L.; Rangel-Kuoppa, V.T.; Cardona, D.; Hu, Y.; Kudriatsev, Y.; Zambrano-Serrano, M.A.; Gallardo-Hernandez, S.; Lopez-Lopez, M. Study of the heavily p-type doping of cubic GaN with Mg. Sci. Rep. 2020, 10, 16858. [Google Scholar] [CrossRef]
- Ohnishi, K.; Amano, Y.; Fujimoto, N.; Nitta, S.; Watanabe, H.; Honda, Y.; Amano, H. Electrical properties and structural defects of p-type GaN layers grown by halide vapor phase epitaxy. J. Cryst. Growth 2021, 566–567, 126173. [Google Scholar] [CrossRef]
- Rishinaramangalam, A.K.; Nami, M.; Shima, D.M.; Balakrishnan, G.; Brueck, S.R.J.; Feezell, D.F. Reduction of reverse-leakage current in selective-area-grown GaN-based core-shell nanostructure LEDs using AlGaN layers. Phys. Status Solidi A 2017, 214, 1600776. [Google Scholar] [CrossRef]
- Jinschek, J.R.; Erni, R.; Gardner, N.F.; Kim, A.Y.; Kisielowski, C. Local Indium Segregation and Band Gap Variations in High Efficiency Green Light Emitting InGaN/GaN Diodes. Solid State Commun. 2006, 137, 230–234. [Google Scholar] [CrossRef]
- Le, L.C.; Zhao, D.G.; Jiang, D.S.; Li, L.; Wu, L.L.; Chen, P.; Liu, Z.S.; Li, Z.C.; Fan, Y.M.; Zhu, J.J.; et al. Carriers Capturing of V-Defect and Its Effect on Leakage Current and Electroluminescence in InGaN-Based Light-Emitting Diodes. Appl. Phys. Lett. 2012, 101, 252110. [Google Scholar] [CrossRef]
- Ardebili, S.B.S.; Farzin, B.Z.; Kim, J.S. The role of cladding layer thickness in InAsPSb/InGaAs MQW IR LED performance. J. Comput. Electron. 2025, 24, 98. [Google Scholar] [CrossRef]
- Chernyakov, A.E.; Sobolev, M.M.; Ratnikov, V.V.; Shmidt, N.M.; Yakimov, E.B. Nonradiative Recombination Dynamics in InGaN/GaN LED Defect System. Superlattices Microstruct. 2009, 45, 301–307. [Google Scholar] [CrossRef]
- Lai, S.; Li, Q.; Long, H.; Ying, L.; Zheng, Z.; Zhang, B. Theoretical study and optimization of the green InGaN/GaN multiple quantum wells with pre-layer. Superlattices Microstruct. 2021, 155, 106906. [Google Scholar] [CrossRef]
- Li, C.; Ji, Z.; Li, J.; Xu, M.; Xiao, H.; Xu, X. Electroluminescence properties of InGaN/GaN multiple quantum well-based LEDs with different indium contents and different well widths. Sci. Rep. 2017, 7, 15301. [Google Scholar] [CrossRef] [PubMed]
- Wang, H.; Wang, X.; Tan, Q.; Zeng, X. V-defects formation and optical properties of InGaN/GaN multiple quantum well LED grown on patterned sapphire substrate. Mater. Sci. Semicond. Process. 2015, 29, 112–116. [Google Scholar] [CrossRef]






| Disclaimer/Publisher’s Note: The statements, opinions and data contained in all publications are solely those of the individual author(s) and contributor(s) and not of MDPI and/or the editor(s). MDPI and/or the editor(s) disclaim responsibility for any injury to people or property resulting from any ideas, methods, instructions or products referred to in the content. | 
© 2025 by the authors. Licensee MDPI, Basel, Switzerland. This article is an open access article distributed under the terms and conditions of the Creative Commons Attribution (CC BY) license (https://creativecommons.org/licenses/by/4.0/).
Share and Cite
Zheng, D.-G.; Zhang, J.-F.; Yu, H.-M.; Han, D.-P. In Situ OBIC Mapping to Investigate Native Defect Dynamics in GaInN/GaN-Based Light-Emitting Diodes. Photonics 2025, 12, 861. https://doi.org/10.3390/photonics12090861
Zheng D-G, Zhang J-F, Yu H-M, Han D-P. In Situ OBIC Mapping to Investigate Native Defect Dynamics in GaInN/GaN-Based Light-Emitting Diodes. Photonics. 2025; 12(9):861. https://doi.org/10.3390/photonics12090861
Chicago/Turabian StyleZheng, Dong-Guang, Jian-Feng Zhang, Hao-Min Yu, and Dong-Pyo Han. 2025. "In Situ OBIC Mapping to Investigate Native Defect Dynamics in GaInN/GaN-Based Light-Emitting Diodes" Photonics 12, no. 9: 861. https://doi.org/10.3390/photonics12090861
APA StyleZheng, D.-G., Zhang, J.-F., Yu, H.-M., & Han, D.-P. (2025). In Situ OBIC Mapping to Investigate Native Defect Dynamics in GaInN/GaN-Based Light-Emitting Diodes. Photonics, 12(9), 861. https://doi.org/10.3390/photonics12090861
 
        

