Surrogate-Assisted Symbolic Time-Series Discretization Using Multi-Breakpoints and a Multi-Objective Evolutionary Algorithm
Abstract
1. Introduction
- To increase the number of evaluations conducted on the original problem functions, thereby improving the fidelity of the surrogate models.
- To maintain the accuracy of the classification task achieved by the original model (eMODiTS).
- To analyze the surrogate model behavior compared with SAX-based discretization methods to verify whether the proposal maintains, improves, or worsens by incorporating these models regarding the well-known discretization approaches.
2. Materials and Methods
2.1. Symbolic Aggregate approXimation (SAX)
2.2. Multi-Objective Optimization Problem (MOOP)
2.3. Enhanced Multi-Objective Symbolic Discretization for Time Series (eMODiTS)
2.3.1. Population Generation
2.3.2. Evaluation Process
2.3.3. Offspring Creation and Mutation
2.3.4. Population Replacement
2.3.5. Preference Handling
2.4. Surrogate-Assisted Multi-Objective Symbolic Discretization for Time Series (sMODiTS)
2.4.1. Training Set Creation
2.4.2. Surrogate Model Creation
2.4.3. Surrogate Model Update
| Algorithm 1 Surrogate model update procedure |
Require:
|
2.5. Performance Metric for Surrogate Model Prediction
2.6. Datasets
3. Results and Discussion
3.1. Experimental Design
- Can sMODiTS increase the model fidelity regarding [42]? This question arises when analyzing the prediction power of sMODiTS and the proposal introduced in [42] compared to eMODiTS (original model). The results will seek to achieve the first research objective and are presented in Section 3.4.
- Is it possible to minimize the computational cost incurred by evaluating the solutions in the eMODiTS functions without losing the ability to classify the time series? This question arises to achieve the second research objective, which seeks to find an alternative evaluation of the objective functions without losing the time series classification rate. The answer to this question will be presented in Section 3.5.
- Is sMODiTS a competitive alternative compared to SAX-based symbolic discretization models? Finally, this question arises to analyze whether implementing the surrogate models in sMODiTS remains competitive in the task for which the tool was designed. Therefore, a comparison is made against symbolic discretization models showing competitive performance in time-series classification. In Section 3.6, the results that answer this question will be presented.
3.2. Parameter Settings
3.3. Performance Measures
- HVR [43]: This metric is based on the hypervolume (H) measure, which computes the volume in the space of objective functions covered by a set of non-dominated solutions based on a reference point. Therefore, the computation is expressed in Equation (9), where is the hypervolume of the obtained Pareto front and is the hypervolume of the true Pareto front. In this document, we take the true Pareto front as the eMODiTS Pareto front and the obtained Pareto front as the sMODiTS Pareto front. indicates that the sMODiTS Pareto front does not reach the eMODiTS Pareto front, indicates that both fronts are similar, and indicates that the sMODiTS Pareto front outperforms the eMODiTS Pareto front. Therefore, the ideal value is .
- Generational distance (GD) [91]: measures the closeness of the obtained and true Pareto front. It is expressed in Equation (10), where is the number of non-dominated solutions in the obtained Pareto front, and is the Euclidean distance between each solution of the obtained Pareto front and the nearest solution of the True Pareto front, measured in the space of the objective functions. Like HVR, for our purpose, the true Pareto front is taken as the eMODiTS Pareto front, and the obtained Pareto front is taken as the sMODiTS Pareto front. Values near zero indicate that the sMODiTS Pareto front is similar to the eMODiTS Pareto front. It is important to mention that the main reason for using this metric is to measure the closeness between the Pareto fronts. Therefore, it is not necessary to apply a data normalization technique to avoid bias in the distances of the points.
- Coverage measure (C) [92]: This measure computes the portion of two Pareto fronts covered or dominated by one another or vice versa. Equation (11) is used to compute this measure, where indicates that all elements of are dominated by , and indicates that no elements from are dominated by . It is important to mention that and . Therefore, both scenarios must be analyzed to provide a wide view of this measure. Two Pareto fronts are considered as similar when the coverage in both senses is zero simultaneously.
3.4. sMODiTS’ Prediction Power Analysis
3.5. Comparison between eMODiTS and sMODiTS
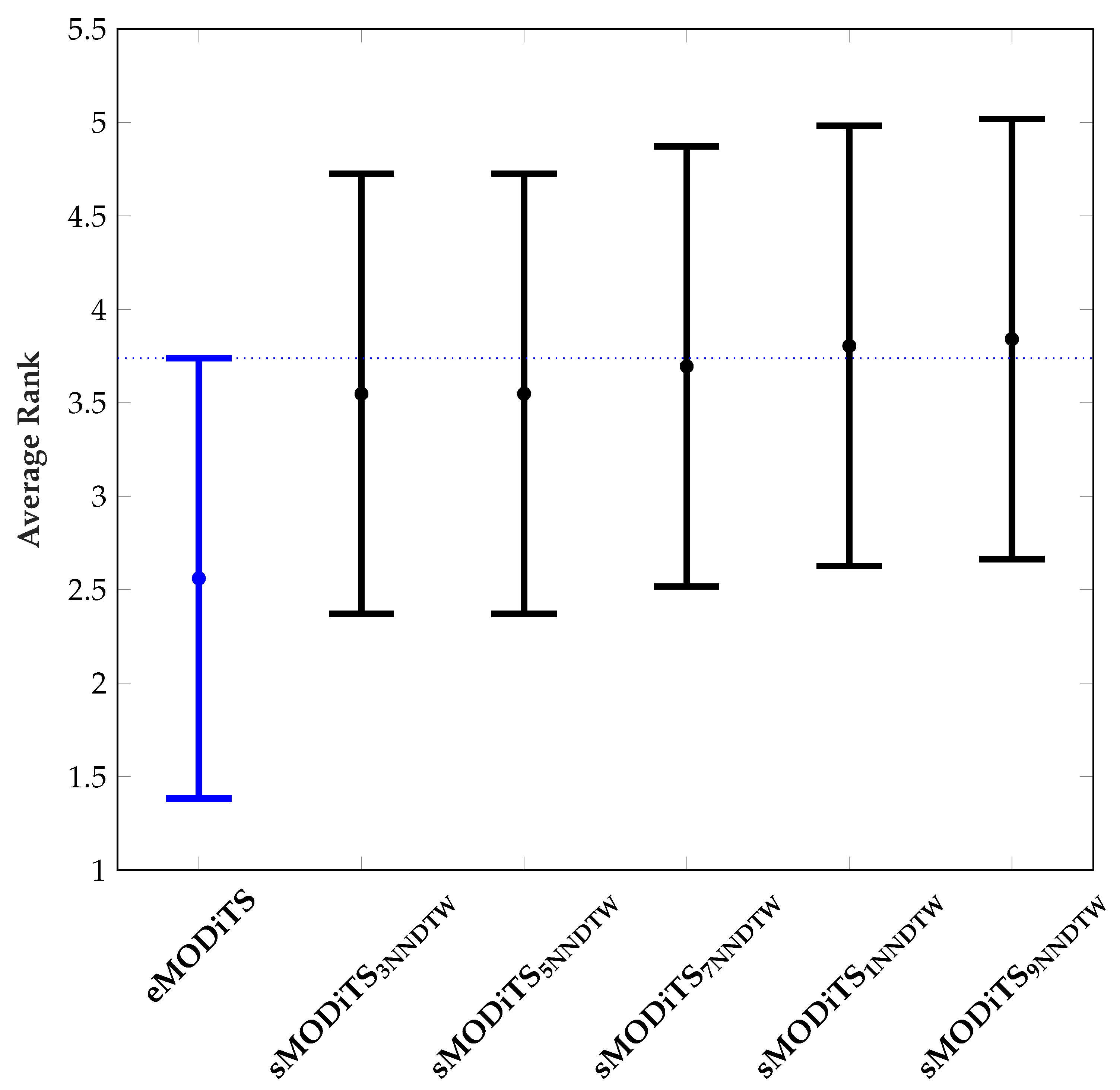
3.5.1. Classification Performance
3.5.2. Analysis of Pareto Fronts
3.5.3. Computational Cost Analysis
3.6. Comparison of sMODiTS among the SAX-Based Methods
4. Conclusions
Author Contributions
Funding
Data Availability Statement
Acknowledgments
Conflicts of Interest
References
- Dimitrova, E.S.; Licona, M.P.V.; McGee, J.; Laubenbacher, R. Discretization of time series data. J. Comput. Biol. 2010, 17, 853–868. [Google Scholar] [CrossRef] [PubMed]
- Lin, J.; Keogh, E.; Lonardi, S.; Chiu, B. A symbolic representation of time series, with implications for streaming algorithms. In Proceedings of the 8th ACM SIGMOD Workshop on Research Issues in Data Mining and Knowledge Discovery, San Diego, CA, USA, 13 June 2003; pp. 2–11. [Google Scholar]
- Lkhagva, B.; Suzuki, Y.; Kawagoe, K. Extended SAX: Extension of symbolic aggregate approximation for financial time series data representation. In Proceedings of the DEWS2006, Ginowan, Japan, 1–3 March 2006. [Google Scholar]
- Sant’Anna, A.; Wickström, N. Symbolization of time-series: An evaluation of sax, persist, and aca. In Proceedings of the 2011 4th International Congress on Image and Signal Processing, Shanghai, China, 15–17 October 2011; IEEE: Piscataway, NJ, USA, 2011; Volume 4, pp. 2223–2228. [Google Scholar]
- Zhang, H.; Dong, Y.; Xu, D. Entropy-based Symbolic Aggregate Approximation Representation Method for Time Series. In Proceedings of the 2020 IEEE 9th Joint International Information Technology and Artificial Intelligence Conference (ITAIC), Chongqing, China, 11–13 December 2020; Volume 9, pp. 905–909. [Google Scholar] [CrossRef]
- Muhammad Fuad, M.M. Modifying the Symbolic Aggregate Approximation Method to Capture Segment Trend Information. In Modeling Decisions for Artificial Intelligence; Torra, V., Narukawa, Y., Nin, J., Agell, N., Eds.; Springer International Publishing: Cham, Switzerland, 2020; pp. 230–239. [Google Scholar]
- Hui, R.; Xiaoguang, H.; Jin, X.; Guofeng, Z. TrSAX—An improved time series symbolic representation for classification. ISA Trans. 2020, 100, 387–395. [Google Scholar] [CrossRef]
- Lkhagva, B.; Suzuki, Y.; Kawagoe, K. New time series data representation ESAX for financial applications. In Proceedings of the 22nd International Conference on Data Engineering Workshops (ICDEW’06), Atlanta, GA, USA, 3–7 April 2006; IEEE: Piscataway, NJ, USA, 2006; p. x115. [Google Scholar]
- Pham, N.D.; Le, Q.L.; Dang, T.K. Two novel adaptive symbolic representations for similarity search in time series databases. In Proceedings of the 2010 12th International Asia-Pacific Web Conference, Busan, Republic of Korea, 6–8 April 2010; IEEE: Piscataway, NJ, USA, 2010; pp. 181–187. [Google Scholar]
- Bai, X.; Xiong, Y.; Zhu, Y.; Zhu, H. Time series representation: A random shifting perspective. In Proceedings of the International Conference on Web-Age Information Management, Beidaihe, China, 14–16 June 2013; Springer: Cham, Switzerland, 2013; pp. 37–50. [Google Scholar]
- Malinowski, S.; Guyet, T.; Quiniou, R.; Tavenard, R. 1d-sax: A novel symbolic representation for time series. In Proceedings of the International Symposium on Intelligent Data Analysis, London, UK, 17–19 October 2013; Springer: Berlin/Heidelberg, Germany, 2013; pp. 273–284. [Google Scholar]
- He, Z.; Zhang, C.; Ma, X.; Liu, G. Hexadecimal Aggregate Approximation Representation and Classification of Time Series Data. Algorithms 2021, 14, 353. [Google Scholar] [CrossRef]
- Kegel, L.; Hartmann, C.; Thiele, M.; Lehner, W. Season-and Trend-aware Symbolic Approximation for Accurate and Efficient Time Series Matching. Datenbank-Spektrum 2021, 21, 225–236. [Google Scholar] [CrossRef]
- Bountrogiannis, K.; Tzagkarakis, G.; Tsakalides, P. Data-driven kernel-based probabilistic SAX for time series dimensionality reduction. In Proceedings of the 2020 28th European Signal Processing Conference (EUSIPCO), Amsterdam, The Netherlands, 18–21 January 2021; IEEE: Piscataway, NJ, USA, 2021; pp. 2343–2347. [Google Scholar]
- dos Santos Passos, H.; Teodoro, F.G.S.; Duru, B.M.; de Oliveira, E.L.; Peres, S.M.; Lima, C.A. Symbolic representations of time series applied to biometric recognition based on ecg signals. In Proceedings of the 2017 international joint conference on neural networks (IJCNN), Anchorage, AK, USA, 14–19 May 2017; IEEE: Piscataway, NJ, USA, 2017; pp. 3199–3207. [Google Scholar]
- Acosta-Mesa, H.G.; Rechy-Ramírez, F.; Mezura-Montes, E.; Cruz-Ramírez, N.; Jiménez, R.H. Application of time series discretization using evolutionary programming for classification of precancerous cervical lesions. J. Biomed. Inform. 2014, 49, 73–83. [Google Scholar] [CrossRef]
- Ahmed, A.M.; Bakar, A.A.; Hamdan, A.R. Harmony search algorithm for optimal word size in symbolic time series representation. In Proceedings of the 2011 3rd Conference on Data Mining and Optimization (DMO), Putrajaya, Malaysia, 28–29 June 2011; IEEE: Piscataway, NJ, USA, 2011; pp. 57–62. [Google Scholar]
- Fuad, M.; Marwan, M. Genetic algorithms-based symbolic aggregate approximation. In Proceedings of the International Conference on Data Warehousing and Knowledge Discovery, Vienna, Austria, 3–6 September 2012; Springer: Berlin/Heidelberg, Germany, 2012; pp. 105–116. [Google Scholar]
- Fuad, M.M.M. Differential evolution versus genetic algorithms: Towards symbolic aggregate approximation of non-normalized time series. In Proceedings of the 16th International Database Engineering & Applications Sysmposium, IDEAS ’12, Prague, Czech Republic, 8–10 August 2012; Association for Computing Machinery: New York, NY, USA, 2012; pp. 205–210. [Google Scholar] [CrossRef]
- Márquez-Grajales, A.; Acosta-Mesa, H.G.; Mezura-Montes, E.; Graff, M. A multi-breakpoints approach for symbolic discretization of time series. Knowl. Inf. Syst. 2020, 62, 2795–2834. [Google Scholar] [CrossRef]
- Jiang, P.; Zhou, Q.; Shao, X. Surrogate Model-Based Engineering Design and Optimization; Springer: Singapore, 2020. [Google Scholar]
- Koziel, S.; Pietrenko-Dabrowska, A. Rapid multi-criterial antenna optimization by means of pareto front triangulation and interpolative design predictors. IEEE Access 2021, 9, 35670–35680. [Google Scholar] [CrossRef]
- Koziel, S.; Pietrenko-Dabrowska, A. Fast multi-objective optimization of antenna structures by means of data-driven surrogates and dimensionality reduction. IEEE Access 2020, 8, 183300–183311. [Google Scholar] [CrossRef]
- Koziel, S.; Pietrenko-Dabrowska, A. Constrained multi-objective optimization of compact microwave circuits by design triangulation and pareto front interpolation. Eur. J. Oper. Res. 2022, 299, 302–312. [Google Scholar] [CrossRef]
- Pietrenko-Dabrowska, A.; Koziel, S. Accelerated multiobjective design of miniaturized microwave components by means of nested kriging surrogates. Int. J. RF Microw. Comput.-Aided Eng. 2020, 30, e22124. [Google Scholar] [CrossRef]
- do Nascimento, C.A.R.; Mariani, V.C.; dos Santos Coelho, L. Integrative numerical modeling and thermodynamic optimal design of counter-flow plate-fin heat exchanger applying neural networks. Int. J. Heat Mass Transf. 2020, 159, 120097. [Google Scholar] [CrossRef]
- Amrit, A.; Leifsson, L.; Koziel, S. Fast multi-objective aerodynamic optimization using sequential domain patching and multifidelity models. J. Aircr. 2020, 57, 388–398. [Google Scholar] [CrossRef]
- Zhu, H.; Li, D.; Nie, H.; Wei, X.; Wei, Y. Multiobjective optimization of a staggered-rotor octocopter design based on a surrogate model. Aerosp. Sci. Technol. 2023, 139, 108387. [Google Scholar] [CrossRef]
- Fan, Y.; Lu, W.; Miao, T.; Li, J.; Lin, J. Multiobjective optimization of the groundwater exploitation layout in coastal areas based on multiple surrogate models. Environ. Sci. Pollut. Res. 2020, 27, 19561–19576. [Google Scholar] [CrossRef]
- Ji, X.; Zhang, Y.; Gong, D.; Sun, X.; Guo, Y. Multisurrogate-Assisted Multitasking Particle Swarm Optimization for Expensive Multimodal Problems. IEEE Trans. Cybern. 2023, 53, 2516–2530. [Google Scholar] [CrossRef]
- Ye, P.; Pan, G. An optimization algorithm combining local exploitation and global exploration for computationally expensive problems. Soft Comput. 2024, 28, 7841–7860. [Google Scholar] [CrossRef]
- Zhao, F.; Tang, Z.; Xiao, Z.; Liu, H.; Fan, J.; Li, L. Ensemble CART surrogate-assisted automatic multi-objective rough fuzzy clustering algorithm for unsupervised image segmentation. Eng. Appl. Artif. Intell. 2024, 133, 108104. [Google Scholar] [CrossRef]
- Shui, Y.; Li, H.; Sun, J.; Zhang, Q. Approximating robust Pareto fronts by the MEOF-based multiobjective evolutionary algorithm with two-level surrogate models. Inf. Sci. 2024, 657, 119946. [Google Scholar] [CrossRef]
- Sampaio, P.R. DEFT-FUNNEL: An open-source global optimization solver for constrained grey-box and black-box problems. Comput. Appl. Math. 2021, 40, 176. [Google Scholar] [CrossRef]
- Romor, F.; Tezzele, M.; Rozza, G. A Local Approach to Parameter Space Reduction for Regression and Classification Tasks. J. Sci. Comput. 2024, 99, 83. [Google Scholar] [CrossRef]
- Araújo, G.; Gomes, R.; Ferrão, P.; Gomes, M.G. Optimizing building retrofit through data analytics: A study of multi-objective optimization and surrogate models derived from energy performance certificates. Energy Built Environ. 2024, 5, 889–899. [Google Scholar] [CrossRef]
- Greiner, D.; Cacereño, A. Enhancing the maintenance strategy and cost in systems with surrogate assisted multiobjective evolutionary algorithms. Dev. Built Environ. 2024, 19, 100478. [Google Scholar] [CrossRef]
- Hook, D.W.; Porter, S.J.; Herzog, C. Dimensions: Building Context for Search and Evaluation. Front. Res. Metrics Anal. 2018, 3, 23. [Google Scholar] [CrossRef]
- Dumont, V.; Garner, C.; Trivedi, A.; Jones, C.; Ganapati, V.; Mueller, J.; Perciano, T.; Kiran, M.; Day, M. HYPPO: A Surrogate-Based Multi-Level Parallelism Tool for Hyperparameter Optimization. In Proceedings of the 2021 IEEE/ACM Workshop on Machine Learning in High Performance Computing Environments (MLHPC), St. Louis, MO, USA, 15 November 2021; pp. 81–93. [Google Scholar] [CrossRef]
- Wu, Z.Y.; Rahman, A. Optimized Deep Learning Framework for Water Distribution Data-Driven Modeling. Procedia Eng. 2017, 186, 261–268. [Google Scholar] [CrossRef]
- Vijayaprabakaran, K.; Sathiyamurthy, K. Neuroevolution based hierarchical activation function for long short-term model network. J. Ambient Intell. Humaniz. Comput. 2021, 12, 10757–10768. [Google Scholar] [CrossRef]
- Márquez-Grajales, A.; Mezura-Montes, E.; Acosta-Mesa, H.G.; Salas-Martínez, F. Use of a Surrogate Model for Symbolic Discretization of Temporal Data Sets through eMODiTS and a Training Set with Varying-Sized Instances. In Advances in Computational Intelligence; MICAI 2023 International Workshops; Calvo, H., Martínez-Villaseñor, L., Ponce, H., Zatarain Cabada, R., Montes Rivera, M., Mezura-Montes, E., Eds.; Springer Nature: Cham, Switzerland, 2024; pp. 360–372. [Google Scholar]
- Coello, C.A.C.; Lamont, G.B.; Veldhuizen, D.A.V. Evolutionary Algorithms for Solving Multi-Objective Problems; Springer: Berlin/Heidelberg, Germany, 2007; Volume 5. [Google Scholar]
- Deb, K. Multi-Objective Optimization using Evolutionary Algorithms; John Wiley & Sons, Inc.: Hoboken, NJ, USA, 2001. [Google Scholar]
- Peng, H.; Pi, C.; Xiong, J.; Fan, D.; Shen, F. A dynamic multi-objective evolutionary algorithm with variable stepsize and dual prediction strategies. Future Gener. Comput. Syst. 2024, 161, 390–403. [Google Scholar] [CrossRef]
- Rangaiah, G.P. Multi-Objective Optimization: Techniques and Applications in Chemical Engineering; World Scientific: Singapore, 2016; Volume 5. [Google Scholar]
- Delboeuf, J. Mathematical Psychics, an Essay on the Application of Mathematics to the Moral Sciences; CK Paul: London, UK, 1881. [Google Scholar]
- Deb, K.; Deb, K. Multi-objective Optimization. In Search Methodologies: Introductory Tutorials in Optimization and Decision Support Techniques; Springer: Boston, MA, USA, 2014; Chapter 15; pp. 403–449. [Google Scholar] [CrossRef]
- Pareto, V. Cours d’économie Politique; Librairie Droz: Geneva, Switzerland, 1964; Volume 1. [Google Scholar]
- Deb, K.; Agrawal, S.; Pratap, A.; Meyarivan, T. A fast elitist non-dominated sorting genetic algorithm for multi-objective optimization: NSGA-II. In Proceedings of the International Conference on Parallel Problem Solving from Nature, Paris, France, 18–20 September 2000; Springer: Berlin/Heidelberg, Germany, 2000; pp. 849–858. [Google Scholar]
- Deb, K.; Pratap, A.; Agarwal, S.; Meyarivan, T. A fast and elitist multiobjective genetic algorithm: NSGA-II. IEEE Trans. Evol. Comput. 2002, 6, 182–197. [Google Scholar] [CrossRef]
- Verma, S.; Pant, M.; Snasel, V. A comprehensive review on NSGA-II for multi-objective combinatorial optimization problems. IEEE Access 2021, 9, 57757–57791. [Google Scholar] [CrossRef]
- Syswerda, G. Uniform crossover in genetic algorithms. In Proceedings of the Third International Conference on Genetic Algorithms, Fairfax, VA, USA, 4–7 June 1989; Morgan Kaufmann Publishers Inc.: San Francisco, CA, USA, 1989; Volume 3, pp. 2–9. [Google Scholar]
- Poli, R.; Langdon, W.B. Genetic programming with one-point crossover. In Soft Computing in Engineering Design and Manufacturing; Springer: Berlin/Heidelberg, Germany, 1998; pp. 180–189. [Google Scholar]
- Mirjalili, S. Genetic algorithm. In Evolutionary Algorithms and Neural Networks; Springer: Berlin/Heidelberg, Germany, 2019; pp. 43–55. [Google Scholar]
- Zainuddin, F.A.; Abd Samad, M.F.; Tunggal, D. A review of crossover methods and problem representation of genetic algorithm in recent engineering applications. Int. J. Adv. Sci. Technol. 2020, 29, 759–769. [Google Scholar]
- Singh, G.; Gupta, N. A Study of Crossover Operators in Genetic Algorithms. In Frontiers in Nature-Inspired Industrial Optimization; Springer: Berlin/Heidelberg, Germany, 2022; pp. 17–32. [Google Scholar]
- Singh, A.; Gupta, N.; Sinhal, A. Artificial bee colony algorithm with uniform mutation. In Proceedings of the International Conference on Soft Computing for Problem Solving (SocProS 2011), Roorkee, India, 20–22 December 2011; Springer: Roorkee, India, 2012; pp. 503–511. [Google Scholar]
- Koziel, S.; Ciaurri, D.E.; Leifsson, L. Surrogate-based methods. In Computational Optimization, Methods and Algorithms; Springer: Berlin/Heidelberg, Germany, 2011; pp. 33–59. [Google Scholar]
- Tong, H.; Huang, C.; Minku, L.L.; Yao, X. Surrogate models in evolutionary single-objective optimization: A new taxonomy and experimental study. Inf. Sci. 2021, 562, 414–437. [Google Scholar] [CrossRef]
- Miranda-Varela, M.E.; Mezura-Montes, E. Constraint-handling techniques in surrogate-assisted evolutionary optimization. An empirical study. Appl. Soft Comput. 2018, 73, 215–229. [Google Scholar] [CrossRef]
- Bhosekar, A.; Ierapetritou, M. Advances in surrogate based modeling, feasibility analysis, and optimization: A review. Comput. Chem. Eng. 2018, 108, 250–267. [Google Scholar] [CrossRef]
- Fang, K.; Liu, M.Q.; Qin, H.; Zhou, Y.D. Theory and Application of Uniform Experimental Designs; Springer: Berlin/Heidelberg, Germany, 2018; Volume 221. [Google Scholar]
- Kai-Tai, F.; Dennis K.J., L.; Peter, W.; Yong, Z. Uniform Design: Theory and Application. Technometrics 2000, 42, 237–248. [Google Scholar] [CrossRef]
- Yondo, R.; Andrés, E.; Valero, E. A review on design of experiments and surrogate models in aircraft real-time and many-query aerodynamic analyses. Prog. Aerosp. Sci. 2018, 96, 23–61. [Google Scholar] [CrossRef]
- Díaz-Manríquez, A.; Toscano, G.; Barron-Zambrano, J.H.; Tello-Leal, E. A review of surrogate assisted multiobjective evolutionary algorithms. Comput. Intell. Neurosci. 2016, 2016, 9420460. [Google Scholar] [CrossRef] [PubMed]
- Deb, K.; Roy, P.C.; Hussein, R. Surrogate modeling approaches for multiobjective optimization: Methods, taxonomy, and results. Math. Comput. Appl. 2020, 26, 5. [Google Scholar] [CrossRef]
- Lv, Z.; Wang, L.; Han, Z.; Zhao, J.; Wang, W. Surrogate-assisted particle swarm optimization algorithm with Pareto active learning for expensive multi-objective optimization. IEEE/CAA J. Autom. Sin. 2019, 6, 838–849. [Google Scholar] [CrossRef]
- Zhao, M.; Zhang, K.; Chen, G.; Zhao, X.; Yao, C.; Sun, H.; Huang, Z.; Yao, J. A surrogate-assisted multi-objective evolutionary algorithm with dimension-reduction for production optimization. J. Pet. Sci. Eng. 2020, 192, 107192. [Google Scholar] [CrossRef]
- Wang, X.; Jin, Y.; Schmitt, S.; Olhofer, M. An adaptive Bayesian approach to surrogate-assisted evolutionary multi-objective optimization. Inf. Sci. 2020, 519, 317–331. [Google Scholar] [CrossRef]
- Ruan, X.; Li, K.; Derbel, B.; Liefooghe, A. Surrogate assisted evolutionary algorithm for medium scale multi-objective optimisation problems. In Proceedings of the 2020 Genetic and Evolutionary Computation Conference, Cancún, Mexico, 8–12 July 2020; pp. 560–568. [Google Scholar]
- Bao, K.; Fang, W.; Ding, Y. Adaptive Weighted Strategy Based Integrated Surrogate Models for Multiobjective Evolutionary Algorithm. Comput. Intell. Neurosci. 2022, 2022, 5227975. [Google Scholar] [CrossRef]
- Wang, X.; Jin, Y.; Schmitt, S.; Olhofer, M. Transfer Learning Based Co-Surrogate Assisted Evolutionary Bi-Objective Optimization for Objectives with Non-Uniform Evaluation Times. Evol. Comput. 2022, 30, 221–251. [Google Scholar] [CrossRef] [PubMed]
- Rosales-Pérez, A.; Coello, C.A.C.; Gonzalez, J.A.; Reyes-Garcia, C.A.; Escalante, H.J. A hybrid surrogate-based approach for evolutionary multi-objective optimization. In Proceedings of the 2013 IEEE Congress on Evolutionary Computation, Cancun, Mexico, 20–23 June 2013; IEEE: Piscataway, NJ, USA, 2013; pp. 2548–2555. [Google Scholar]
- Bi, Y.; Xue, B.; Zhang, M. Instance Selection-Based Surrogate-Assisted Genetic Programming for Feature Learning in Image Classification. IEEE Trans. Cybern. 2021, 53, 1118–1132. [Google Scholar] [CrossRef] [PubMed]
- Blank, J.; Deb, K. GPSAF: A Generalized Probabilistic Surrogate-Assisted Framework for Constrained Single-and Multi-objective Optimization. arXiv 2022, arXiv:2204.04054. [Google Scholar]
- Wu, M.; Wang, L.; Xu, J.; Wang, Z.; Hu, P.; Tang, H. Multiobjective ensemble surrogate-based optimization algorithm for groundwater optimization designs. J. Hydrol. 2022, 612, 128159. [Google Scholar] [CrossRef]
- Isaacs, A.; Ray, T.; Smith, W. An evolutionary algorithm with spatially distributed surrogates for multiobjective optimization. In Proceedings of the Australian Conference on Artificial Life, Gold Coast, Australia, 4–6 December 2007; Springer: New York, NY, USA, 2007; pp. 257–268. [Google Scholar]
- Datta, R.; Regis, R.G. A surrogate-assisted evolution strategy for constrained multi-objective optimization. Expert Syst. Appl. 2016, 57, 270–284. [Google Scholar] [CrossRef]
- Kourakos, G.; Mantoglou, A. Development of a multi-objective optimization algorithm using surrogate models for coastal aquifer management. J. Hydrol. 2013, 479, 13–23. [Google Scholar] [CrossRef]
- Yan, Y.; Zhang, Y.; Hu, W.; Guo, X.j.; Ma, C.; Wang, Z.a.; Zhang, Q. A multiobjective evolutionary optimization method based critical rainfall thresholds for debris flows initiation. J. Mt. Sci. 2020, 17, 1860–1873. [Google Scholar] [CrossRef]
- De Melo, M.C.; Santos, P.B.; Faustino, E.; Bastos-Filho, C.J.; Sodré, A.C. Computational Intelligence-Based Methodology for Antenna Development. IEEE Access 2021, 10, 1860–1870. [Google Scholar] [CrossRef]
- Gatopoulos, I.; Lepert, R.; Wiggers, A.; Mariani, G.; Tomczak, J. Evolutionary Algorithm with Non-parametric Surrogate Model for Tensor Program optimization. In Proceedings of the 2020 IEEE Congress on Evolutionary Computation (CEC), Glasgow, UK, 19–24 July 2020; IEEE: Piscataway, NJ, USA, 2020; pp. 1–8. [Google Scholar]
- Zhi, J.; Yong, Z.; Xian-fang, S.; Chunlin, H. A Surrogate-Assisted Ensemble Particle Swarm Optimizer for Feature Selection Problems. In Advances in Swarm Intelligence, International Conference on Sensing and Imaging; Springer: Cham, Switzerland, 2022; pp. 160–166. [Google Scholar]
- Legates, D.R.; McCabe, G.J., Jr. Evaluating the use of “goodness-of-fit” Measures in hydrologic and hydroclimatic model validation. Water Resour. Res. 1999, 35, 233–241. [Google Scholar] [CrossRef]
- Yang, Q.; Wang, H.; Yang, C.; Wang, Y.; Hu, D.; Wang, B.; Duan, B. Research on surrogate models and optimization algorithms of compressor characteristic based on digital twins. J. Eng. Res. 2024. [Google Scholar] [CrossRef]
- Jiang, P.; Zhou, Q.; Shao, X. Surrogate-Model-Based Design and Optimization. In Surrogate Model-Based Engineering Design and Optimization; Springer: Singapore, 2020; pp. 135–236. [Google Scholar] [CrossRef]
- Dau, H.A.; Keogh, E.; Kamgar, K.; Yeh, C.-C.M.; Zhu, Y.; Gharghabi, S.; Ratanamahatana, C.A.; Chen, Y.; Hu, B.; Begum, N.; et al. The UCR Time Series Classification Archive. 2018. Available online: https://www.cs.ucr.edu/~eamonn/time_series_data_2018/ (accessed on 31 May 2024).
- Ratanamahatana, C.A.; Keogh, E. Everything you know about dynamic time warping is wrong. In Proceedings of the Third Workshop on Mining Temporal and Sequential Data, Seattle, WA, USA, 22 August 2004; Volume 32. [Google Scholar]
- Kamper, S.J. Confidence Intervals: Linking Evidence to Practice. J. Orthop. Sport. Phys. Ther. 2019, 49, 763–764. [Google Scholar] [CrossRef] [PubMed]
- Knowles, J.; Corne, D. On metrics for comparing nondominated sets. In Proceedings of the 2002 Congress on Evolutionary Computation (CEC’02), Honolulu, HI, USA, 12–17 May 2002; Volume 1, pp. 711–716. [Google Scholar] [CrossRef]
- Ascia, G.; Catania, V.; Palesi, M. A GA-based design space exploration framework for parameterized system-on-a-chip platforms. IEEE Trans. Evol. Comput. 2004, 8, 329–346. [Google Scholar] [CrossRef]
- Uddin, S.; Haque, I.; Lu, H.; Moni, M.A.; Gide, E. Comparative performance analysis of K-nearest neighbour (KNN) algorithm and its different variants for disease prediction. Sci. Rep. 2022, 12, 6256. [Google Scholar] [CrossRef] [PubMed]
- Wiyono, S.; Abidin, T. Implementation of K-Nearest Neighbour (KNN) Algorithm to Predict Student’s Performance. Simetris J. Tek. Mesin Elektro Dan Ilmu Komput. 2018, 9, 873–878. [Google Scholar] [CrossRef][Green Version]
- Qian, Q.; Chen, S. Co-metric: A metric learning algorithm for data with multiple views. Front. Comput. Sci. 2013, 7, 359–369. [Google Scholar] [CrossRef]












| Dataset | Abbrev. | Train Size | Test Size | Length | Classes Number | Type |
|---|---|---|---|---|---|---|
| ArrowHead | ARROW | 36 | 175 | 251 | 3 | IMAGE |
| CBF | CBF | 30 | 900 | 128 | 3 | SIMULATED |
| Coffee | COFFEE | 28 | 28 | 286 | 2 | SPECTRO |
| CricketX | CRICKX | 390 | 390 | 300 | 12 | MOTION |
| CricketY | CRICKY | 390 | 390 | 300 | 12 | MOTION |
| CricketZ | CRICKZ | 390 | 390 | 300 | 12 | MOTION |
| DiatomSizeReduction | DSR | 16 | 306 | 345 | 4 | IMAGE |
| DistalPhalanxOutlineAgeGroup | DPOAG | 400 | 139 | 80 | 3 | IMAGE |
| DistalPhalanxOutlineCorrect | DPOC | 600 | 276 | 80 | 2 | IMAGE |
| DistalPhalanxTW | DPTW | 400 | 139 | 80 | 6 | IMAGE |
| ECG200 | ECG200 | 100 | 100 | 96 | 2 | ECG |
| ECG5000 | ECG5K | 500 | 4500 | 140 | 5 | ECG |
| ECGFiveDays | ECG5D | 23 | 861 | 136 | 2 | ECG |
| FaceAll | FALL | 560 | 1690 | 131 | 14 | IMAGE |
| FacesUCR | FUCR | 200 | 2050 | 131 | 14 | IMAGE |
| GunPoint | GUNP | 50 | 150 | 150 | 2 | MOTION |
| InsectWingbeatSound | IWS | 220 | 1980 | 256 | 11 | EPG |
| ItalyPowerDemand | ITAPD | 67 | 1029 | 24 | 2 | EPG |
| Lightning7 | LIGHT7 | 70 | 73 | 319 | 7 | SENSOR |
| MedicalImages | MEDIMG | 381 | 760 | 99 | 10 | HAR |
| MiddlePhalanxOutlineAgeGroup | MPOAG | 400 | 154 | 80 | 3 | SENSOR |
| MiddlePhalanxOutlineCorrect | MPOC | 600 | 291 | 80 | 2 | SENSOR |
| MiddlePhalanxTW | MPTW | 399 | 154 | 80 | 6 | OTHER |
| MoteStrain | MOTEST | 20 | 1252 | 84 | 2 | SIMULATED |
| PhalangesOutlinesCorrect | PHOC | 1800 | 858 | 80 | 2 | IMAGE |
| Plane | PLANE | 105 | 105 | 144 | 7 | IMAGE |
| ProximalPhalanxOutlineAgeGroup | PPOAG | 400 | 205 | 80 | 3 | AUDIO |
| ProximalPhalanxOutlineCorrect | PPOC | 600 | 291 | 80 | 2 | IMAGE |
| ProximalPhalanxTW | PPTW | 400 | 205 | 80 | 6 | SENSOR |
| SonyAIBORobotSurface1 | SONY1 | 20 | 601 | 70 | 2 | IMAGE |
| SonyAIBORobotSurface2 | SONY2 | 27 | 953 | 65 | 2 | MISC |
| SwedishLeaf | SWEDLF | 500 | 625 | 128 | 15 | SOUND |
| SyntheticControl | SYNCTR | 300 | 300 | 60 | 6 | SENSOR |
| ToeSegmentation1 | TOES1 | 40 | 228 | 277 | 2 | HEMODYNAMICS |
| ToeSegmentation2 | TOES2 | 36 | 130 | 343 | 2 | HEMODYNAMICS |
| Trace | TRACE | 100 | 100 | 275 | 4 | HEMODYNAMICS |
| TwoLeadECG | TWOECG | 23 | 1139 | 82 | 2 | DEVICE |
| TwoPatterns | TWOPAT | 1000 | 4000 | 128 | 4 | SENSOR |
| Wafer | WAFER | 1000 | 6164 | 152 | 2 | HAR |
| Wine | WINE | 57 | 54 | 234 | 2 | DEVICE |
| WordSynonyms | WORDS | 267 | 638 | 270 | 25 | AUDIO |
| Parameter | Value |
|---|---|
| Population size | 100 |
| Generation number | 300 |
| Number of independent executions | 15 |
| Crossover rate | 80% |
| Mutation rate | 20% |
| Márquez-Grajales et al. [42] | sMODiTS | ||||||||||
|---|---|---|---|---|---|---|---|---|---|---|---|
| Function | Measure | 1NNDTW | 3NNDTW | 5NNDTW | 7NNDTW | 9NNDTW | 1NNDTW | 3NNDTW | 5NNDTW | 7NNDTW | 9NNDTW |
| Entropy | RMSE | 0.1243 (±0.1367) | 0.0753 (±0.0624) | 0.0748 (±0.0693) | 0.085 (±0.0582) | 0.0843 (±0.0559) | 0.1115 (±0.1107) | 0.1099 (±0.1046) | 0.0962 (±0.0745) | 0.0984 (±0.0771) | 0.0907 (±0.0811) |
| 0.491 (±0.1535) | 0.405 (±0.1804) | 0.3867 (±0.1674) | 0.4557 (±0.1884) | 0.4631 (±0.1687) | 0.6198 (±0.1344) | 0.5916 (±0.1416) | 0.5863 (±0.1388) | 0.5882 (±0.114) | 0.5719 (±0.1271) | ||
| MAE | 0.0594 (±0.0896) | 0.0318 (±0.043) | 0.0343 (±0.0405) | 0.0393 (±0.0386) | 0.0402 (±0.0389) | 0.0516 (±0.0736) | 0.0573 (±0.0735) | 0.045 (±0.0443) | 0.0468 (±0.0439) | 0.0437 (±0.0491) | |
| Complexity | RMSE | 0.2872 (±0.1245) | 0.3352 (±0.1387) | 0.3395 (±0.1243) | 0.3481 (±0.1454) | 0.3203 (±0.1319) | 0.1371 (±0.0522) | 0.1216 (±0.0368) | 0.1175 (±0.0366) | 0.1248 (±0.0452) | 0.125 (±0.0402) |
| 0.5719 (±0.1262) | 0.5773 (±0.1059) | 0.587 (±0.0831) | 0.5998 (±0.1295) | 0.6289 (±0.133) | 0.6623 (±0.1846) | 0.6704 (±0.2032) | 0.6704 (±0.1712) | 0.6629 (±0.1723) | 0.6443 (±0.172) | ||
| MAE | 0.1721 (±0.0826) | 0.1871 (±0.104) | 0.1837 (±0.0839) | 0.1983 (±0.11) | 0.1742 (±0.0916) | 0.0923 (±0.0359) | 0.0835 (±0.0254) | 0.083 (±0.0261) | 0.0883 (±0.0292) | 0.0903 (±0.0288) | |
| InfoLoss | RMSE | 0.1185 (±0.0414) | 0.1059 (±0.0419) | 0.1017 (±0.035) | 0.0954 (±0.0348) | 0.1064 (±0.0459) | 0.0628 (±0.0249) | 0.0616 (±0.0276) | 0.0585 (±0.0173) | 0.0631 (±0.0191) | 0.0643 (±0.0176) |
| 0.4489 (±0.0703) | 0.4955 (±0.093) | 0.489 (±0.1232) | 0.4798 (±0.1034) | 0.4846 (±0.0677) | 0.5356 (±0.1152) | 0.4663 (±0.1577) | 0.44 (±0.1407) | 0.4045 (±0.1444) | 0.3769 (±0.1174) | ||
| MAE | 0.0868 (±0.0293) | 0.0772 (±0.0324) | 0.0733 (±0.0291) | 0.068 (±0.0252) | 0.0762 (±0.0317) | 0.0409 (±0.015) | 0.0449 (±0.0211) | 0.0433 (±0.0113) | 0.0482 (±0.0138) | 0.0493 (±0.0139) | |
| Dataset Abbrev. | |||||
|---|---|---|---|---|---|
| ARROW | 0.7673 (0.002) [−] | 0.8937 (0.0059) [−] | 1.0192 (0.002) [+] | 0.8457 (0.0039) [−] | 0.9714 (0.625) [*] |
| CBF | 1.1505 (0.002) [+] | 0.9459 (0.002) [−] | 1.041 (0.0098) [+] | 0.9835 (0.002) [−] | 0.9302 (0.002) [−] |
| COFFEE | 0.8001 (0.002) [−] | 0.8108 (0.002) [−] | 0.8674 (0.0098) [−] | 0.7831 (0.002) [−] | 0.7819 (0.002) [−] |
| CRICKX | 1.0237 (0.002) [+] | 1.0436 (0.002) [+] | 1.0371 (0.0195) [+] | 1.026 (0.1309) [•] | 1.0271 (0.3223) [•] |
| CRICKY | 0.945 (0.002) [−] | 0.9709 (0.002) [−] | 1.0029 (0.084) [•] | 0.986 (0.002) [−] | 0.9803 (0.002) [−] |
| CRICKZ | 0.9648 (0.002) [−] | 0.9865 (0.2754) [*] | 0.9889 (0.084) [*] | 0.9541 (0.002) [−] | 0.9867 (0.4922) [*] |
| DSR | 0.9845 (0.1055) [*] | 1.004 (0.4922) [•] | 0.8962 (0.002) [−] | 0.9512 (0.002) [−] | 0.9578 (0.002) [−] |
| DPOAG | 1.0013 (0.0645) [•] | 1.003 (0.002) [+] | 1.0023 (0.1055) [•] | 1.0106 (0.002) [+] | 0.9996 (0.0195) [−] |
| DPOC | 0.938 (0.0039) [−] | 0.9331 (0.002) [−] | 0.8643 (0.0039) [−] | 0.9904 (1) [*] | 0.974 (0.9219) [*] |
| DPTW | 0.9248 (0.002) [−] | 0.938 (0.002) [−] | 0.9285 (0.002) [−] | 0.8387 (0.002) [−] | 0.943 (0.002) [−] |
| ECG200 | 1.0613 (0.002) [+] | 0.7807 (0.002) [−] | 1.051 (0.0059) [+] | 0.9615 (0.0371) [−] | 0.9906 (0.2754) [*] |
| ECG5K | 0.9483 (0.002) [−] | 0.781 (0.002) [−] | 0.9884 (0.2754) [*] | 0.9598 (0.0039) [−] | 0.9528 (0.3223) [*] |
| ECG5D | 0.8682 (0.002) [−] | 0.8093 (0.002) [−] | 0.8213 (0.002) [−] | 0.9557 (0.002) [−] | 0.8446 (0.002) [−] |
| FALL | 1.0291 (0.002) [+] | 1.0321 (0.002) [+] | 1.0194 (0.002) [+] | 1.0194 (0.002) [+] | 1.0272 (0.002) [+] |
| FUCR | 0.8872 (0.002) [−] | 0.9729 (0.002) [−] | 0.9632 (0.002) [−] | 0.8411 (0.002) [−] | 0.9254 (0.002) [−] |
| GUNP | 0.9483 (0.0039) [−] | 0.8051 (0.002) [−] | 0.9866 (0.002) [−] | 0.8377 (0.002) [−] | 0.8554 (0.002) [−] |
| IWS | 1.0128 (0.002) [+] | 1.021 (0.1309) [•] | 0.9784 (0.0488) [−] | 0.9906 (0.3223) [*] | 1.0023 (0.0098) [+] |
| ITAPD | 0.9986 (0.002) [−] | 0.9677 (0.002) [−] | 0.9909 (0.002) [−] | 0.9812 (0.002) [−] | 0.9578 (0.002) [−] |
| LIGHT7 | 1.0344 (0.002) [+] | 1.0593 (0.002) [+] | 0.9616 (0.002) [−] | 1.0631 (0.0059) [+] | 1.0093 (0.5566) [•] |
| MEDIMG | 0.9456 (0.002) [−] | 0.9861 (0.0039) [−] | 1.1046 (0.002) [+] | 0.8115 (0.002) [−] | 1.0361 (0.002) [+] |
| MPOAG | 0.9879 (0.0488) [−] | 0.9946 (0.7695) [*] | 1.0202 (0.002) [+] | 0.9992 (0.625) [*] | 1.0005 (0.1055) [•] |
| MPOC | 0.9519 (0.002) [−] | 0.8737 (0.002) [−] | 0.9134 (0.002) [−] | 0.9811 (0.7695) [*] | 0.9661 (0.3223) [*] |
| MPTW | 0.9976 (0.0039) [−] | 1.0079 (0.0645) [•] | 0.9782 (0.002) [−] | 0.9926 (0.002) [−] | 0.9972 (0.002) [−] |
| MOTEST | 0.9822 (0.0137) [−] | 1.0021 (0.625) [•] | 0.9796 (0.002) [−] | 0.9781 (0.002) [−] | 1.0212 (0.4316) [•] |
| PHOC | 1.0133 (0.1602) [•] | 0.9992 (0.6953) [*] | 0.9735 (0.002) [−] | 0.9924 (0.002) [−] | 0.9972 (0.0039) [−] |
| PLANE | 0.9901 (0.4922) [*] | 1.0193 (0.002) [+] | 1.0207 (0.002) [+] | 1.0333 (0.0039) [+] | 1.0033 (0.0098) [+] |
| PPOAG | 1.0367 (0.002) [+] | 0.8407 (0.002) [−] | 0.9065 (0.002) [−] | 0.9885 (0.1602) [*] | 0.9761 (0.0195) [−] |
| PPOC | 0.8959 (0.002) [−] | 0.9604 (0.0059) [−] | 0.8479 (0.002) [−] | 0.9167 (0.002) [−] | 0.8842 (0.002) [−] |
| PPTW | 0.941 (0.1055) [*] | 0.9493 (0.1055) [*] | 0.9696 (0.0039) [−] | 0.9824 (0.8457) [*] | 0.9511 (0.0273) [−] |
| SONY1 | 1.0087 (1) [•] | 0.9582 (0.4922) [*] | 1.011 (0.0039) [+] | 1.1265 (0.002) [+] | 1.0496 (0.002) [+] |
| SONY2 | 0.8905 (0.002) [−] | 0.8561 (0.002) [−] | 1.0303 (0.0645) [•] | 1.0042 (0.0039) [+] | 0.8561 (0.002) [−] |
| SWEDLF | 0.9802 (0.0645) [*] | 0.9437 (0.0039) [−] | 0.8413 (0.002) [−] | 1.0039 (0.0195) [+] | 0.9045 (0.0137) [−] |
| SYNCTR | 0.8787 (0.002) [−] | 0.9206 (0.002) [−] | 1.1072 (0.002) [+] | 0.9225 (0.0039) [−] | 0.9764 (0.0098) [−] |
| TOES1 | 0.8923 (0.002) [−] | 0.883 (0.002) [−] | 0.7864 (0.002) [−] | 0.8268 (0.002) [−] | 0.8292 (0.002) [−] |
| TOES2 | 1.0006 (0.0098) [+] | 1.0001 (0.4922) [•] | 0.9987 (0.002) [−] | 1.0007 (0.3223) [•] | 0.994 (0.002) [−] |
| TRACE | 1.0966 (0.002) [+] | 1.248 (0.0039) [+] | 1.2622 (0.002) [+] | 1.1132 (0.002) [+] | 1.2332 (0.002) [+] |
| TWOECG | 0.9385 (0.0371) [−] | 1.1467 (0.002) [+] | 1.0288 (0.002) [+] | 0.8172 (0.002) [−] | 0.888 (0.084) [*] |
| TWOPAT | 1.0349 (1) [•] | 1.0692 (0.002) [+] | 0.9111 (0.002) [−] | 0.9268 (0.002) [−] | 1.0543 (0.1055) [•] |
| WAFER | 0.8496 (0.002) [−] | 0.9199 (0.002) [−] | 0.7623 (0.002) [−] | 0.8426 (0.002) [−] | 0.9631 (0.6953) [*] |
| WINE | 0.8519 (0.002) [−] | 0.9554 (0.002) [−] | 1.1025 (0.002) [+] | 1.0133 (0.084) [•] | 0.9276 (0.002) [−] |
| WORDS | 0.7998 (0.002) [−] | 0.8271 (0.0039) [−] | 0.7934 (0.0039) [−] | 0.8832 (0.084) [*] | 0.5836 (0.002) [−] |
| Total (−/+/*/•) | (24/9/4/4) | (23/8/5/5) | (23/13/2/3) | (23/8/7/3) | (22/6/8/5) |
| Version | HVR | GD | CI | ||
|---|---|---|---|---|---|
| 1NNDTW | 0.3891 (±0.2111) | 0.0447 (±0.0287) | 0.9405 (±0.0753) | 0.0031 (±0.0065) | 0.9374 (±0.0802) |
| 3NNDTW | 0.3454 (±0.2009) | 0.0477 (±0.0332) | 0.9244 (±0.0945) | 0.0062 (±0.0121) | 0.9182 (±0.1045) |
| 5NNDTW | 0.3341 (±0.1806) | 0.0503 (±0.0321) | 0.9394 (±0.0703) | 0.003 (±0.0056) | 0.9364 (±0.0736) |
| 7NNDTW | 0.3566 (±0.1996) | 0.0523 (±0.0382) | 0.943 (±0.0721) | 0.0037 (±0.0088) | 0.9394 (±0.0775) |
| 9NNDTW | 0.334 (±0.1892) | 0.0536 (±0.0393) | 0.9415 (±0.0672) | 0.0029 (±0.0061) | 0.9386 (±0.0716) |
Disclaimer/Publisher’s Note: The statements, opinions and data contained in all publications are solely those of the individual author(s) and contributor(s) and not of MDPI and/or the editor(s). MDPI and/or the editor(s) disclaim responsibility for any injury to people or property resulting from any ideas, methods, instructions or products referred to in the content. |
© 2024 by the authors. Licensee MDPI, Basel, Switzerland. This article is an open access article distributed under the terms and conditions of the Creative Commons Attribution (CC BY) license (https://creativecommons.org/licenses/by/4.0/).
Share and Cite
Márquez-Grajales, A.; Mezura-Montes, E.; Acosta-Mesa, H.-G.; Salas-Martínez, F. Surrogate-Assisted Symbolic Time-Series Discretization Using Multi-Breakpoints and a Multi-Objective Evolutionary Algorithm. Math. Comput. Appl. 2024, 29, 78. https://doi.org/10.3390/mca29050078
Márquez-Grajales A, Mezura-Montes E, Acosta-Mesa H-G, Salas-Martínez F. Surrogate-Assisted Symbolic Time-Series Discretization Using Multi-Breakpoints and a Multi-Objective Evolutionary Algorithm. Mathematical and Computational Applications. 2024; 29(5):78. https://doi.org/10.3390/mca29050078
Chicago/Turabian StyleMárquez-Grajales, Aldo, Efrén Mezura-Montes, Héctor-Gabriel Acosta-Mesa, and Fernando Salas-Martínez. 2024. "Surrogate-Assisted Symbolic Time-Series Discretization Using Multi-Breakpoints and a Multi-Objective Evolutionary Algorithm" Mathematical and Computational Applications 29, no. 5: 78. https://doi.org/10.3390/mca29050078
APA StyleMárquez-Grajales, A., Mezura-Montes, E., Acosta-Mesa, H.-G., & Salas-Martínez, F. (2024). Surrogate-Assisted Symbolic Time-Series Discretization Using Multi-Breakpoints and a Multi-Objective Evolutionary Algorithm. Mathematical and Computational Applications, 29(5), 78. https://doi.org/10.3390/mca29050078

