Next Article in Journal
Performance Study of Random Layout Light Source for Visible Light Communication System
Previous Article in Journal
A Novel Demodulation Algorithm Based on the Spatial-Domain Carrier Frequency Fringes Method
 
 
Font Type:
Arial Georgia Verdana
Font Size:
Aa Aa Aa
Line Spacing:
Column Width:
Background:
Communication

Precision and Stability of a Space Laser Ranging Technology Based on Time-Frequency Co-Transfer

1
China Electronics Technology Group Corporation 54th, Shijiazhuang 050081, China
2
Hebei Key Laboratory of Photonic Information Technology and Application (PITA), Shijiazhuang 050081, China
3
School of Electrical and Information Engineering, Beihang University, Beijing 100191, China
*
Author to whom correspondence should be addressed.
These authors contributed equally to this work.
Photonics 2024, 11(12), 1126; https://doi.org/10.3390/photonics11121126
Submission received: 8 August 2024 / Revised: 24 October 2024 / Accepted: 23 November 2024 / Published: 28 November 2024
(This article belongs to the Section Lasers, Light Sources and Sensors)

Abstract

This paper presents an innovative space laser ranging technology that utilizes time-frequency co-transfer, effectively meeting the critical demand for precision in space laser ranging applications. The aim is to achieve high-precision ranging by calculating the transfer time using a bidirectional comparison scheme for clock synchronization and an active compensation technique for frequency transfer. Experimental results indicate that, over a 500 m optical path, an impressive ranging accuracy of 0.0005 m is achieved, reflecting significant improvements in precision, stability, and resistance to interference. By integrating time synchronization, frequency transfer, and free-space laser ranging into a cohesive system, this technology demonstrates substantial potential for a wide range of applications.

1. Introduction

Laser ranging is a non-contact distance measurement technology with high precision. Due to the use of optical signals, laser ranging has the advantages of excellent directionality, high accuracy, and anti-electromagnetic interference, making it possible to be used in various fields, including military, communications, and surveying applications [1,2,3,4]. Technically, laser ranging can be categorized into three primary types: interferometry, triangulation, and time-of-flight [5]. In interferometry, distance information is obtained by analyzing the optical path difference between the measurement beam and the reference beam [6,7]. Interferometry offers extremely high distance resolution, with a limited dynamic range [8]. Laser ranging based on triangulation has the advantages of simplicity and a low cost. However, the dynamic range is limited by the intensity of the scattered light from the target, which makes triangulation only suitable for indoor and short-range applications [9]. Time-of-flight calculates the distances by measuring the time difference between emission of the optical signal and the reflected signal [10]. However, factors such as temperature, air pressure, humidity, and atmospheric turbulence can affect the propagation of light, leading to fluctuations in the optical phase and intensity, resulting in a decrease in the ranging precision. Time-of-flight ranging methods generally achieve accuracies ranging from a few centimeters to millimeters [11].
In recent years, notable advancements have been achieved in high-precision time synchronization and frequency transfer technologies utilizing laser technology. These innovations have become integral to modern physics, radio astronomy, and various related scientific instruments [12]. Time synchronization refers to the process of transmitting a time signal from a transmitter to a receiver to ensure coordinated timing between them [13]. Time synchronization using a laser involves modulating a time signal onto an optical carrier and transmitting it to the receiver through an optical link. By measuring the transfer time difference introduced by the optical link and performing real-time compensation, the receiver can obtain a time signal synchronized with the signal of the transmitter [14]. Frequency transfer involves transmitting a highly stable signal from a clock to a remote location [15,16]. Frequency transfer uses compensation or other means to restore the radio frequency signal at the receiver, which maintains a stable phase difference with the signal at the transmitter [17,18]. The time-of-flight of the laser can be obtained through time synchronization and frequency transfer techniques. Consequently, these technologies can be applied in laser ranging to achieve high-precision distance measurements.
Based on the principles of time synchronization and frequency transfer, we propose a time-frequency co-transfer method for laser ranging. We employ wavelength division multiplexing (WDM) technology to combine the time synchronization system and the frequency transfer system. For time synchronization, a bidirectional comparison scheme is used to synchronize the clocks between the transmitter and receiver. By measuring the time difference, the length of the optical link can be roughly measured. For frequency transfer, high-precision phase detection and an optical fiber delay line are employed to compensate for the frequency signals. The phase difference information is then combined with the rough ranging results to achieve precise ranging. Unlike traditional time-of-flight laser ranging, our system not only compensates for atmospheric turbulence but also integrates rough and fine results for long-distance and high-precision ranging. Additionally, it supports time and frequency co-transfer, making it useful for various applications.

2. Materials and Methods

The system consists of three primary components: a time transfer system, a frequency transfer system, and a high-precision, high-stability laser ranging system which integrates the two former systems, as illustrated in Figure 1.
The time transfer system adopts a bidirectional comparison scheme, as shown in Figure 2. The bidirectional comparison time synchronization system for the transmitter comprises a clock source, a modulation module, a demodulation module, and a time-interval measurement module. The receiver includes a demodulation module, a time-interval measurement module, an operational control module, a modulation module, and a delay control module. Time transfer based on bidirectional comparison is achieved by transmitting 1PPS (one pulse per second) signals from the transmitter and the receiving end. By comparing these times, the clock difference can be calculated and used to compensate for the clock of the transmitter to synchronize the two clocks [19].
The result of the time comparison at the transmitter, TTIC1 (time interval counter), is
T T I C 1 = τ T X B + τ B A + τ R E A ( t A t B )
where τTXB is the inherent delay caused by photoelectric detection at the receiver, τREA is the inherent delay at the transmitter, τBA is the transfer delay from the receiver to the transmitter, tA is the moment of the transmitter’s clock, and tB is the moment of the receiver’s clock.
The result of the time result at the receiver, TTIC2, is
T T I C 2 = τ T X B + τ A B + τ R E B ( t B t A )
where τTXA is the inherent delay at the transmitter and τREB is the inherent delay at the receiver. τAB is the transfer delay from the receiver to the transmitter. Since the distance from the transmitter to the receiver is constant, we can believe that τBA = τAB [20]. By measuring the inherent delays, we can obtain the time difference between the two clocks by subtracting (2) from (1), as follows:
( t A t B ) = 1 2 ( τ T X B τ T X A + τ R E A τ R E B + T T I C 2 T T I C 1 )
The clock difference between the two ends is calculated by the operation control module in a FPGA and then used to compensate the clock to realize the time synchronization.
Then we calculate the transfer distance by comparing the data over time. The transfer delay in the air is obtained by (4):
τ A B = τ B A = 1 / 2 ( T T I C 1 + T T I C 2 ( τ T X B + τ T X A + τ R E A + τ R E B ) )
Multiplying the transfer delay of light in the air by the velocity of light gets the transfer distance, X,
X = τ A B · c
where c is the velocity of light.
The frequency transfer system employs active compensation to measure phase noise in the spatial optical path through phase detection. Then, according to the measured phase noise data, the PID algorithm is used to control the fiber delay line for phase noise compensation. The Proportional-Integral-Derivative (PID) algorithm is a control technique widely used in engineering and automation for regulating processes [21]. It combines three fundamental control actions—proportional, integral, and derivative—to achieve a desired output. The PID controller calculates the error between a desired setpoint and a measured process variable and adjusts the control input to minimize this error [22]. We use a PID algorithm to adjust the optical fiber delay line in real-time, ensuring the stability of the optical path length in space.
The phase noise represents the optical path changes in the spatial optical path. We can achieve fine measurements of spatial distance by measuring phase noise. The system of the frequency transfer is shown in Figure 3.
We obtain the transfer delay through phase detection, allowing us to calculate distance information. The formula for calculating the transfer distance obtained through phase detection is as follows [23]:
L = c 4 f ( m + Δ m )
m = | 4 f X c |
In Equation (6), m represents a phase difference that is an integer multiple of 2 π and is obtained from the rough-measured result, X, using Equation (7),where c is the velocity of light and f is the frequency of the signal transferred. In (6), Δm represents a fine phase measurement. Δm is obtained by phase detection. The speed of the phase detection is 10 kHz. We calculate the distance, L, based on Equation (6), then, through test calibration, we subtract the influence of the inherent delays to obtain the precise measurement of the distance. As long as the accuracy of the rough-measured distance is within the measuring range of the fine-measured distance, the combination of the rough-measured and fine-measured distances can achieve long-distance and high-precision ranging [24].
We use the Allan variance to evaluate the frequency stability. Allan variance is a method that characterizes the frequency stability of a frequency signal using the first-order difference of frequency sampling data and the second-order difference of time sampling data [25]. In practical measurement, it is impossible to use instruments to measure the instantaneous frequency of a time point. We can only obtain the average instantaneous frequency of a time interval over a certain period. For example, for a frequency signal starting from any moment t with a sampling time interval τ1, the signal’s average instantaneous frequency in that time interval is:
y t k ¯ = 1 τ 1 t k t k + τ 1 y ( t ) d t
where y(t) is used to represent the normalized instantaneous frequency deviation relative to the nominal frequency. In (8), τ1 is the sampling time interval, the integral term of the function which represents the cumulative phase of the frequency signal over the sampling period, from tk to tk+τ1. The Allan variance is the fluctuation of the average frequency difference between adjacent sampling periods, defined as:
σ y 2 ( τ 1 ) = E 1 2 [ y ¯ k + 1 y ¯ k ]
When there are N consecutive measurements of the relative frequency deviation sequences {y1, y2, …, yn}, the Allan variance can be expressed as:
σ y 2 ( τ 1 ) 1 2 ( N 1 ) i = 1 N 1 ( y ¯ i + 1 y ¯ i ) 2
We evaluate the stability of the time synchronization using Time Deviation (TDEV) [26]. TDEV is widely used in the measurement of time stability in time and frequency transfer systems. TDEV is calculated by
σ x ( τ 1 ) = 1 2 ( N 2 ) τ 1 2 i = 1 N 1 ( x i + 2 2 x i + 1 + x i ) 2
where xi+2, xi+1, xi are the measured values of the time intervals at different moments, and N is the number of data points measured, with a data interval of t.
The experimental setup for the long-distance space optical path incorporated two collimating lenses and a reflecting mirror. Additionally, two six-axis adjustment frames and a red light source were employed for alignment. The function of the reflecting mirror is to position the transmitter and receiver in the same place for system testing. The collimating lens used is 60FC-T-4-M200-37 (Schafter), with an ideal transfer distance of 1 km after collimation for the laser. Ultimately, we completed the experiment setting up the spatial optical path at various distances.
Based on Figure 4, a time transfer system based on a bidirectional comparison is built. The time synchronization system consists of a transmitter and a receiver. The transmitter includes a clock source, a laser, a photodetector, a circulator (used for the distribution and combination of optical signals), and a control board for time comparison and delay compensation based on a FPGA (Field Programmable Gate Array). The receiver includes a clock source, a laser, a circulator, a photodetector, and a control board for time comparison based on the FPGA. The clock is the Cs atomic clock OSA 3235B, the directly modulated laser is the DML-6-20-1550-165-FL-FC (APIC), and the photodetector is the DSC 20H-39G-FC/APC-K-2 (Discovery). The time comparison utilizes high-precision time interval measurement technology based on the FPGA. The time delay employs a combination of FPGA technology and PLL (phase locked loop) technology to achieve large-scale, high-resolution delay control.
The 1PPS signal from the clock source is loaded onto the directly modulated laser. After modulation, the laser passes through the circulator and enters the collimating lens. At the receiver, the optical signal passes through the collimating lens and circulator before being detected by the photodetector. The 1PPS signal detected by the photodetector is compared with the 1PPS signal provided by the atomic clock at the receiver. The comparison result is modulated onto the laser and transmitted back to the transmitter. Similarly, the 1PPS signal at the receiving end is transmitted to the transmitter and compared with the 1PPS signal at the transmitter. The comparative results at both the transmitter and receiver are calculated to eliminate the transfer delay and obtain the clock difference. At the transmitter, the clock difference is used for delay controlling, such that the delayed 1PPS signal is synchronized with the 1PPS signal at the receiver. The rough ranging result of the transfer distance is obtained by (4) and (5).
Based on Figure 5, a frequency transfer system employing active compensation was established. This system includes a transmitter and a receiver. The transmitter includes a clock source, laser, fiber delay line, photodetector, circulator, and a control board for phase detection and PID calculation based on the FPGA. The receiver includes a circulator and a photodetector. The fiber delay line is the MDL-002-D-15-56-SS-FC/PC (General Photonics), and the type of phase detector chip is the AD8302. The 100 MHz signal from the clock source is modulated onto the laser. After passing through the fiber delay line, it is transmitted into space through the circulator and the collimating lens. The laser is reflected into the receiver’s collimating lens by the reflector. After passing through the circulator, the laser is split into two paths by the coupler, one path for signal feedback and the other path for detection at the receiver. The feedback signal is detected and enters the FPGA for phase detection. The phase detection result is used for PID control to the fiber delay line, ensuring the signals at the transmitter and receiver maintain a fixed phase difference, thus achieving a stable phase transfer and ranging.

3. Results

The experiment tested the time difference between the transmitter and the receiver of the 100 m time synchronization system after compensation. As illustrated in Figure 6, the time difference is within 150 ps. According to (11), the TDEV result is shown in Figure 7, achieving a time synchronization stability of 41.8 ps@1 s and 3.2 ps@1000 s.
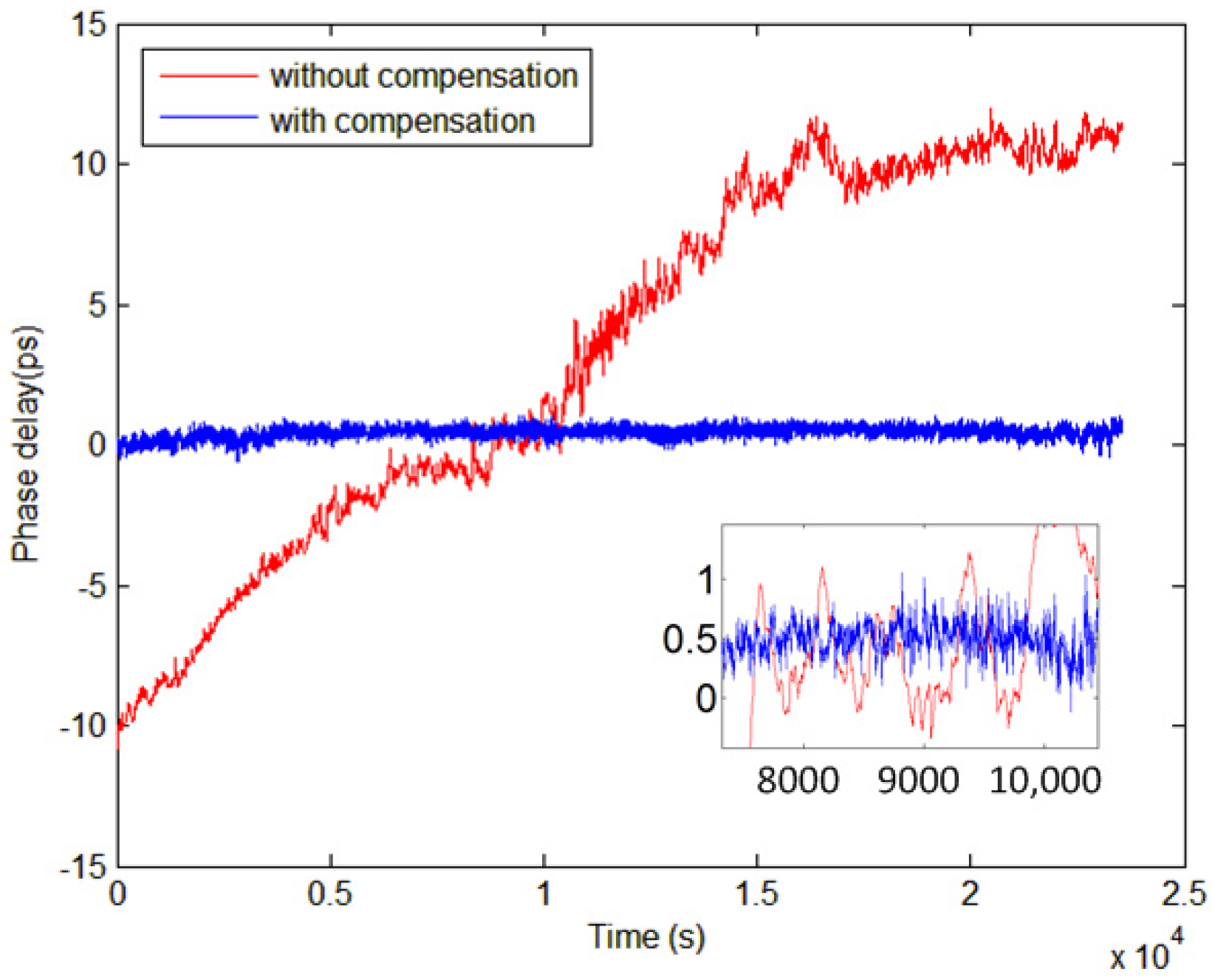
We developed a 100 MHz frequency transfer system using a 100 m space optical path. To evaluate the system, we compared the link delay jitter with and without compensation. As shown in Figure 8, the jitter is significant without compensation, showing a noticeable drift in one direction. The delay drift reaches ±25 ps within a 25,000-s period. This instability is caused by external factors like temperature and atmospheric conditions which affect laser transfer in space. The one-directional drift is attributed to device noise caused by temperature changes. Without compensation, the frequency transfer remains unstable. After compensation, the jitter of the link delay is significantly reduced, and the delay drift is effectively controlled. It can be seen that the peak-to-peak value of the delay jitter within 25,000 s is less than 1 ps, and the corresponding distance measurement accuracy is controlled within 3 × 10−4 m. This improvement results from the use of optical fiber delay lines controlled by the PID algorithm for link delay compensation, offsetting the delay jitter. This method ensures the accuracy of the frequency signal transfer, thereby acquiring precise delay and distance information. Improved delay stability also means an improvement in the stability of the laser ranging.
We use the phase noise analyzer 5125 A to measure the frequency stability of the 100 MHz signal in the frequency transfer system based on the optical fiber delay line. The experimental results are shown in Figure 9. The system successfully compensates for the frequency signal jitter, achieving a stability of 4.17 × 10−14@1 s and 2.51 × 10−15@1000 s for the 100 MHz signal.
When the space path distance is 100 m, the experimental results of ranging are shown in Figure 10. Figure 10a presents the rough ranging result based on the time comparison. As shown, the ranging result fluctuates up to a value of 0.04 m. When the signal frequency in the frequency transfer system is 100 MHz, the phase measurement range c/4 f is 0.75 m, which is much smaller than the precision of the rough ranging. Thus, a combination of rough and fine ranging can be achieved. The ranging speed is influenced by the frequency of the phase detection and the processing speed of the algorithm, achieving 20 measurements per second. Therefore, using the system proposed in this paper for laser ranging can obtain accurate ranging results in a short time. Figure 10b shows the fine ranging results obtained by the frequency transfer system. After compensation, the jitter in the fine measurement distance is 0.0002 m, which is much higher than the precision of the rough ranging. Combining these two sets of data, we can get the final ranging results in Figure 10c. We can conclude that within 16,000 s, the jitter in the ranging results is 0.0002 m, which is consistent with our theoretical expectations.
We also established space optical paths with different lengths from 100 m to 500 m and conducted ranging experiments for each. The experimental results are shown in Figure 11. The results show that, as the length increases, the jitter in the measurements also increases. This may be due to the longer path being subject to more external factors such as atmospheric conditions and temperature changes. However, the ranging results are still stable under the control of the delay line. Within the test range of 500 m, the jitter of the ranging results is effectively controlled within 0.0005 m, and the degradation of the ranging precision is not obvious. The active compensation based on the delay line not only reduces the delay jitter of the optical link to stabilize the frequency signal transfer but also ensures that the ranging results over longer distances are stable.

4. Conclusions

This paper presents a space laser ranging system based on time-frequency co-transfer. This system achieves rough ranging between the transmitter and the receiver through the time transfer system, and realizes precision measurement of the transfer delay through the frequency transfer system. The ranging system combines rough ranging and fine ranging methods to achieve high-precision, long-distance, and high-stability ranging capabilities in space. The time transfer system eliminates the effects of inherent delay and jitter, and calculates the space transfer distance through the flight time of laser pulses. The frequency transfer system realizes the measurement of transfer delay through phase discrimination, further improving the accuracy and stability of ranging. After experimental verification, this system can simultaneously achieve time transfer, frequency transfer, and ranging. In the 100 m space optical path, the time transfer stability has reached 41.8 ps@1 s and 3.2 ps@1000 s, the stability of the frequency transfer system is 4.17 × 10−14@1 s and 2.51 × 10−15@1000 s, and the ranging accuracy is 0.0002 m. In the 500 m space optical path, the ranging accuracy is 0.0005 m. Experimental data outperform most time-of-flight ranging methods at the same distance. This system has a wide range of applications in the fields of engineering and science. Future research can focus on adjusting the compensation algorithm to enhance the stability of the space link, optimize system performance, and improve the accuracy and range of ranging to meet the needs of different fields for precise measurement.

Author Contributions

Conceptualization, S.L. and L.Z.; methodology, S.L.; validation, L.Z.; formal analysis, S.L. and L.Z.; investigation, D.W.; resources, S.L.; writing—original draft preparation, L.Z.; writing—review and editing, L.Z.; visualization, Y.H. and M.L.; supervision, Z.L.; project administration, Y.L. All authors have read and agreed to the published version of the manuscript.

Funding

This research received no external funding.

Institutional Review Board Statement

Not applicable.

Informed Consent Statement

Not applicable.

Data Availability Statement

Data are contained within the article.

Conflicts of Interest

Authors Shaobo Li, Lei Zhang, Dongjie Wang, Yuhan Hu, Mingyang Lv, Zhe Li were employed by the China Electronics Technology Group Corporation 54th. The remaining authors declare that the research was conducted in the absence of any commercial or financial relationships that could be construed as a potential conflict of interest.

References

  1. Richmond, R.D.; Cain, S.C. Direct-Detection LADAR Systems; Society of Photo-Optical Instrumentation Engineers: Bellingham, WA, USA, 2010. [Google Scholar]
  2. Dubayah, R.; Blair, J.B.; Goetz, S.; Fatoyinbo, L.; Hansen, M.; Healey, S.; Hofton, M.; Hurtt, G.; Kellner, J.; Luthcke, S.; et al. The Global Ecosystem Dynamics Investigation: High-resolution laser ranging of the Earth’s forests and topography. Sci. Remote Sens. 2020, 1, 100002. [Google Scholar] [CrossRef]
  3. Loomis, B.D.; Rachlin, K.E.; Wiese, D.N.; Landerer, F.W.; Luthcke, S.B. Replacing GRACE/GRACE-FO with satellite laser ranging: Impacts on Antarctic Ice Sheet mass change. Geophys. Res. Lett. 2020, 47, e2019GL085488. [Google Scholar] [CrossRef]
  4. Gao, T.; Zhou, L.; Zhang, C.; Zhao, H.; Wu, X.; Li, M. Lunar laser ranging based on a 100 Hz repetition frequency. Appl. Opt. 2021, 60, 11058–11065. [Google Scholar] [CrossRef] [PubMed]
  5. Stone, W.C.; Juberts, M.; Dagalakis, N.; Stone, J.A., Jr.; Gorman, J.J. Performance Analysis of Next-Generation LADAR for Manufacturing, Construction, and Mobility; National Institute of Standards and Technology: Gaithersburg, MD, USA, 2004. [Google Scholar]
  6. Wegener, H.; Müller, V.; Heinzel, G.; Misfeldt, M. Tilt-to-length coupling in the grace follow-on laser ranging interferometer. J. Spacecr. Rocket. 2020, 57, 1362–1372. [Google Scholar] [CrossRef]
  7. Wang, Y.; Xu, X.; Dai, Z.; Hua, Z.; Lin, C.; Hou, Y.; Zhang, Q.; Wang, P.; Tan, Y. Frequency-swept feedback interferometry for noncooperative-target ranging with a stand-off distance of several hundred meters. PhotoniX 2022, 3, 21. [Google Scholar] [CrossRef]
  8. Nissinen, J.; Nissinen, I.; Kostamovaara, J. Integrated receiver including both receiver channel and TDC for a pulsed time-of-flight laser rangefinder with cm-level accuracy. IEEE J. Solid-State Circuits 2009, 44, 1486–1497. [Google Scholar] [CrossRef]
  9. Sun, B.; Liu, G.; Xu, Z.; Lv, S.; Yao, S. Space point target ranging system based on laser beam triangulation. IOP Conf. Ser. Mater. Sci. Eng. 2020, 782, 032095. [Google Scholar]
  10. Liang, Y.; Huang, J.; Ren, M.; Feng, B.; Chen, X.; Wu, E.; Wu, G.; Zeng, H. 1550-nm time-of-flight ranging system employing laser with multiple repetition rates for reducing the range ambiguity. Opt. Express 2014, 22, 4662–4670. [Google Scholar] [CrossRef] [PubMed]
  11. Qiu, B.; Zhang, Y.; Sun, X.; Xu, Z.; Liang, X.; Wang, D.; Pan, S. Laser Ranging With Micrometer Precision and kHz Rate via Joint Frequency-Phase Measurement. IEEE Photonics Technol. Lett. 2022, 34, 1214–1217. [Google Scholar] [CrossRef]
  12. Li, D.; Yu, H.; Tee, K.P.; Wu, Y.; Ge, S.S.; Lee, T.H. On Time-Synchronized Stability and Control. IEEE Trans. Syst. Man Cybern. Syst. 2021, 52, 2450–2463. [Google Scholar] [CrossRef]
  13. Liu, L.; Lü, D.-S.; Chen, W.-B.; Li, T.; Qu, Q.-Z.; Wang, B.; Li, L.; Ren, W.; Dong, Z.-R.; Zhao, J.-B.; et al. In-orbit operation of an atomic clock based on laser-cooled 87 Rb atoms. Nat. Commun. 2018, 9, 2760. [Google Scholar] [CrossRef] [PubMed]
  14. Nicholson, T.L.; Campbell, S.L.; Hutson, R.B.; Marti, G.E.; Bloom, B.J.; McNally, R.L.; Zhang, W.; Barrett, M.D.; Safronova, M.S.; Strouse, G.F.; et al. Systematic evaluation of an atomic clock at 2e-18 total uncertainty. Nat. Commun. 2015, 6, 6896. [Google Scholar] [CrossRef] [PubMed]
  15. McGrew, W.F.; Zhang, X.; Fasano, R.J.; Schäffer, S.A.; Beloy, K.; Nicolodi, D.; Brown, R.C.; Hinkley, N.; Milani, G.; Schioppo, M.; et al. Atomic clock performance enabling geodesy below the centimetre level. Nature 2018, 564, 87–90. [Google Scholar] [CrossRef] [PubMed]
  16. Kolkowitz, S.; Pikovski, I.; Langellier, N.; Lukin, M.D.; Walsworth, R.L.; Ye, J. Gravitational wave detection with optical lattice atomic clocks. Phys. Rev. D 2016, 94, 124043. [Google Scholar] [CrossRef]
  17. Xiong, X.; Yang, F.; Gui, Y.; Cai, H.; Su, J.; Zhu, Z. Time-frequency transfer performance of wavelength selection switch in optical fiber communication network. Chin. J. Lasers 2018, 45, 0106003. [Google Scholar] [CrossRef]
  18. Zhang, H.; Wu, G.; Hu, L.; Li, X.; Chen, J. High-precision time transfer over 2000-km fiber link. IEEE Photonics J. 2015, 7, 7600208. [Google Scholar] [CrossRef]
  19. Guo, X.; Liu, B.; Kong, W.; Liu, J.; Liu, T.; Dong, R.; Zhang, S. A reliable remote monitoring system of optical fiber time transfer. In Proceedings of the 2022 20th International Conference on Optical Communications and Networks (ICOCN), Shenzhen, China, 12–15 August 2022; pp. 1–4. [Google Scholar]
  20. Ma, L.-S.; Jungner, P.; Ye, J.; Hall, J.L. Delivering the same optical frequency at two places: Accurate cancellation of phase noise introduced by an optical fiber or other time-varying path. Opt. Lett. 1994, 19, 1777–1779. [Google Scholar] [CrossRef] [PubMed]
  21. Joseph, S.B.; Dada, E.G.; Abidemi, A.; Oyewola, D.O.; Khammas, B.M. Metaheuristic algorithms for PID controller parameters tuning: Review, approaches and open problems. Heliyon 2022, 8, e09399. [Google Scholar] [CrossRef]
  22. Phu, N.D.; Hung, N.N.; Ahmadian, A.; Senu, N. A new fuzzy PID control system based on fuzzy PID controller and fuzzy control process. Int. J. Fuzzy Syst. 2020, 22, 2163–2187. [Google Scholar] [CrossRef]
  23. Reibel, R.; Greenfield, N.; Berg, T.; Kaylor, B.; Roos, P.; Barber, Z.; Klumpar, D. Ultra-Compact Ladar Systems for Next Generation Space Missions; Small Satellite: North Logan, UT, USA, 2010. [Google Scholar]
  24. Hancock, J.A. Laser Intensity-Based Obstacle Detection and Tracking; Carnegie Mellon University: Pittsburgh, PA, USA, 1999. [Google Scholar]
  25. Riley, W.J.; Howe, D.A. Handbook of Frequency Stability Analysis; National Institute of Standards and Technology: Gaithersburg, MD, USA, 2008. [Google Scholar]
  26. Kodet, J.; Pánek, P.; Procházka, I. Two-way time transfer via optical fiber providing subpicosecond precision and high temperature stability. Metrologia 2015, 53, 18–26. [Google Scholar] [CrossRef]
Figure 1. Space laser ranging system based on simultaneous time-frequency transfer. (WDM: Wavelength Division Multiplexer; 1PPS: one pulse per second).
Figure 1. Space laser ranging system based on simultaneous time-frequency transfer. (WDM: Wavelength Division Multiplexer; 1PPS: one pulse per second).
Photonics 11 01126 g001
Figure 2. Schematic diagram of time synchronization based on a bidirectional comparison.
Figure 2. Schematic diagram of time synchronization based on a bidirectional comparison.
Photonics 11 01126 g002
Figure 3. Schematic diagram of frequency transfer based on active compensation.
Figure 3. Schematic diagram of frequency transfer based on active compensation.
Photonics 11 01126 g003
Figure 4. Time transfer system diagram.
Figure 4. Time transfer system diagram.
Photonics 11 01126 g004
Figure 5. Frequency transfer system diagram.
Figure 5. Frequency transfer system diagram.
Photonics 11 01126 g005
Figure 6. Time–difference results between the two locations after compensation.
Figure 6. Time–difference results between the two locations after compensation.
Photonics 11 01126 g006
Figure 7. Stability test results of the 100 m spatial optical time transfer.
Figure 7. Stability test results of the 100 m spatial optical time transfer.
Photonics 11 01126 g007
Figure 8. Frequency transfer link delay jitter.
Figure 8. Frequency transfer link delay jitter.
Photonics 11 01126 g008
Figure 9. Frequency transfer stability test results for a 100 m space optical link.
Figure 9. Frequency transfer stability test results for a 100 m space optical link.
Photonics 11 01126 g009
Figure 10. Ranging results for the 100 m space optical path. (a) the result of rough ranging; (b) the result of fine ranging; (c) the distance of combing with two results.
Figure 10. Ranging results for the 100 m space optical path. (a) the result of rough ranging; (b) the result of fine ranging; (c) the distance of combing with two results.
Photonics 11 01126 g010
Figure 11. Comparison of the ranging results at different distances. (a) the ranging results at 100 m; (b) the ranging results at 200 m; (c) the ranging results at 300 m; (d) the ranging results at 400 m; (e) the ranging results at 500 m.
Figure 11. Comparison of the ranging results at different distances. (a) the ranging results at 100 m; (b) the ranging results at 200 m; (c) the ranging results at 300 m; (d) the ranging results at 400 m; (e) the ranging results at 500 m.
Photonics 11 01126 g011
Disclaimer/Publisher’s Note: The statements, opinions and data contained in all publications are solely those of the individual author(s) and contributor(s) and not of MDPI and/or the editor(s). MDPI and/or the editor(s) disclaim responsibility for any injury to people or property resulting from any ideas, methods, instructions or products referred to in the content.

Share and Cite

MDPI and ACS Style

Li, S.; Zhang, L.; Wang, D.; Hu, Y.; Lv, M.; Li, Z.; Li, Y. Precision and Stability of a Space Laser Ranging Technology Based on Time-Frequency Co-Transfer. Photonics 2024, 11, 1126. https://doi.org/10.3390/photonics11121126

AMA Style

Li S, Zhang L, Wang D, Hu Y, Lv M, Li Z, Li Y. Precision and Stability of a Space Laser Ranging Technology Based on Time-Frequency Co-Transfer. Photonics. 2024; 11(12):1126. https://doi.org/10.3390/photonics11121126

Chicago/Turabian Style

Li, Shaobo, Lei Zhang, Dongjie Wang, Yuhan Hu, Mingyang Lv, Zhe Li, and Yihan Li. 2024. "Precision and Stability of a Space Laser Ranging Technology Based on Time-Frequency Co-Transfer" Photonics 11, no. 12: 1126. https://doi.org/10.3390/photonics11121126

APA Style

Li, S., Zhang, L., Wang, D., Hu, Y., Lv, M., Li, Z., & Li, Y. (2024). Precision and Stability of a Space Laser Ranging Technology Based on Time-Frequency Co-Transfer. Photonics, 11(12), 1126. https://doi.org/10.3390/photonics11121126

Note that from the first issue of 2016, this journal uses article numbers instead of page numbers. See further details here.

Article Metrics

Back to TopTop