Abstract
Temperature sensors play important roles in wide-spreading human activities. The non-contact method of using temperature sensors offers significant advantages but faces challenges in detection precision. In this work, a double-layer asymmetric terahertz (THz) metamaterial combined with phase transition oxide was proposed to realize non-contact temperature sensor with high sensitivity. The metamaterial exhibited band-stop filtering effects in the simulated transmission spectra. Temperature changes induced a reversible phase transition in VO2, resulting in altered conductivity. The numerical results indicated that the S21 parameter increases from −44.33 dB to −4.78 dB at a frequency of 1.22 THz as the conductivity of the VO2 film increases from 10 to 5000 S/m, achieving a modulation depth of 89%. In addition, the 86 nm thick VO2 film underwent a phase transition in the temperature range of 54.93 °C to 66.93 °C, achieving a sensitivity of 1.82 dB/°C for temperature sensing. This work provided great insights into the development of metamaterials based on high-precision temperature measurement.
1. Introduction
Temperature sensors are extensively utilized across various fields, including industry, healthcare, environmental monitoring, aerospace, and automotive applications. However, traditional temperature sensors, including thermocouples [1,2], thermistors [3,4], and infrared sensors [5,6], often demonstrate slow response times, limited measurement ranges, insufficient accuracy, and susceptibility to environmental interference, severely restricting their practical applications. Terahertz (THz) spectroscopy serves as a significant complement to infrared spectroscopy, providing several notable advantages. Firstly, THz spectroscopy exhibits high transparency to nonpolar materials such as polymers, wood, paper products, and even smoke, allowing it to operate effectively in environments where infrared spectroscopy may be limited by absorption or scattering effects [7,8,9]. Secondly, the non-contact nature of THz measurements allows for high-precision temperature sensing without the risk of thermal interference or damage to sensitive materials, which is particularly beneficial for fragile samples or high-temperature environments [10,11,12]. Despite these advantages, the weak response of THz waves to natural materials significantly hinders their development. Metamaterials, composed of periodically arranged sub-wavelength unit structures, exhibit exceptional physical properties that are not present in natural materials [13,14,15,16]. By designing suitable metamaterial structures, a strong response to THz waves can be achieved, thereby enhancing the performance of sensors [9,17,18,19,20,21,22,23,24]. For example, H. Zhou et al. [25] developed a bilayer cross-shaped plate-hole metamaterial absorber that significantly enhances sensitivity for terahertz biosensing, achieving a theoretical sensitivity improvement of about 7 and 18 times compared to conventional absorbers and experimentally demonstrating a sensitivity of 153 GHz/μM for biotin detection. Y. W. Liu et al. [26] presented a design of electrothermally controllable THz metamaterial based on a split-ring resonator structure, achieving tunable triple-resonance with tuning ranges of 24 GHz, 40 GHz, and 32 GHz by applying a direct current voltage, and the maximum sensitivity is 42 GHz/volt.
In THz metamaterial temperature sensors, temperature-sensitive materials are typically chosen as the modulation medium, including strontium titanate based on the damped resonator model [27,28], graphene based on Falkovsky’s formula [29,30], and InSb based on Drude’s model [31,32], Ge2Sb2Te5 (GST) [33], etc. Changes in ambient temperature induce variations in dielectric properties, which subsequently affect THz wave transmission performance. For instance, D. Li et al. [28] investigated the potential of using strontium titanate for temperature sensing based on a perfect absorber of terahertz metamaterials, which consists of two split-ring resonators of different sizes, a silicon substrate, and a bottom metallic layer. The frequency of the absorption peaks can be blue-shifted from 1.41 to 1.52 THz as the temperature increases from 200 to 400 K. This setup achieves a temperature sensitivity of 0.00055 THz/K. Utilizing the temperature-sensitive properties of InSb materials, T.T. Lang et al. [34] developed a temperature sensor with a sensitivity of 21.9 GHz/K, employing a perfect absorber of terahertz metamaterials. A. Keshavarz et al. [30] reported a nanoscale terahertz metamaterial composed of a graphene H-shape situated on an InSb substrate. Given that the optical properties of graphene and InSb are highly temperature-dependent, the resonance frequency shifts with temperature changes, allowing for temperature sensing with a sensitivity of 0.027 THz/K. Y. L. Guo et al. [33] demonstrated a tunable terahertz (THz) metamaterial based on GST particles that maintain its original THz wave resolution even as the temperature increases, allowing for the active “on” and “off” control of its absorption window by changing the temperature. Despite existing studies on THz metamaterial temperature sensors, challenges such as low sensitivity and measurement accuracy persist. Furthermore, achieving unique resonant responses requires complex designs of metamaterial unit structures, resulting in challenges in analysis, design, and fabrication.
Vanadium dioxide (VO2) is a material that undergoes a reversible insulator-metal phase transition at approximately 68 °C [35]. During this transition, VO2 undergoes a first-order phase change from a high-temperature metallic state to a low-temperature insulating state, accompanied by a dramatic change in conductivity of four to five orders of magnitude [36,37]. This characteristic positions it as a promising candidate for temperature sensor applications. This paper systematically investigated the performance of THz metamaterial temperature sensors modulated by VO2 thin films, utilizing a double-layer asymmetric structure (DLAS) composed of two copper strips, highlighting the advantages of a simple structure and high sensitivity. The results indicated that when the conductivity of the VO2 thin film varies within the range of 10 to 5000 S/m, the S21 parameter varies from −44.33 to −4.78 dB at 1.22 THz, achieving a modulation depth of up to 89%. In addition, the 86 nm thick VO2 film underwent a phase transition in the temperature range of 54.93 °C to 66.93 °C, achieving a sensitivity of 1.82 dB/°C for temperature sensing.
2. Experiments and Structural Design
The VO2 films were prepared using a conventional inorganic sol–gel method: 5 g of V2O5 powder was melted at around 850 °C, poured into 150 mL deionized water, and then stirred for 2 h. A sol was then obtained by filtering the solution and leaving it to incubate for 2 days. The substrates were pretreated with ethyl alcohol and the mixture of H2SO4 and H2O2 with a ratio of 2:1, which can endow the substrate hydrophilicity. The sol was dip-coated on the substrate, dried at around 100 °C, and then annealed at 520 °C for 2 h in a static nitrogen atmosphere. The film thickness can be controlled by repeating the dip coating times. And the film thickness was measured using a stylus profiler (XP-2, Ambios Technology, Genova, Italy).
The crystalline structure of the films was characterized using an X-ray diffraction (XRD) at a grazing angle of 1.5° (X’ Pert, Philips). And the surface morphology of the films was detected using a scanning electron microscopy (SEM, Inspect F). The electricity was measured using a conventional four-probe measuring instrument.
Figure 1 illustrates the structure of the THz metamaterial temperature sensor along with its electromagnetic spectral characteristics. As shown in Figure 1a, the proposed sensor consisted of multiple unit structures arranged periodically. Each unit structure was composed of two identical copper strips and a VO₂ film, separated by a SiO₂ substrate, with a Si protective layer on the surface of the VO₂ film. Figure 1b presents the front view of the unit structure, which includes two copper strips that function as a plasmonic superlattice. The symmetry breaking of the structure arose from the center-to-center distance (δ) between the copper strips in the unit structure. The width (w) of the copper strips was 30 µm, and their thickness (h1) was 2 µm. An 86 nm thick (h2) VO2 film served as the temperature-sensitive layer, regulating the transmittance of THz waves. The periodicity of the unit structure was maintained at (px = 300) µm, which was chosen to provide the necessary momentum for the copper strips to excite waveguide modes through coherent plasmonic scattering in the THz frequency range. Consequently, for a fixed waveguide thickness of (H = 6) µm, the frequency of the waveguide modes was determined by the period. The simulation results were obtained using the well-established 3D full-wave solver, which is based on the finite integral method. The x and y directions were set as magnetic and electric boundaries, respectively, while the z direction was an open boundary, allowing THz waves to propagate along the z-axis. Waveguide ports 1 and 2 were positioned on the negative and positive orientations of the z-axis, respectively, with an accuracy of −80 dB. The dielectric constant of SiO2 was 3.9, while that of Si was 11.9. The conductivity of copper was 5.96 × 107 S/m.
Figure 1.
Structure of the THz metamaterial temperature sensor: (a) the three-dimensional schematic; (b) the front view of the unit structure; (c) the S21 parameters for the single-layer structure (SLS), double-layer symmetric structure (DLSS), and DLAS; (d–f) the electric field distributions at the resonance frequency points for the SLS, DLSS, and DLAS, respectively, the arrow indicates the direction of the electric field.
3. Results and Discussion
As shown in Figure 2, the films with thickness of 28 nm, 59 nm, 86 nm, and 130 nm exhibit high-purified monoclinic VO2 phase (JCPDS card no. 72-0514). Although the films present polycrystalline characteristics, a strong diffraction peak at around 27.98° indicates that a (011) preferred growth orientation can be observed. The surface morphology of the films with different thicknesses were collected, as shown in Figure 3, which shows that the film became more compact by increasing the thickness from 28 nm to 59 nm. But, an obvious hybrid-growth mode can be observed when the film thickness increased further. This referred to an island-growth mode when the film thickness increased from 59 nm to 86 nm, but a layer-growth mode played more important role when the film thickness increased from 86 nm to 130 nm. What is more important, by increasing the film thickness gradually, VO2 with compact morphology can be obtained. And the compact structure can lead to enhanced phase transition amplitude, as illustrated in previous report [38]. Table 1 illustrates the resistivity of the films before (at room temperature) and after phase transition (at 85 °C). It further confirmed that the phase transition amplitude of the VO2 film can be enhanced with compact morphology. And the film with thickness of 130 nm can reach around three orders of change in the resistivity across the phase transition.
Figure 2.
XRD patterns of the VO2 films with thickness of 28 nm, 59 nm, 86 nm, and 130 nm.
Figure 3.
SEM images for the surface morphology of the VO2 films with thickness of (a) 28 nm, (b) 59 nm, (c) 86 nm, and (d) 130 nm.
Table 1.
Change in resistivity of the VO2 films with different thicknesses before and after phase transition.
Figure 1c compares the S21 parameters of the SLS, DLSS, and DLAS. For the SLS and DLSS, transmission dips occurred at frequencies of 1.28 THz and 1.26 THz, with amplitudes of −11.72 dB and −13.12 dB, respectively. The amplitude of the transmission dip for the DLAS was −44.33 dB, with the resonance frequency red-shifting to 1.22 THz.
To further elucidate the formation mechanism of this transmission dip, Figure 1d–f present the corresponding electric field distributions. The formation mechanisms of the transmission dips for the SLS, DLSS, and DLAS were similar. The interaction between the THz waves and the Cu strips excited plasmonic modes, which interact with transverse waveguide modes, leading to the formation of the transmission dips. Specifically, the transmission dip originated from the spectral overlap between the narrow transmission band of the waveguide mode and the broad plasmonic scattering band associated with the Cu strips. The narrow transmission band was generated by the scattering of localized plasmonic modes within the Cu strips, which excite the waveguide mode (i.e., the bright-dark mode). In contrast, the broad plasmonic band was directly excited by the localized plasmonic modes present in the Cu strips. Therefore, the spectral position and linewidth of the transmission dip were determined by the coupling strength between these two modes.
Figure 4 illustrates the optimization process of the parameters of the unit structure. The impact of the unit structure period on the transmission spectrum is shown in Figure 4a. When the unit structure period was 100 µm, it failed to provide sufficient momentum, preventing the Cu strips from exciting waveguide modes through coherent plasmonic scattering, which resulted in no resonance formation, as indicated by the black line in Figure 4a. As the unit structure period increased to 200 µm, there was enough momentum to form a transmission dip at a frequency 1.64 THz, with an amplitude of −47.87 dB. Further increasing the period caused the resonance frequency to shift to lower frequencies. For instance, at a unit structure period of 300 µm, the resonance frequency was 1.25 THz, with a corresponding amplitude of −40.97 dB. Continuing to increase the unit structure period excites additional resonances, as shown by the green and purple lines in Figure 4a.
Figure 4.
Influence of the parameters of the THz metamaterial temperature sensor unit structure. (a–d) illustrate the effects of the unit structure period, substrate thickness, Cu strip width, and asymmetry on the S21 parameters, respectively.
The effect of the SiO2 substrate thickness on the transmission dip is depicted in Figure 4b. As the substrate thickness increased, the frequency of the transmission dip shifted to lower frequencies, while the amplitude first decreased and then increased. At substrate thicknesses of 2, 4, 6, 8, and 10 µm, the transmission dip frequencies were 1.25, 1.24, 1.22, 1.21, and 1.20 THz, with corresponding amplitudes of −40.97, −42.23, −44.33, −43.52, and −36.06 dB.
Figure 4c demonstrates the influence of the width of the Cu strips on the transmission spectrum. As the width of the Cu strips increased, the frequency of the transmission dip shifted to lower frequencies, the amplitude decreased, and the bandwidth increased. When the width of the Cu strips increased from 20 µm to 90 µm, the resonance frequency shifted from 1.29 THz to 1.06 THz, and the amplitude decreased from −18.21 dB to −58.69 dB.
Figure 4d illustrates the effect of the asymmetry of the unit structure on the transmission spectrum. As the asymmetry increased, the resonance frequency initially shifted to lower frequencies and then to higher frequencies. When the asymmetry increased from 0 µm to 30 µm, the resonance frequency shifted from 1.26 THz to 1.22 THz, with the amplitude decreasing from −13.15 dB to −44.33 dB. As the asymmetry continued to increase to 60 µm, the resonance frequency blue shifted to 1.25 THz, and the amplitude increased to −30.43 dB. This behavior occurred because, at higher asymmetry, the interaction between the two Cu strips gradually weakened, leading to a reduction in the ultimately excited resonance. This resulted in the blue shift in the transmission dip frequency and an increase in amplitude.
To further explain the impact of asymmetry in the unit structure on the transmission dip, we calculated the electric field distributions at different symmetry levels, as shown in Figure 5. The results indicated that as the degree of asymmetry increases, the overall electric field initially weakened and then strengthened, which is consistent with the findings in Figure 4d. This behavior can be attributed to the gradual weakening of the plasmonic modes excited by the copper strips as the asymmetry increased. When the degree of asymmetry reached 30 μm, the waveguide modes began to strengthen (as evidenced by the increasing electric field within the substrate between the copper strips). Consequently, with further increases in asymmetry, the electric field continued to enhance, leading to a transmission dip amplitude that first decreased and then increased.
Figure 5.
The electric field distribution maps at 1.22 THz for varying asymmetries, with asymmetries of 0, 15, 30, and 60 µm, respectively, where the pink circle area represents the structurally asymmetric region, and the arrows in the figure indicate the direction of the electric field.
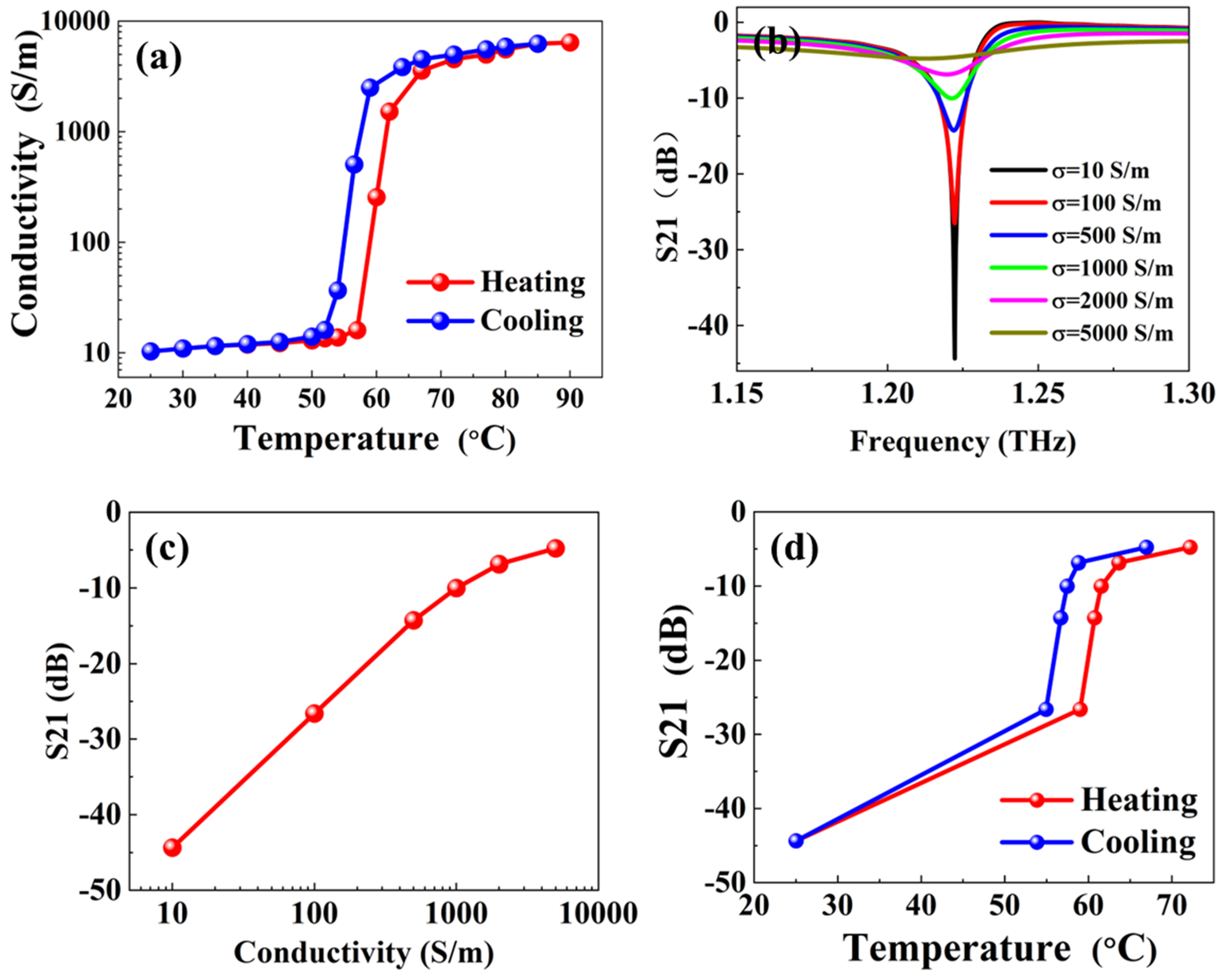
VO2 is a material that exhibits a reversible insulator-metal phase transition, during which its conductivity experiences a dramatic change of 4–5 orders of magnitude. This characteristic makes it suitable as a sensitive layer for temperature sensors, enabling high-sensitivity temperature measurements by monitoring its phase transition properties. Figure 6a illustrates the variation in electrical conductivity of an 86 nm thick VO2 film during heating and cooling processes. It can be observed that the electrical conductivity of the VO2 film varied between 10 and 6209 S/m before and after the phase transition. Figure 6b shows the transmission spectrum of VO2 films at different conductivities. As the conductivity of the VO₂ film increased from 10 S/m to 5000 S/m, there was no significant change in the resonance frequency of the transmission dip, while the amplitude gradually increased from −44.33 dB to −4.78 dB, achieving a modulation depth of up to 89%, as illustrated in Figure 6c. Figure 6d presents the variation in transmission dip amplitude corresponding to different temperatures of the VO2 film during heating and cooling processes. During heating, as the temperature increased from 59 °C to 72.16 °C, the corresponding amplitude rose from −26.60 dB to −4.77 dB, resulting in a sensitivity of 1.66 dB/°C (where the sensitivity of the temperature sensor is defined as S = ΔT/Δt, with ΔT representing the change in amplitude and Δt representing the temperature change). Within the same amplitude change range, during cooling, the temperature can vary between 66.93 °C and 54.93 °C, yielding a sensor sensitivity of 1.82 dB/°C. Table 2 compares the sensitivities of various types of temperature sensors.
Figure 6.
Performance of THz metamaterial temperature sensors based on VO2 thin films. (a) Variation in electrical conductivity of VO2 films during heating and cooling processes. (b) Transmission spectra of THz metamaterial temperature sensors at different conductivities. (c) The amplitude of transmission dips at different conductivities. (d) Relationship between transmission dip amplitude and temperature.
Table 2.
Performance comparison of different types of temperature sensors.
Figure 7a–d present the electric field distribution maps at the resonance frequency for different conductivities. In low-temperature environments, the VO2 film remained in the insulating phase with low conductivity. At this stage, the asymmetric Cu strips within the unit structure excited a plasmonic mode that interacts with the transverse waveguide mode, forming a very narrow transmission dip at a frequency of 1.29 THz. As the temperature rose to the phase transition temperature of the VO2 film, its conductivity gradually increased. Consequently, the plasmonic mode excited by the asymmetric Cu strips weakened, leading to a reduced interaction with the transverse waveguide mode. This weakening of resonance resulted in an increase in the value of the transmission dip, indicating the sensor’s sensitivity to temperature changes. Overall, the unique properties of VO2, combined with its significant conductivity variation during the phase transition, make it an excellent candidate for high-performance temperature sensing applications.
Figure 7.
The electric field distribution maps at 1.22 THz for varying conductivities, with conductivities of 10, 100, 1000, and 2000 S/m, respectively, the arrow indicates the direction of the electric field.
4. Conclusions
This work proposes a phase transition oxide-based THz metamaterials for non-contact temperature sensors. The systematic structure is composed of two identical Cu strips and a VO2 film separated by a SiO2 substrate. This study examined the effects of various parameters, including the unit structure period, the thickness of the SiO2 substrate, the width of the Cu strips, the degree of asymmetry, and the conductivity of the VO2 film. The results indicated that the temperature-induced reversible phase transition of the VO2 film alters its conductivity, thereby controlling the transmission of THz waves and facilitating environmental temperature monitoring. As the conductivity of the VO2 film varied from 10 to 5000 S/m, the amplitude of the transmission dip changed from −44.33 dB to −4.78 dB, achieving a modulation depth of up to 89%. The 86 nm thick VO2 film underwent a phase transition in the temperature range of 54.93 °C to 66.93 °C, achieving a sensitivity of 1.82 dB/°C for temperature sensing. Additionally, potential fabrication methods such as photolithography and thin-film deposition could be employed to realize the proposed ultra-thin structure in practical applications. The designed THz metamaterial functions as a highly sensitive non-contact temperature senso, showing great potential for applications in biomedical monitoring and smart building systems. Future research can focus on further optimizing the structure of the metamaterial to enhance sensitivity and response time, as well as exploring scalable manufacturing methods. Furthermore, integrating this technology with other sensing modalities, such as programmable metasurface technology, could lead to the development of multifunctional sensors capable of monitoring various environmental parameters.
Author Contributions
Conceptualization, J.L. and Y.G.; methodology, J.L. and L.L.; software, J.L.; validation, Y.G. and Q.S.; investigation, Y.G. and J.L.; writing—original draft preparation, Y.G. and J.L.; writing—review and editing, Q.S.; supervision, Q.S.; project administration, Y.G. and L.L.; funding acquisition, Y.G. and L.L. All authors have read and agreed to the published version of the manuscript.
Funding
The work was financially supported by Sichuan University-Luzhou strategic cooperation special fund project (No. 2022CDLZ-24), Luzhou Vocational and Technical College 2024 scientific research project (LZZX-B-03), Opening Project of Intelligent Control and Electronic Device Application Technology Key Laboratory of Luzhou (ZK202403).
Institutional Review Board Statement
Not applicable.
Informed Consent Statement
Not applicable.
Data Availability Statement
The original contributions presented in the study are included in the article material, further inquiries can be directed to the corresponding author.
Conflicts of Interest
The authors declare no conflicts of interest.
References
- Root, W.; Bechtold, T.; Pham, T. Textile-integrated thermocouples for temperature measurement. Materials 2020, 13, 626. [Google Scholar] [CrossRef] [PubMed]
- Zhang, Z.K.; Liu, Z.J.; Lei, J.M.; Chen, L.T.; Li, L.; Zhao, N.; Fang, X.D.; Ruan, Y.; Tian, B.; Zhao, L.B. Flexible thin film thermocouples: From structure, material, fabrication to application. Iscience 2023, 26, 107303. [Google Scholar] [CrossRef] [PubMed]
- Bodic, M.Z.; Aleksic, S.O.; Rajs, V.M.; Damnjanovic, M.S.; Kisic, M.G. Thermally coupled NTC chip thermistors: Their properties and applications. Sensors 2024, 24, 3547. [Google Scholar] [CrossRef] [PubMed]
- Fang, Z.; Shen, C.; Qiu, T. Research progress of BaTiO3-system PTC thermistor materials. Electron. Compon. Mater. 2010, 29, 69–71. [Google Scholar]
- Chen, Z.H.; Huang, P.H.; Wang, C.P.; Chih, Y.D.; Lin, C.J.; King, Y.C. Embedded near-infrared sensor with tunable sensitivity for nanoscale CMOS technologies. IEEE Sens. J. 2019, 19, 933–939. [Google Scholar] [CrossRef]
- Usamentiaga, R.; Venegas, P.; Guerediaga, J.; Vega, L.; Molleda, J.; Bulnes, F.G. Infrared thermography for temperature measurement and non-destructive testing. Sensors 2014, 14, 12305–12348. [Google Scholar] [CrossRef]
- Zhong, S.C. Progress in terahertz nondestructive testing: A review. Front. Mech. Eng. 2019, 14, 273–281. [Google Scholar] [CrossRef]
- Hafez, H.A.; Chai, X.; Ibrahim, A.; Mondal, S.; Férachou, D.; Ropagnol, X.; Ozaki, T. Intense terahertz radiation and their applications. J. Opt. 2016, 18, 093004. [Google Scholar] [CrossRef]
- Xu, W.D.; Xie, L.J.; Ying, Y.B. Mechanisms and applications of terahertz metamaterial sensing: A review. Nanoscale 2017, 9, 13864–13878. [Google Scholar] [CrossRef]
- Ajayan, J.; Sreejith, S.; Manikandan, M.; Lai, W.C.; Saha, S. Terahertz sensors for next generation biomedical and other industrial electronics applications: A critical review. Sens. Actuators A Phys. 2024, 369, 115169. [Google Scholar] [CrossRef]
- Sizov, F. THz radiation sensors. Opto-Electron. Rev. 2010, 18, 10–36. [Google Scholar] [CrossRef]
- Huang, Y.X.; Singh, R.; Xie, L.J.; Ying, Y.B. Attenuated Total Reflection for Terahertz Modulation, Sensing, Spectroscopy and Imaging Applications: A Review. Appl. Sci. 2020, 10, 4688. [Google Scholar] [CrossRef]
- Meinzer, N.; Barnes, W.L.; Hooper, I.R. Plasmonic meta-atoms and metasurfaces. Nat. Photonics 2014, 8, 889–898. [Google Scholar] [CrossRef]
- Choi, M.; Lee, S.H.; Kim, Y.; Kang, S.B.; Shin, J.; Kwak, M.H.; Kang, K.Y.; Lee, Y.H.; Park, N.; Min, B. A terahertz metamaterial with unnaturally high refractive index. Nature 2011, 470, 369–373. [Google Scholar] [CrossRef] [PubMed]
- Liu, Y.M.; Zhang, X. Metamaterials: A new frontier of science and technology. Chem. Soc. Rev. 2011, 40, 2494–2507. [Google Scholar] [CrossRef] [PubMed]
- Schurig, D.; Mock, J.J.; Justice, B.J.; Cummer, S.A.; Pendry, J.B.; Starr, A.F.; Smith, D.R. Metamaterial electromagnetic cloak at microwave frequencies. Science 2006, 314, 977–980. [Google Scholar] [CrossRef]
- Beruete, M.; Jáuregui-López, I. Terahertz Sensing Based on Metasurfaces. Adv. Opt. Mater. 2020, 8, 1900721. [Google Scholar] [CrossRef]
- Kim, H.S.; Cha, S.H.; Roy, B.; Kim, S.; Ahn, Y. Humidity sensing using thz metamaterial with silk protein fibroin. Opt. Express 2018, 26, 33575–33581. [Google Scholar] [CrossRef]
- Degl’Innocenti, R.; Lin, H.Y.; Navarro-Cía, M. Recent progress in terahertz metamaterial modulators. Nanophotonics 2022, 11, 1485–1514. [Google Scholar] [CrossRef]
- Wang, W.J.; Sun, K.X.; Xue, Y.; Lin, J.; Fang, J.K.; Shi, S.N.; Zhang, S.; Shi, Y.P. A review of terahertz metamaterial sensors and their applications. Opt. Commun. 2024, 556, 130266. [Google Scholar] [CrossRef]
- Ma, L.; Shi, W.N.; Fan, F.; Zhang, Z.Y.; Zhang, T.R.; Liu, J.Y.; Wang, X.H.; Chang, S.J. Terahertz polarization sensing, chirality enhancement, and specific binding based on metasurface sensors for biochemical detection: A review Invited. Chin. Opt. Lett. 2023, 21, 18. [Google Scholar]
- Shen, S.L.; Liu, X.D.; Shen, Y.C.; Qu, J.L.; Pickwell-macpherson, E.; Wei, X.B.; Sun, Y.W. Recent advances in the development of materials for terahertz metamaterial sensing. Adv. Opt. Mater. 2022, 10, 2101008. [Google Scholar] [CrossRef]
- An, Y.B.; Fu, T.; Guo, C.Y.; Pei, J.H.; Ouyang, Z.B. Two individual super-bound state modes within band gap with ultra-high-Q factor for potential sensing applications in the terahertz wave band. Sensors 2023, 23, 6737. [Google Scholar] [CrossRef] [PubMed]
- Sang, T.; Mi, Q.; Yang, C.Y.; Zhang, X.H.; Wang, Y.K.; Ren, Y.Z.; Xu, T. Achieving asymmetry parameter-insensitive resonant modes through relative shift-induced quasi-bound states in the continuum. Nanophotonics 2024, 13, 1369–1377. [Google Scholar] [CrossRef]
- Zhou, H.; Yang, C.; Hu, D.L.; Li, D.X.; Hui, X.D.; Zhang, F.; Chen, M.; Mu, X.J. Terahertz biosensing based on bi-layer metamaterial absorbers toward ultra-high sensitivity and simple fabrication. Appl. Phys. Lett. 2019, 115, 143507. [Google Scholar] [CrossRef]
- Liu, Y.W.; Zheng, D.Y.; Feng, Q.X.; Lin, Y.S. Electrothermally controllable terahertz metamaterial for sensing application. Sens. Actuators A-Phys. 2022, 344, 113667. [Google Scholar] [CrossRef]
- Li, W.Y.; Cheng, Y.Z. Dual-band tunable terahertz perfect metamaterial absorber based on strontium titanate (STO) resonator structure. Opt. Commun. 2020, 462, 125265. [Google Scholar] [CrossRef]
- Li, D.; Huang, H.L.; Xia, H.; Zeng, J.P.; Li, H.J.; Xie, D. Temperature-dependent tunable terahertz metamaterial absorber for the application of light modulator. Results Phys. 2018, 11, 659–664. [Google Scholar] [CrossRef]
- Sheta, E.M.; Choudhury, P.K.; Ibrahim, A. Pixelated graphene-strontium titanate metamaterial supported tunable dual-band temperature sensor. Opt. Mater. 2021, 118, 111225. [Google Scholar] [CrossRef]
- Keshavarz, A.; Zakery, A. Ultrahigh sensitive temperature sensor based on graphene-semiconductor metamaterial. Appl. Phys. A-Mater. Sci. Process. 2017, 123, 797. [Google Scholar] [CrossRef]
- Luo, H.; Wang, X.; Qian, H. Tunable terahertz dual-band perfect absorber based on the combined insb resonator structures for temperature sensing. J. Opt. Soc. Am. B-Opt. Phys. 2021, 38, 2638–2644. [Google Scholar] [CrossRef]
- Rong, C.G.; Cai, B.; Cheng, Y.Z.; Chen, F.; Luo, H.; Li, X.C. Dual-band terahertz chiral metasurface absorber with enhanced circular dichroism based on temperature-tunable insb for sensing applications. Phys. Chem. Chem. Phys. 2024, 26, 5579–5588. [Google Scholar] [CrossRef]
- Linyang, G.; Xiaohui, M.; Zhaoqing, C.; Chunlin, X.; Jun, L.; Ran, Z. Tunable a temperature-dependent GST-based metamaterial absorber for switching and sensing applications. J. Mater. Res. Technol-JMRT 2021, 14, 772–779. [Google Scholar] [CrossRef]
- Wang, Y.; Qiu, Y.Q.; Zhang, Y.P.; Lang, T.T.; Zhu, F.J. High-sensitivity temperature sensor based on the perfect metamaterial absorber in the terahertz band. Photonics 2023, 10, 92. [Google Scholar] [CrossRef]
- Morin, F.J. Oxides which show a metal-to-insulator transition at the neel temperature. Phys. Rev. Lett. 1959, 3, 34–36. [Google Scholar] [CrossRef]
- Chang, X.; Li, J.; Mu, J.; Ma, C.H.; Huang, W.X.; Zhu, H.F.; Liu, Q.; Du, L.H.; Zhong, S.C.; Zhai, Z.H.; et al. Impact of the uniaxial strain on terahertz modulation characteristics in flexible epitaxial VO2 film across the phase transition. Opt. Express 2023, 31, 13243–13254. [Google Scholar] [CrossRef]
- Li, M.; Magdassi, S.; Gao, Y.F.; Long, Y. Hydrothermal synthesis of VO2 polymorphs: Advantages, challenges and prospects for the application of energy efficient smart windows. Small 2017, 13, 1701147. [Google Scholar] [CrossRef]
- Shi, Q.W.; Huang, W.X.; Lu, T.C.; Zhang, Y.X.; Yue, F.; Qiao, S.; Xiao, Y. Nanostructured VO2 film with high transparency and enhanced switching ratio in THz range. Appl. Phys. Lett. 2014, 104, 071903. [Google Scholar] [CrossRef]
- Appasani, B. Temperature tunable seven band terahertz metamaterial absorber using slotted flower-shaped resonator on an insb substrate. Plasmonics 2021, 16, 833–839. [Google Scholar] [CrossRef]
- Karim, H.; Delfin, D.; Chavez, L.A.; Delfin, L.; Martinez, R.; Avila, J.; Rodriguez, C.; Rumpf, R.C.; Love, N.; Lin, Y.R. Metamaterial based passive wireless temperature sensor. Adv. Eng. Mater. 2017, 19, 1600741. [Google Scholar] [CrossRef]
- Peng, H.J.; Wang, X.Y.; Zou, J.H.; Zhang, T.; Gao, F.; Yang, X.Q. A noncontact feed microwave temperature sensor for industry device based on metamaterial. IEEE Sens. J. 2024, 24, 26397–26406. [Google Scholar] [CrossRef]
Disclaimer/Publisher’s Note: The statements, opinions and data contained in all publications are solely those of the individual author(s) and contributor(s) and not of MDPI and/or the editor(s). MDPI and/or the editor(s) disclaim responsibility for any injury to people or property resulting from any ideas, methods, instructions or products referred to in the content. |
© 2024 by the authors. Licensee MDPI, Basel, Switzerland. This article is an open access article distributed under the terms and conditions of the Creative Commons Attribution (CC BY) license (https://creativecommons.org/licenses/by/4.0/).






