Cyber–Physical System Attack Detection and Isolation: A Takagi–Sugeno Approach
Abstract
1. Introduction
2. Problem Formulation
- There exists a matrix T with appropriate dimensions such that the following conditions are satisfied:
- The matrix is stable
3. Formulation of Attack Schemes
3.1. Denial-of-Service (DoS) Attacks
3.2. False Data Injection (FDI) Attack
3.3. Random Data Injection (RDI) Attack
4. Design of the Generalized Dynamic Observer
4.1. Parameterization of the Observer
4.2. Design of the Attack Detection and Isolation Observer
5. Observer Stability Analysis
6. Case Study
Model of an Three-Tank Interconnected System
7. Simulation Results
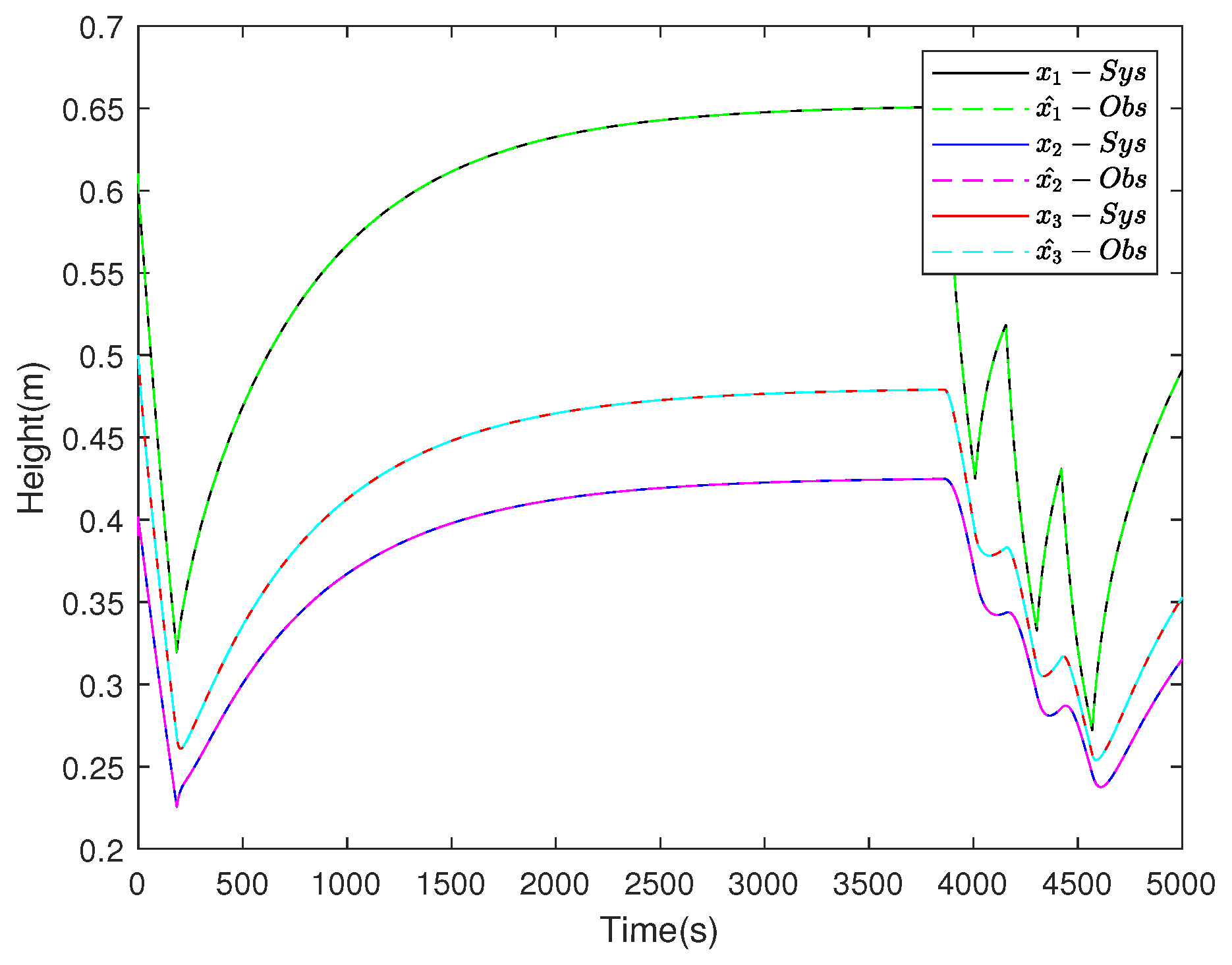
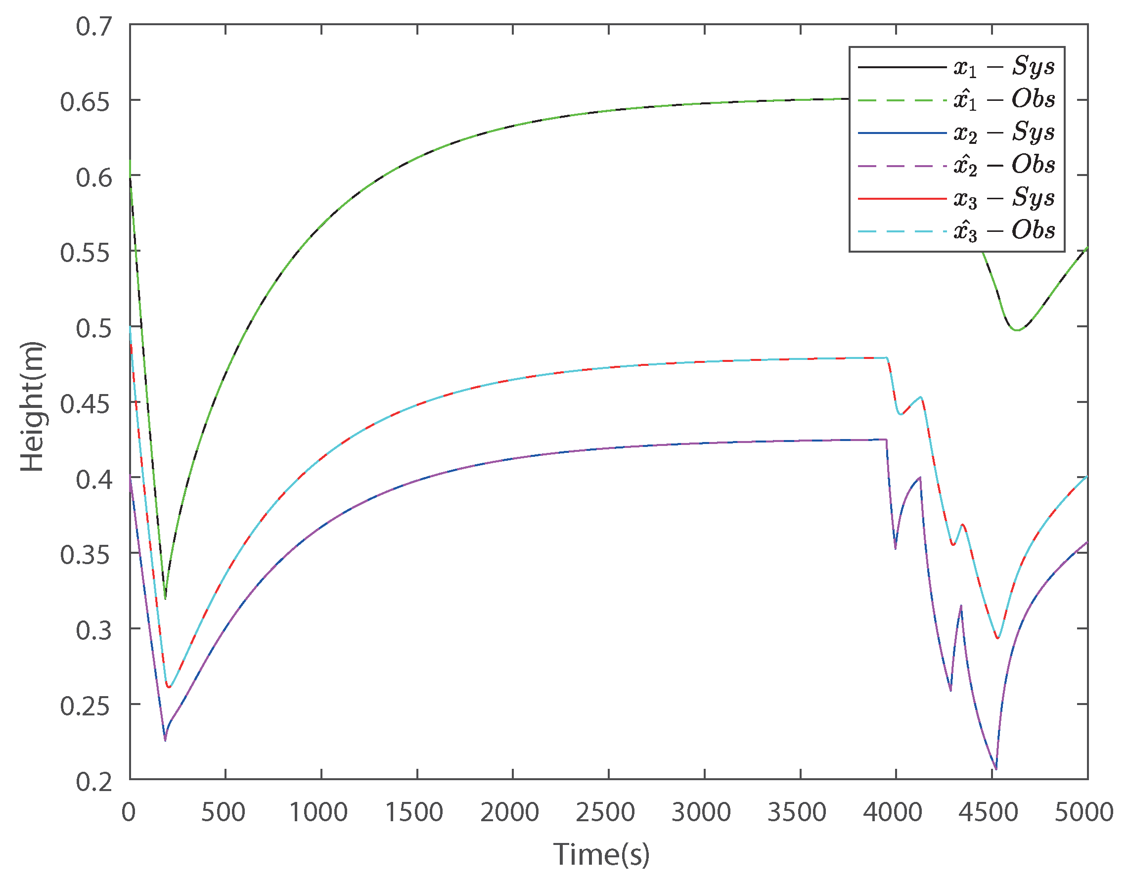
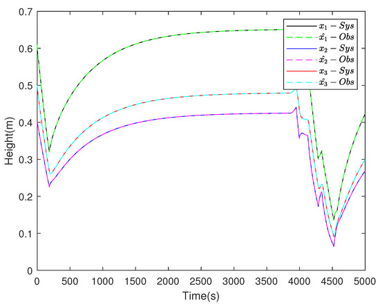
7.1. Simulated DoS Attack
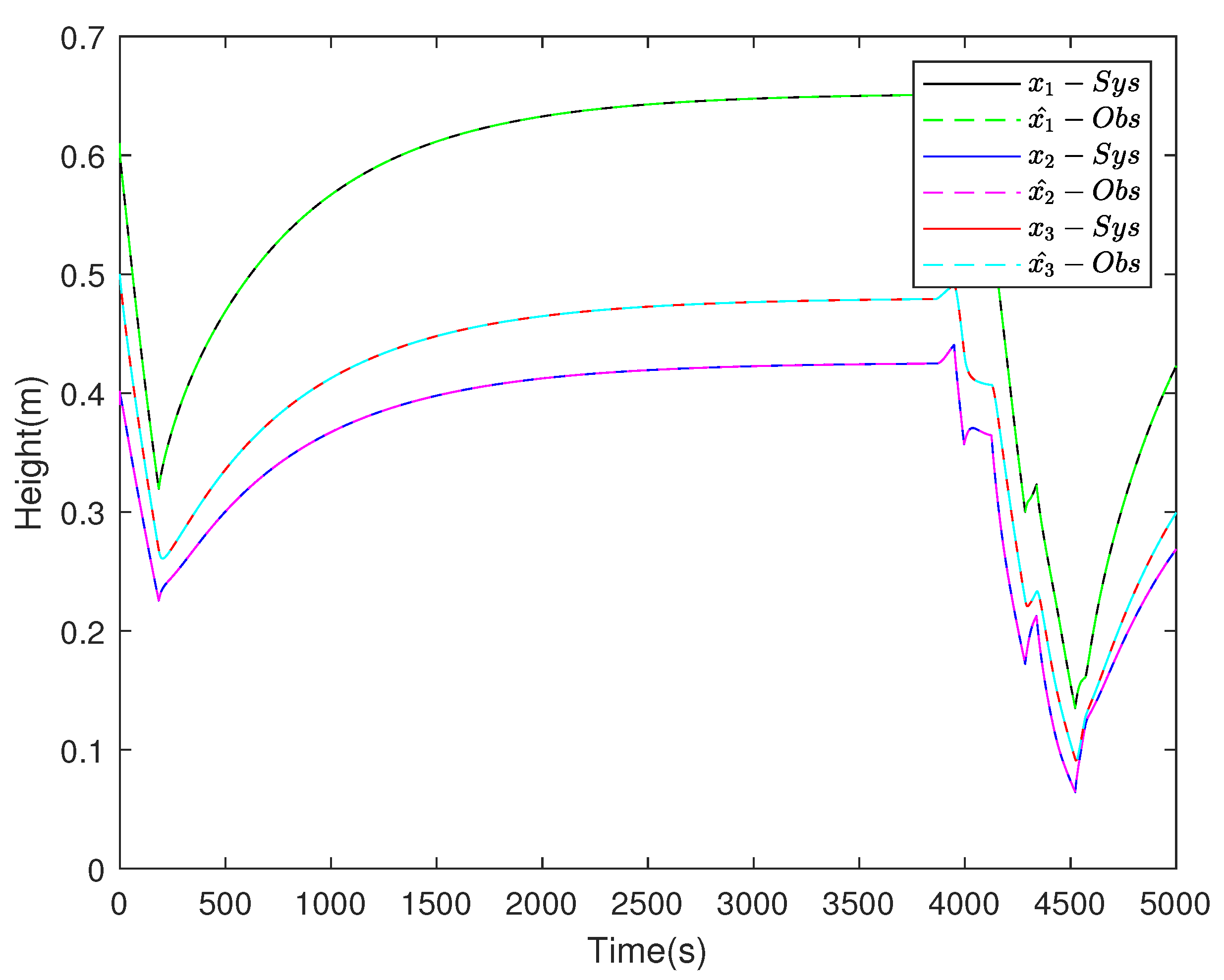
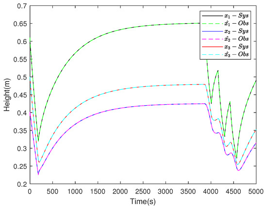
7.2. Simulated FDI Attack
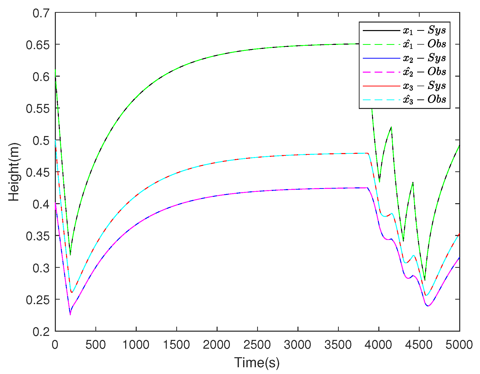
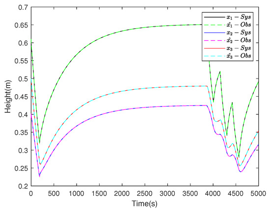
7.3. Simulated RDI Attack
7.4. Different Attacks
8. Conclusions
Author Contributions
Funding
Data Availability Statement
Acknowledgments
Conflicts of Interest
Abbreviations
| RDI | Random Data Injection |
| DoS | Denial of Service |
| FDI | False Data Injection |
| T-S | Takagi–Sugeno Systems |
| CPS | Cyber–Physical System |
| LMI | Linear Matrix Inequalities |
| GDO | Generalized Dynamic Observer |
References
- Sharma, A.K.; Galav, R.K.; Sharma, B. A Comprehensive Survey of various Cyber Attacks. In Proceedings of the 2023 6th International Conference on Information Systems and Computer Networks (ISCON), Mathura, India, 3–4 March 2023; pp. 1–4. [Google Scholar] [CrossRef]
- Geetha, G.; Rajagopal, M.; Purna Chand, K. A Survey on Cyber Attack Detection: Techniques, Datasets, and Challenge. In Proceedings of the 2023 International Conference on Research Methodologies in Knowledge Management, Artificial Intelligence and Telecommunication Engineering (RMKMATE), Chennai, India, 1–2 November 2023; pp. 1–7. [Google Scholar] [CrossRef]
- Balarengadurai, C.; C D, D.; C, H. Survey on Cyber Crime Problems and Prevention. In Proceedings of the 2022 International Conference on Smart and Sustainable Technologies in Energy and Power Sectors (SSTEPS), Mahendragarh, India, 7–11 November 2022; pp. 117–121. [Google Scholar] [CrossRef]
- Karnik, N.; Bora, U.; Bhadri, K.; Kadambi, P.; Dhatrak, P. A comprehensive study on current and future trends towards the characteristics and enablers of industry 4.0. J. Ind. Inf. Integr. 2022, 27, 100294. [Google Scholar] [CrossRef]
- Arghandeh, R.; von Meier, A.; Mehrmanesh, L.; Mili, L. On the definition of cyber-physical resilience in power systems. Renew. Sustain. Energy Rev. 2016, 58, 1060–1069. [Google Scholar] [CrossRef]
- Somers, R.J.; Douthwaite, J.A.; Wagg, D.J.; Walkinshaw, N.; Hierons, R.M. Digital-twin-based testing for cyber–physical systems: A systematic literature review. Inf. Softw. Technol. 2023, 156, 107145. [Google Scholar] [CrossRef]
- Zhao, X.; Yin, Y.; Bu, X. Resilient iterative learning control for a class of discrete-time nonlinear systems under hybrid attacks. Asian J. Control 2023, 25, 1167–1179. [Google Scholar] [CrossRef]
- Huang, X.; Han, X. Adaptive output-feedback resilient tracking control using virtual closed-loop reference model for cyber-physical systems with false data injection attacks. Asian J. Control 2023, 25, 1380–1391. [Google Scholar] [CrossRef]
- Zhang, L.; Chen, Y.; Li, M. Resilient Predictive Control for Cyber—Physical Systems Under Denial-of-Service Attacks. IEEE Trans. Circuits Syst. II Express Briefs 2022, 69, 144–148. [Google Scholar] [CrossRef]
- Deng, C.; Wen, C. MAS-Based Distributed Resilient Control for a Class of Cyber-Physical Systems With Communication Delays Under DoS Attacks. IEEE Trans. Cybern. 2021, 51, 2347–2358. [Google Scholar] [CrossRef] [PubMed]
- Nateghi, S.; Shtessel, Y.; Edwards, C.; Barbot, J.P. Resilient control of cyber-physical systems using adaptive super-twisting observer. Asian J. Control 2023, 25, 1775–1790. [Google Scholar] [CrossRef]
- Li, Y.; Voos, H.; Darouach, M.; Hua, C. An application of linear algebra theory in networked control systems: Stochastic cyber-attacks detection approach. Ima J. Math. Control. Inf. 2016, 33, 1081–1102. [Google Scholar] [CrossRef]
- Taheri, M.; Khorasani, K.; ImanShames; Meskin, N. Cyberattack and Machine-Induced Fault Detection and Isolation Methodologies for Cyber-Physical Systems. IEEE Trans. Control. Syst. Technol. 2023, 32, 502–517. [Google Scholar] [CrossRef]
- Peixoto, M.L.C.; Coutinho, P.H.S.; Bessa, I.; Pessim, P.S.P.; Palhares, R.M. Event-triggered control of Takagi-Sugeno fuzzy systems under deception attacks. Int. J. Robust Nonlinear Control. 2023, 33, 7471–7487. [Google Scholar] [CrossRef]
- Asai, Y.; Itami, T.; Yoneyama, J. Static Output Feedback Stabilizing Control for Takagi-Sugeno Fuzzy Systems. In Proceedings of the 2021 Joint 10th International Conference on Informatics, Electronics & Vision (ICIEV) and 2021 5th International Conference on Imaging, Vision & Pattern Recognition (icIVPR), Kitakyushu, Japan, 16–20 August 2021; pp. 1–6. [Google Scholar] [CrossRef]
- Huang, X.; Chang, C.; Li, J.; Xiao, S.; Su, Q. Cooperative Interaction Observer-Based Security Control for T-S Fuzzy Cyber-Physical Systems Against Sensor and Actuator Attacks. IEEE Trans. Reliab. 2024, 73, 1982–1992. [Google Scholar] [CrossRef]
- Hmaiddouch, I.; Essabre, M.; El Assoudi, A.; El Yaagoubi, E.H. Discrete-time Takagi-Sugeno Fuzzy Systems with Unmeasurable Premise Variables: Application to an Electric Vehicle. In Proceedings of the 2021 Fifth International Conference On Intelligent Computing in Data Sciences (ICDS), Fez, Morocco, 20–22 October 2021; pp. 1–6. [Google Scholar] [CrossRef]
- Kavikumar, R.; Kaviarasan, B.; Lee, Y.G.; Kwon, O.M.; Sakthivel, R.; Choi, S.G. Robust dynamic sliding mode control design for interval type-2 fuzzy systems. Discret. Contin. Dyn. Syst. -S 2022, 15, 1839–1858. [Google Scholar] [CrossRef]
- Bezzaoucha Rebaï, S.; Voos, H.; Darouach, M. Attack-tolerant Control and Observer-based Trajectory Tracking for Cyber-Physical Systems. Eur. J. Control. 2018, 47, 30–36. [Google Scholar] [CrossRef]
- Osorio-Gordillo, G.L.; Darouach, M.; Boutat-Baddas, L.; Astorga-Zaragoza, C.M. Dynamical observer-based fault detection and isolation for linear singular systems. Syst. Sci. Control. Eng. 2015, 3, 189–197. [Google Scholar] [CrossRef][Green Version]
- Bernstein, D.S. Matrix Mathematics: Theory, Facts, and Formulas—Second Edition, 2nd ed.; Princeton University Press: Princeton, NJ, USA, 2011; English Edition. [Google Scholar]
- Boyd, S.; Ghaoui, L.; Feron, E.; Balakrishnan, V. Linear Matrix Inequalities in Systems and Control Theory; SIAM: Delhi, India, 1994. [Google Scholar]
- Skelton, R.; Iwasaki, T.; Grigoriadis, D. A Unified Algebraic Approach To Control Design; Taylor & Francis: Abingdon, UK, 1997. [Google Scholar]
- Li, H.; He, X.; Zhang, Y.; Guan, W. Attack Detection in Cyber-Physical Systems Using Particle Filter: An Illustration on Three-Tank System. In Proceedings of the 2018 IEEE 8th Annual International Conference on CYBER Technology in Automation, Control, and Intelligent Systems (CYBER), Tianjin, China, 19–23 July 2018; pp. 504–509. [Google Scholar] [CrossRef]














| Parameter | Value | Units | Definition |
|---|---|---|---|
| 0.0154 | m2 | Tank cross-section | |
| m2 | Pipe cross-section | ||
| g | m2/s | Gravity | |
| 0.46 | - | Outlet coefficient of tank 1 | |
| 0.58 | - | Outlet coefficient of tank 2 | |
| 0.48 | - | Outlet coefficient of tank 3 |
Disclaimer/Publisher’s Note: The statements, opinions and data contained in all publications are solely those of the individual author(s) and contributor(s) and not of MDPI and/or the editor(s). MDPI and/or the editor(s) disclaim responsibility for any injury to people or property resulting from any ideas, methods, instructions or products referred to in the content. |
© 2025 by the authors. Licensee MDPI, Basel, Switzerland. This article is an open access article distributed under the terms and conditions of the Creative Commons Attribution (CC BY) license (https://creativecommons.org/licenses/by/4.0/).
Share and Cite
Guadarrama-Estrada, A.R.; Osorio-Gordillo, G.L.; Vargas-Méndez, R.A.; Reyes-Reyes, J.; Astorga-Zaragoza, C.M. Cyber–Physical System Attack Detection and Isolation: A Takagi–Sugeno Approach. Math. Comput. Appl. 2025, 30, 12. https://doi.org/10.3390/mca30010012
Guadarrama-Estrada AR, Osorio-Gordillo GL, Vargas-Méndez RA, Reyes-Reyes J, Astorga-Zaragoza CM. Cyber–Physical System Attack Detection and Isolation: A Takagi–Sugeno Approach. Mathematical and Computational Applications. 2025; 30(1):12. https://doi.org/10.3390/mca30010012
Chicago/Turabian StyleGuadarrama-Estrada, Angel R., Gloria L. Osorio-Gordillo, Rodolfo A. Vargas-Méndez, Juan Reyes-Reyes, and Carlos M. Astorga-Zaragoza. 2025. "Cyber–Physical System Attack Detection and Isolation: A Takagi–Sugeno Approach" Mathematical and Computational Applications 30, no. 1: 12. https://doi.org/10.3390/mca30010012
APA StyleGuadarrama-Estrada, A. R., Osorio-Gordillo, G. L., Vargas-Méndez, R. A., Reyes-Reyes, J., & Astorga-Zaragoza, C. M. (2025). Cyber–Physical System Attack Detection and Isolation: A Takagi–Sugeno Approach. Mathematical and Computational Applications, 30(1), 12. https://doi.org/10.3390/mca30010012

