Next Article in Journal
Human Activity Recognition from Accelerometry, Based on a Radius of Curvature Feature
Next Article in Special Issue
Latent Space Perspicacity and Interpretation Enhancement (LS-PIE) Framework
Previous Article in Journal
Surrogate-Assisted Symbolic Time-Series Discretization Using Multi-Breakpoints and a Multi-Objective Evolutionary Algorithm
Previous Article in Special Issue
Machine Learning Based Extraction of Boundary Conditions from Doppler Echo Images for Patient Specific Coarctation of the Aorta: Computational Fluid Dynamics Study
 
 
Font Type:
Arial Georgia Verdana
Font Size:
Aa Aa Aa
Line Spacing:
Column Width:
Background:
Article

Analysis and Design for a Wearable Single-Finger-Assistive Soft Robotic Device Allowing Flexion and Extension for Different Finger Sizes

by
Sung bok Chung
* and
Martin Philip Venter
*
Department of Mechanical and Mechatronic Engineering, Stellenbosch University, Private Bag X1, Matieland, Stellenbosch 7602, South Africa
*
Authors to whom correspondence should be addressed.
Math. Comput. Appl. 2024, 29(5), 79; https://doi.org/10.3390/mca29050079
Submission received: 31 May 2024 / Revised: 9 September 2024 / Accepted: 11 September 2024 / Published: 12 September 2024

Abstract

This paper proposes a design framework to create individualised finger actuators that can be expanded to a generic hand. An actuator design is evaluated to help a finger achieve tendon-gliding exercises (TGEs). We consider musculoskeletal analysis for different finger sizes to determine joint forces while considering safety. The simulated Finite Element Analysis (FEA) response of a bi-directional Pneumatic Network Actuator (PNA) is mapped to a reduced-order model, creating a robust design tool to determine the bending angle and moment generated for actuator units. A reduced-order model is considered for both the 2D plane-strain formulation of the actuator and a full 3D model, providing a means to map between the results for a more accurate 3D model and the less computationally expensive 2D model. A setup considering a cascade of reduced-order actuator units interacting with a finger model determined to be able to achieve TGE was validated, and three exercises were successfully achieved. The FEA simulations were validated using the bending response of a manufactured actuator interacting with a dummy finger. The quality of the results shows that the simulated models can be used to predict the behaviour of the physical actuator in achieving TGE.

Graphical Abstract

1. Introduction

The inherently compliant nature of biologically inspired robotic systems opens the potential for safe human-to-machine interaction, and enables robots to conform to wearable devices [1]. Soft robotic actuator-powered hand exoskeletons have a range of applications, with hand rehabilitation and assistive devices being one focus within the broader field.
A review conducted in 2021 on assistive hand exoskeletons for rehabilitation identifies that soft robotic gloves mainly presented little to no consideration for the interaction between the human finger and soft robotic actuators, depending primarily on actuator control strategies to fit one patient’s hand for one specific motion [2]. Such limitations provide restrictions when performing desirable rehabilitation exercises, such as tendon-gliding [3], which require varying kinematic configurations of the fingers.
Tendon gliding exercises (TGE) maintain finger motor function and reduce pain necessary after brachial plexus injuries [4]. In this context, the hand itself is uninjured but requires therapy. A tendon-gliding rehabilitation device will allow patients to rehabilitate themselves with a therapist’s guidance or independently when therapists are unavailable. Figure 1 depicts the target kinematic orientations required to achieve tendon-gliding exercises [3,5,6], with the target angles presented in Table 1.
Simulating soft actuators with fingers has largely been neglected due to the complex anatomical structure of the hand, which includes a high degree of freedom (DoF) and range of motion (RoM), as well as the non-linear actuator response of muscles and tendons [2]. Dynamic musculoskeletal models exist that consider the expected muscle–tendon response, but must still be coupled to the soft actuator’s bending response to determine how the integrated system will bend.
There is a need to create a finger rehabilitation device which can be used to help patients perform tendon-gliding exercises. Furthermore, this device must easily adapt to fit different patient’s finger anthropometry. To solve this problem, the proposed process is to adapt different tools to create an environment that allows for design conceptualisation, development, and verification for a finger rehabilitation device. The full pipeline for achieving TGE for a patient’s entire hand is illustrated in Figure 2. Although this figure outlines the entire pipeline, the paper will focus on a limited scope. Specifically, it will consider a range of measurements from the literature for the middle finger, concentrating on one average finger size. It is proposed that this pipeline can be applied to all fingers of the hand to create a customised rehabilitation device for achieving TGE for the specific patient. The study will investigate the response of a Pneumatic Network Actuator (PNA), a commonly used soft actuator technology for hand-assistive soft robotic gloves [2], with fixed dimensions and configuration (number of actuator segments). While the paper uses PNAs, other soft actuator technologies could also be applied in principle. The final step of testing on a patient’s hand and fine-tuning the control will not be performed. The actuator will only be manufactured and tested with a dummy finger to assess device safety.
The ARMS dynamic musculoskeletal model [7] will be used to extract data on the bending response of fingers. The ARMS model was selected as it allows for the human hand and wrist analysis, considering all its degrees of freedom and range of motion. It is developed using isometric strength data obtained from healthy young adults, and can simulate the expected bending response of a healthy hand [7,8]. Musculoskeletal passive reaction moment results will be used to model the joint bending response during passive hand rehabilitation. Active reaction moment results will be used to determine safety limits, as maximal forces exerted by muscles should not be exceeded. The model enables patient-specific analysis by scaling finger anthropometry to fit the measurements of an individual patient.
The plan of the paper is as follows. In Section 1, an overview of the consideration for musculoskeletal analysis is provided. A method of inferring bone positions from external finger positions is presented, generating population data for a range of joints. Steps taken to scale the model considering adjustments made to finger dimensions are described. ANOVA analysis of the response models, considering finger reaction moments, is presented. Section 3 considers a generic actuator topology for a PNA design that can meet the TGE requirements. Finite Element Analysis (FEA) generates data by simulating the PNA bending response. The bending response for three actuator units is investigated, and a reduced-order model for the change in moment and bending angle for a single actuator unit is built. Details on the design setup to meet TGE requirements are investigated. Finally, Section 4 will verify the bending response of the final design. A dummy finger mimicking the results obtained for the fingers will be evaluated with a manufactured actuator of the final design. Fine-tuning necessary to achieve TGE for the verification setup will be presented.

2. Musculoskeletal Analysis (OpenSim)

OpenSim, a biomedical musculoskeletal open-source analysis software, enables analysis and simulation of the dynamic movement of the human body [9]. In addition, it allows for determining internal loading’s within the musculoskeletal system. The pipeline used within OpenSim for this project is shown in Figure 3. OpenSim was chosen over other methods, such as focusing solely on tip force [10], because a comprehensive moment analysis across the full range of motion (RoM) for each joint was required.
The primary objective of the OpenSim pipeline is to generate torsional spring curves for the fingers, drawing from a dataset of muscle responses from healthy patients. We can use these curves to develop a model that represents the expected response of the fingers in FEA. To establish stiffness relations for the finger, we must determine moment vs. angle curves based on data collected from a subset of patients.
Figure 4 identifies the mechanism responsible for performing finger extension and flexion for the middle finger [11].
The list of muscles considered in OpenSim for our study includes the flexor digitorum superficialis, flexor digitorum profundus, flexor retinaculum, extensor digitorum, and lumbrical muscles.
Each finger of the human hand, excluding the thumb, comprises three joints consisting of the distal interphalangeal (DIP), proximal interphalangeal (PIP), and metacarpophalangeal (MCP) joints. The MCP joint is closest to the knuckle, while the DIP joint is near the finger’s tip. The PIP joint is placed between the MCP and DIP joints. Muscles act on the hand through the MCP, DIP, and PIP joints to create motion.

2.1. Finger Anthropometry Measurements

Hand assistive gloves need to consider the anthropometry of human hands as the lengths, breadth, and height of fingers differ from person to person. A hand anthropometry survey was made for a Spanish population (70 males, 69 females) [12]. Measurements of the fingers of the hand were taken for each finger’s length, breadth, and width. Joint measurements considering the 95th and 5th percentile, and the mean were considered for the middle finger. Although Vergara [12] included measurements for all fingers, in this study, we chose to focus on the middle finger as a single representative case detailed in Table 2. Figure 5 denotes the measurements made and the respective codes used in Table 2.
The code used to notate the hand dimensions consisted of the nature of the dimension (D: depth, L: length, B: breadth/width) and the finger considered (1: thumb, 2: index finger, 3: middle finger, 4: ring finger, 5: little finger) followed by the finger anthropometry measured for either the phalanges (PP, MP, DP), metacarpal (MC), or joints (MCP, PIP, DIP). Length measurements were only considered for the dorsal side of the hand for our study [12].

2.2. Musculoskeletal Model Scaling to Determine the Bending Response for Different Finger Sizes

Two options are available to assess the finger’s bending response: physical testing through clinical trials or virtual testing. Our study chose virtual testing because the model has already been validated [7], developed using isometric muscle contraction from healthy patients. Virtual testing also allows us to run predictive models and test multiple variations without needing multiple clinical assessments or trials. We use the ARMS model within the limits defined in the initial validation. The ranges of operation for each joint of the fingers include between −45° and 90° for the MCP joint, between 0° and 100° for the PIP joint, and between 0° and 80° for the DIP joint. Only scaling the musculoskeletal model to match patients’ finger anthropometry is required to utilise the models.
In the context of OpenSim simulations, the term “scaling” refers to a fundamental process involving the adjustment of a generic musculoskeletal model’s dimensions to align with the anatomical characteristics of an individual’s body. This procedure enables the development of subject-specific models to determine the expected biomechanical behaviours for an individual’s anatomical features.
Scaling is performed by relating experimental to virtual marker placement and determining a scaling factor for each axis of the body of interest [13]. Surface-level measurements need to be used to scale musculoskeletal models to consider for measurements made on a patient’s hand. The methodology used by Chang [14] was adapted to relate the bone-to-surface measurements using X-ray scans. Open source X-ray scans [15,16] were superimposed over the skeletal ARMS middle finger model. The positions of the bones were scaled such that the X-ray images would match the positions for the ARMS bone model. The ratio relating the placement of surface markers to the bones was kept constant when considering altered finger dimensions. The side and top views are shown in Figure 6a,b for the superimposed image.
The manual scaling process in OpenSim followed Seth [13]. We used the relationship s k = E M k / V M k , where s k is the scaling factor for the kth marker, E M k is the experimental marker position (measured), and V M k is the position of the virtual marker on the OpenSim model. The overall scale factor is determined to be the average of the scale factors computed for all pairs of interest, described by the equation s t o t = ( s 1 + s 2 + + s i ) / i for i markers, where s t o t is the final scaling factor for the body of interest. Scaling is performed over each local coordinate system of interest.
An association is made that a relationship exists between the finger lengths of the phalanges [17]. The PP length is equal to the summation of the MP and DP lengths. Similarly, a ratio of 1.3 was determined between the MP and DP lengths. Using the assumption that a relationship exists between finger measurements, each dimension for breadth, depth and length was adjusted in groups using a ratio. Finger measurements were scaled using two standard deviations above and below the mean.
A tool is needed to easily predict joint forces and ensure safety based on a patient’s hand dimensions. This tool will simplify the initial complex procedures to determine the forces applied at joints, improving design robustness and accessibility. Response Surface Methodology [18] was used to create predictor models using the results obtained from the musculoskeletal analysis. Data were collected using a Central Composite Design (CCD) [18] using an alpha value of 1.414, considering three variables (finger depth, length and breadth). Finger dimensions were altered from a minimum range of −1 to a maximum of 1, with one unit being a change of two standard deviations from the mean, given in Table 2.
Table 3 and Table 4 provides details on the values input into OpenSim for scaling of each body’s axes. The calculated scaling values for the MC, PP, MP, and DP bones are presented in both Table 3 and Table 4. After setting up a scaled ARMS model in OpenSim, the expected moment response over the range of motion (RoM) for the joints of interest was obtained. These results are based on established muscle contraction data used to build the OpenSim ARMS model [8], with different joint moments being obtained through model scaling.
The force responses in both active and passive scenarios are illustrated as determined by varying activation energies (AE). An AE of 1 represents the active maximal isometric contraction response of muscles, while an AE of 0.01 characterises the passive response, simulating the hand at rest. In the case of the passive response, the moment vs. flexion curve can be understood as a torsional spring-like response. It represents the force applied at joints, aiming to return the finger to its resting position. How altered finger dimensions affect joint moment at discrete joint rotation angles required to achieve TGE specified by Table 1 was investigated.
Figure 7 shows an example of outcomes related to CCD marker points, using values from Table 3 and Table 4, with results for the MCP joint derived from the scaled OpenSim ARMS model. This figure also illustrates the response to maximal variable changes in the CCD design, displaying the effects of altering individual variables relative to the unaltered origin CCD marker. The code used in Figure 7 indicates the dimension considered (‘D’—depth, ‘L’—length, ‘B’—breadth) for the first digit and the change considered from the mean dimension (‘m’—minus two standard deviations, ‘M’—add two standard deviations) for the second digit. The plots were used to gain insight on the response, discerning patterns and trends, which may indicate the suitability of investigating different predictor models. Altering dimensions did not change the shape profile for curves, only increasing or slightly shifting joint reaction moment values. As the stiffness at discrete target rotation angles is of interest, investigating multiple regression fits may be suitable. A trend was observed where an increase or decrease in finger dimensions related to an equivalent change to the force loading condition. Only dimensions for finger breadth were identified to have almost no contribution to altering the loading at fingers. Similar trends were observed when considering the response for the PIP and DIP joints.

2.3. Predictive Modelling for Joint Reaction Moments and Safety Values

Predictive models estimating the reaction moments at joints for varied finger anthropometry are investigated. Reaction moments for passive joint rotation at specific target flexion values needed to achieve TGE requirements at joints were used to create predictive models. The active moment at maximal flexion/extension values was used to create predictive models, considering a safety threshold for forces applied. We explored first and second-order regression models, considering the main and interaction effects between variables [18,19]. The R2 and p-value, used in Analysis of Variance (ANOVA), will be used to investigate model suitability and fit.
ANOVA employs a significance test for regression to determine whether a linear relationship exists between a response variable and multiple regressor variables [20]. A p-value less than 0.05 will indicate that the model fit represents a genuine relationship rather than occurring by random chance [21]. The select p-value was adapted from Zeni [22] also investigating joint loading.
The R2 values for joint reaction forces ranged from a minimum of 0.8344 to a maximum of 0.9998. All models were able to maintain a p-value less than 0.02. The worst-performing model could account for 83% of the variance, with the data being statistically significant. The ANOVA showed that the model fits are suitable for predicting joint reaction loads. As such, passive reaction moment model fits were used to determine the joint stiffness while still within the bounds of joint rotation limits. Active reaction moment model fits were used to determine the maximal reaction moment, which should be exerted once the finger reaches the joint rotation limit, whereafter a highly resistive stiffness behaviour is expected. One example result for the MCP joint passive moment at a bending angle of θ = 90 is presented in Equation (1), where the variable x presents the ratio of the dimensions used as determined in the CCD design ( x 1 = depth, x 2 = length, x 3 = breadth).
F P M C P ( x ) = β 0 + β 1 x 1 + β 2 x 1 2 + β 3 x 2 + β 4 x 1 x 2 + β 5 x 2 2 + β 6 x 3 + β 7 x 1 x 3 + β 8 x 2 x 3 + β 9 x 3 2 β 0 = 0.048476 , β 1 = 0.008818 , β 2 = 0.006835 , β 3 = 0.020887 , β 4 = 0.014348 , β 5 = 0.009934 , β 6 = 0.001582 , β 7 = 0.003365 , β 8 = 0.001682 , β 9 = 0.002228

3. Parametrizing the PNA Actuators Response to Achieve TGE (Finite Element Analysis)

In this section, we map the response of the PNA actuator to a reduced-order model, allowing conceptualisation of different actuator configurations aimed at achieving TGE. To characterise an actuator’s response as outlined in block 3 of Figure 2, the considerations shown in Figure 8 must be made. Block 3 focuses on determining tools to characterise the actuator’s response (shape and configuration) to meet TGE shape and power requirements. As described in Figure 8, this process involves: (3a) selecting the actuator technology; (3b) setting actuator shape requirements by determining its shape before and after pressurisation; (3c) obtaining finger dimensions and establishing the actuator-to-finger contact region; (3d) adjusting actuator unit dimensions (denoted as changes A, B, C); and, finally, (3e) configuring how the actuator units are combined and grouped. The behaviour of a soft robot is inherently encoded in its morphology, meaning its shape determines how it bends and moves. For parametric actuators, dimension changes directly influence their performance, allowing for specific bending behaviours based on the geometry. In addition to the morphology, the change in pressure gradient influences the actuator’s topology and power generation capability. Ideally, one could predict the response to all changes in actuator parameters and pressure control, similar to solving an equation. However, since soft robotics is an emerging field and characterising the non-linear response of materials is complex and computationally intensive, this paper will focus on characterising the response of a single finger. It will demonstrate how the pipeline was developed to characterise the bending response of one actuator with fixed dimensions and shape.
Non-linear FEA accounts for large deformations, non-linear material behaviours, and contact between bodies necessary to determine the response for compliant actuators [23,24]. The results obtained from non-linear FEA for a silicon actuator chamber are simplified to an actuator topology defined by its bending angle and moment generated. The reduced-order model determines an arrangement of actuator units that can satisfy the target bending angle and moment requirements to achieve TGE. Whether the conceptualised actuator arrangement can successfully achieve TGE is simulated by considering a finger model interacting with the soft actuator. This process is needed to reduce computational costs associated with performing non-linear FEA and improve design robustness, achieved by introducing a model which maps out a range of actuator responses using the results from FEA. MSC Marc/Mentat was used as the chosen FEA solver [25].

3.1. Conceptualizing a Soft Actuator to Achieve TGE Using Reduced-Order Models

Figure 9 presents the topology for a bi-directional PNA, being the actuator technology selected and investigated in our study [26,27]. A symmetrical body consisting of elastomer layers is presented above and below a strain-limiting layer that creates pressure gradients for bending.
The silicon elastomer Smooth-Sil 950 was considered in our study simulated using the Mooney–Rivlin hyperelastic material model [28]. The three-parameter Mooney–Rivlin model’s material coefficients considered are presented in Table 5. A density of 1240 kg / m 3 was considered for Smooth-Sil 950. A linear elastic material model was used for the strain-limiting layer. Young’s modulus of 1.2 GPa, 800 kg / m 3 density and Poisson’s ratio of 0.2 were used to model the strain-limiting layer [24]. Table 6 details the actuator dimensions considered in Figure 9. The presented topology will create a cascade of actuators that defines the final actuator that interacts with a finger model.
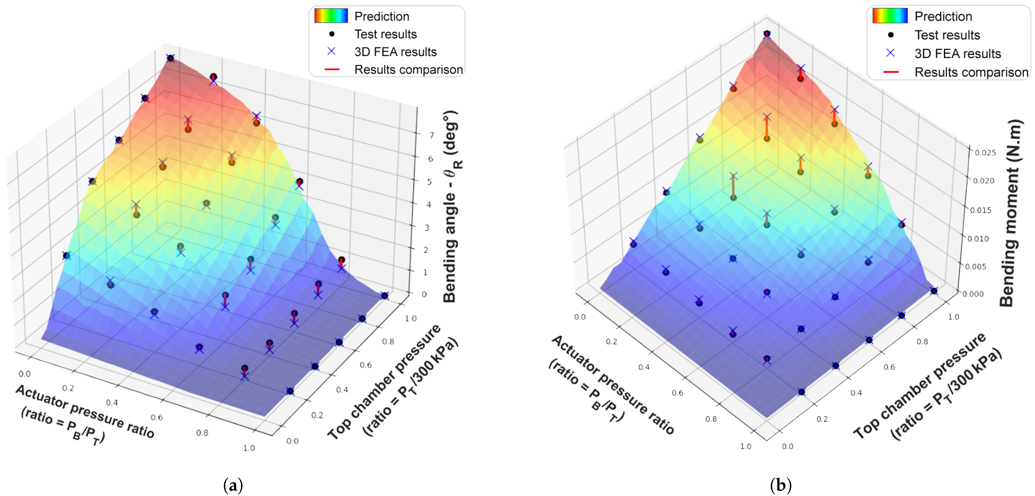
Figure 10 presents the FEA setup considering a 3D model meshed using hexahedral elements, which will be used to map a single chambers reduced-order model defined by an actuator length ( L R = depth + gap) and its bending angle ( θ R ). Three chambers were considered to preserve interactions between chambers influencing their bending behaviour. A fixed boundary condition was used to fix the left side of the actuator to the ground. Displacement between the actuator’s right side nodes was confined relative to each other, but the actuator side was permitted to rotate. An additional boundary condition was introduced to measure the bending moment, fixing the end of the mid chamber to measure its reaction loads. The bending moment was measured to be the sum of the reaction loads in the x-axis direction (shown in Figure 10) multiplied by its y-displacement relative to the strain-limiting layer y-axis position. Additionally, the moment generated by the reaction loads along the y-axis, multiplied by the length of a single actuator chamber (as shown in Figure 9), was taken into account. The total moment resulted from the combined effect of both the x-axis and y-axis reaction loads. Figure 11 presents the results obtained for the bending angle and moment generated for the reduced-order model.
The bi-directional PNA bends in two directions to help perform flexion and extension motions [26,27] or maintains a straight profile. Figure 11a shows that the maximum bending is achieved when the pressure gradient ratio is 0 for the maximum pressure considered (300 kPa). Increasing the pressure gradient, the actuator returns to a straight unbent profile. The symmetrical nature of the actuator allows bending to be considered in the opposite direction by switching the pressures applied at the top and bottom chambers. In Figure 11b, a maximal bending moment is generated with a pressure gradient ratio of 0 when considering a top chamber pressure of 300 kPa. With an increased pressure gradient, the moment in the top and bottom chambers cancel out where no bending moment is generated for a pressure gradient of 1. The Nearest Neighbours (NN) supervised machine learning classifier, considering four neighbour nodes (k = 4), was used to fit the data [30]. For the bending angle, an average R2 value of 0.99, Mean Absolute Error (MAE) of 0.01° and Root Mean Squared Error (RMSE) of 0.01° was observed using the 5-fold cross-validation approach [30]. An average R2 value of 0.99, MAE of 0.00067 N m and an RMSE of 0.0089 N m was observed for the bending moment. The results indicated that the NN prediction model could predict the bending angle and moment for the actuator chamber.
The FEA results for the reduced-order model (Figure 11) was validated using the experimental setup shown in Figure 12 and Figure 13. Figure 12 shows the predicted reduced-order model bending response compared to the true bending response of the PNA actuator. The method of measuring tip force (Figure 13), commonly used to determine a PNA’s moment generation capability in the literature [10], was used to determine how much moment was generated for the PNA. Eight cascaded chambers were used to determine the bending angle and moment generated. A scale was used to measure the tip force being applied, multiplied by the length of the eight cascaded PNA chambers (moment arm). The moment expected to be generated for each actuator was determined by dividing the total moment by the eight chambers being considered. Figure 14 presents the results comparing the experimental actuator response to the simulated response given in Figure 11. An R2 value of 0.9583 and an RMSE of 0.00136 N.m was obtained for the bending moment. An R2 value of 0.9877 and an RMSE of 0.279° was obtained for the bending angle. The results show that the FEA results reasonably predict the qualitative behaviour of the bending actuator and sufficiently predict the forces applied to the joints. Moreover, the error in bending remains much lower than the limit set by the active moments values set as safety limits for the fingers, further ensuring that the safety margin set has been adhered to.
Figure 15 illustrates the forces that must be considered to achieve the target bending angle at the joints for TGE. In the cascaded bi-directional PNA setup, it is essential to account for both the joint reaction moments (as determined by OpenSim results) and the actuator’s gravitational loads and finger’s gravitational loads. An additional length extending beyond the finger’s tip was included to accommodate the soft actuator’s arc-shaped bending profile based on the actuator length needed to achieve TGE4.
For each joint, the moment expected to be exerted by musculoskeletal influences was calculated using response surface regression models, such as Equation (1), based on the finger’s dimensions and target angle. The actuator topology capable of achieving TGE is first identified by summing the moments exerted by actuator units, starting from the left end of the actuator. The contact points where the actuator engages the finger determine which actuator units apply a moment to which joint. This contact point can be at the joint (with a slight offset) or further along the finger, such as in TGE2, where the moment generated by the actuator segment at the PIP joint also contributes to the MCP joint. The distribution of moments is determined by identifying which actuator segments apply force to each phalanx of the finger, divided by the joints. The effect of the actuator’s and finger weight on generating bending moments around the joints is also considered.
Using the moment and bending angle plots in Figure 11, a point is identified that meets both the bending moment and angle requirements. The analysis also accounts for the complex, non-uniform bending behaviour of actuator segments, where the segments exhibit different bending responses even with the same applied pressure. For instance, applying an external moment of 0.005 N·m to the actuator alters its position on the actuator moment graph (Figure 11b), resulting in a different bending angle in Figure 11a. This variation occurs even with the same pressure input because the externally applied moment adds to the bending caused by the pressure, resulting in a different bending angle for the actuator.
Adjustments to the moment were only considered along the axis direction of the top chamber pressure, keeping the actuator stiffness constant. The actuator’s starting position uses a sliding boundary condition, restricting movement to the actuator’s length direction for the unit on the left (starting position of the hand). This creates a reaction load that influences the bending response. Additionally, the point where the actuator attaches to the finger joint generates a reaction load that limits the bending moment. The effect of boundary conditions and actuator straps on the moment response was also considered, with residual moments being resolved by subsequent actuator segments.
Figure 16 presents a target setup for the reduced-order models to achieve TGE. The setup determined from Figure 16 was used to determine target bending moments, which must be achieved at each finger joint (MCP, PIP, DIP) for TGE. The focus was set on creating a single actuator that can be used to achieve TGE using varied pressure control. As such, four groups of actuator lengths ( L A C M C , L A M C P , L A P I P , L A D I P ) were select to be used as control to achieve TGE. Additionally, a need to be able to shift the actuator along the length of the hand was identified while keeping the first actuator unit to be orientated in the direction of the shifting.
Table 7 presents the target bending angle and moment which must be generated for each chamber along the actuator length. The NN predictor models were used to determine the pressure requirements needed to achieve the bending angle and moment specified by Table 7. Table 8 presents the pressure setup required to achieve the requirements specified by Table 7. These pressure values were calculated by first determining the bending moment from Figure 11b which will result in the target angle requirements set by Table 7. The additional target bending moments given in Table 7 were added to the identified bending moment from Figure 11b which would lead to a new actuator pressure gradient or top chamber pressure considered, resulting in the values given in Table 7. This calculation accounted for the behaviour where an actuator will bend differently when additional moments are introduced to the actuator.

3.2. Conceptualised Model Validation Using 2D Plane Strain Formulation

In this section, we considered a 2D plane-strain FEA formulation to validate the conceptualised model using reduced-order modelling means. The 2D simulation provides a less computationally expensive way to validate the actuator’s bending response than a full 3D simulation. Figure 17 presents the bending response when considering a 2D plane-strain formulation for the bi-directional PNA. Figure 17a presents the 2D mesh used to define for the 2D simulation equivalent reduced-order model. Figure 17b presents the bending angle result for the 2D bi-directional PNA when considering for the reduced-order model definition. Quadrilateral mesh elements were considered for the 2D FEA model.
Mapping for the 2D and 3D simulated actuator results presented that a maximum bending angle was achieved when pressure was applied only at the top chamber. In contrast, a zero bending angle was obtained by equally pressurising both chambers. The 2D simulation neglects the chamber’s air pockets, introducing additional stiffness limiting the actuator bending capability. As such, achieving target bending angles using lower maximal pressures for the 2D results was found to be reasonable. Similar bending angles seem achievable by increasing the top chamber pressure while maintaining the actuator’s pressure gradient. As such, adjusted pressure control for the 2D simulation was used to validate the results obtained in Table 8. Table 9 presents the adjusted pressure control necessary to achieve target bending angles considered by Table 8. These pressure values were determined using the NN predictor model mapping the 2D FEA bending results. The pressure gradient considered by Table 8 was kept constant while only adjusting the magnitude for the top chamber pressure considered.
Figure 18 presents the FEA setup used to validate the soft actuators bending response when interacting with a finger model. The following considerations were made for the FEA analysis. Spring elements with stiffness of 240 kN / m , modelling for Nylon straps [31], were used to attach the actuator to the finger model at the PIP and DIP joints [32]. Section A-A, depicted in Figure 9, was used to define the symmetry plane considered in the 2D planar actuator model. A Young’s modulus of 20 GPa , the density of 2000 kg / m 3 and a Poisson’s ratio of 0.3 was used for finger bone [33]. A linear elastic model was used to model for human flesh with Young’s modulus of 24 kPa and a Poisson’s ratio of 0.4 [34]. A density of 4000 kg / m 3 for the CMC and PP finger lengths, 1500 kg / m 3 for the MP length and 2000 kg / m 3 for the DP length for human flesh was considered [35].
A self-contact definition was used to allow actuator chambers to interact with one another. Contact between the finger and the actuator was considered, but no contact definition was set to allow finger segments to interact with one another. The selection of element types for 2D analysis necessitates a consideration of the trade-off between accuracy and computational efficiency. While higher-order elements offer superior accuracy, their computational demands are significantly higher. In this context, a preference was made for first-order quadrilateral elements in the simulation. These elements strike a balance between computational efficiency and accuracy. Three primary concerns in FEA were identified: volumetric locking, shear locking, and hourglassing. Commonly regarded as incompressible, silicon material can pose challenges when its elastic behaviour approaches incompressibility. This can lead to stress–strain laws becoming singular and the risk of volumetric locking and singularity. Herrmann elements dealt with volumetric locking [36]. Shear locking leads to an undesirable excessive, rigid response for bending and shear-dominated systems [37]. A reduced integration element scheme was applied to help with shear locking.
A formulation considering incompressibility with reduced integration elements was used to model the silicon rubber model. The strain-limiting layer used reduced integration elements. First-order hexahedral elements were considered to reduce computational costs. The bone model employed full integration elements as large deformations are not expected, especially when compared to silicon.
A combination of rigid body elements (RBE) and springs was used to mimic the hinge behaviour observed in the joints. Two nodes denoted as nodes A and B, shown in Figure 19, were positioned to coincide with the joint’s rotation point. These nodes were linked to finger bone nodes. Nodes A and B were set to allow rotation between each other only using an RBE element. Rotational springs were placed between nodes A and B, mimicking the reaction moment results obtained from OpenSim. This approach considered finger moments as mesh bodies do not present a rotational degree of freedom [38].
Figure 20 shows the actuator being divided into eight groups of chambers for control. The default position of the finger drooping due to gravity is also shown. For actuator length L A X , P X _ T represented the pressure input for the top section of actuators, while P X _ B denoted the pressure inputs used to control the bottom section. X represents the CMC, MCP, PIP, or DIP joint. A value of 9.81 m / s 2 was used for gravity.
The load case entails a gradual increase in pressure within the cascaded PNA chambers over discrete timesteps. It is assumed that the system’s response occurs slowly compared to the timescales of dynamic effects. A total load-case duration of one unit of time is adopted. It is important to note that this unit of time does not correspond to a specific temporal measure, but rather serves as a relative ratio.
The Newton–Raphson (NR) method was selected as the iterative solver scheme for Marc/Mentat. The convergence criteria of relative residuals and displacements were used, set to a tolerance value of 0.03 for both residuals and displacements. The ‘Large strain’ setting was enabled for structural analysis in MSC Marc, as hyperelastic materials must be considered [36]. The ‘Follower forces/stiffness’ was enabled to consider non-conservative loading conditions. The ‘Segment to Segment’ (S2S) contact definition offered symmetric treatment for contact segments across different bodies. The S2S method permits segments of meshed deformable bodies to come into contact and introduces auxiliary points to describe the contact behaviour. The contact non-penetration condition is enforced using an augmented Lagrangian procedure [36].
Figure 21 presents the finger orientation achieved for different pressure schemes prescribed by Figure 9. Three out of the five tendon-gliding exercises were determined to be achievable. TGE4 struggled to obtain the orientation required by the DIP joint. TGE5 could only achieve the bending angle requirements for the MCP joint.
Figure 22 presents the results comparing the stand-alone bending actuators response comparing between the 2D, 3D and manufactured actuators bending response using the pressure input determined by Figure 9 and Table 8. Although no considerations are made for the forces introduced by the finger or gravity, how well the different models relate can be determined. Using the pressure input by Figure 9 for both the 2D and 3D stand-alone actuator model, a limited bending response was observed by the 3D simulation. Adjusting the pressure input for the 3D simulation to the values determined by Table 8 was determined to create similar bending profiles. Lastly, the manufactured 3D model was observed to bend similarly to the target 3D simulated profile, but differences in bending were observed towards the end of the actuator.

4. Results Validation Using Dummy Finger

This section details the steps taken to validate the FEA results using a dummy finger interacting with the final actuator design. The setup consists of a dummy finger 3D printed using poly-lactic acid (PLA) to interact with the actuator mounted on a rail. Figure 23 presents the dummy finger design, which includes a groove to allow cords to connect to phalanges without interfering with the actuator. A braided Dyneema line was tied to the fingers to maintain contact with each phalanx. This was necessary as the Dyneema line deforms minimally when subject to tension forces. The experimental validation was based on AE = 0.01 under fully passive conditions.
Springs were used to mimic the reaction moments at joints by outputting a target tension force for a specific kinematic orientation at joints. The actuator’s response can be validated by orienting fingers to the target bending orientation and adjusting spring forces to output a target force. Figure 24 presents the setup used to determine the spring displacements needed to achieve target tension forces. A hanging scale was used to determine how much spring displacement is needed to output a specified tension force. The tension forces were calculated by taking the required moment at joints and dividing it by the moment arm for each phalanx. The moment arm used for the MCP joint was 10.14 mm , 8.43 mm for the PIP joint, and 5.67 mm for the DIP joint. Considerations were made to account for the density difference of PLA, which is 1240 kg / m 3 [39]. This difference results in a different gravity load applied at finger joints than a real finger (flesh and bone considered). An adjustment to the spring load was made to account for the expected difference in forces due to the change in density.
The required tension force applied to the Dyneema cord via springs was calculated by dividing the musculoskeletal moment value at a target TGE bending angle by the moment arm at the joint. Response surface model fits (e.g., Equation (1)) were used to determine the target moment for specific bending angles specified by TGE requirements at each joint, considering the patient’s finger anthropometry. The moment arm divided this target moment to calculate the necessary tension force. Additionally, a sliding rail was incorporated into the design to reposition the actuator at various locations on the base of the hand, allowing for the achievement of target TGEs with a single actuator setup.
Figure 25 presents the setup used to test the bending response for the actuator interacting with a dummy finger. Stepper motors were used to adjust spring length using buttons to incrementally increase the load until a desired spring length was achieved. The actuator was mounted onto a rail to mimic the sliding boundary condition used. Fingers were controlled using stepper motors and springs to replicate the reaction moments at joints for specific bending angles. The pressure settings used to achieve TGE1 and TGE2, as shown in Figure 25, are presented in Table 10.
To further validate the use of the reduced-order model, a finger with adjusted finger dimension was considered, given in Figure 26. A parameter change ratio of 0.5 for all finger dimensions was considered according to the CCD design to alter finger dimensions. The altered finger was set up to determine if the reduced-order model can help the altered finger achieve TGE1 and TGE2 adequately. Figure 27 presents the comparison of actuator profiles between the reduced-order model and the experimental response of the finger. The pressure settings to achieve TGE1 and TGE2 for the altered finger are given in Table 11.

5. Discussion and Conclusions

This paper proposes a design and analysis process which couples musculoskeletal analysis with FEA for a bi-directional pneumatic network actuator design. The proposed design process allows for consideration of different finger sizes, actuator conceptualisation, and validation (simulated and manufactured) to achieve TGE. The design process proposes the use of response and reduced-order models to improve accessibility and decrease computational costs associated with determining the finger and actuators’ response.
Results show that active and passive reaction moments can be predicted using response models at target TGE joint angles (Table 1). The R2 values for joint reaction forces ranged from a minimum of 0.8344 to a maximum of 0.9998. All models were able to maintain a p-value less than 0.02, indicating model significance.
A reduced-order model mapping the response for a single 3D FEA actuator chamber model was adapted to conceptualize an actuator design that meets TGE bending angle and moment requirements. A reduced-order model mapping the 2D plane-strain equivalent formulation for a single actuator chamber model was also determined, allowing for a way to relate the more accurate 3D FEA simulation results and the computationally less expensive 2D model. A similar bending angle for actuators was achievable for both the 2D and 3D FEA results while keeping the pressure ratio the same. This indicated that the 2D and 3D FEA results could be related to one another. Only adjustments to the magnitude of the top chamber need to be increased for the 2D simulation to match the bending response of the 3D FEA simulation. The 2D FEA simulation, which neglects the stiffness introduced by the walls encasing the actuator’s air pockets, was identified as a factor influencing the difference in bending behaviour between the 3D and 2D FEA simulations.
The conceptualized actuator design using reduced-order models was simulated using the 2D plane-strain formulation, interacting with a finger model considering the flesh and bones. The finger with the mean measure given in Table 2 was considered. Three out of five TGE were achieved (TGE1, TGE2, TGE3). A comparison between the simulated 2D and 3D FEA stand-alone actuators’ responses validated that similar bending can be achieved by increasing the 3D FEA model’s pressure input while keeping the pressure ratio the same. The manufactured actuators’ stand-alone bending behaviour was similar to the simulated 3D FEA stand-alone actuators’ bending response.
A PLA dummy finger was created, and its bending behaviour with the actuator was compared. A setup using a Dyneema cord coupled to springs and motors was used to mimic the reaction moments at joints. TGE1 and TGE2 were determined to be successfully achieved. TGE3 was determined to be unachievable.
When adapting the design for the entire hand of a specific patient, the analysis and design principles remain the same. The only step not repeated for each finger is the creation of the dummy finger, which is used solely to validate the pipeline and ensure safety. Once validation is complete, the actuator’s control can be fine-tuned for the patient, who can then use it to perform TGE. The actuator configuration (number of chambers and segments) will remain consistent across all fingers, with only the parametric configuration adjusted as needed. Figure 28 outlines the methodology for adapting the design to the whole hand. After measuring the dimensions of all the patient’s fingers, the pipeline described in Figure 2 for a single finger will be applied to determine actuator shape and control. This pipeline will be repeated for each finger, and after fine-tuning, the patient will have a customised actuator for TGE rehabilitation exercises.
While this paper does not seek to create a one-size-fits-all actuator, it explores the feasibility of using a single actuator shape with a fixed sub-unit configuration to accommodate different fingers or adapting the same actuator for various fingers to achieve TGE. This approach is illustrated in Figure 27, where the force balance is adjusted to meet new power requirements. Alternatively, the number of chambers in the actuator can be adjusted to accommodate longer or shorter fingers. While the weight of the finger has only a minor impact on the system’s power requirements, the actuators’ weight significantly increases the system’s additional power needs. For accuracy, the position of the centre of mass and the expected forces, which can be calculated by multiplying the material density by the object’s volume, can be determined using tools such as Autodesk Inventor.
The new finger can be validated by recreating the finger and actuator setup, followed by verifying the results through simulations and experiments described in the proposed pipeline. While we expect the input models and response surface models (RSMs) to be validated, we do not expect every new glove to require separate simulations and validations for each patient. Once the RSMs and pipeline are in place, the pipeline should be able to propose actuator designs suitable for a given patient, including initial pressure control settings. The final step for each finger involves adjusting the pressure control system directly on the patient. This step accounts for small variations, such as individual anatomical differences, that simulations cannot fully capture. By adjusting the pressure control in situ, we ensure the system achieves the target goals without needing to revalidate the entire process for each patient. Future work aims to explore adjustments to actuator parameters and develop predictive models for the other fingers (index, ring, little fingers) not covered in this study.
In conclusion, our study presents a design simulation environment for a soft actuator design, considering musculoskeletal models and utilizing FE methods and predictive modelling techniques. This approach works towards considering a patient-specific analysis, considering a single actuator to help achieve the kinematic orientation required by tendon-gliding exercises for varied finger anthropometry. Predictive models were investigated to determine the feasibility of considering reduced-order models from computationally costly FEA simulations. Further research is needed to expand the range of actuators considered, with the process applied to one finger must be repeated for all other fingers not yet examined. Additionally, addressing the limitations related to relying solely on one population’s muscle contraction data will enhance our findings’ applicability and accuracy.

Author Contributions

Conceptualization, S.b.C. and M.P.V.; methodology, S.b.C.; software, S.b.C.; investigation, S.b.C.; writing—original draft preparation, S.b.C.; writing—review and editing, S.b.C. and M.P.V.; resources, M.P.V.; supervision, M.P.V.; funding acquisition, M.P.V. All authors have read and agreed to the published version of the manuscript.

Funding

This research was funded in part by the National Research Foundation of South Africa (NRF) grant number 129381.

Data Availability Statement

All data and models considered in the design process can be found at https://github.com/sbcglacier/Africomp.git (accessed on 31 May 2024). Access to the data/models can be made available upon request.

Conflicts of Interest

The authors declare no conflicts of interest.

References

  1. Lee, C.; Kim, M.; Kim, Y.; Hong, N.; Ryu, S.; Kim, H.; Kim, S. Soft robot review. Int. J. Control Autom. Syst. 2017, 15, 3–15. [Google Scholar] [CrossRef]
  2. du Plessis, T.; Djouani, K.; Oosthuizen, C. A review of active hand exoskeletons for rehabilitation and assistance. Robotics 2021, 10, 40. [Google Scholar] [CrossRef]
  3. Loh, P.; Yeoh, W.; Nakashima, H.; Muraki, S. Deformation of the median nerve at different finger postures and wrist angles. PeerJ 2018, 6, e5406. [Google Scholar] [CrossRef] [PubMed]
  4. Li, H.; Chen, J.; Wang, J.; Zhang, T.; Chen, Z. Review of rehabilitation protocols for brachial plexus injury. Front. Neurol. 2023, 14, 1084223. [Google Scholar] [CrossRef] [PubMed]
  5. Sussex, C. Tendon Glides and Finger Range of Movement Exercises. NHS Partnership Central. 2020. Available online: https://www.sussexmskpartnershipcentral.co.uk/wp-content/uploads/2024/03/Tendon-Glides-and-Finger-Range-of-Movement-Exercises.pdf (accessed on 23 November 2022).
  6. Wehbé, M. Tendon gliding exercises. Am. J. Occup. Ther. 1987, 41, 164–167. [Google Scholar] [CrossRef][Green Version]
  7. McFarland, D.; Binder-Markey, B.; Nichols, J.; Wohlman, S.; Bruin, M.; Murray, W. A Musculoskeletal Model of the Hand and Wrist Capable of Simulating Functional Tasks. IEEE Trans. Biomed. Eng. 2022, 70, 1424–1435. [Google Scholar] [CrossRef]
  8. Saul, K.; Delp, S.; Gold, G. Moment-generating capacity of upper limb muscles in healthy adults. J. Biomech. 2007, 40, 2442–2449. [Google Scholar]
  9. Delp, S.; Anderson, F.; Arnold, A.; Loan, P.; Habib, A.; John, C.; Guendelman, E.; Thelen, D. OpenSim: Open-source software to create and analyze dynamic simulations of movement. IEEE Trans. Biomed. Eng. 2007, 54, 1940–1950. [Google Scholar] [CrossRef]
  10. Wang, Z.; Hirai, S. Analytical modeling of a soft pneu-net actuator subjected to planar tip contact. IEEE Trans. Robot. 2022, 38, 2720–2733. [Google Scholar]
  11. Palastanga, N.; Soames, R. Anatomy and Human Movement, Structure and Function; Elsevier Health Sciences: Amsterdam, The Netherlands, 2011; pp. 79–94. [Google Scholar]
  12. Vergara, M.; Agost, M.; Gracia-Ibáñez, V. Dorsal and palmar aspect dimensions of hand anthropometry for designing hand tools and protections. Hum. Factors Ergon. Manuf. Serv. Ind. 2018, 28, 17–28. [Google Scholar] [CrossRef]
  13. Seth, A.; Hicks, J.; Uchida, T.; Habib, A.; Dembia, C.; Dunne, J.; Ong, C.; DeMers, M.; Rajagopal, A.; Millard, M.; et al. OpenSim: Simulating musculoskeletal dynamics and neuromuscular control to study human and animal movement. PLoS Comput. Biol. 2018, 14, e1006223. [Google Scholar] [CrossRef] [PubMed]
  14. Chang, J.; Kong, Y.; Freivalds, A.; Kang, H.; Cho, J. Investigation of relationships between hand surface dimensions and hand bone dimensions. In Proceedings of the Human Factors and Ergonomics Society Annual Meeting; Sage: Los Angeles, CA, USA, 2013; Volume 57, pp. 948–952. [Google Scholar]
  15. Patel, M. Case Courtesy of Maulik S Patel (rID: 20062). Radiopaedia. 2023. Available online: https://radiopaedia.org/cases/20062?lang=us (accessed on 23 November 2023).
  16. Fritsch, G. Case Courtesy of George Fritsch (rID: 86036). Radiopaedia. 2023. Available online: https://radiopaedia.org/cases/86036?lang=us (accessed on 23 November 2023).
  17. Hamilton, R.; Dunsmuir, R. Radiographic assessment of the relative lengths of the bones of the fingers of the human hand. J. Hand Surg. 2002, 27, 546–548. [Google Scholar] [CrossRef] [PubMed]
  18. Myres, R.; Montgomery, D.; Anderson-Cook, C. Response Surface Methodology; Wiley: Hoboken, NJ, USA, 2002. [Google Scholar]
  19. Judd, C.; McClelland, G.; Ryan, C.; Muller, D.; Yzerbyt, V. Data Analysis: A Model Comparison Approach to Regression, ANOVA, and Beyond; Routledge: London, UK, 2018. [Google Scholar]
  20. Iversen, G.; Norpoth, H.; Norpoth, H. Analysis of Variance; Sage: Newcastle upon Tyne, UK, 1987. [Google Scholar]
  21. Chen, O.; Bodelet, J.; Saraiva, R.; Phan, H.; Di, J.; Nagels, G.; Schwantje, T.; Cao, H.; Gou, J.; Reinen, J.; et al. The roles, challenges, and merits of the p value. Patterns 2023, 4, 100878. [Google Scholar] [CrossRef]
  22. Zeni, J.A., Jr.; Higginson, J.S. Differences in gait parameters between healthy subjects and persons with moderate and severe knee osteoarthritis: A result of altered walking speed? Clin. Biomech. 2009, 24, 372–378. [Google Scholar] [CrossRef]
  23. Visser, G. Basic Nonlinear Analysis Using Marc and Mentat (MAR101 Course Notes); MSC Software Hexagon: Stockholm, Sweden, 2021. [Google Scholar]
  24. Xavier, M.; Fleming, A.; Yong, Y. Finite element modeling of soft fluidic actuators: Overview and recent developments. Adv. Intell. Syst. 2021, 3, 2000187. [Google Scholar] [CrossRef]
  25. Öchsner, A.; Öchsner, M. The Finite Element Analysis Program MSC Marc/Mentat; Springer: Singapore, 2016. [Google Scholar]
  26. Li, Y.; Zhou, W.; Wu, J.; Hu, G. A Dynamic Modeling Method for the Bi-Directional Pneumatic Actuator Using Dynamic Equilibrium Equation. Actuators 2021, 11, 7. [Google Scholar] [CrossRef]
  27. Wang, F.; Chen, Y.; Wang, Y.; Liu, Z.; Tian, Y.; Zhang, D. A soft pneumatic glove with multiple rehabilitation postures and assisted grasping modes. Sens. Actuators Phys. 2022, 347, 113978. [Google Scholar] [CrossRef]
  28. Kim, N. Introduction to Nonlinear Finite Element Analysis; Springer Science & Business Media: New York, NY, USA, 2014; pp. 81–127. [Google Scholar]
  29. du Toit, V.; Venter, G. Characterising Material Models for Silicone-Rubber Using an Inverse Finite Element Model Updating Method. Master’s Thesis, Stellenbosch University, Stellenbosch, South Africa, 2018. [Google Scholar]
  30. Géron, A. Hands-On Machine Learning with Scikit-Learn, Keras, and TensorFlow; O’Reilly Media, Inc: Sebastopol, CA, USA, 2022. [Google Scholar]
  31. Michniuk, P.; Ferretti, M.; Ford, J. HighImpact Textile Joining for UAV Landing Application: Tensile Testing of Textiles. 2016. Available online: https://digitalcommons.calpoly.edu/cgi/viewcontent.cgi?article=1366&context=mesp (accessed on 31 May 2024).
  32. Su, H.; Hou, X.; Zhang, X.; Qi, W.; Cai, S.; Xiong, X.; Guo, J. Pneumatic soft robots: Challenges and benefits. Actuators 2022, 11, 92. [Google Scholar] [CrossRef]
  33. Rupin, F.; Saied, A.; Dalmas, D.; Peyrin, F.; Haupert, S.; Barthel, E.; Boivin, G.; Laugier, P. Experimental determination of Young modulus and Poisson ratio in cortical bone tissue using high resolution scanning acoustic microscopy and nanoindentation. J. Acoust. Soc. Am. 2008, 123, 3785. [Google Scholar] [CrossRef]
  34. Shao, F.; Childs, T.; Barnes, C.; Henson, B. Finite element simulations of static and sliding contact between a human fingertip and textured surfaces. Tribol. Int. 2010, 43, 2308–2316. [Google Scholar] [CrossRef]
  35. Tony, B.; Alphin, M. Finite element analysis to assess the biomechanical behavior of a finger model gripping handles with different diameters. Biomed. Hum. Kinet. 2019, 11, 69–79. [Google Scholar] [CrossRef]
  36. MSC. Marc Marc—Volume A: Theory and User Information; MSC Software Corporation: Newport Beach, CA, USA, 2022. [Google Scholar]
  37. Sun, E. Shear Locking and Hourglassing in MSC Nastran, ABAQUS, and ANSYS. Available online: https://www.jlab.org/sites/default/files/physics/ansys/shearLocking.pdf (accessed on 31 May 2024).
  38. Kim, N.; Sankar, B.; Kumar, A. Introduction to Finite Element Analysis and Design; John Wiley & Sons: Hoboken, NJ, USA, 2018. [Google Scholar]
  39. Ferreira, R.; Amatte, I.; Dutra, T.; Bürger, D. Experimental characterization and micrography of 3D printed PLA and PLA reinforced with short carbon fibers. Compos. Part Eng. 2017, 124, 88–100. [Google Scholar] [CrossRef]
Figure 1. Tendon gliding exercise straight (TGE1); tabletop (TGE2); straight fist (TGE3); full fist (TGE4); and hook fist (TGE5).
Figure 1. Tendon gliding exercise straight (TGE1); tabletop (TGE2); straight fist (TGE3); full fist (TGE4); and hook fist (TGE5).
Mca 29 00079 g001
Figure 2. Proposed framework for designing and analysing a rehabilitation device for TGE by adapting the process developed for one selected finger to all fingers of the hand. Inputs include patient hand dimensions, target joint angle (TGE1-TGE5), and the parametric soft actuator sub-unit. The framework consists of: (1) obtaining finger geometry; (2) determining joint forces and safety thresholds for patients; (3) identifying tools to characterise actuator response to meet TGE shape and power requirements; (4) determining initial pressure control to achieve TGE and validating for safety through simulations and testing with a dummy finger; and (5) manufacturing and testing the actuator on the patient’s hand, followed by fine-tuning control. The orange text for each functional block denotes what this paper addresses, reflecting a limited scope of the functional blocks needed for the complete pipeline (shown in black).
Figure 2. Proposed framework for designing and analysing a rehabilitation device for TGE by adapting the process developed for one selected finger to all fingers of the hand. Inputs include patient hand dimensions, target joint angle (TGE1-TGE5), and the parametric soft actuator sub-unit. The framework consists of: (1) obtaining finger geometry; (2) determining joint forces and safety thresholds for patients; (3) identifying tools to characterise actuator response to meet TGE shape and power requirements; (4) determining initial pressure control to achieve TGE and validating for safety through simulations and testing with a dummy finger; and (5) manufacturing and testing the actuator on the patient’s hand, followed by fine-tuning control. The orange text for each functional block denotes what this paper addresses, reflecting a limited scope of the functional blocks needed for the complete pipeline (shown in black).
Mca 29 00079 g002
Figure 3. The OpenSim pipeline used to create torsional spring profile curves for fingers, drawing on muscle responses from healthy subjects. The pipeline aims to consider adjustments made to finger dimensions (model scaling), state of muscle contraction (activation energy), and joint rotation angle ranges (kinematic trajectory) to determine the loading at joints.
Figure 3. The OpenSim pipeline used to create torsional spring profile curves for fingers, drawing on muscle responses from healthy subjects. The pipeline aims to consider adjustments made to finger dimensions (model scaling), state of muscle contraction (activation energy), and joint rotation angle ranges (kinematic trajectory) to determine the loading at joints.
Mca 29 00079 g003
Figure 4. The finger’s muscle–tendon structure is used to perform flexion and extension motions of the finger. The tendon pull direction (TPD) acting over attachment points (AP1, AP2, AP3) illustrates the mechanism used to perform flexion/extension. (a) Anterior forearm muscles actuate the flexor digitorum superficialis and profundus tendons. Lumbrical muscles support flexion motion. (b) Posterior forearm muscles actuate the extensor digitorum tendons. The extensor hood mechanism supports the extensor digitorum tendons in performing finger extension.
Figure 4. The finger’s muscle–tendon structure is used to perform flexion and extension motions of the finger. The tendon pull direction (TPD) acting over attachment points (AP1, AP2, AP3) illustrates the mechanism used to perform flexion/extension. (a) Anterior forearm muscles actuate the flexor digitorum superficialis and profundus tendons. Lumbrical muscles support flexion motion. (b) Posterior forearm muscles actuate the extensor digitorum tendons. The extensor hood mechanism supports the extensor digitorum tendons in performing finger extension.
Mca 29 00079 g004
Figure 5. Middle finger depth (D3), breadth (B3) and length (L3) measurements for: the metacarpal (MC), finger phalanges (PP, MP, DP) and finger joints (MCP, PIP, DIP).
Figure 5. Middle finger depth (D3), breadth (B3) and length (L3) measurements for: the metacarpal (MC), finger phalanges (PP, MP, DP) and finger joints (MCP, PIP, DIP).
Mca 29 00079 g005
Figure 6. X-ray side view (a) and top view (b) superimposed over the ARMS wrist models bone data points used to derive measurements and placement of markers used for scaling. (a) Top view of the finger. The extrapolated surface region of the finger is outlined. Joint rotation points (MCP, PIP, DIP) and centre positions of the finger are shown, (b) Side view of the finger. The extrapolated surface region of the finger is outlined. Joint rotation points (MCP, PIP, DIP) and centre positions of the finger are shown.
Figure 6. X-ray side view (a) and top view (b) superimposed over the ARMS wrist models bone data points used to derive measurements and placement of markers used for scaling. (a) Top view of the finger. The extrapolated surface region of the finger is outlined. Joint rotation points (MCP, PIP, DIP) and centre positions of the finger are shown, (b) Side view of the finger. The extrapolated surface region of the finger is outlined. Joint rotation points (MCP, PIP, DIP) and centre positions of the finger are shown.
Mca 29 00079 g006
Figure 7. Moment vs. flexion response curves for CCD markers Lm, LM, Dm, DM, Bm, and DM at the MCP joint, illustrating: (a) passive MCP joint (AE = 0.01); (b) active MCP joint (AE = 1).
Figure 7. Moment vs. flexion response curves for CCD markers Lm, LM, Dm, DM, Bm, and DM at the MCP joint, illustrating: (a) passive MCP joint (AE = 0.01); (b) active MCP joint (AE = 1).
Mca 29 00079 g007
Figure 8. Expansion of block 3 from Figure 2, detailing considerations for characterising actuator response: (3a) selecting actuator technology, (3b) defining actuator shape requirements (before and after pressurisation), (3c) determining finger dimensions and actuator-to-finger contact region, (3d) adjusting actuator unit dimensions, and (3e) configuring actuator unit combinations and groupings.
Figure 8. Expansion of block 3 from Figure 2, detailing considerations for characterising actuator response: (3a) selecting actuator technology, (3b) defining actuator shape requirements (before and after pressurisation), (3c) determining finger dimensions and actuator-to-finger contact region, (3d) adjusting actuator unit dimensions, and (3e) configuring actuator unit combinations and groupings.
Mca 29 00079 g008
Figure 9. Orthographic PNA view showing the actuator’s top, front and side views. Dimensions considered include: width—PNA chamber width; ch_width—chamber air pocket width; air_vent—section width and height allowing airflow between chambers; ac_th_up—chamber top wall thickness; ac_th_for—chamber wall thickness along the actuator length; ends_ext—extra actuator front and end thickness; gap_height—the height of silicon layer between chambers; ch_height—chamber air pocket height; gap—the gap between chambers; dis_betw_ch—the distance between chambers; ch_depth—chamber air pocket depth along the PNA length; depth—PNA chamber depth. Section A-A depicted the actuator symmetry plane along its length. The definition of a single chamber is also shown.
Figure 9. Orthographic PNA view showing the actuator’s top, front and side views. Dimensions considered include: width—PNA chamber width; ch_width—chamber air pocket width; air_vent—section width and height allowing airflow between chambers; ac_th_up—chamber top wall thickness; ac_th_for—chamber wall thickness along the actuator length; ends_ext—extra actuator front and end thickness; gap_height—the height of silicon layer between chambers; ch_height—chamber air pocket height; gap—the gap between chambers; dis_betw_ch—the distance between chambers; ch_depth—chamber air pocket depth along the PNA length; depth—PNA chamber depth. Section A-A depicted the actuator symmetry plane along its length. The definition of a single chamber is also shown.
Mca 29 00079 g009
Figure 10. Parametrising the PNA actuator using reduced-order models. The response of the model is simplified to a bending angle ( θ R ) and unit length ( L R ). A fixed boundary condition is used for the actuator’s left nodes. A boundary condition only allowing rotation for the right nodes was used. To consider the bending moment, an additional fixed boundary condition was introduced to measure the reaction loads.
Figure 10. Parametrising the PNA actuator using reduced-order models. The response of the model is simplified to a bending angle ( θ R ) and unit length ( L R ). A fixed boundary condition is used for the actuator’s left nodes. A boundary condition only allowing rotation for the right nodes was used. To consider the bending moment, an additional fixed boundary condition was introduced to measure the reaction loads.
Mca 29 00079 g010
Figure 11. The actuators’ (a) bending angle and (b) bending moment observed for varied pressure gradients input to the top ( P T ) and bottom ( P B ) chambers defined in Figure 10 for a 3D FEA model. A maximum pressure of 300 kPa was considered. A Nearest Neighbour (NN) prediction model response fit is presented, predicting the results obtained from the FEA result sample points.
Figure 11. The actuators’ (a) bending angle and (b) bending moment observed for varied pressure gradients input to the top ( P T ) and bottom ( P B ) chambers defined in Figure 10 for a 3D FEA model. A maximum pressure of 300 kPa was considered. A Nearest Neighbour (NN) prediction model response fit is presented, predicting the results obtained from the FEA result sample points.
Mca 29 00079 g011
Figure 12. Bending angle comparison between the actuator’s true response and the predicted reduced-order model response. Three examples are shown for a pressure ratio of 0 using a top chamber pressure ( P T ) of 60 kPa, 180 kPa and 300 kPa.
Figure 12. Bending angle comparison between the actuator’s true response and the predicted reduced-order model response. Three examples are shown for a pressure ratio of 0 using a top chamber pressure ( P T ) of 60 kPa, 180 kPa and 300 kPa.
Mca 29 00079 g012
Figure 13. Experimental setup to measure moments. The actuator is clamped to a base behind the eight chambers to be pressurised. A tip force is measured using a scale to determine the moment generated by each PNA unit.
Figure 13. Experimental setup to measure moments. The actuator is clamped to a base behind the eight chambers to be pressurised. A tip force is measured using a scale to determine the moment generated by each PNA unit.
Mca 29 00079 g013
Figure 14. Experimental results comparison for the actuators’ (a) bending angle and (b) bending moment observed for varied pressure gradients input to the top ( P T ) and bottom ( P B ) chambers. The predicted 3D FEA reduced-order model results (Figure 11) were compared to the actuators’ measured true response.
Figure 14. Experimental results comparison for the actuators’ (a) bending angle and (b) bending moment observed for varied pressure gradients input to the top ( P T ) and bottom ( P B ) chambers. The predicted 3D FEA reduced-order model results (Figure 11) were compared to the actuators’ measured true response.
Mca 29 00079 g014
Figure 15. Parametrising the PNA actuator using reduced-order models. The response of the model is simplified to a bending angle ( θ R ) and unit length ( L R ).
Figure 15. Parametrising the PNA actuator using reduced-order models. The response of the model is simplified to a bending angle ( θ R ) and unit length ( L R ).
Mca 29 00079 g015
Figure 16. Actuator reduced-order model setup aimed at achieving (a) TGE1, (b) TGE2, (c) TGE3, (d) TGE4, (e) TGE5.
Figure 16. Actuator reduced-order model setup aimed at achieving (a) TGE1, (b) TGE2, (c) TGE3, (d) TGE4, (e) TGE5.
Mca 29 00079 g016
Figure 17. The 2D FEA bending angle results are used to relate between the 2D and 3D simulated results for the reduced-order bi-directional PNA chambers bending response. The 2D quadrilateral FEA mesh setup is presented (a) with the bending angle response fitted to a NN prediction model (b). Varied pressure gradients input to the top ( P T ) and bottom ( P B ) chambers are considered for a maximum pressure of 221 kPa determined to consider for bending angle ranged accounted by the reduced-order model fitted to the 3D results.
Figure 17. The 2D FEA bending angle results are used to relate between the 2D and 3D simulated results for the reduced-order bi-directional PNA chambers bending response. The 2D quadrilateral FEA mesh setup is presented (a) with the bending angle response fitted to a NN prediction model (b). Varied pressure gradients input to the top ( P T ) and bottom ( P B ) chambers are considered for a maximum pressure of 221 kPa determined to consider for bending angle ranged accounted by the reduced-order model fitted to the 3D results.
Mca 29 00079 g017
Figure 18. Planar analysis FEA setup for the cascaded PNA interacting with a finger (unaltered finger dimensions) showing: CMC actuator segment ( L A C M C ), MCP joint rotation segment ( L A M C P ), PIP joint rotation segment ( L A P I P ), DIP joint rotation segment ( L A D I P ); positioning of top and bottom actuator centred around a strain-limiting paper layer; materials definition consisting of silicone rubber, paper, bone and flesh; spring placement imitating straps to keep the finger attached to the actuator.
Figure 18. Planar analysis FEA setup for the cascaded PNA interacting with a finger (unaltered finger dimensions) showing: CMC actuator segment ( L A C M C ), MCP joint rotation segment ( L A M C P ), PIP joint rotation segment ( L A P I P ), DIP joint rotation segment ( L A D I P ); positioning of top and bottom actuator centred around a strain-limiting paper layer; materials definition consisting of silicone rubber, paper, bone and flesh; spring placement imitating straps to keep the finger attached to the actuator.
Mca 29 00079 g018
Figure 19. Setup of finger joint connections showing: overlapping nodes (Node A, Node B) located at the rotational joint position; rigid body element links connect to Nodes (A, B); spring connection between Nodes A and B showing high resistance in all translational directions between nodes used to mimic joint response.
Figure 19. Setup of finger joint connections showing: overlapping nodes (Node A, Node B) located at the rotational joint position; rigid body element links connect to Nodes (A, B); spring connection between Nodes A and B showing high resistance in all translational directions between nodes used to mimic joint response.
Mca 29 00079 g019
Figure 20. Cascaded PNA actuator control means via pressurising chambers with the initial starting position shown influenced by gravity.
Figure 20. Cascaded PNA actuator control means via pressurising chambers with the initial starting position shown influenced by gravity.
Mca 29 00079 g020
Figure 21. The bending response for pressure inputs determined by Figure 9 is presented, validating the conceptualised actuator setup determined to achieve TGE using the reduced-order actuator model definition. TGE1, TGE2, and TGE3 were determined to be achieved, while TGE4 and TGE5 were unsuccessful in obtaining the kinematic orientation required to achieve TGE.
Figure 21. The bending response for pressure inputs determined by Figure 9 is presented, validating the conceptualised actuator setup determined to achieve TGE using the reduced-order actuator model definition. TGE1, TGE2, and TGE3 were determined to be achieved, while TGE4 and TGE5 were unsuccessful in obtaining the kinematic orientation required to achieve TGE.
Mca 29 00079 g021
Figure 22. Stand-alone actuator bending comparison between the 2D and 3D simulations aimed at achieving TGE1, TGE2, and TGE3. The bending response when using the same pressure input specified by Figure 9 for both the 2D and 3D simulation was initially compared. Whether a similar bending profile is achieved between the 2D and 3D FEA simulation was compared by adjusting the 3D simulations pressure input to that specified by Table 8. A comparison was made between the manufactured actuators and the 3D simulated bending profiles.
Figure 22. Stand-alone actuator bending comparison between the 2D and 3D simulations aimed at achieving TGE1, TGE2, and TGE3. The bending response when using the same pressure input specified by Figure 9 for both the 2D and 3D simulation was initially compared. Whether a similar bending profile is achieved between the 2D and 3D FEA simulation was compared by adjusting the 3D simulations pressure input to that specified by Table 8. A comparison was made between the manufactured actuators and the 3D simulated bending profiles.
Mca 29 00079 g022
Figure 23. Dummy finger and actuator setup used to validate the simulated results, demonstrating the actuators’ capability to achieve the three target TGE (TGE1, TGE2, TGE3).
Figure 23. Dummy finger and actuator setup used to validate the simulated results, demonstrating the actuators’ capability to achieve the three target TGE (TGE1, TGE2, TGE3).
Mca 29 00079 g023
Figure 24. Setup used to measure spring force and lengths required to achieve different TGE.
Figure 24. Setup used to measure spring force and lengths required to achieve different TGE.
Mca 29 00079 g024
Figure 25. Setup to test for the bi-directional PNA interacting with a dummy finger. The Dyneema cord connected phalanges to a spring and stepper motor setup, controlling the reaction moment. TGE1 (straight extension) and TGE2 (tabletop) were determined to be achievable using higher pressures. TGE3 struggled to bend to the target angles.
Figure 25. Setup to test for the bi-directional PNA interacting with a dummy finger. The Dyneema cord connected phalanges to a spring and stepper motor setup, controlling the reaction moment. TGE1 (straight extension) and TGE2 (tabletop) were determined to be achievable using higher pressures. TGE3 struggled to bend to the target angles.
Mca 29 00079 g025
Figure 26. Side and top view for an adjusted finger model considering a parameter change ratio of 0.5 to finger depth, length and breadth according to the CCD design layout.
Figure 26. Side and top view for an adjusted finger model considering a parameter change ratio of 0.5 to finger depth, length and breadth according to the CCD design layout.
Mca 29 00079 g026
Figure 27. Setup to evaluate the design pipeline using reduced-order models to predict the actuator-finger response. The test involved a finger with altered dimensions (CCD parameter change = 0.5 for all dimensions). TGE1 and TGE2, identified as achievable from Figure 25, are compared with the reduced-order model profiles.
Figure 27. Setup to evaluate the design pipeline using reduced-order models to predict the actuator-finger response. The test involved a finger with altered dimensions (CCD parameter change = 0.5 for all dimensions). TGE1 and TGE2, identified as achievable from Figure 25, are compared with the reduced-order model profiles.
Mca 29 00079 g027
Figure 28. Proposed steps for adapting the design process to accommodate a patient’s entire hand for TGE include: (1) measuring the patient’s fingers (little, ring, middle, index); (2) applying the pipeline outlined Figure 2 using the dimensions of a selected finger to determine the actuator and pressure control required for TGE; (3) repeating the pipeline steps for the remaining fingers; and (4) using the manufactured, customised rehabilitation glove to perform TGE exercises, with pressure control adjusted and calibrated for the patient’s hand.
Figure 28. Proposed steps for adapting the design process to accommodate a patient’s entire hand for TGE include: (1) measuring the patient’s fingers (little, ring, middle, index); (2) applying the pipeline outlined Figure 2 using the dimensions of a selected finger to determine the actuator and pressure control required for TGE; (3) repeating the pipeline steps for the remaining fingers; and (4) using the manufactured, customised rehabilitation glove to perform TGE exercises, with pressure control adjusted and calibrated for the patient’s hand.
Mca 29 00079 g028
Table 1. Target tendon-gliding exercise joint positions showing: joint rotation angles in degrees for the metacarpophalangeal (MCP), proximal interphalangeal (PIP), and distal interphalangeal (DIP) joints needed to approximately orientate fingers for TGE1 to TGE5, as determined by Figure 1.
Table 1. Target tendon-gliding exercise joint positions showing: joint rotation angles in degrees for the metacarpophalangeal (MCP), proximal interphalangeal (PIP), and distal interphalangeal (DIP) joints needed to approximately orientate fingers for TGE1 to TGE5, as determined by Figure 1.
ExerciseTendon Gliding Exercises Joint Rotation Requirements (deg°)
MCPPIPDIP
TGE1
TGE290°
TGE390°90°
TGE490°100°80°
TGE5100°80°
Table 2. Middle finger depth (D3), breadth (B3) and dorsal length (L3) measurements for phalanges (PP, MP, DP) and joints (MCP, PIP, DIP). The mean, standard deviation (SD), and percentile values (5th = 5 percentile, 95th = 95 percentile) are presented [12].
Table 2. Middle finger depth (D3), breadth (B3) and dorsal length (L3) measurements for phalanges (PP, MP, DP) and joints (MCP, PIP, DIP). The mean, standard deviation (SD), and percentile values (5th = 5 percentile, 95th = 95 percentile) are presented [12].
Middle Finger Measurements (mm)
Females and Males Jointly
Measure Code Mean SD 5th 95th
D3DP11.81.521015.0
D3DIP12.71.421115.0
D3MP14.11.711217.0
D3PIP16.61.661420.0
D3PP17.32.001420.1
D3MCP25.52.852130
B3DP16.51.831320.0
B3DIP16.81.621420.0
B3MP17.61.991421.0
B3PIP19.42.021723.0
B3PP18.62.081522.0
L3DP26.52.472231.0
L3MP30.62.742635.0
L3PP50.63.794557.0
L3MC76.86.696688.0
Table 3. Details on CCD marker values input into OpenSim. The ratio multiplied by each finger measure is given, where two standard deviations multiplied by a scaling factor (the parameter change) are used to determine scaling values, which should be input into OpenSim for the ARMS wrist model. The metacarpal (MC) scaling values are shown for the ARMS wrist model local X, Y and Z axis scaling values.
Table 3. Details on CCD marker values input into OpenSim. The ratio multiplied by each finger measure is given, where two standard deviations multiplied by a scaling factor (the parameter change) are used to determine scaling values, which should be input into OpenSim for the ARMS wrist model. The metacarpal (MC) scaling values are shown for the ARMS wrist model local X, Y and Z axis scaling values.
Marker NameParameter Change (Ratio)OpenSim MC Scaling Values
Depth (D3)Length (L3)Breadth (B3)X-AxisY-AxisZ-Axis
D+L+B−−0.7071+0.7071−0.70711.1181.2021.223
D+L+B++0.7071+0.7071+0.70711.1181.2021.223
D−L+B−−0.7071+0.7071−0.70711.121.2021.056
Lm0−101.0241.0431.152
D+L−B++0.7071−0.7071+0.70711.0391.071.233
D+L−B−+0.7071−0.7071−0.70711.0391.071.233
Dm−1001.0811.1361.027
Bm00−11.0791.1361.145
Original0001.0791.1361.145
BM0011.0791.1361.145
D−L+B+−0.7071+0.7071+0.70711.121.2021.056
DM+1001.0781.1361.263
D−L−B+−0.7071−0.7071+0.70711.0411.071.067
D−L−B−−0.7071−0.7071−0.70711.0411.071.067
LM0101.1351.231.137
Table 4. Details on CCD marker values input into OpenSim. The ratio multiplied by each finger measure is given, where two standard deviations multiplied by a scaling factor (the parameter change) are used to determine scaling values, which should be input into OpenSim for the ARMS wrist model. The scaling values for the phalanges (PP, MP, and DP) are shown for the ARMS wrist model local X, Y, and Z axis scaling values.
Table 4. Details on CCD marker values input into OpenSim. The ratio multiplied by each finger measure is given, where two standard deviations multiplied by a scaling factor (the parameter change) are used to determine scaling values, which should be input into OpenSim for the ARMS wrist model. The scaling values for the phalanges (PP, MP, and DP) are shown for the ARMS wrist model local X, Y, and Z axis scaling values.
Marker NameOpenSim PP Scaling ValuesOpenSim MP Scaling ValuesOpenSim DP Scaling Values
X-AxisY-AxisZ-AxisX-AxisY-AxisZ-AxisX-AxisY-AxisZ-Axis
D+L+B−1.1161.1921.1271.0731.1181.0371.1811.2751.226
D+L+B+1.1841.1921.1271.141.1181.1071.241.2751.226
D−L+B−1.1161.1921.0011.0731.1181.0371.1811.2751.164
Lm1.0651.0471.0391.0190.9570.9861.0911.0841.067
D+L−B+1.1141.0721.1061.0680.9851.0351.1411.1171.12
D+L−B−1.0451.0721.10610.9851.0351.0821.1171.12
Dm1.1151.1320.9641.071.0510.9871.1611.1961.098
Bm1.0661.1321.0531.0221.0521.0361.121.1961.142
Original1.1151.1321.0531.071.0511.0361.1611.1961.142
BM1.1631.1321.0531.1181.0511.0361.2021.1961.142
D−L+B+1.1841.1921.0011.141.1181.0371.241.2751.164
DM1.1151.1321.1431.071.0511.0861.1611.1961.186
D−L−B+1.1141.0720.981.0680.9850.9651.141.1171.058
D−L−B−1.0451.0720.9810.9850.9651.0821.1171.058
LM1.1651.2171.0681.1221.1461.0871.2311.3081.218
Table 5. Three-parameter Mooney–Rivlin material model parameters [29] for Smooth-Sil 950.
Table 5. Three-parameter Mooney–Rivlin material model parameters [29] for Smooth-Sil 950.
C 10 [Pa] C 01 [Pa] C 20 [Pa]
Mooney–Rivlin coefficients260,567.6297,549.8157,500.69
Table 6. PNA parameters kept constant in Figure 9.
Table 6. PNA parameters kept constant in Figure 9.
Actuator DimensionsActuator Dimensions
ParametricMeasureParametricMeasure
width20 mmac_th_for2 mm
height15 mmac_th_side3 mm
ch_width14 mmgap1 mm
ch_height13 mmair_vent2 mm
ac_th_up2 mmgap_height1 mm
paper_width0.2 mmends_ext2 mm
dis_betw_ch5 mmbot_layer2 mm
ch_depth2.8 mmdepth6.8 mm
Table 7. Target bending moments and angles for each actuator segment’s chambers ( L A C M C , L A M C P , L A P I P , L A D I P ) presented in Figure 16.
Table 7. Target bending moments and angles for each actuator segment’s chambers ( L A C M C , L A M C P , L A P I P , L A D I P ) presented in Figure 16.
Reduced-Order Single Actuator Unit’s Moment and Bending Angle Requirements
TGEMoment (Unit: N.m)Bending Angle (Unit: deg°)
LA CMC LA MCP LA PIP LA DIP LA CMC LA MCP LA PIP LA DIP
TGE16.67 × 10−56.67 × 10−51.70 × 10−41.52 × 10−4
TGE22.88 × 10−32.88 × 10−3−9.24 × 10−51.39 × 10−47.5°−4.7°
TGE31.28 × 10−31.28 × 10−37.71 × 10−3−1.37 × 10−47.5°
TGE41.15 × 10−31.15 × 10−30.0114.84 × 10−47.5°
TGE52.86 × 10−32.86 × 10−33.68 × 10−31.42 × 10−3
Table 8. Target pressure control for actuator lengths given in Figure 16 to achieve TGE using reduced-order models. The notation P X _ Y indicates the pressure input for either the top (T) or bottom (B) chamber (Y = T or B) for the actuator lengths L A C M C , L A M C P , L A P I P , L A D I P (X = CMC, MCP, PIP or DIP).
Table 8. Target pressure control for actuator lengths given in Figure 16 to achieve TGE using reduced-order models. The notation P X _ Y indicates the pressure input for either the top (T) or bottom (B) chamber (Y = T or B) for the actuator lengths L A C M C , L A M C P , L A P I P , L A D I P (X = CMC, MCP, PIP or DIP).
ExercisesActuator Pressure Control Aimed at Achieving Tendon-Gliding Exercises (Units: kPa)
P CMC _ T P CMC _ B P MCP _ T P MCP _ B P PIP _ T P PIP _ B P DIP _ T P DIP _ B
TGE1159.61259.95159.61259.95159.61259.95147.33147.33
TGE2286.290286.2900217.53186.96186.96
TGE3291.450291.450291.450168.96168.96
TGE4291.840291.840291.840291.840
TGE5148.14257.64148.14257.64215.310215.310
Table 9. Adjusted pressure control from Table 8 to consider for a 2D plane-strain actuator formulation. The notation P X _ Y indicates the pressure input for either the top (T) or bottom (B) chamber (Y = T or B) for the actuator lengths L A C M C , L A M C P , L A P I P , L A D I P (X = CMC, MCP, PIP or DIP).
Table 9. Adjusted pressure control from Table 8 to consider for a 2D plane-strain actuator formulation. The notation P X _ Y indicates the pressure input for either the top (T) or bottom (B) chamber (Y = T or B) for the actuator lengths L A C M C , L A M C P , L A P I P , L A D I P (X = CMC, MCP, PIP or DIP).
ExercisesActuator Pressure Control Aimed at Achieving Tendon-Gliding Exercises (Units: kPa)
P CMC _ T P CMC _ B P MCP _ T P MCP _ B P PIP _ T P PIP _ B P DIP _ T P DIP _ B
TGE173.94128.5473.94128.5473.94128.5473.9473.94
TGE2202.900.00202.900.000.001136.84116.71116.71
TGE3210.560.00210.560.00210.560.00121.12121.12
TGE4211.170.00211.170.00211.170.00211.170.00
TGE575.70131.6075.70131.60131.600.00131.600.00
Table 10. Pressure settings used to achieve bending profiles for TGE as shown in Figure 25. The notation P X _ Y indicates the pressure input for either the top (T) or bottom (B) chamber (Y = T or B) for the actuator lengths L A C M C , L A M C P , L A P I P , L A D I P (X = CMC, MCP, PIP or DIP).
Table 10. Pressure settings used to achieve bending profiles for TGE as shown in Figure 25. The notation P X _ Y indicates the pressure input for either the top (T) or bottom (B) chamber (Y = T or B) for the actuator lengths L A C M C , L A M C P , L A P I P , L A D I P (X = CMC, MCP, PIP or DIP).
ExercisesActuator Pressure Control Used to Test Dummy Finger (Units: kPa)
P CMC _ T P CMC _ B P MCP _ T P MCP _ B P PIP _ T P PIP _ B P DIP _ T P DIP _ B
TGE1130226130226130226130130
TGE2265026500200182182
TGE3300030003000206206
Table 11. Pressure settings used to achieve bending profiles for TGE1 and TGE2 as shown in Figure 27 for a finger with altered dimensions (CCD parameter change = 0.5 for all dimensions). The predicted response was obtained using the reduced-order model, while the actual response was the pressure readings obtained from the manufactured finger-actuator response. The notation P X _ Y indicates the pressure input for either the top (T) or bottom (B) chamber (Y = T or B) for the actuator lengths L A C M C , L A M C P , L A P I P , L A D I P (X = CMC, MCP, PIP or DIP).
Table 11. Pressure settings used to achieve bending profiles for TGE1 and TGE2 as shown in Figure 27 for a finger with altered dimensions (CCD parameter change = 0.5 for all dimensions). The predicted response was obtained using the reduced-order model, while the actual response was the pressure readings obtained from the manufactured finger-actuator response. The notation P X _ Y indicates the pressure input for either the top (T) or bottom (B) chamber (Y = T or B) for the actuator lengths L A C M C , L A M C P , L A P I P , L A D I P (X = CMC, MCP, PIP or DIP).
ExercisesActuator Pressure Control Used to Test Dummy Finger (Units: kPa)
P CMC _ T P CMC _ B P MCP _ T P MCP _ B P PIP _ T P PIP _ B P DIP _ T P DIP _ B
TGE1 (predicted)148.31265.31148.31265.31148.31265.31158.78158.78
TGE1 (actual)150250150250150250140140
TGE2 (predicted)297.230297.2300243.12178.3178.3
TGE2 (actual)290029000236182182
Disclaimer/Publisher’s Note: The statements, opinions and data contained in all publications are solely those of the individual author(s) and contributor(s) and not of MDPI and/or the editor(s). MDPI and/or the editor(s) disclaim responsibility for any injury to people or property resulting from any ideas, methods, instructions or products referred to in the content.

Share and Cite

MDPI and ACS Style

Chung, S.b.; Venter, M.P. Analysis and Design for a Wearable Single-Finger-Assistive Soft Robotic Device Allowing Flexion and Extension for Different Finger Sizes. Math. Comput. Appl. 2024, 29, 79. https://doi.org/10.3390/mca29050079

AMA Style

Chung Sb, Venter MP. Analysis and Design for a Wearable Single-Finger-Assistive Soft Robotic Device Allowing Flexion and Extension for Different Finger Sizes. Mathematical and Computational Applications. 2024; 29(5):79. https://doi.org/10.3390/mca29050079

Chicago/Turabian Style

Chung, Sung bok, and Martin Philip Venter. 2024. "Analysis and Design for a Wearable Single-Finger-Assistive Soft Robotic Device Allowing Flexion and Extension for Different Finger Sizes" Mathematical and Computational Applications 29, no. 5: 79. https://doi.org/10.3390/mca29050079

APA Style

Chung, S. b., & Venter, M. P. (2024). Analysis and Design for a Wearable Single-Finger-Assistive Soft Robotic Device Allowing Flexion and Extension for Different Finger Sizes. Mathematical and Computational Applications, 29(5), 79. https://doi.org/10.3390/mca29050079

Article Metrics

Back to TopTop