Abstract
The manipulation of surface plasmon polaritons (SPPs) plays an essential role in plasmonic science and technology. However, the modulation efficiency and size of the device in the traditional method suffer from weak light–matter interaction. Herein, we propose a new method to enhance the light–matter interaction by controlling the resonance of electrons in a sandwich structure which is composed of an interdigital electrode, dielectric, and doped semiconductor. The numerical results show that the resonance of electrons occurs when their vibrational frequency under electrostatic field matches well with the oscillation frequency of the propagating SPPs. The intensity of the electric field is enhanced about 8%, which can be utilized to improve the modulation efficiency and minimize the footprint of device to a great extent. These findings pave a new way towards higher precision sensor and more compact modulator.
1. Introduction
Surface plasmon polaritons (SPPs) are modes of electromagnetic waves that propagate along a metal surface due to the interaction between light waves and surface charges [1,2,3,4,5,6]. In this mode, the light wave is localized at the interface between metal and dielectric, and there is a strong coupling between the light field and the free electrons on the metal surface [7,8,9,10]. Recently, the SPPs-based circuit elements including waveguides [11,12], modulators [13,14,15,16], and photodetectors [17,18] have been widely demonstrated to benefit from this strong couple mode [19,20]. However, this mode is difficult to be further enhanced due to the limited light–matter interaction. Thus, a long interaction region is usually adopted in a plasmon modulator to improve its modulation efficiency, leading to a large footprint of the device. Herein, it is highly desirable to propose a new method to enhance the light–matter interaction for the ultra-compact modulator.
The surface charges of metal are resonant with the incident light and produce a great enhancement at the interface of metal and dielectric in propagating SPPs [21,22,23]. Nevertheless, the motion of electrons can also be driven and controlled by the electrostatic field. In this condition, the resonance of electrons may happen when the vibration frequency of the electrons under an electrostatic field matches well with the oscillation frequency of the propagating SPPs [24]. The electric field intensity at the interface can be further enhanced if resonance occurs, which can be utilized to improve the modulation efficiency and reduce the footprint of a plasmon modulator owing to the enhanced light–matter interaction [25,26]. Although it is difficult to modulate the electron concentration and movement in metal by the electrostatic, the modulation in some materials with low electron concentration, such as heavily doped semiconductor, transparent conduction oxides, and two-dimensional materials [27,28,29], is feasible. Consequently, it is possible to achieve an enhanced light–matter interaction in these materials.
In this paper, we proposed a sandwich structure composed of interdigital electrode, dielectric, and doped semiconductor. The electromagnetic particle-in-cell (PIC) method has been developed based on the finite-difference time-domain (FDTD) method to analyze the electric field distribution and laws of the electron motion in doped semiconductor [30,31] (the PIC code is a central simulation tool for a wide range of physics studies, from semiconductors to cosmology or accelerator physics, and, in particular, to plasma physics. Especially, it can vividly reflect the interaction between the electromagnetic fields and electrons, and the technique follows the motion of a large assembly of charged particles in their self-consistent electric and magnetic fields [32]). The numerical results showed that the resonance occurs when the vibration frequency of electrons under an electrostatic field is the same as that of SPPs, and the electric intensity is enhanced to about 8% as the periodic electrostatic field and the propagating SPPs are employed simultaneously. These findings pave a new way to enhance the light–matter interaction and have a potential application, such as improving the modulation efficiency, minimizing the device size, and optimizing the sensing precision, in optical modulators, detectors and sensors.
2. Model
In order to analyze the interaction between the electrostatic field and the propagating SPPs at the particle level, a hybrid structure composed of interdigital electrode, dielectric, and heavy doped semiconductor is designed in Figure 1. The polarized light is incident on the grating and stimulates the SPPs that propagate along the interface of silicon dioxide (SiO2) and the heavily doped semiconductor, in which the electrons oscillate with the incident light. On the other hand, the electrons can also oscillate under the electrostatic field when the voltage is applied to the interdigital electrode individually. Herein, the oscillation frequency of the electrons can be modulated by the voltage dynamically, and the propagating SPPs can be modulated if the wavelength of SPPs is fixed. The resonance may occur when the vibration frequency of the electrons under an electrostatic field matches well with the oscillation frequency of propagating SPPs. The electric field intensity will be enhanced and the amplitude of electron motion will be enlarged if the resonance occurs in the simulation process, which can be utilized to enhance the light–matter interaction at nanoscale. (The enhanced electric field intensity can be observed during the experimental process). The PIC method is employed to analyze the motion of electrons in the doped semiconductor within one period of 1800 nm and the position ranges from −900 nm to 900 nm.
Figure 1.
Schematic illustration of the interdigital electrode-dielectric-doped simiconductor structure, the electrons in doped simiconductor can be controlled by the voltage applied on electrode.
The main parameters for the simulation are listed in Table 1. These parameters serve as references, with their actual values being the product of the set value and the unit value. The value of ωr (frequency) is defined by the user [32].
Table 1.
The list of main parameters for the simulation.
3. Results and Discussion
3.1. The Characteristics of Electron Under the Electrostatic Field
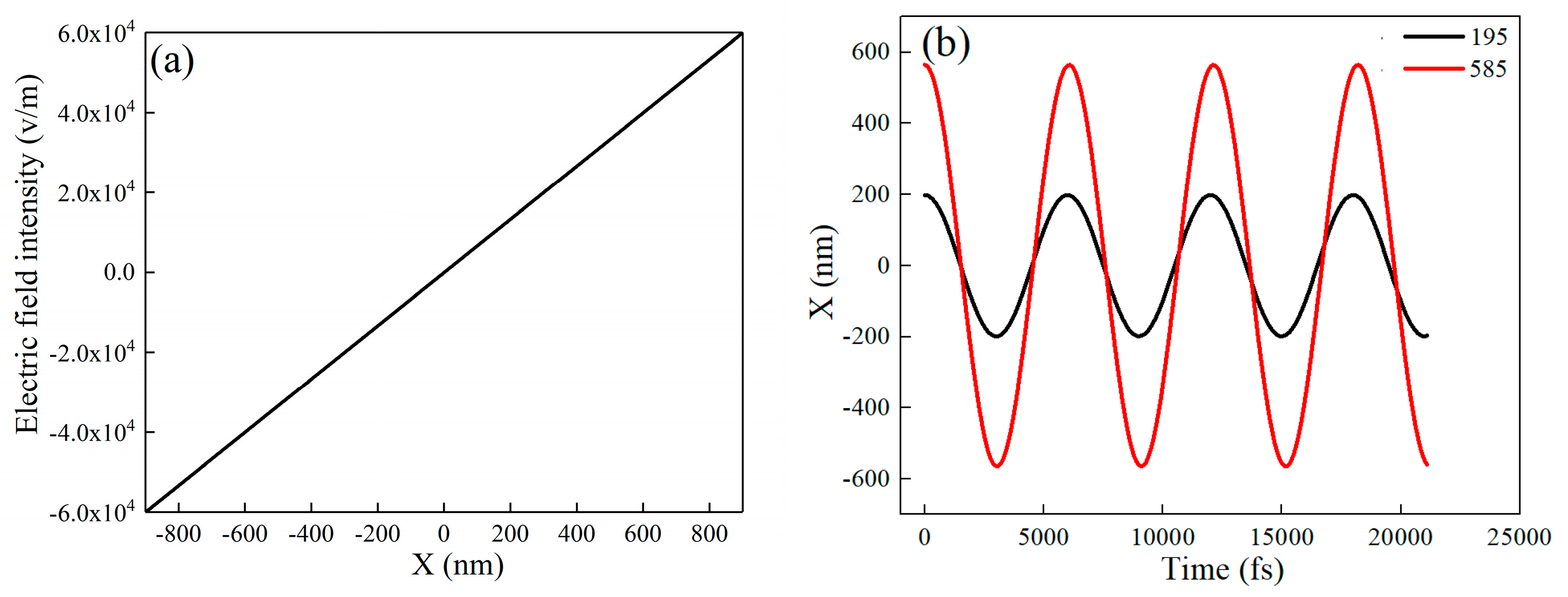
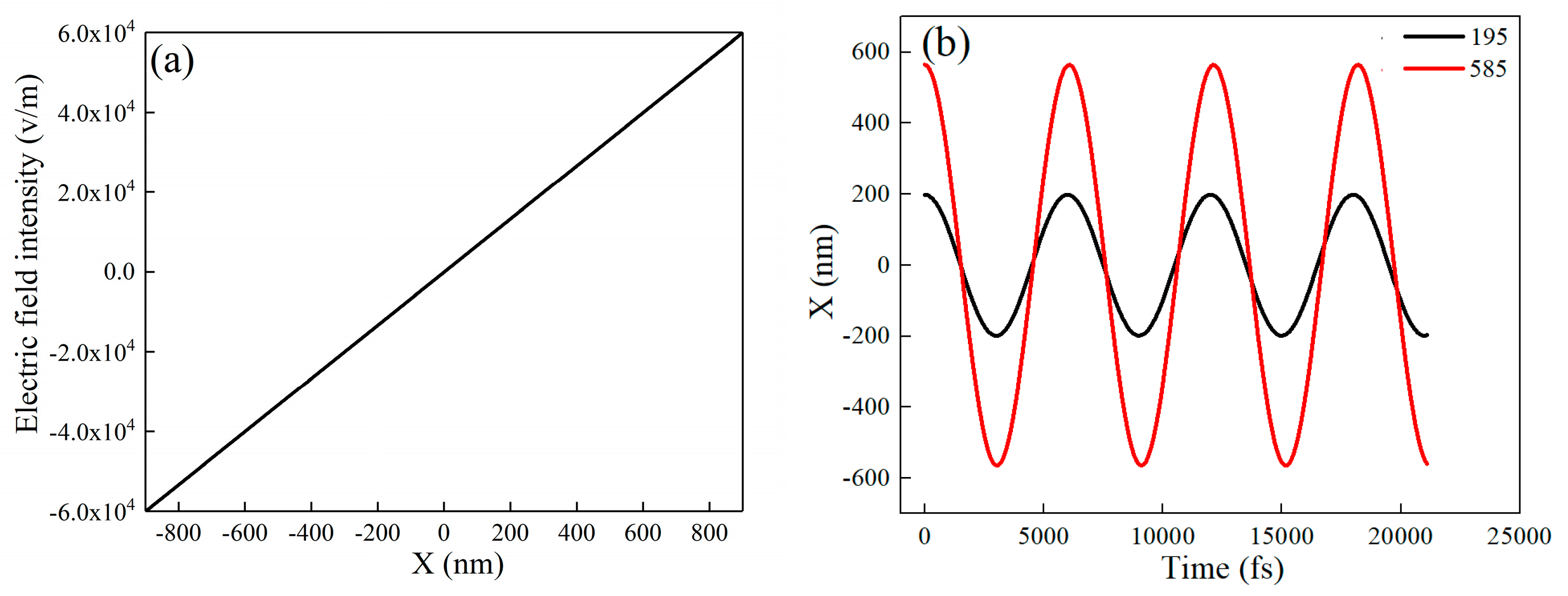
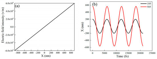
The electrons are accelerated from one side to the center and then decelerated to another side because the symmetric external forces are applied on them when the opposite voltage is applied on the electrode, respectively. The distribution of the electric field intensity under the electrostatic field is shown in Figure 2a, the electric field is in the opposite direction at the side of the 0 position. The trajectory of a single electron located at the position of 585 nm is shown as the red line in Figure 2b. The amplitude ranges from −585 nm to 585 nm. The black line is the electron located at the position of 195 nm, and the amplitude of the electron is between −195 nm and 195 nm. As shown, the amplitude of the electron is closely related to the position of the particle, in other words, the amplitude of the electron depends on its original location under the electrostatic field.
Figure 2.
(a) The distribution of electric field intensity under the electrostatic field (b) the trajectory of electron at different position versus the time.
Figure 3a–c show the trajectory of a single electron under the electrostatic field with values of 104, 105, and 106 V/m, respectively, where the X-axis represents the time while the Y-axis represents the position of the electron. It can be observed that the oscillation frequency of the electron varies with the magnitude of the electrostatic field. The electron has a faster acceleration due to the greater force imposed by the electric field, leading to a shift in electron vibration frequency. It can be demonstrated that the vibration frequency of the electron can be controlled by the applied voltage dynamically.
Figure 3.
The trajectory of electron under different electrostatic fields: (a) 104, (b) 105, and (c) 106 V/m.
3.2. The Distribution of Electric Intensity Under the Propagating SPPs
The propagating SPPs we employed are in the form of A0 × cos(ωt + 8 × pi × x), where the A0 is set as 0.001. (The propagation loss is neglected in simulation as the main purpose of the model is to analyze the movement of electrons under various conditions). The distribution of the electric field at the time of 628.27 fs is shown in Figure 4, which represents a standard sine wave used to approximate the propagating SPPs.
Figure 4.
The electric field distribution at the time of 628.27 fs.
3.3. The Distribution of Electric Intensity Under the Electrostatic Field and Propagating SPPs Simultaneous
When the periodically distributed electrostatic field and the propagating SPPs are employed in the proposed model simultaneously, its electric field distribution is shown in Figure 5, when compared to Figure 2a and Figure 4, it becomes apparent that the electric field distribution represents the superposition of both the electrostatic field and the propagating SPPs.
Figure 5.
The electric field distribution at the time of 628.27 fs when the voltage is applied.
3.4. The Resonance of Electrons
3.4.1. Analysis of Amplitude
We fixed the frequency of the propagating SPPs and changed the magnitude of voltage, the numerical results show that the resonance occurs when the vibration frequency of electrons under an electrostatic field is the same as the oscillation frequency of SPPs, leading to an increase in the amplitude of the electron. As demonstrated in Figure 6, the oscillation amplitude of the same electron in the resonant state is significantly larger than in the normal state clearly demonstrating the resonance of the electron.
Figure 6.
The trajectory of the electron under the resonant and normal state.
3.4.2. Analysis of Electric Field Intensity
The electric field intensity at the position of 500 nm versus different frequencies of propagating SPPs is depicted in Figure 7a. The electric field intensity varies with the frequency of SPPs, and its intensity reaches a maximum at a frequency of 4.3 × 1011 Hz while the electrostatic field is fixed at 105 V/m. At this frequency, the intensity is enhanced by approximately 8%. The electric intensity will not vary with the frequency of SPPs if it is just the superposition of externally applied electric field with SPPs, which clearly indicates that resonance has occurred and the enhancement of light–matter interaction is achieved by the proposed structure. Figure 7b shows the electric field intensity as a function of the position in both the resonant state and the normal state. It becomes evident that the electric field intensity at the resonant state is larger than the normal state and the electric field intensity is obviously enhanced. These findings pave the way for enhancing the light–matter interaction and have great potential applications in the fields of optical modulation and sensing.
Figure 7.
The electric field distribution (a) versus different SPPs frequency (b) at different state versus the position.
4. Conclusions
In conclusion, a hybrid structure composed of an interdigital electrode, dielectric, and doped semiconductor is proposed to enhance the light–matter interaction in this paper. The resonance of the electron occurs when the frequency of propagating SPPs is 4.3 × 1011 Hz while the electrostatic field is fixed at 105 V/m. The electric field and the amplitude reach their maximum, and the electric intensity is enhanced by approximately 8%. This effect can be harnessed to improve the modulation efficiency and minimize the footprint of the plasmonic modulator. These findings pave the way towards a higher precision sensor and a more compact modulator.
Author Contributions
C.L. and H.M. designed the study, X.H. and X.Z. finished the numerical simulation, M.L. and S.Y. interpreted the results and wrote the manuscript. All authors gave final approve for publication. All authors have read and agreed to the published version of the manuscript.
Funding
The work was financially supported by National Natural Science Foundation of China (NSFC) (12274075). Scientific Research Fund of Zhejiang Provincial Education Department (Y202352891).
Data Availability Statement
The data relative to the experiments discussed in this work are available upon reasonable request from the corresponding author Sisi Yang.
Conflicts of Interest
Authors Xuefang Hu and Haoyang Mao were employed by the company Ningbo Yongxin Optics Co., Ltd. The remaining authors declare that the research was conducted in the absence of any commercial or financial relationships that could be construed as a potential conflict of interest.
References
- Pala, R.A.; Shimizu, K.T.; Melosh, N.A.; Brongersma, M.L. A Nonvolatile Plasmonic Switch Employing Photochromic Molecules. Nano Lett. 2008, 8, 1506–1510. [Google Scholar] [CrossRef] [PubMed]
- Abeysinghe, D.C.; Nader, N.; Myers, J.; Hendrickson, J.R.; Cleary, J.W.; Walker, D.E.; Chen, K.-H.; Liu, Y.; Mou, S. Edge Doping Effect to the Surface Plasmon Resonances in Graphene Nanoribbons. J. Phys. Chem. C 2019, 123, 19820–19827. [Google Scholar] [CrossRef]
- Behnia, S.; Fathizadeh, S.; Javanshour, E.; Nemati, F. Light-Driven Modulation of Electrical Current through DNA Sequences: Engineering of a Molecular Optical Switch. J. Phys. Chem. B 2020, 124, 3261–3270. [Google Scholar] [CrossRef] [PubMed]
- Bouillard, J.-S.G.; Dickson, W.; O’connor, D.P.; Wurtz, G.A.; Zayats, A.V. Low-Temperature Plasmonics of Metallic Nanostructures. Nano Lett. 2012, 12, 1561–1565. [Google Scholar] [CrossRef] [PubMed]
- Chang, W.-S.; Lassiter, J.B.; Swanglap, P.; Sobhani, H.; Khatua, S.; Nordlander, P.; Halas, N.J.; Link, S. A Plasmonic Fano Switch. Nano Lett. 2012, 12, 4977–4982. [Google Scholar] [CrossRef]
- Chen, T.; Tong, F.; Enderlein, J.; Zheng, Z. Plasmon-Driven Modulation of Reaction Pathways of Individual Pt-Modified Au Nanorods. Nano Lett. 2020, 20, 3326–3330. [Google Scholar] [CrossRef] [PubMed]
- Cox, J.D.; de Abajo, F.J.G. Single-Plasmon Thermo-Optical Switching in Graphene. Nano Lett. 2019, 19, 3743–3750. [Google Scholar] [CrossRef]
- Cox, J.D.; de Abajo, F.J.G. Nonlinear Graphene Nanoplasmonics. Acc. Chem. Res. 2019, 52, 2536–2547. [Google Scholar] [CrossRef] [PubMed]
- Du, W.; Zhao, J.; Zhao, W.; Zhang, S.; Xu, H.; Xiong, Q. Ultrafast Modulation of Exciton–Plasmon Coupling in a Monolayer WS2–Ag Nanodisk Hybrid System. ACS Photonics 2019, 6, 2832–2840. [Google Scholar] [CrossRef]
- Emboras, A.; Niegemann, J.; Ma, P.; Haffner, C.; Pedersen, A.; Luisier, M.; Hafner, C.; Schimmel, T.; Leuthold, J. Atomic Scale Plasmonic Switch. Nano Lett. 2016, 16, 709–714. [Google Scholar] [CrossRef]
- Agrawal, A.; Susut, C.; Stafford, G.; Bertocci, U.; McMorran, B.; Lezec, H.J.; Talin, A.A. An Integrated Electrochromic Nanoplasmonic Optical Switch. Nano Lett. 2011, 11, 2774–2778. [Google Scholar] [CrossRef] [PubMed]
- Kress, S.J.P.; Antolinez, F.V.; Richner, P.; Jayanti, S.V.; Kim, D.K.; Prins, F.; Riedinger, A.; Fischer, M.P.C.; Meyer, S.; McPeak, K.M.; et al. Wedge Waveguides and Resonators for Quantum Plasmonics. Nano Lett. 2015, 15, 6267–6275. [Google Scholar] [CrossRef] [PubMed]
- Hossein, K.; Vahed, H. A structure of electro-absorption hybrid plasmonic modulator using silver nano-ribbon. Opt. Quantum Electron. 2023, 55, 894. [Google Scholar]
- Chauhan, D.; Sbeah, Z.; Dwivedi, R.P.; Nunzi, J.-M.; Thakur, M.S. An investigation and analysis of plasmonic modulators: A review. J. Opt. Commun. 2024, 45, 483–511. [Google Scholar] [CrossRef]
- Zurak, L.; Wolf, C.; Meier, J.; Kullock, R.; Mortensen, N.A.; Hecht, B.; Feichtner, T. Modulation of surface response in a single plasmonic nanoresonator. Sci. Adv. 2024, 10, eadn5227. [Google Scholar] [CrossRef] [PubMed]
- Gao, X.; Gu, Z.; Ma, Q.; Cui, W.Y.; Cui, T.J.; Chan, C.H. Reprogrammable spoof plasmonic modulator. Adv. Funct. Mater. 2023, 33, 2212328. [Google Scholar] [CrossRef]
- Wang, L.; Zhang, Y.; Wang, B.; Wei, Y.; Zhang, B.; Meng, L.; Liu, T.; Wang, B.; Han, B.; Jiang, Z.; et al. High-performance infrared Ge-based plasmonicphotodetector enhanced by dual absorption mechanism. APL Photonics 2020, 5, 096104. [Google Scholar] [CrossRef]
- Ma, Z.; Kikunaga, K.; Wang, H.; Sun, S.; Amin, R.; Maiti, R.; Tahersima, M.H.; Dalir, H.; Miscuglio, M.; Sorger, V.J. Compact Graphene Plasmonic Slot Photodetector on Silicon-on-Insulator with High Responsivity. ACS Photonics 2020, 7, 932–940. [Google Scholar] [CrossRef]
- Liu, J.; Khayrudinov, V.; Yang, H.; Sun, Y.; Matveev, B.; Remennyi, M.; Yang, K.; Haggren, T.; Lipsanen, H.; Wang, F.; et al. InAs-Nanowire-Based Broadband Ultrafast Optical Switch. J. Phys. Chem. Lett. 2019, 10, 4429–4436. [Google Scholar] [CrossRef]
- Luo, Y.; Wang, Y.; Liu, M.; Zhu, H.; Chen, O.; Zou, S.; Zha, J. Colloidal Assembly of Au–Quantum Dot–Au Sandwiched Nanostructures with Strong Plasmon–Exciton Coupling. J. Phys. Chem. Lett. 2020, 11, 2449–2456. [Google Scholar] [CrossRef]
- Menghrajani, K.S.; Nash, G.R.; Barnes, W.L. Vibrational Strong Coupling with Surface Plasmons and the Presence of Surface Plasmon Stop Bands. ACS Photonics 2019, 6, 2110–2116. [Google Scholar] [CrossRef] [PubMed]
- Min, B.K.; Nguyen, V.-T.; Kim, S.J.; Yi, Y.; Choi, C.-G. Surface Plasmon Resonance-Enhanced Near-Infrared Absorption in Single-Layer MoS2 with Vertically Aligned Nanoflakes. ACS Appl. Mater. Interfaces 2020, 12, 14476–14483. [Google Scholar] [CrossRef] [PubMed]
- Oshita, M.; Takahashi, H.; Ajiki, Y.; Kan, T. Reconfigurable Surface Plasmon Resonance Photodetector with a MEMS Deformable Cantilever. ACS Photonics 2020, 7, 673–679. [Google Scholar] [CrossRef]
- Singh, D.; Malik, H.K. Terahertz emission by multiple resonances under external periodic electrostatic field. Phys. Rev. E 2020, 101, 043207. [Google Scholar] [CrossRef] [PubMed]
- Xiong, X.; Zhou, Y.; Luo, Y.; Li, X.; Bosman, M.; Ang, L.K.; Zhang, P.; Wu, L. Plasmon-Enhanced Resonant Photoemission Using Atomically Thick Dielectric Coatings. ACS Nano 2020, 14, 8806–8815. [Google Scholar] [CrossRef] [PubMed]
- Maleki, M.J.; Soroosh, M.; AL-Shammri, F.K.; Alkhayer, A.G.; Mondal, H. Design and simulation of a compact subwavelength graphene-based switch for surface plasmon polariton transmission in integrated optoelectronic circuits. Plasmonics 2024, 1–13. [Google Scholar] [CrossRef]
- Haddadan, F.; Soroosh, M. Design and simulation of a subwavelength 4-to-2 graphene-based plasmonic priority encoder. Opt. Laser Technol. 2023, 157, 108680. [Google Scholar] [CrossRef]
- Saeed, M.; Ghaffar, A.; Rehman, S.U.; Naz, M.Y.; Shukrullah, S.; Naqvi, Q.A. Graphene-based plasmonic waveguides: A mini review. Plasmonics 2022, 17, 901–911. [Google Scholar] [CrossRef]
- Sharma, T.; Zhang, Z.; Wang, J.; Cheng, Z.; Yu, K. Past, present, and future of hybrid plasmonic waveguides for photonics integrated circuits. Nanotechnol. Precis. Eng. 2024, 7, 045001. [Google Scholar] [CrossRef]
- Ding, W.J.; Lim, J.Z.J.; Do, H.T.B.; Xiong, X.; Mahfoud, Z.; Png, C.E.; Bosman, M.; Ang, L.K.; Wu, L. Particle simulation of plasmons. Nanophotonics 2020, 9, 3303–3313. [Google Scholar] [CrossRef]
- Zhou, J.; Hu, M.; Zhang, Y.; Zhang, P.; Liu, W.; Liu, S. Numerical analysis of electron-induced surface plasmon excitation using the FDTD method. J. Opt. 2011, 13, 035003. [Google Scholar] [CrossRef]
- Derouillat, J.; Beck, A.; Pérez, F.; Vinci, T.; Chiaramello, M.; Grassi, A.; Flé, M.; Bouchard, G.; Plotnikov, I.; Aunai, N.; et al. Smilei: A collaborative, open-source, multi-purpose particle-in-cell code for plasma simulation. Comput. Phys. Commun. 2018, 222, 351–373. [Google Scholar] [CrossRef]
Disclaimer/Publisher’s Note: The statements, opinions and data contained in all publications are solely those of the individual author(s) and contributor(s) and not of MDPI and/or the editor(s). MDPI and/or the editor(s) disclaim responsibility for any injury to people or property resulting from any ideas, methods, instructions or products referred to in the content. |
© 2025 by the authors. Licensee MDPI, Basel, Switzerland. This article is an open access article distributed under the terms and conditions of the Creative Commons Attribution (CC BY) license (https://creativecommons.org/licenses/by/4.0/).






