Next Article in Journal
Resolution Enhancement in Extreme Ultraviolet Ptychography Using a Refined Illumination Probe and Small-Etendue Source
Previous Article in Journal
Linear-Mode Gain HgCdTe Avalanche Photodiodes for Weak-Target Spaceborne Photonic System
 
 
Font Type:
Arial Georgia Verdana
Font Size:
Aa Aa Aa
Line Spacing:
Column Width:
Background:
Article

Tunable High-Power 420 nm Laser with External Cavity Frequency Doubling: Toward Efficient Rubidium Rydberg Excitation

1
State Key Laboratory of Quantum Optics Technologies and Devices, Institute of Opto-Electronics, Shanxi University, Taiyuan 030006, China
2
Collaborative Innovation Center of Extreme Optics, Shanxi University, Taiyuan 030006, China
*
Author to whom correspondence should be addressed.
These authors contributed equally to this work.
Photonics 2025, 12(8), 830; https://doi.org/10.3390/photonics12080830
Submission received: 17 July 2025 / Revised: 15 August 2025 / Accepted: 19 August 2025 / Published: 21 August 2025

Abstract

The external cavity frequency doubling technique serves as a potent method for generating short-wavelength lasers, yet achieving high-power outputs remains challenging due to the thermal lens effect. This study systematically investigates the generation mechanism of the thermal lens effect and its impact on laser performance. By optimizing the bow-tie cavity design and leveraging a large beam waist of 106 µm to suppress thermal-induced distortions, we demonstrate a tunable 420 nm laser with up to 800 mW of output power and a peak conversion efficiency of 77%. The fundamental light source, a Ti:Sa laser locked to an ultra-stable cavity, ensures a narrow linewidth, flexible tunability, and long-term frequency stability. This high-performance blue laser enables the efficient Rydberg excitation of rubidium atoms, presenting critical applications in quantum computing, quantum simulation, and quantum precision measurement.

1. Introduction

The 420 nm laser is an important laser for realizing the Rubidium (Rb) atomic Rydberg excitation. The Rb atom can be excited from the 5 S 1 / 2 state to the 6 P 3 / 2 state by applying this 420 nm light. When this is combined with a 1013 nm laser, the atom can be excited to the Rydberg state, which is an effective way to realize long-distance interaction [1,2,3,4]. In the Rydberg excitation process, due to the repulsion of the Rydberg atom and the optical tweezer trap [3,5,6], the optical tweezers need to be switched off during the Rydberg excitation process. A high Rabi frequency is conducive to the rapid realization of the excitation process that significantly shortens the switching-off time of the optical tweezers and facilitates the neutral atom array experiment. Unfortunately, diodes can produce 420 nm light with a power of 120 mW, while commercially available Tapered Amplifier (TA) amplifiers rarely cover this wavelength. Therefore, it is difficult to obtain a high-power 420 nm laser directly. Currently, high-power 420 nm lasers can only be obtained through external cavity frequency doubling. Second harmonic generation (SHG) is a technique for generating a short-wavelength laser by using the quadratic nonlinear effect of a crystal [7,8,9,10,11,12,13,14,15,16,17,18,19]. It can convert lasers with longer wavelengths such as infrared light into lasers with shorter wavelengths like visible light or ultraviolet light. This expands the application scope of lasers and meets the requirements for specific wavelength lasers in different fields, including scientific research, medical treatment, communication, and industrial processing.
External cavity frequency doubling could enhance the nonlinear interaction for producing a blue laser. It confines the incident light within an optical cavity, allowing the light to travel multiple times in the cavity. This increases the effective length of the interaction between the light and the nonlinear medium and enhances the light field intensity. According to the principles of nonlinear optics, the generation efficiency of the SHG is proportional to the square of the light field intensity. When the phase-matching condition is satisfied, second harmonic components generated at different positions within the crystal can coherently superpose (constructive interference), avoiding mutual cancellation caused by phase mismatch and thus significantly improving conversion efficiency.
Many nonlinear materials can be used to produce blue lasers, such as Potassium Niobate ( KNbO 3 ) crystal, Lithium Triborate (LBO) crystal, Barium Metaborate (BBO) crystal, Bismuth Borate (BiBO) crystal, and Periodically Poled Potassium Titanyl Phosphate (PPKTP) crystal. Among them, the advantage of KNbO 3 crystal is that it has a large effective nonlinear coefficient ( d e f f 18 pm/V). In 1991, Polzik and Kimble et al. built an external cavity frequency doubling system based on KNbO 3 crystal; this system obtained 650 mW of 430 nm blue light with a fundamental optical power of 1.3 W at 860 nm, and the conversion efficiency was 48% [20]. LBO and BBO crystals have a relatively large optical operating bandwidth (LBO∼160–2600 nm, BBO∼190–3500 nm). However, their effective nonlinear coefficients are relatively small ( d e f f 0.75 pm/V, d e f f 2 pm/V), and due to the influence of the spatial walk-off effect, this effect results in poor quality of the output beam. In 2014, based on LBO crystal, Pizzocaro et al. produced a 399 nm ultraviolet laser with 1 W power, while the fundamental input power was 1.3 W, and the extracavity conversion efficiency was 80% [21]. Bai Jiandong et al. obtained a 318.6 nm ultraviolet laser with 2.26 W, while the fundamental input power was 4 W, and the corresponding conversion efficiency was about 56.5% [22]. Compared with LBO crystal and BBO crystal, the nonlinear coefficient of BiBO crystal is large ( d e f f 3.6 pm/V ), but its matching mode is angle matching, which leads to a narrow optical bandwidth of the crystal, high sensitivity to temperature and angle, and susceptibility to the spatial walk-off effect. In 2009, Shingo Maeda et al., based on BiBO crystal, produced a 389 nm UV laser with 700 mW of 778 nm pumping power, the frequency doubling efficiency reaching 56% [11]. PPKTP crystal has been widely used because of its high nonlinear coefficient ( d e f f 16 pm/V), high damage threshold, and good beam quality. In 2007, Fabrizio Villa et al. achieved a 330 mW 426 nm blue laser by inducing a 600 mW 852 nm laser into the resonator of PPKTP crystal, where the frequency doubling efficiency was around 55% [14]. In 2019, Wang Qingwei et al. obtained a 426 nm laser with 405 mW of output power based on PPKTP crystal, and the conversion efficiency was as high as 81% [19]. We aimed to fabricate a 420 nm laser with an output power of more than 700 mW and high beam quality, so we chose PPKTP for frequency doubling.
Here, we use a frequency-doubling device made of external cavity PPKTP crystal to perform cavity-enhanced SHG. The fundamental light is produced by a Ti:Sa laser. The final maximum conversion efficiency reaches 77%, and the maximum output power is more than 800 mW. The Rb Rabi frequency corresponding to this power can reach 2 π × 400 MHz, which is much higher than the natural linewidth of Rb. Thanks to the design of the large beam waist, the gray tracking effect and the thermal lens effect [10,23] are effectively suppressed. Our system performs excellently in output power, conversion efficiency, beam quality, laser linewidth, stability, and tunability. This laser was used in probing the Rydberg spectrum in previous work [24].

2. Experimental Setup

The basic structure of the cavity is composed of two plane mirrors ( M 1 and M 2 ) and two concave mirrors ( M 3 and M 4 ), each with a curvature radius of 150 mm. To reduce the thermal lensing effect, we designed the system such that the beam waist inside the crystal is as large as possible.
The experimental setup is shown in Figure 1a. A Type-0 PPKTP crystal is used as a frequency doubling crystal, with dimensions of 1 mm × 2 mm × 10 mm; both surfaces are coated for high transmission @840 nm and @420 nm, the poling period is 3.925 μm, and it is placed at the loose focus between M 3 and M 4 . M 1 is the input coupler mirror, with a reflectivity of 95%. The reflectivity of the input coupling mirror has a direct relationship with the quality factor (Q-factor) of the cavity, which is an important indicator for evaluating the performance of an optical cavity. An optical cavity allows light to travel back and forth many more times, thus enhancing the light field more strongly. Here, as a trade-off between intra-cavity enhancement and thermal lens effect, we chose a reflectivity of M 1 as 95% @ 840 nm. The calculated finesse is 62.8, while the actual finesse is approximately 55 when PPKTP crystal is placed inside. The other three cavity mirrors are coated for high reflectivity of R > 99.95% @ 840 nm. And all these four mirrors are coated for high transmission @ 420 nm.
According to the numerical simulation results of the Ray matrix method in Figure 1b, the bow-tie cavity with a length of 490 mm has the largest beam waist when L 34 (the distance between mirror 3 and mirror 4) is around 230 mm. Considering the cavity structure, we set L 34 = 210 mm. In this case, the distance between M 1 and M 2 is only 31 mm. The beam waist is about 106 μm, and the corresponding Rayleigh length is 42 mm. This Rayleigh length is 4.2 times the crystal length. A larger waist reduces the harmful effects related to intensity, such as two-photon and second-harmonic induced absorption and the gray tracking effect.
The fundamental laser source is a Ti:Sa laser from M-squared company. It can provide a 5.5 W 840 nm laser and has very good beam quality, which is suitable for frequency doubling. The linewidth of the Ti: Sa laser is less than 100 kHz, but the problem is that the frequency slowly drifts as the environmental temperature changes. To reduce the frequency drift, we use an ultralow expansion (ULE) cavity from the Menlosystems company (ORC-Cube) to replace the reference cavity of the M-squared company. The finesse of the ULE cavity is 40 kHz, and a FlAC110 is used for locking. A small amount of fundamental laser is first picked up and induced to the ULE cavity for laser locking. Then, a half-wave plate combined with a polarizing beam splitter (PBS) is used to adjust the power to the SHG. A resonant-type EOM is driven by a 15 MHz local oscillator for phase modulation. Both the reference cavity and the SHG enhancement cavity are locked by using standard Pound–Drever–Hall (PDH) locking techniques.
The oven for PPKTP crystal is designed with copper material. The crystal is first wrapped with indium foil and then installed in the copper oven. The heat flow is dissipated radial heat, and two Peltier elements are applied on both the upper and lower sides to control the temperature synchronously. By using the temperature controller (Thorlabs TED200C), we can make the temperature stability of our oven better than 1 mK.
However, due to the lower UV bandgap energy of PPKTP, linear absorption becomes an issue at wavelengths shorter than 500 nm. It causes the asymmetry cavity signal, which results in the bistability-like phenomenon. The asymmetry cavity signal is observed in Figure 1c due to the negative feedback mechanism [12]. The thermal lens effect arises because of light absorption. For the input and output coupling mirrors, the heat flux diffuses and reaches a balanced state, such that the thermal effect can be neglected. But for the crystal, the temperature controller guides away the heat flux while the heat is generated continuously inside the crystal. This causes a thermal gradient and forms the unavoidable thermal lens effect. The thermal lens effect first causes subtle differences in the crystal period across regions with different light intensities, making the output beam non-Gaussian.
To avoid the thermal lens effect as much as possible, a simple way is to use a large beam waist. The focal length of the thermal lens [25] is calculated by
f = π K c ω 0 2 P out ( d n / d T ) 1 1 e α 1 + α 2 / 2 L c
where K c is the thermal conductivity of the PPKTP crystal, ω 0 is the Gaussian beam radius of the fundamental wave beam at the crystal center, P out is the output power of converted light, α 1 and α 2 represent the absorption coefficients of the fundamental wave light and the doubling light, and L c is the length of the crystal.
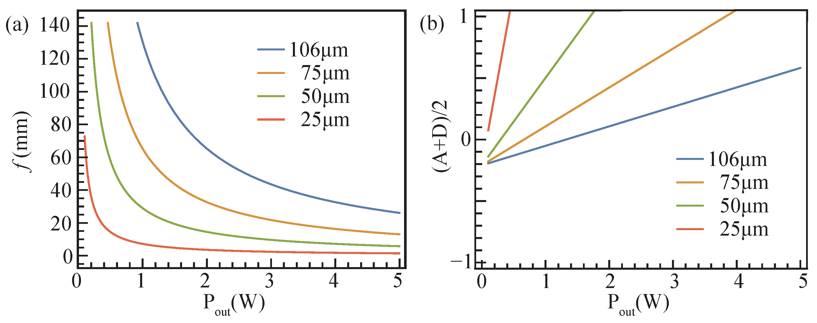
From this equation, we can find that the focal length of the thermal lens is proportional to the square of the fundamental laser beam radius. And it is inversely proportional to the output power. Figure 2a shows the change in thermal lens focal length with power. With the change in input power, the focal length gradually decreases from infinity to a small value. The larger the waist, the slower the changing trend.
Here, we consider placing a lens at the center of the crystal to simulate the thermal lens effect. The transfer matrix can be expressed as below:
A B C D = 1 L 34 + ( n 1 ) L c 2 0 1 · 1 0 1 f 1 · 1 L 34 + ( n 1 ) L c 2 0 1 · 1 0 2 R 1 · 1 L 0 1 · 1 0 2 R 1
where n is the refractive index of the PPKTP crystal at 840 nm. R is the radius of curvature of mirror 3 and mirror 4. L is the sum of the spacing from M 4 to M 1 to M 2 to M 3 .
The results show that the focal length of the thermal lens gradually decreases with the increase in power as in Figure 2a, and the calculated results of the corresponding stable zone A + D 2 are shown in Figure 2b. According to matrix theory, the condition for light rays to remain confined within the cavity after multiple round trips is that the trace of the single round-trip transformation matrix M must satisfy a specific range. The trace of a matrix is defined as the sum of its diagonal elements A + D , and the stability condition requires that A + D 2 < 1 . When the absolute value of the trace is less than 2, the propagation of light rays in the cavity exhibits periodic focusing characteristics, allowing energy to be stably confined within the cavity. If this range is exceeded, the light rays will gradually deviate from the optical axis and eventually escape, placing the cavity in an unstable region. The calculated results of the stable zone increase linearly with the power change, and the slope decreases with a larger beam waist.
This mode mismatch can also be compensated for by adding a lens with a negative thermal coefficient. The output optical power can be effectively improved by this method. Huadong Lu’s group employs a crystal with a negative thermal coefficient and increases the output power from 14.7 W to 30.2 W [26]. In our system, the expected output power is around 700 mW, and we only need to increase the beam waist to mitigate this effect.
Figure 3 is the 420 nm output capability as temperature changes. We can observe a wide window of about 2 °C for frequency doubling. By changing the temperature, the phase-matching condition of the crystal can be precisely adjusted, and the central wavelength of the highest conversion efficiency can be shifted to exactly the wavelength we want. Experimentally, we achieved the highest conversion efficiency at 420.298 nm when the temperature was controlled near 56 °C.

3. Results

The output power and doubling efficiency versus different input powers are measured as shown in Figure 4. The red dashed line in Figure 4 is the fitting curve obtained according to fitting Equation (4), and the blue dashed line is the fitting curve of the conversion efficiency. It can be seen that the conversion efficiency is mostly better than 70%, and the maximum doubling efficiency is about 77.71% when the fundamental frequency power is around 800 mW. The maximum output power of 420 nm light is 870 mW when the fundamental frequency power is about 1.2 W. We observe that the deviation between the experimental results and the fitting curve is attributed to the influence of the thermal lens effect, and this deviation increases with a rise in input power (consistent with the fact that the thermal lens effect becomes more significant as power increases).
The fitting curve is calculated by the equations following [27].
The intra-cavity power P c can be expressed as
P c = T 1 P i n 1 1 T 1 1 L o s s 1 Γ P c 2
where P i n is the input power, T 1 is the input mirror transmissivity, L o s s represents the intra-cavity losses, Γ includes all nonlinear losses and can be written in the form of Γ = E n l + Γ a b s , E n l is the single-pass conversion efficiency, and Γ a b s is efficiency of the SHG absorption inside the crystal.
The output power P o u t is the single-pass SHG efficiency multiplied by the square of the intra-cavity power:
P o u t = E n l · P c 2 = E n l · T 1 P i n 1 1 T 1 1 L o s s 1 Γ P c 2 2
The doubling efficiency μ is
μ = P o u t P i n = E n l T 1 2 P i n 1 1 T 1 1 L o s s 1 Γ P c 4
We use these two equations to simulate the conversion results. T 1 is the transmission of the input coupler mirror. The L o s s and Γ are the parameters that are free for fitting. The best fitting results show that the intra-cavity losses L o s s are around 1%, and the nonlinear losses Γ are around 0.26%.
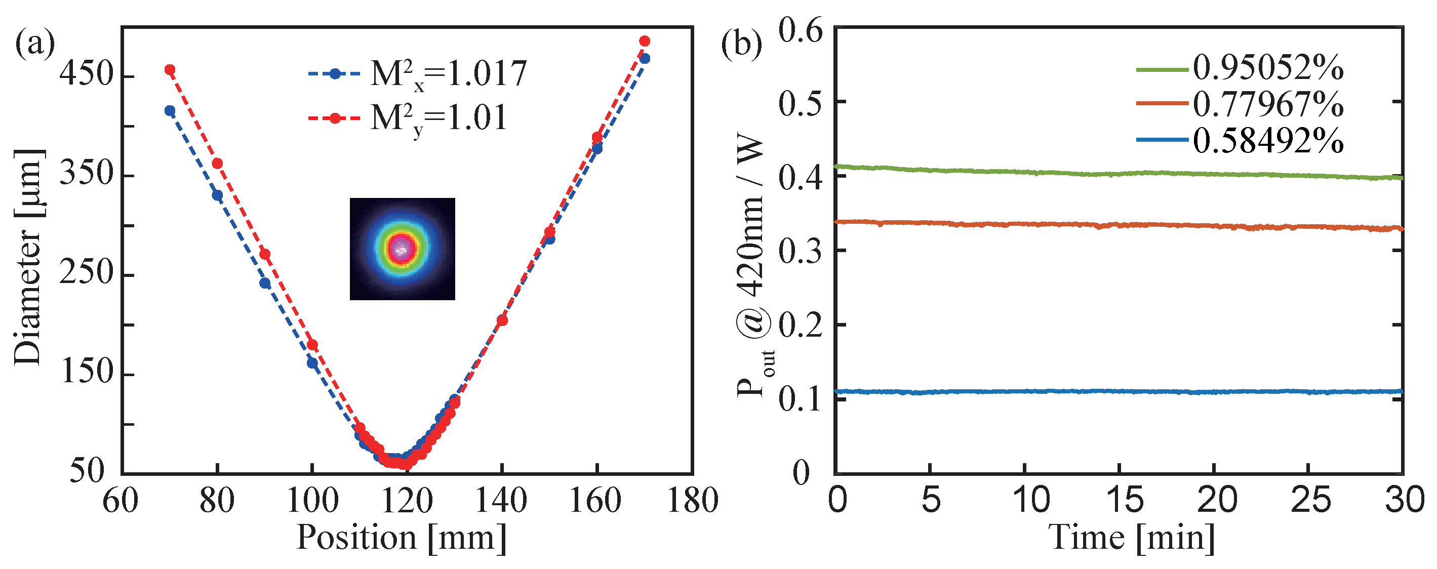
The 420 nm output light obtained via the frequency doubling cavity is divergent. Therefore, we use a 150 mm lens to collimate it and obtain collimated light with a beam diameter of 1 mm. We measure the beam quality at the maximum conversion efficiency. At this point, the input optical power is 800 mW, the output optical power is 620 mW, and the crystal temperature is set to 56 °C. The results are shown in Figure 5a, M x 2 = 1.017 , M y 2 = 1.01 . After that, we test the overall locking performance of the system. When the cavity is under different injection powers, we measure the optical power jitter within a half-hour period. The experimental results are shown in Figure 5b. For input powers of 200 mW, 500 mW, and 700 mW, the root mean square (RMS) values are 0.58492%, 0.77967%, and 0.95052%. These results are consistent with the rule that the thermal lens effect strengthens as the power increases. As the input power increases, the thermal lens effect becomes increasingly significant. The experimental results presented in Figure 5b show that, at an input power of 200 mW, there is no noticeable power attenuation over time. However, with an increase in input power, a marked attenuation of the output power over time can be observed. This phenomenon arises because the conversion efficiency of the crystal tends to decrease to some extent when the input power rises. Prolonged operation at high power will lead to a distinct gray tracking effect. In regions where the gray track forms, the crystal exhibits a significant increase in absorption within the visible and near-infrared wavelength ranges, which in turn causes a substantial reduction in nonlinear frequency conversion efficiency. In severe cases, it may even result in crystal heating and permanent damage.

4. Conclusions and Outlook

We experimentally demonstrate a high-power, high-conversion-efficiency 420 nm laser based on a PPKTP crystal. The maximum output power reaches 870 mW with an input power of approximately 1.2 W, and the peak conversion efficiency is about 77.71% at an input power of around 800 mW. To suppress the thermal lens effect and gray tracking effect that hinder performance, we optimized the cavity design to achieve a large beam waist of 106 µm, which effectively reduced harmful intensity-related effects. The highest conversion efficiency is achieved at 420.298 nm when the temperature is controlled near 56 °C. The fundamental light source, a Ti:Sa laser, is locked to an ultra-stable ULE cavity (with a finesse of 40 k) to ensure a narrow linewidth, flexible tunability, and long-term frequency stability. Measurements of the output beam quality yield results of M x 2 = 1.017 and M y 2 = 1.01 . This 420 nm laser enables a Rabi frequency of over 2 π × 400 MHz for rubidium atoms, significantly facilitating rapid Rydberg excitation by shortening the switching-off time of optical tweezers. However, achieving higher output power will require further mitigation of the thermal lens effect and resolving the cavity mode mismatch caused by it. This work provides critical technical support for the efficient Rydberg excitation of Rb atoms and holds great potential for applications in quantum computing, quantum simulation, and quantum precision measurement.

Author Contributions

Validation, X.J., K.Q., W.W., Y.Z. and Z.X.; investigation, X.J., K.Q., W.W., Y.Z. and Z.X.; data curation, Z.X.; writing—original draft preparation, Z.X. and D.L.; writing—review and editing, D.L.; supervision, Z.X. and D.L.; project administration, Z.X.; funding acquisition, Z.X. All authors have read and agreed to the published version of the manuscript.

Funding

This work was supported by the National Key R&D Program of China under Grant No. 2020YFA0309400; NNSFC under Grant Nos. 12222409, 12174081, and 11974228; and the Key Research and Development Program of Shanxi Province (Grant No. 202101150101025).

Institutional Review Board Statement

Not applicable.

Informed Consent Statement

Not applicable.

Data Availability Statement

Data underlying the results presented in this paper are not publicly available at this time but may be obtained from the authors upon reasonable request.

Acknowledgments

We would like to express our gratitude to Heng Shen, Long Tian, and Qingwei Wang for their discussions and guidance during the process of crystal selection and experimental design optimization. Additionally, we are thankful for all the efforts of students for their significant support in cavity structure design, data measurement, and data analysis.

Conflicts of Interest

The authors declare no conflicts of interest. The funders had no role in the design of the study; in the collection, analyses, or interpretation of data; in the writing of the manuscript; or in the decision to publish the results.

References

  1. Evered, S.J.; Bluvstein, D.; Kalinowski, M.; Ebadi, S.; Manovitz, T.; Zhou, H.; Li, S.H.; Geim, A.A.; Wang, T.T.; Maskara, N.; et al. High-fidelity parallel entangling gates on a neutral-atom quantum computer. Nature 2023, 622, 268–272. [Google Scholar] [CrossRef] [PubMed]
  2. Bluvstein, D.; Evered, S.J.; Geim, A.A.; Li, S.H.; Zhou, H.; Manovitz, T.; Ebadi, S.; Cain, M.; Kalinowski, M.; Hangleiter, D.; et al. Logical quantum processor based on reconfigurable atom arrays. Nature 2024, 626, 58–65. [Google Scholar] [CrossRef] [PubMed]
  3. Anderson, S.E.; Younge, K.C.; Raithel, G. Trapping Rydberg Atoms in an Optical Lattice. Phys. Rev. Lett. 2011, 107, 263001. [Google Scholar] [CrossRef]
  4. Qiao, M.; Emperauger, G.; Chen, C.; Homeier, L.; Hollerith, S.; Bornet, G.; Martin, R.; Gély, B.; Klein, L.; Barredo, D.; et al. Realization of a doped quantum antiferromagnet with dipolar tunnelings in a Rydberg tweezer array. arXiv 2025, arXiv:2501.08233. [Google Scholar] [CrossRef]
  5. Mei, Y.; Li, Y.; Nguyen, H.; Berman, P.; Kuzmich, A. Trapped Alkali-Metal Rydberg Qubit. Phys. Rev. Lett. 2022, 128, 123601. [Google Scholar] [CrossRef] [PubMed]
  6. Li, L.; Dudin, Y.O.; Kuzmich, A. Entanglement between light and an optical atomic excitation. Nature 2013, 498, 466–469. [Google Scholar] [CrossRef]
  7. Ast, S.; Nia, R.M.; Schönbeck, A.; Lastzka, N.; Steinlechner, J.; Eberle, T.; Mehmet, M.; Steinlechner, S.; Schnabel, R. High-efficiency frequency doubling of continuous-wave laser light. Opt. Lett. 2011, 36, 3467–3469. [Google Scholar] [CrossRef]
  8. Tian, J.; Yang, C.; Xue, J.; Zhang, Y.; Li, G.; Zhang, T. High-efficiency blue light generation at 426 nm in low pump regime. J. Opt. 2016, 18, 055506. [Google Scholar] [CrossRef]
  9. Zuo, X.; Yan, Z.; Jia, X. High-efficiency generation of a low-noise laser at 447 nm. Appl. Phys. Express 2019, 12, 032010. [Google Scholar] [CrossRef]
  10. Yang, W.; Wang, Y.; Zheng, Y.; Lu, H. Comparative study of the frequency-doubling performance on ring and linear cavity at short wavelength region. Opt. Express 2015, 23, 19624. [Google Scholar] [CrossRef]
  11. Maeda, S.; Morioka, H.; Kumagai, H.; Kobayashi, A. Conversion efficiency of 56% in frequency doubling of single-frequency coherent light from Ti:sapphire laser at 778nm in high-finesse resonant cavity containing BiBO crystal. Nucl. Instrum. Methods Phys. Res. Sect. B Beam Interact. Mater. Atoms 2009, 267, 3471–3474. [Google Scholar] [CrossRef]
  12. Torabi-Goudarzi, F.; Riis, E. Efficient cw high-power frequency doubling in periodically poled KTP. Opt. Commun. 2003, 227, 389–403. [Google Scholar] [CrossRef]
  13. Zhang, Y.; Liu, J.; Wu, J.; Ma, R.; Wang, D.; Zhang, J. Single-frequency tunable 4473 nm laser by frequency doubling of tapered amplified diode laser at cesium D1 line. Opt. Express 2016, 24, 19769. [Google Scholar] [CrossRef]
  14. Villa, F.; Chiummo, A.; Giacobino, E.; Bramati, A. High-efficiency blue-light generation with a ring cavity with periodically poled KTP. J. Opt. Soc. Am. B 2007, 24, 576. [Google Scholar] [CrossRef]
  15. Le Targat, R.; Zondy, J.J.; Lemonde, P. 75%-Efficiency blue generation from an intracavity PPKTP frequency doubler. Opt. Commun. 2005, 247, 471–481. [Google Scholar] [CrossRef]
  16. Wen, X.; Han, Y.; Bai, J.; He, J.; Wang, Y.; Yang, B.; Wang, J. Cavity-enhanced frequency doubling from 795nm to 3975nm ultra-violet coherent radiation with PPKTP crystals in the low pump power regime. Opt. Express 2014, 22, 32293. [Google Scholar] [CrossRef]
  17. Cui, X.Y.; Shen, Q.; Yan, M.C.; Zeng, C.; Yuan, T.; Zhang, W.Z.; Yao, X.C.; Peng, C.Z.; Jiang, X.; Chen, Y.A.; et al. High-power 671 nm laser by second-harmonic generation with 93% efficiency in an external ring cavity. Opt. Lett. 2018, 43, 1666. [Google Scholar] [CrossRef]
  18. Deng, X.; Zhang, J.; Zhang, Y.; Li, G.; Zhang, T. Generation of blue light at 426 nm by frequency doubling with a monolithic periodically poled KTiOPO4. Opt. Express 2013, 21, 25907. [Google Scholar] [CrossRef]
  19. Wang, Q.; Tian, L.; Yao, W.; Wang, Y.; Zheng, Y. Realizing a high-efficiency 426nm laser with PPKTP by reducing mode-mismatch caused by the thermal effect. Opt. Express 2019, 27, 28534. [Google Scholar] [CrossRef] [PubMed]
  20. Polzik, E.S.; Kimble, H.J. Frequency doubling with KNbO3 in an external cavity. Opt. Lett. 1991, 16, 1400–1402. [Google Scholar] [CrossRef] [PubMed]
  21. Pizzocaro, M.; Calonico, D.; Pastor, P.C.; Catani, J.; Costanzo, G.A.; Levi, F.; Lorini, L. Efficient frequency doubling at 399 nm. Appl. Opt. 2014, 53, 3388. [Google Scholar] [CrossRef]
  22. Wang, J.; Bai, J.; He, J.; Wang, J. Development and characterization of a 2.2 W narrow-linewidth 318.6 nm ultraviolet laser. J. Opt. Soc. Am. B 2016, 33, 2020–2025. [Google Scholar] [CrossRef]
  23. Sabaeian, M.; Mousave, L.; Nadgaran, H. Investigation of thermally-induced phase mismatching in continuous-wave second harmonic generation: A theoretical model. Opt. Express 2010, 18, 18732. [Google Scholar] [CrossRef]
  24. Li, D.; Xu, B.; Qin, K.; Jia, X.; Zhao, C.; Zhou, Y.; Xu, Z. Probing nS/nD Rydberg States via 6P3/2 Intermediate Level Using Electromagnetically Induced Transparency in 87Rb. Photonics 2025, 12, 204. [Google Scholar] [CrossRef]
  25. Innocenzi, M.E.; Yura, H.T.; Fincher, C.L.; Fields, R.A. Thermal modeling of continuous-wave end-pumped solid-state lasers. Appl. Phys. Lett. 1990, 56, 1831–1833. [Google Scholar] [CrossRef]
  26. Yin, Q.; Lu, H.; Su, J.; Peng, K. High power single-frequency and frequency-doubled laser with active compensation for the thermal lens effect of terbium gallium garnet crystal. Opt. Lett. 2016, 41, 2033–2036. [Google Scholar] [CrossRef] [PubMed]
  27. Ashkin, A.; Boyd, G.D.; Dziedzic, J.M. Resonant Optical Second Harmonic Generation and Mixing. IEEE J. Quantum Electron. 1966, 2, 109–124. [Google Scholar] [CrossRef]
Figure 1. Details of frequency doubling setup. (a) Experimental setup. ULE cavity, Ultralow expansion cavity. HR, High reflection mirror; HW, Half-wave plate; PBS, Polarizing beam splitter; D, Detector; LO, Local oscillator; EOM, Electro-optic modulator; PZT, Piezo-electric transducer. M 1 M 4 , Cavity mirrors. (b) Calculation results from ABCD matrix. The blue curve is the beam waist at the PPKTP position, and the red curve is the stabilization zone calculation result when changing the distance between M 3 and M 4 . (c) Bow-tie cavity mode. The blue curve is the voltage applied on the PZT. The red curve is the cavity mode. The cavity mode shows a asymmetric shape when scanning the cavity length.
Figure 1. Details of frequency doubling setup. (a) Experimental setup. ULE cavity, Ultralow expansion cavity. HR, High reflection mirror; HW, Half-wave plate; PBS, Polarizing beam splitter; D, Detector; LO, Local oscillator; EOM, Electro-optic modulator; PZT, Piezo-electric transducer. M 1 M 4 , Cavity mirrors. (b) Calculation results from ABCD matrix. The blue curve is the beam waist at the PPKTP position, and the red curve is the stabilization zone calculation result when changing the distance between M 3 and M 4 . (c) Bow-tie cavity mode. The blue curve is the voltage applied on the PZT. The red curve is the cavity mode. The cavity mode shows a asymmetric shape when scanning the cavity length.
Photonics 12 00830 g001
Figure 2. Thermal lens calculation results. (a) The focal length of the thermal lens varies with power under different beam waists. (b) The calculation results of the stability zone vary with power under different beam waists.
Figure 2. Thermal lens calculation results. (a) The focal length of the thermal lens varies with power under different beam waists. (b) The calculation results of the stability zone vary with power under different beam waists.
Photonics 12 00830 g002
Figure 3. Experimental results of the conversion efficiency of the laser passing through the crystal as a function of temperature, with the vertical axis in normalized coordinates.
Figure 3. Experimental results of the conversion efficiency of the laser passing through the crystal as a function of temperature, with the vertical axis in normalized coordinates.
Photonics 12 00830 g003
Figure 4. Output power and conversion efficiency at different input powers. The blue and red dots are the experimental results; the dashed lines are the fitting results. The maximum doubling efficiency is 77.71% when the input power is around 800 mW. The output power can be 870 mW when the input power is 1.2 W.
Figure 4. Output power and conversion efficiency at different input powers. The blue and red dots are the experimental results; the dashed lines are the fitting results. The maximum doubling efficiency is 77.71% when the input power is around 800 mW. The output power can be 870 mW when the input power is 1.2 W.
Photonics 12 00830 g004
Figure 5. Output quality. (a) Beam quality. The output beam is collimated by a lens with a focal length of 150 mm. The measurement result shows that M x 2 = 1.017 ,   M y 2 = 1.01 . (b) Locking capability. Graphs of power versus time measured at different fundamental frequency powers. The blue line represents the experimental results at an input of 200 mW, the red line at 500 mW, and the green line at 700 mW. The example lines insert in the graph indicate the RMS values under each power.
Figure 5. Output quality. (a) Beam quality. The output beam is collimated by a lens with a focal length of 150 mm. The measurement result shows that M x 2 = 1.017 ,   M y 2 = 1.01 . (b) Locking capability. Graphs of power versus time measured at different fundamental frequency powers. The blue line represents the experimental results at an input of 200 mW, the red line at 500 mW, and the green line at 700 mW. The example lines insert in the graph indicate the RMS values under each power.
Photonics 12 00830 g005
Disclaimer/Publisher’s Note: The statements, opinions and data contained in all publications are solely those of the individual author(s) and contributor(s) and not of MDPI and/or the editor(s). MDPI and/or the editor(s) disclaim responsibility for any injury to people or property resulting from any ideas, methods, instructions or products referred to in the content.

Share and Cite

MDPI and ACS Style

Xu, Z.; Jia, X.; Qin, K.; Wang, W.; Zhou, Y.; Li, D. Tunable High-Power 420 nm Laser with External Cavity Frequency Doubling: Toward Efficient Rubidium Rydberg Excitation. Photonics 2025, 12, 830. https://doi.org/10.3390/photonics12080830

AMA Style

Xu Z, Jia X, Qin K, Wang W, Zhou Y, Li D. Tunable High-Power 420 nm Laser with External Cavity Frequency Doubling: Toward Efficient Rubidium Rydberg Excitation. Photonics. 2025; 12(8):830. https://doi.org/10.3390/photonics12080830

Chicago/Turabian Style

Xu, Zhongxiao, Xin Jia, Keyu Qin, Weisen Wang, Yaoting Zhou, and Donghao Li. 2025. "Tunable High-Power 420 nm Laser with External Cavity Frequency Doubling: Toward Efficient Rubidium Rydberg Excitation" Photonics 12, no. 8: 830. https://doi.org/10.3390/photonics12080830

APA Style

Xu, Z., Jia, X., Qin, K., Wang, W., Zhou, Y., & Li, D. (2025). Tunable High-Power 420 nm Laser with External Cavity Frequency Doubling: Toward Efficient Rubidium Rydberg Excitation. Photonics, 12(8), 830. https://doi.org/10.3390/photonics12080830

Note that from the first issue of 2016, this journal uses article numbers instead of page numbers. See further details here.

Article Metrics

Back to TopTop