A Mathematical Study of Effects of Alzheimer’s Drug Donepezil Hydrochloride on Neuronal Viscoelasticity and Action Potentials
Abstract
1. Introduction
- 1.
- a pharmacokinetic model showing that anomalous release modalities of donepezil can slow down the decay of the drug in the brain which may provide effective treatments for AD with smaller drug dosages;
- 2.
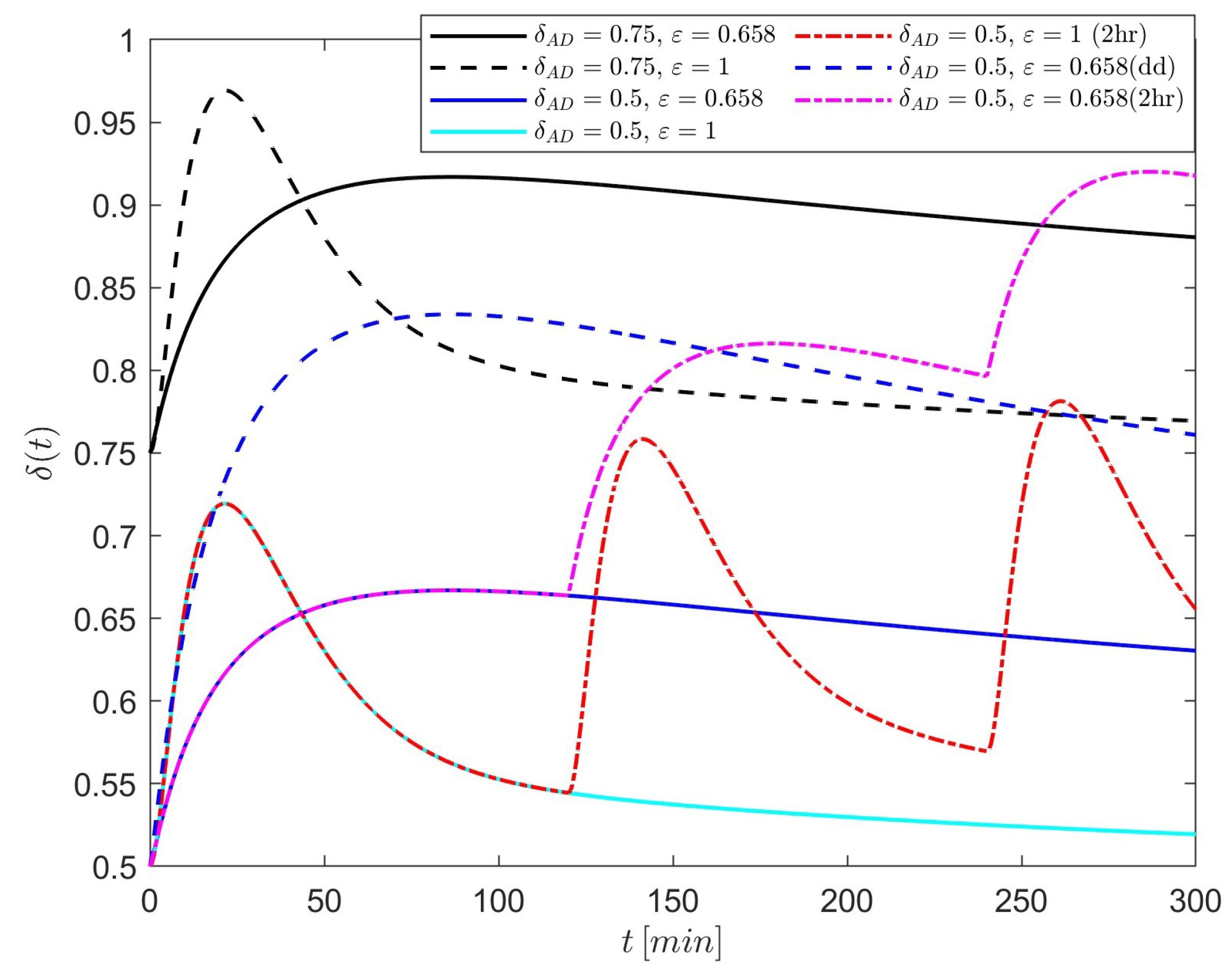
- an electromechanical model of ion channels showing that: (1) a shorter viscoelastic fading memory modulated by the ACh binding is associated with a properly functioning neuron, (2) a longer viscoelastic memory corresponding to ion channels structurally altered by AD progression causes abnormal action potentials, and (3) donepezil intake can recover the structural fitness of the ion channels as well as healthy action potentials by using anomalous release donepezil either combined or not with various drug dosages depending on the AD severity;
- 3.
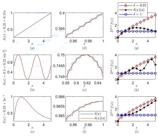
- Haar piecewise-constant approximations can be used to characterize the creep and relaxation properties of the variable-order fractional Maxwell linear viscoelastic model assumed to describe the mechanical behavior of ion channels.
2. Mathematical Preliminaries
- 1.
- [53] (p. 33), [54]: The left-sided Riemann-Liouville fractional integral of constant order , of a function , is:where is the gamma function. In particular, .
- 2.
- [54,55]: Let be a p-times differentiable function on whose -order derivative denoted by satisfies , where . The left-sided Caputo fractional derivative of constant order , of the function f is:In particular, .
- 3.
- 1.
- and, if for :
- 2.
- 3.
- where is the Laplace transform of the function f.Also, for :where is the Mittag-Leffler function. In particular, .
- 4.
- [58]: Let be a differentiable function, , and be an equally-spaced discretization of the interval of constant step size . Denote by for and . Then a finite difference scheme for the variable-order fractional derivative (3) is:for .
- 1.
- The function given by:is called the Haar mother wavelet.
- 2.
- The functions , , given by:are called the Haar wavelets. They are obtained from function H by dilation with parameter and translation with parameter .
- 3.
- The functions given by:is called the Haar scaling function. Also, the dilation and translation of function φ generate scaling functions , , defined as:
- 1.
- The following identity holds:
- 2.
- The sequence , is a complete orthonormal sequence (orthonormal basis) in . Thus, every function can be represented as:where the wavelet coefficients of f are , and the -inner product of two functions is:Representation (11) is known as the discrete Haar wavelet transform.
- 3.
- The scale spaces is a multiresolution analysis, i.e.,The detail spaces satisfy the scale-step property:Above, the -norm is for .
- the scale functions act as low-pass filters providing a coarse, piecewise-constant approximation (first series of representation (11)):
- wavelets are band-pass filters providing the details of f as (second series of representation (11)).
3. Mathematical Modeling
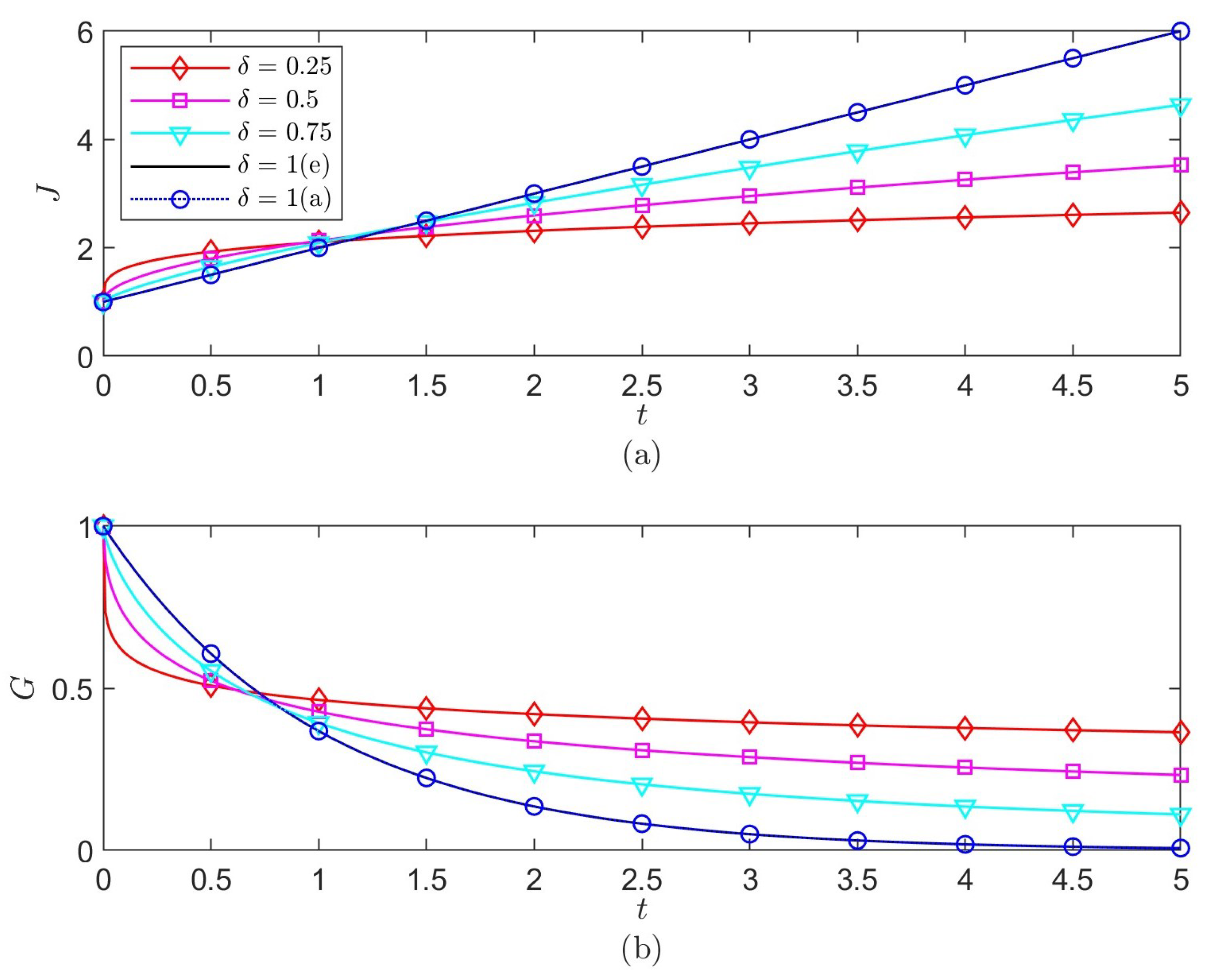
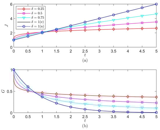
3.1. Viscoelastic Model
- 1.
- the creep compliance is the strain per unit applied constant stress calculated from Equation (13). By replacing in Equation (13), using Formula (5), and then applying the Laplace transform to the updated Equation (13) combined with (Formula (14) corresponding to this case), the following expression for J can be obtained from Formulas (8) and (9):
- 2.
- the relaxation modulus is the stress per unit applied constant strain calculated from Equation (13). By replacing in Equation (13), using Formula (5), and then applying the Laplace transform to the updated Equation (13) combined with (Formula (14) corresponding to this case), the following expression for G can be obtained from Formulas (8) and (9):
3.2. Generalized Hodgkin-Huxley Model
3.3. Generalized Pharmacokinetic Model
3.4. Coupled Model
4. Results
4.1. Action Potentials in Health and AD
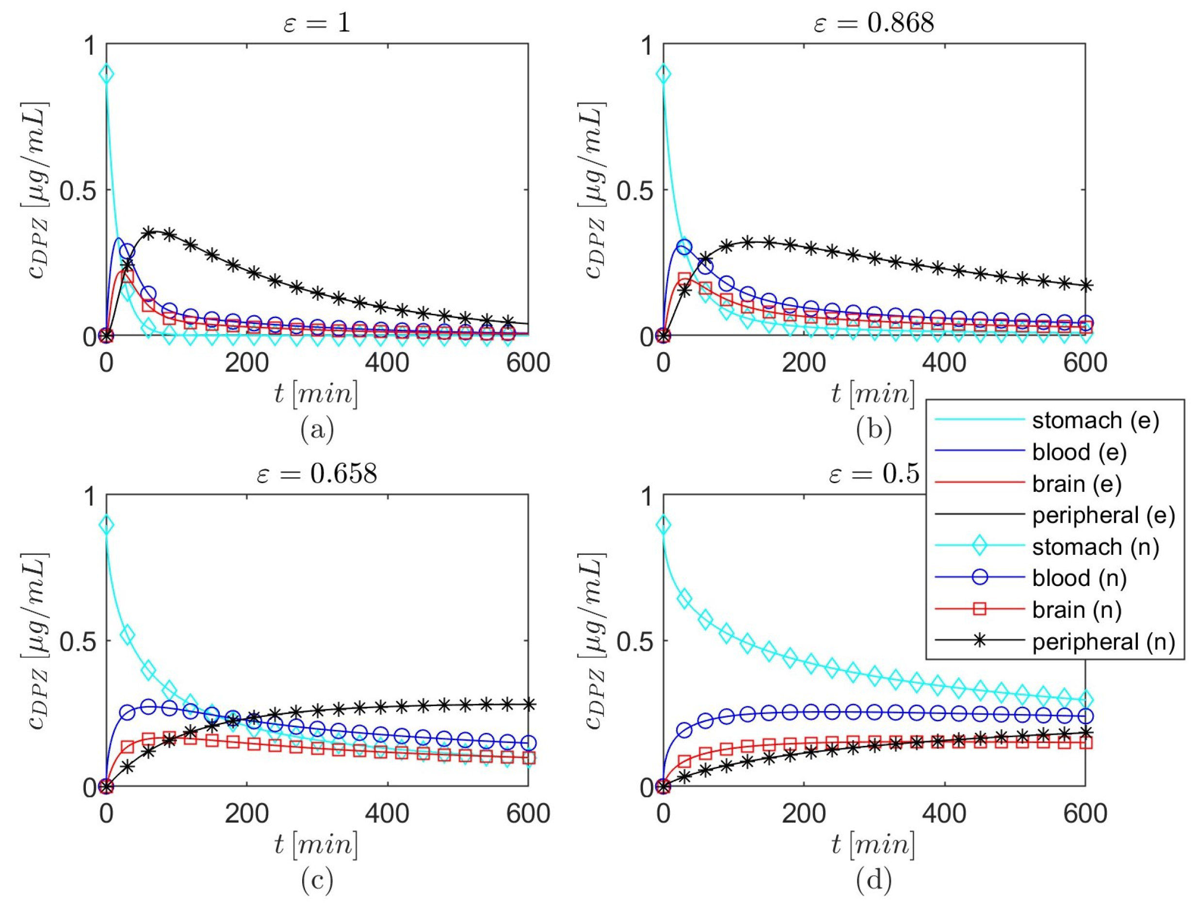
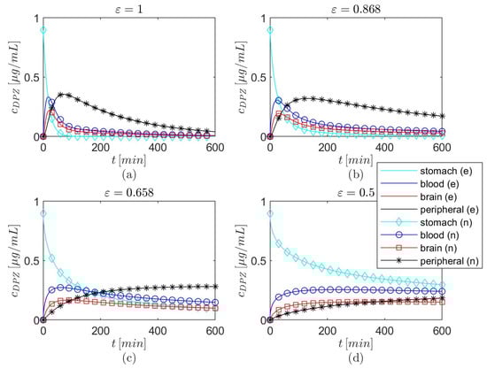
4.2. Transport of Controlled Release Donepezil
4.3. Donepezil Effects on Action Potentials
5. Discussion and Conclusion Remarks
Funding
Data Availability Statement
Conflicts of Interest
Abbreviations
| AD | Alzheimer’s disease |
| Amyloid- | |
| NFT | Neurofibrillary tangles |
| AChE | Acetylcholinesterase |
| ACh | Acetylcholine |
Appendix A
| Variables | Physical Units | Description |
|---|---|---|
| t | (Section 3.2), (Section 3.3) | time |
| V | Membrane potential | |
| m | Nondimensional displacement of the activating sodium gate | |
| h | Nondimensional displacement of the inactivating sodium gate | |
| n | Nondimensional displacement of the activating potassium gate | |
| Donepezil concentration in the depot | ||
| Donepezil concentration in the blood | ||
| Donepezil concentration in the brain | ||
| Donepezil concentration in the periphery |
References
- Alzheimer, A. Uber einen eigenartigen schweren Erkrankungsprozess der Hirninde. Neurol. Centralblatt. 1906, 25, 1134. [Google Scholar]
- World Health Organization. Dementia Key Facts. Available online: https://www.who.int/news-room/fact-sheets/detail/dementia (accessed on 20 July 2024).
- Carreiras, M.C.; Mendes, E.; Perry, M.J.; Francisco, A.P.; Marco-Contelles, J. The multifactorial nature of Alzheimer’s disease for developing potential therapeutics. Curr. Top. Med. Chem. 2013, 13, 1745–1770. [Google Scholar] [CrossRef] [PubMed]
- Sweeney, M.D.; Sagare, A.P.; Zlokovic, B.V. Blood–brain barrier breakdown in Alzheimer disease and other neurodegenerative disorders. Nat. Rev. Neurol. 2018, 14, 133–150. [Google Scholar] [CrossRef] [PubMed]
- Salman, M.M.; Kitchen, P.; Halsey, A.; Wang, M.X.; Törnroth-Horsefield, S.; Conner, A.C.; Badaut, J.; Iliff, J.J.; Bill, R.M. Emerging roles for dynamic aquaporin-4 subcellular relocalization in CNS water homeostasis. Brain 2022, 145, 64–75. [Google Scholar] [CrossRef]
- Kinney, J.W.; Bemiller, S.M.; Murtishaw, A.S.; Leisgang, A.M.; Salazar, A.M.; Lamb, B.T. Inflammation as a central mechanism in Alzheimer’s disease. Alzheimer’s Dement. Transl. Res. Clin. Interv. 2018, 4, 575–590. [Google Scholar] [CrossRef]
- Marucci, G.; Buccioni, M.; Dal Ben, D.; Lambertucci, C.; Volpini, R.; Amenta, F. Efficacy of acetylcholinesterase inhibitors in Alzheimer’s disease. Neuropharmacology 2021, 190, 108352. [Google Scholar] [CrossRef]
- Garcia-Ayllon, M.-S.; Small, D.H.; Avila, J.; Saez-Valero, J. Revisiting the role of acetylcholinesterase in Alzheimer’s disease: Cross-talk with P-tau and β-amyloid. Front. Mol. Neurosci. 2011, 4, 22. [Google Scholar] [CrossRef]
- Anastacio, H.T.D.; Matosin, N.; Ooi, L. Neuronal hyperexcitability in Alzheimer’s disease. what are the drivers behind this aberrant phenotype? Transl. Psychiatry 2022, 12, 257. [Google Scholar] [CrossRef]
- Nasrabady, S.E.; Rizvi, B.; Goldman, J.E.; Brickman, A.M. White matter changes in Alzheimer’s disease: A focus on myelin and oligodendrocytes. Acta Neuropathol. Commun. 2018, 6, 22. [Google Scholar] [CrossRef]
- Depp, C.; Sun, T.; Sasmita, A.O.; Spieth, L.; Berghoff, S.A.; Nazarenko, T.; Overhoff, K.; Steixner-Kumar, A.A.; Subramanian, S.; Arinrad, S.; et al. Myelin dysfunction drives amyloid-β deposition in models of Alzheimer’s disease. Nature 2023, 618, 349–357. [Google Scholar] [CrossRef]
- Dan, L.; Zhang, Z. Alzheimer’s disease: An axonal injury disease? Front. Aging Neurosci. 2023, 15, 1264448. [Google Scholar] [CrossRef] [PubMed]
- Boukhvalova, M.S.; Kastrukoff, L.; Blanco, J.C.G. Alzheimer’s disease and multiple sclerosis: A possible connection through the viral demyelinating neurodegenerative trigger (vDENT). Front. Aging Neurosci. 2023, 15, 1204852. [Google Scholar] [CrossRef] [PubMed]
- Yavorsky, V.A.; Rozumna, N.M.; Lukyanetz, E.A. Influence of amyloid beta on impulse spiking of isolated hippocampal neurons. Front. Cell. Neurosci. 2023, 17, 1132092. [Google Scholar] [CrossRef] [PubMed]
- Barbieri, R.; Nizzari, M.; Zanardi, I.; Pusch, M.; Gavazzo, P. Voltage-gated sodium channel dysfunctions in neurological disorders. Life 2023, 13, 1191. [Google Scholar] [CrossRef]
- Melgosa-Ecenarro, L.; Doostdar, N.; Radulescu, C.I.; Jackson, J.S.; Barnes, S.J. Pinpointing the locus of GABAergic vulnerability in Alzheimer’s disease. Semin. Cell Dev. Biol. 2023, 139, 35–54. [Google Scholar] [CrossRef]
- Tzavellas, N.P.; Tsamis, K.I.; Katsenos, A.P.; Davri, A.S.; Simos, Y.V.; Nikas, I.P.; Bellos, S.; Lekkas, P.; Kanellos, F.S.; Konitsiotis, S.; et al. Firing alterations of neurons in Alzheimer’s disease: Are they merely a consequence of pathogenesis or a pivotal component of disease progression? Cells 2024, 13, 434. [Google Scholar] [CrossRef]
- Kumar, A.; Gupta, V.; Sharma, S. Donepezil. In StatPearls; StatPearls Publishing: Treasure Island, FL, USA, 2024. Available online: https://www.ncbi.nlm.nih.gov/books/NBK513257/ (accessed on 20 July 2024).
- Sam, C.; Bordoni, B. Physiology, Acetylcholine. In StatPearls; StatPearls Publishing: Treasure Island, FL, USA, 2024. Available online: https://www.ncbi.nlm.nih.gov/books/NBK557825/ (accessed on 16 August 2024).
- Carlson, A.B.; Kraus, G.P. Physiology, Cholinergic Receptors. In StatPearls; StatPearls Publishing: Treasure Island, FL, USA, 2024. Available online: https://www.ncbi.nlm.nih.gov/books/NBK526134/ (accessed on 8 December 2024).
- Kim, J.; Lee, H.J.; Park, S.K.; Park, J.H.; Jeong, H.R.; Lee, S.; Lee, H.; Seol, E.; Hoe, H.S. Donepezil regulates LPS and Aβ-stimulated neuroinflammation through MAPK/NLRP3 inflammasome/STAT3 signaling. Int. J. Mol. Sci. 2021, 22, 10637. [Google Scholar] [CrossRef]
- Lombardo, S.; Maskos, U. Role of the nicotinic acetylcholine receptor in Alzheimer’s disease pathology and treatment. Neuropharmacology 2015, 96 Pt B, 255–262. [Google Scholar] [CrossRef]
- Monaco, M.; Trebesova, H.; Grilli, M. Muscarinic receptors and Alzheimer’s disease: New perspectives and mechanisms. Curr. Issues Mol. Biol. 2024, 46, 6820–6835. [Google Scholar] [CrossRef]
- Jakki, S.L.; Ramesh, Y.V.; Gowthamarajan, K.; Senthil, V.; Jain, K.; Sood, S.; Pathak, D. Novel anionic polymer as a carrier for CNS delivery of anti-Alzheimer drug. Drug Deliv. 2016, 23, 3471–3479. [Google Scholar] [CrossRef]
- Silva, R.O.; Counil, H.; Rabanel, J.-M.; Haddad, M.; Zaouter, C.; Khedher, M.R.B.; Patten, S.A.; Ramassamy, C. Donepezil-loaded nanocarriers for the treatment of Alzheimer’s disease: Superior efficacy of extracellular vesicles over polymeric nanoparticles. Int. J. Nanomed. 2024, 19, 1077–1096. [Google Scholar] [CrossRef] [PubMed]
- Topal, G.R.; Mészáros, M.; Porkoláb, G.; Szecskó, A.; Polgár, T.F.; Siklós, L.; Deli, M.A.; Veszelka, S.; Bozkir, A. ApoE-targeting increases the transfer of solid lipid nanoparticles with donepezil cargo across a culture model of the blood–brain barrier. Pharmaceutics 2021, 13, 38. [Google Scholar] [CrossRef] [PubMed]
- Topal, G.R.; Kücüktürkmen, B.; Öz, U.C.; Özkan, E.; Bakar-Ates, F.; Bozkir, A. Investigation on formulation parameters of donepezil HCl loaded solid lipid nanoparticles. Braz. J. Pharm. Sci. 2023, 59, e22330. [Google Scholar] [CrossRef]
- Tao, X.; Mao, S.; Zhang, Q.; Yu, H.; Li, Y.; He, X.; Yang, S.; Zhang, Z.; Yi, Z.; Song, Y.; et al. Brain-targeted polysorbate 80-emulsified donepezil drug-loaded nanoparticles for neuroprotection. Nanoscale Res. Lett. 2021, 16, 132. [Google Scholar] [CrossRef]
- Akyol, E.; Senol, S.; Dogan, Ö. Controlled release of donepezil hydrochloride from the ternary sodium alginate based hydrogels. Bulg. Chem. Commun. 2017, 49, 57–63. [Google Scholar]
- Ruela, A.L.; Carvalho, F.C.; Pereira, G.R. Exploring the phase behavior of monoolein/oleic acid/water Systems for enhanced donezepil administration for Alzheimer disease treatment. J. Pharm. Sci. 2016, 105, 71–77. [Google Scholar] [CrossRef]
- Bulut, E.; Sanli, O. Delivery of Alzheimer’s drug donepezil hydrochloride from ionically crosslinked alginate microspheres prepared by water-in-oil emulsion technique: Optimization of release conditions. Asian J. Chem. 2013, 25, 3993–4000. [Google Scholar] [CrossRef]
- Kaikousidis, C.; Papakyriakopoulou, P.; Dokoumetzidis, A.; Valsami, G. Donepezil brain and blood pharmacokinetic modeling after nasal film and oral solution administration in mice. Pharmaceutics 2023, 15, 1409. [Google Scholar] [CrossRef]
- Papakyriakopoulou, P.; Balafas, E.; Colombo, G.; Rekkas, D.M.; Kostomitsopoulos, N.; Valsami, G. Nose-to-brain delivery of donepezil hydrochloride following administration of an HPMC-Me-β-CD-PEG400 nasal film in mice. J. Drug Deliv. Sci. Technol. 2023, 84, 104463. [Google Scholar] [CrossRef]
- Espinoza, L.C.; Guaya, D.; Calpena, A.C.; Perotti, R.M.; Halbaut, L.; Sosa, L.; Brito-Llera, A.; Mallandrich, M. Comparative study of donepezil-loaded formulations for the treatment of Alzheimer’s disease by nasal administration. Gels 2022, 8, 715. [Google Scholar] [CrossRef]
- Zhang, P.; Chen, L.; Gu, W.; Xu, Z.; Gao, Y.; Li, Y. In vitro and in vivo evaluation of donepezil-sustained release microparticles for the treatment of Alzheimer’s disease. Biomaterials 2007, 28, 1882–1888. [Google Scholar] [CrossRef] [PubMed]
- Kearney, M.-C.; Caffarel-Salvador, E.; Fallows, S.J.; McCarthy, H.O.; Donnelly, R.F. Microneedle-mediated delivery of donepezil: Potential for improved treatment options in Alzheimer’s disease. Eur. J. Pharm. Biopharm. 2016, 103, 43–50. [Google Scholar] [CrossRef] [PubMed]
- Bruschi, M.L. Strategies to Modify the Drug Release from Pharmaceutical Systems; Woodhead Publishing: Cambridge, UK, 2015; pp. 63–86. [Google Scholar]
- Trucillo, P. Drug carriers: A review on the most used mathematical models for drug release. Processes 2022, 10, 1094. [Google Scholar] [CrossRef]
- Khanday, M.A.; Rafiq, A.; Nazir, K. Mathematical models for drug diffusion through the compartments of blood and tissue medium. Alex. J. Med. 2017, 53, 245–249. [Google Scholar] [CrossRef]
- Shyamsunder, S.; Bhatter, K.J.; Purohit, S.D. Fractionalized mathematical models for drug diffusion. Chaos Solitons Fractals 2022, 165, 112810. [Google Scholar] [CrossRef]
- Alijani, Z.; Shiri, B.; Perfilieva, I.; Baleanu, D. Numerical solution of a new mathematical model for intravenous drug administration. Evol. Intel. 2024, 17, 559–575. [Google Scholar] [CrossRef]
- Hodgkin, A.L.; Huxley, A.F. A quantitative description of membrane current and its application to conduction and excitation in nerve. J. Physiol. 1952, 117, 500–544. [Google Scholar] [CrossRef]
- Wei, Y.; Ullah, G.; Schiff, S.J. Unification of neuronal spikes, seizures, and spreading depression. J. Neurosci. 2014, 34, 11733–11743. [Google Scholar] [CrossRef]
- Perez, C.; Ziburkus, J.; Ullah, G. Analyzing and modeling the dysfunction of inhibitory neurons in Alzheimer’s disease. PLoS ONE 2016, 11, e0168800. [Google Scholar] [CrossRef]
- Adeoye, T.; Shah, S.I.; Demuro, A.; Rabson, D.A.; Ullah, G. Upregulated Ca2+ release from the endoplasmic reticulum leads to impaired presynaptic function in familial Alzheimer’s disease. Cells 2022, 11, 2167. [Google Scholar] [CrossRef]
- Gupta, S.; Singh, J.; Kumar, K. Ionic concentration and action potential differences between a healthy and Alzheimer’s disease person. In Proceedings of the 5th International Conference on Recent Developments in Science, Engineering and Technology (REDSET 2019), Gurugram, India, 15–16 November 2019; Batra, U., Roy, N., Panda, B., Eds.; Communications in Computer and Information Science. Springer Nature: Cham, Switzerland, 2020; Volume 1229, pp. 266–277. [Google Scholar]
- Purves, D.; Augustine, G.J.; Fitzpatrick, D.; Katz, L.C.; LaMantia, A.-S.; McNamara, J.O.; Williams, S.M. Cholinergic Receptors. In Neuroscience, 2nd ed.; Sinauer Associates: Sunderland, MA, USA, 2001. [Google Scholar]
- Zoli, M.; Pucci, S.; Vilella, A.; Gotti, C. Neuronal and extraneuronal nicotinic acetylcholine receptors. Curr. Neuropharmacol. 2018, 16, 338–349. [Google Scholar] [PubMed]
- Metzler, R.; Klafter, J. The restaurant at the end of the random walk: Recent developments in the description of anomalous transport by fractional dynamics. J. Phys. A Math. Gen. 2004, 37, R161. [Google Scholar]
- Mainardi, F. Fractional Calculus and Waves in Linear Viscoelasticity; Imperial College Press: London, UK, 2010. [Google Scholar]
- Drapaca, C.S. Fractional calculus in neuronal electromechanics. J. Mech. Mater. Struct. 2017, 12, 35–55. [Google Scholar] [CrossRef]
- Drapaca, C.S. A nitric oxide-modulated variable-order fractional Maxwell viscoelastic model of cerebral vascular walls. Front. Mech. Eng 2021, 7, 674860. [Google Scholar]
- Samko, S.; Kilbas, A.A.; Marichev, O.I. Fractional Integrals and Derivatives: Theory and Applications; Gordon and Breach Science Publishers: London, UK, 2000. [Google Scholar]
- Gorenflo, R.; Mainardi, F. Fractional calculus: Integral and differential equations of fractional order. In Fractals and Fractional Calculus in Continuum Mechanics; Carpinteri, A., Mainardi, F., Eds.; Springer: Wien, Austria; New York, NY, USA, 1997; pp. 223–276. [Google Scholar]
- Sambandham, B.; Vatsala, A.S. Basic results for sequential Caputo fractional differential equations. Mathematics 2015, 3, 76–91. [Google Scholar] [CrossRef]
- Sun, H.G.; Chang, A.; Zhang, Y.; Chen, W. A review on variable-order fractional differential equations: Mathematical foundations, physical models, numerical methods and applications. Fract. Calc. Appl. Anal. 2019, 22, 27–59. [Google Scholar]
- Patnaik, S.; Hollkamp, J.P.; Semperlotti, F. Applications of variable-order fractional operators: A review. Proc. R. Soc. A 2020, 476, 20190498. [Google Scholar]
- Moghaddam, B.P.; Machado, J.A.T. Extended algorithms for approximating variable order fractional derivatives with applications. J. Sci. Comput. 2017, 71, 1351–1374. [Google Scholar]
- Baleanu, D.; Diethelm, K.; Scalas, E.; Trujillo, J.J. Fractional Calculus Models and Numerical Methods; World Scientific: Hackensack, NJ, USA, 2012. [Google Scholar]
- Atangana, A.; Secer, A. A note on fractional order derivatives and table of fractional derivatives of some special functions. Abstr. Appl. Anal. 2013, 2013, 279681. [Google Scholar]
- Haar, A. Zur Theories der orthogonalen Funktionensystem. Math. Annal. 1910, 69, 331–371. [Google Scholar] [CrossRef]
- Volker, M. Lectures on Constructive Approximation: Fourier, Spline, and Wavelet Methods on the Real Line, the Sphere, and the Ball; Birkhauser: Boston, MA, USA, 2013. [Google Scholar]
- Addison, P.S. The Illustrated Wavelet Transform Handbook Introductory Theory and Applications in Science, Engineering, Medicine and Finance, 2nd ed.; CRC Press: Boca Raton, FL, USA, 2020. [Google Scholar]
- Chen, C.F.; Hsiao, C.H. Haar wavelet method for solving lumped and distributed-parameter system. IEEE Proc. Control Theory Appl. 1997, 144, 87–94. [Google Scholar] [CrossRef]
- Lepik, U. Numerical solution of differential equations using Haar wavelets. Math. Comput. Simul. 2005, 68, 127–143. [Google Scholar] [CrossRef]
- Lepik, U. Solving differential and integral equations by the Haar wavelet method; revisited. Int. J. Math. Comput. 2008, 1, 43–52. [Google Scholar]
- Aziz, I.; Amin, R. Numerical solution of a class of delay differential and delay partial differential equations via Haar wavelet. Appl. Math. Model. 2016, 40, 10286–10299. [Google Scholar] [CrossRef]
- Gupta, A.K.; Ray, S.S. Wavelet methods for solving fractional order differential equations. Math. Probl. Eng. 2014, 2014, 140453. [Google Scholar] [CrossRef]
- Heil, C. A Basis Theory Primer: Expanded Edition (Applied and Numerical Harmonic Analysis); Birkhauser: Boston, MA, USA, 2010. [Google Scholar]
- The MathWorks Inc. MATLAB, version 24.1.0.2537033 (R2024a); The MathWorks Inc.: Natick, MA, USA, 2024. [Google Scholar]
- Ramirez, L.; Coimbra, C. On the selection and meaning of variable order operators for dynamic modeling. Int. J. Diff. Equ. 2010, 2010, 846107. [Google Scholar] [CrossRef]
- Lorenzo, C.F.; Hartley, T.T. Variable order and distributed order fractional operators. Nonlinear Dyn. 2002, 29, 57–98. [Google Scholar] [CrossRef]
- Sun, H.; Chen, W.; Wei, H.; Chen, Y. A comparative study of constant-order and variable-order fractional models in characterizing memory property of systems. Eur. Phys. J. Spec. Top. 2011, 193, 185–192. [Google Scholar] [CrossRef]
- Bazhlekova, E.; Bazhlekov, I. Stokes’ first problem for viscoelastic fluids with a fractional Maxwell model. Fractal Fract. 2017, 1, 7. [Google Scholar] [CrossRef]
- Findley, W.N.; Lai, J.S.; Onaran, K. Creep and Relaxation of Nonlinear Viscoelastic Materials—With an Introduction to Linear Viscoelasticity; Dover Publications: Garden City, NY, USA, 1989. [Google Scholar]
- Pipkin, A.; Rogers, T. A non-linear integral representation for viscoelastic behavior. J. Mech. Phys. Solids 1968, 16, 59–72. [Google Scholar] [CrossRef]
- Fréchet, M. Sur les fonctionnelles continues. Ann. De L’Ecole Norm. 1910, 3, 193–216. [Google Scholar] [CrossRef]
- Volterra, V. Theory of Functionals and the Integral and Integro-Differential Equations; Dover Publications: Garden City, NY, USA, 1959. [Google Scholar]
- Bonilla, B.; Rivero, M.; Trujillo, J.J. On systems of linear fractional differential equations with constant coefficients. Appl. Math. Comput. 2007, 187, 68–78. [Google Scholar] [CrossRef]
- Odibat, Z.M. Analytic study on linear systems of fractional differential equations. Comput. Math. Appl. 2010, 59, 1171–1183. [Google Scholar] [CrossRef]
- Wineman, A.S.; Rajagopal, K.R. Mechanical Response of Polymers: An Introduction, 1st ed.; Cambridge University Press: Cambridge, UK, 2000. [Google Scholar]
- Lehmann-Horn, F.; Jurkat-Rott, K. Voltage-gated ion channels and hereditary disease. Physiol. Rev. 1999, 79, 1317–1372. [Google Scholar] [CrossRef] [PubMed]
- Gautieri, A.; Vesentini, S.; Redaelli, A.; Buehler, M.J. Viscoelastic properties of model segments of collagen molecules. Matrix Biol. 2012, 31, 141–149. [Google Scholar] [CrossRef] [PubMed]
- Hayek, N.; Trujillo, J.J.; Rivero, M.; Bonilla, B.; Moreno, J.C. An extension of Picard–Lindeloff theorem to fractional differential equations. Appl. Anal. 1999, 70, 347–361. [Google Scholar] [CrossRef]
- Almeida, R.; Malinowska, A.B.; Odzijewicz, T. On systems of fractional differential equations with the ψ-Caputo derivative and their applications. Math. Meth. Appl. Sci. 2021, 44, 8026–8041. [Google Scholar] [CrossRef]
- Shampine, L.F.; Reichelt, M.W. The MATLAB ODE suite. SIAM J. Sci. Comput. 1997, 18, 1–22. [Google Scholar] [CrossRef]
- Garrappa, R. Numerical solution of fractional differential equations: A survey and a software tutorial. Mathematics 2018, 6, 16. [Google Scholar] [CrossRef]
- LeVeque, R.J. Finite Difference Methods for Ordinary and Partial Differential Equations: Steady-State and Time-Dependent Problems, 1st ed.; Society for Industrial and Applied Mathematics: Philadelphia, PA, USA, 2007; pp. 254–258. [Google Scholar]
- Gupta, A.; Uthayaseelan, K.; Uthayaseelan, K.; Kadari, M.; Subhan, M.; Saji Parel, N.; Krishna, P.V.; Sange, I. Alzheimer’s disease and stroke: A tangled neurological conundrum. Cureus 2022, 14, e25005. [Google Scholar] [CrossRef]
- Montagne, A.; Zhen Zhao, Z.; Zlokovic, B.V. Alzheimer’s disease: A matter of blood–brain barrier dysfunction? J. Exp. Med. 2017, 214, 3151–3169. [Google Scholar] [CrossRef] [PubMed]
- Alkhalifa, A.E.; Al-Ghraiybah, N.F.; Odum, J.; Shunnarah, J.G.; Austin, N.; Kaddoumi, A. Blood–brain barrier breakdown in Alzheimer’s disease: Mechanisms and targeted strategies. Int. J. Mol. Sci. 2023, 24, 16288. [Google Scholar] [CrossRef] [PubMed]
- Renganathan, M.; Cummins, T.R.; Waxman, S.G. Contribution of Nav 1.8 sodium channels to action potential electrogenesis in DRG neurons. J. Neurophysiol. 2001, 86, 629–640. [Google Scholar] [CrossRef] [PubMed]
- Waxman, S.G. Sodium channels as molecular targets in multiple sclerosis. J. Rehabil. Res. Dev. 2002, 39, 233–242. [Google Scholar] [PubMed]
- Stafstrom, C.E. Persistent sodium current and its role in epilepsy. Epilepsy Curr. 2007, 7, 15–22. [Google Scholar] [CrossRef] [PubMed]
- Phelan, K.; Mock, M.; Kretz, O.; Shwe, U.; Kozhemyakin, M.; Greenfield, L.; Dietrich, A.; Birnbaumer, L.; Freichel, M.; Flockerzi, V.; et al. Heteromeric canonical transient receptor potential 1 and 4 channels play a critical role in epileptiform burst firing and seizure-induced neurodegeneration. Mol. Pharmacol. 2011, 81, 384–392. [Google Scholar] [CrossRef]
- Hubel, N.; Hosseini-Zare, M.S.; Ziburkus, J.; Ullah, G. The role of glutamate in neuronal ion homeostasis: A case study of spreading depolarization. PLoS Comput. Biol. 2017, 13, e1005804. [Google Scholar] [CrossRef]
- Liu, Y.; Liu, S.; Zhan, F.; Zhang, X. Firing patterns of the modified Hodgkin-Huxley model subject to Taylor’s formula. Phys. A 2020, 547, 124405. [Google Scholar] [CrossRef]
- Fang, X.; Duan, S.; Wang, L. Memristive Hodgkin-Huxley spiking neuron model for reproducing neuron behaviors. Front. Neurosci. 2021, 15, 730566. [Google Scholar] [CrossRef]
- Robertson-Anderson, R.M. Optical tweezers microrheology: From the basics to advanced techniques and applications. ACS Macro Lett. 2018, 7, 968–975. [Google Scholar] [CrossRef]
- Lenton, I.C.D.; Scott, E.K.; Rubinsztein-Dunlop, H.; Favre-Bulle, I.A. Optical tweezers exploring neuroscience. Front. Bioeng. Biotechnol. 2020, 8, 602797. [Google Scholar] [CrossRef]
- Kumar, R.; Valerio Vitali, V.; Wiedemann, T.; Robert Meissner, R.; Paolo Minzioni, P.; Denz, C. Multi-frequency passive and active microrheology with optical tweezers. Sci. Rep. 2021, 11, 13917. [Google Scholar] [CrossRef]
- Kennedy, B.F. Optical Coherence Elastography: Imaging Tissue Mechanics on the Micro-Scale; AIP Publishing LLC: Melville, NY, USA, 2021. [Google Scholar]

















| Parameters | Values and Physical Units [Reference] | Description |
|---|---|---|
| [43] | Normal resting potential | |
| [43] | Reversal potential of persistent sodium current | |
| [43] | Reversal potential of potassium current | |
| [43] | Reversal potential of chloride current | |
| [43] | Maximal conductance of sodium current | |
| [43] | Maximal conductance of potassium current | |
| [43] | Conductance of leak sodium current | |
| [43] | Conductance of leak potassium current | |
| [43] | Conductance of leak chloride current | |
| [43] | Membrane capacitance | |
| I | [43] | Applied current |
| Parameters | Values and Physical Units [Reference] | Description |
|---|---|---|
| [32] | Absorption rate through the depot | |
| [32] | Elimination rate in the blood | |
| [32] | Transfer rate from blood to brain | |
| [32] | Transfer rate from blood to periphery | |
| [32] | Transfer rate from periphery to blood | |
| [32] | Elimination rate in the brain | |
| 279 mL [32] | Volume of distribution in blood | |
| 18 mL [32] | Volume of distribution in brain | |
| [31,32] | Exponent of release |
| p | ||
|---|---|---|
| (≈1) |
Disclaimer/Publisher’s Note: The statements, opinions and data contained in all publications are solely those of the individual author(s) and contributor(s) and not of MDPI and/or the editor(s). MDPI and/or the editor(s) disclaim responsibility for any injury to people or property resulting from any ideas, methods, instructions or products referred to in the content. |
© 2024 by the author. Licensee MDPI, Basel, Switzerland. This article is an open access article distributed under the terms and conditions of the Creative Commons Attribution (CC BY) license (https://creativecommons.org/licenses/by/4.0/).
Share and Cite
Drapaca, C.S. A Mathematical Study of Effects of Alzheimer’s Drug Donepezil Hydrochloride on Neuronal Viscoelasticity and Action Potentials. Math. Comput. Appl. 2024, 29, 117. https://doi.org/10.3390/mca29060117
Drapaca CS. A Mathematical Study of Effects of Alzheimer’s Drug Donepezil Hydrochloride on Neuronal Viscoelasticity and Action Potentials. Mathematical and Computational Applications. 2024; 29(6):117. https://doi.org/10.3390/mca29060117
Chicago/Turabian StyleDrapaca, Corina S. 2024. "A Mathematical Study of Effects of Alzheimer’s Drug Donepezil Hydrochloride on Neuronal Viscoelasticity and Action Potentials" Mathematical and Computational Applications 29, no. 6: 117. https://doi.org/10.3390/mca29060117
APA StyleDrapaca, C. S. (2024). A Mathematical Study of Effects of Alzheimer’s Drug Donepezil Hydrochloride on Neuronal Viscoelasticity and Action Potentials. Mathematical and Computational Applications, 29(6), 117. https://doi.org/10.3390/mca29060117
