An Efficient Orthogonal Polynomial Method for Auxetic Structure Analysis with Epistemic Uncertainties
Abstract
:1. Introduction
2. Epistemic Uncertainty Analysis of Auxetic Structure in Large Deformation with Evidence Theory
2.1. Static Analysis with Uncertain Parameter
2.2. Fundamental Conception of Evidence Theory
2.3. Establishing Uncertainty Model by Evidence Theory
3. SS-AOP for Epistemic Uncertainty Analysis under Evidence Theory
3.1. Fundamentals of Traditional AOP Expansion
3.2. The Sequence Sampling Scheme
3.2.1. The Initial Candidate Samples
3.2.2. Space Uniformity Transformation for Candidate Points
3.2.3. The Sequence Sampling Process of Candidate Set
3.2.4. Calculations of Expansion Coefficient
3.3. SS-AOP for the Response Analysis of Mechanics Property with Evidence Variables
3.4. Procedure of SS-AOP for Uncertainty Analysis with Evidence Theory
4. Numerical Examples
4.1. Mathematical Test Examples
4.2. Engineering Application
5. Conclusions
- (1)
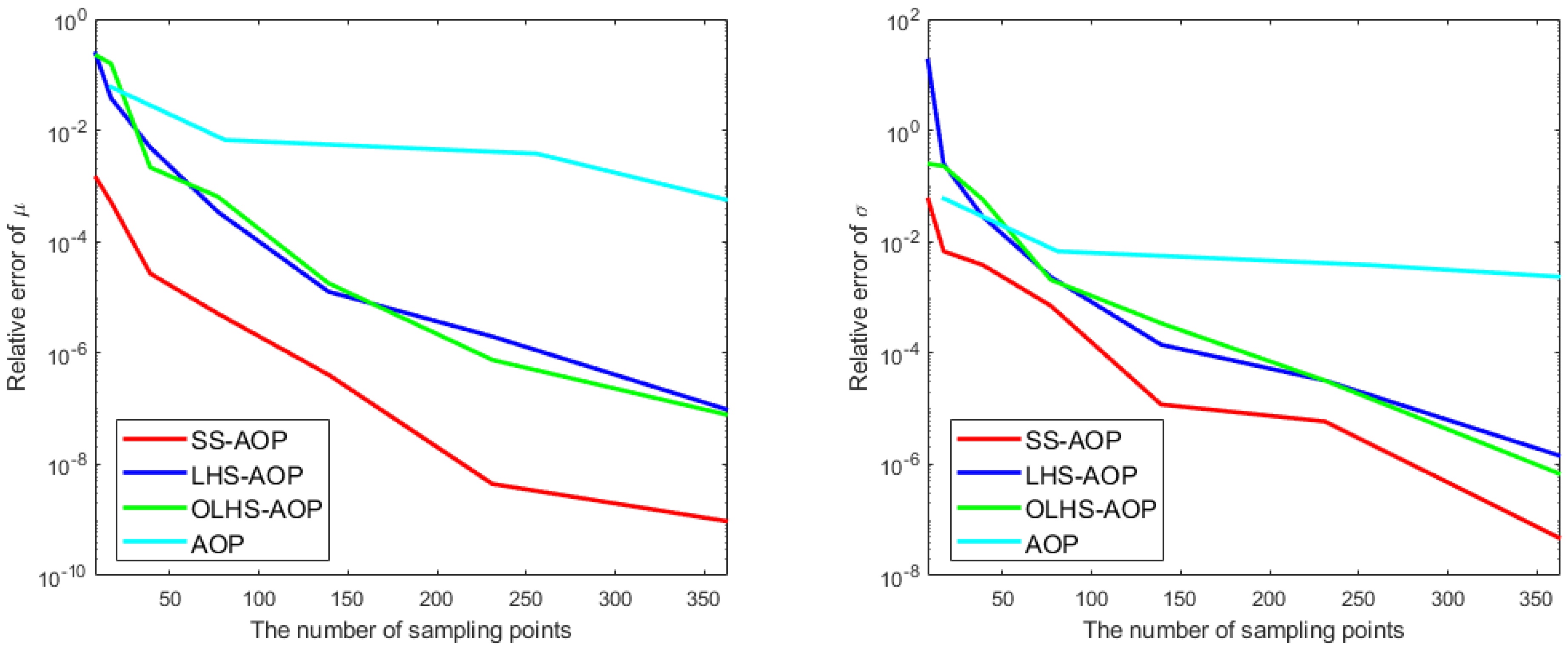
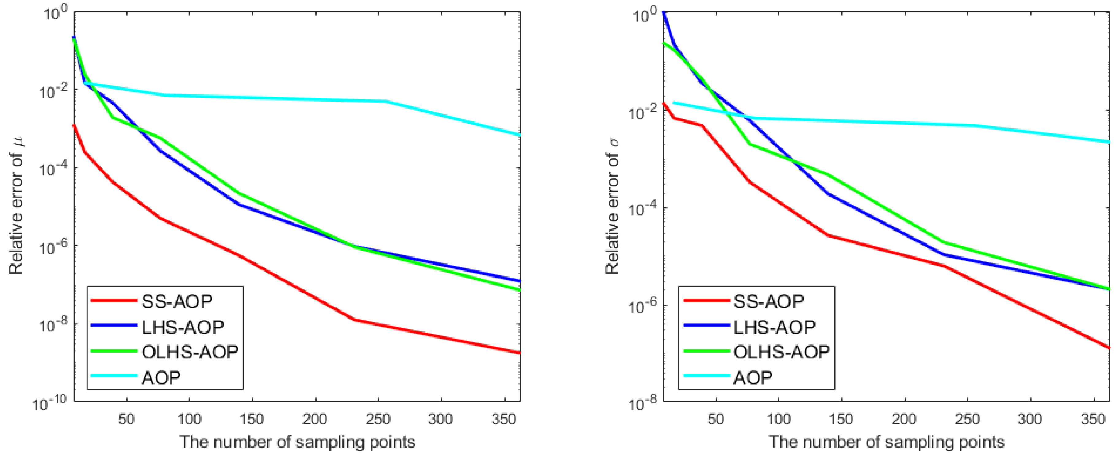
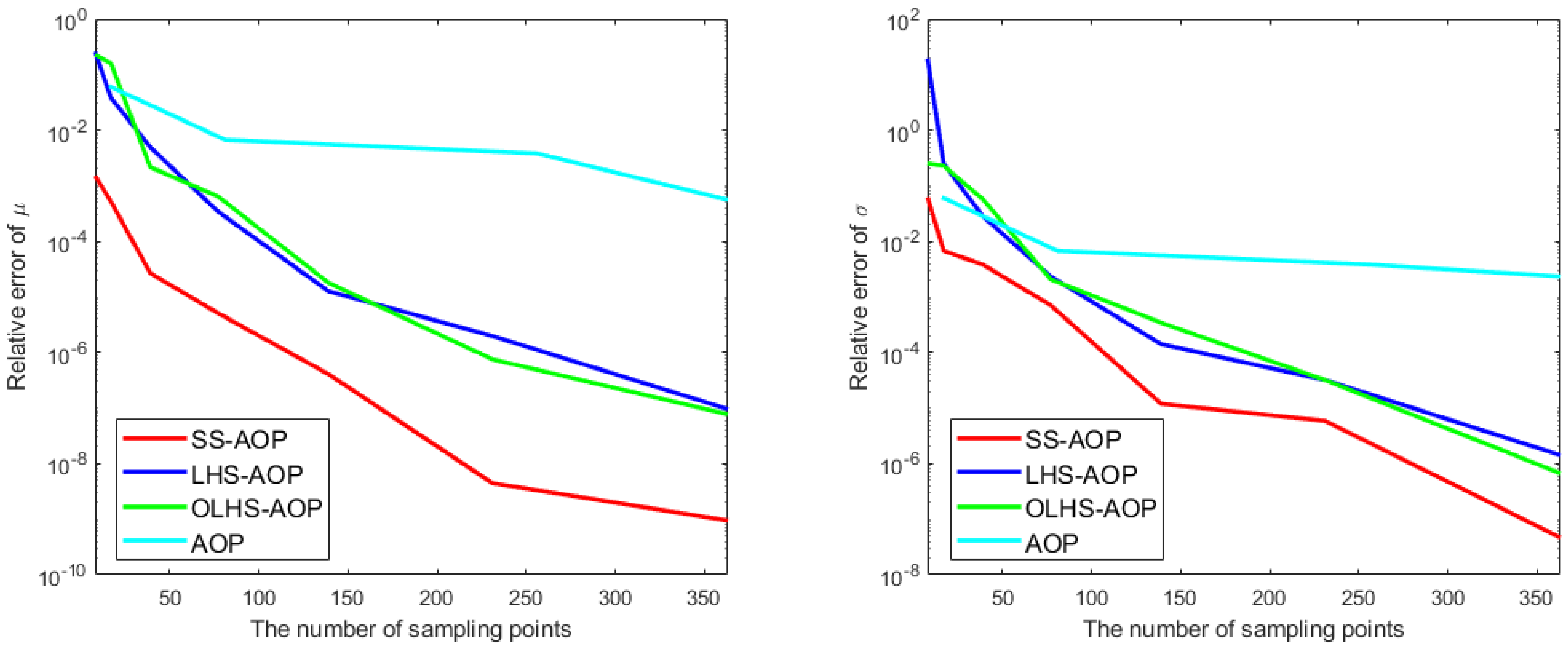
- The computational efficiency of the proposed SS-AOP method is much higher than that of the traditional AOP method without sacrificing any accuracy. This is because the number of the polynomial basis of SS-AOP is reduced by using the simplex format, while the sequential-sampling technique is introduced to reduce number of the sampling points which are used to calculate the expansion coefficients.
- (2)
- In comparison to the LHS-AOP and OLHS-AOP methods, the proposed SS-AOP method can achieve a higher accuracy. This is because, in the SS-AOP method, the sequence sampling scheme can select sampling points uniformly from candidate points. In particular, the candidate points used for sampling are generated using the Gauss points associated with the optimal Gauss weight function for each evidence variable. In comparison, the sampling points of the LHS-AOP method and the OLHS-AOP method are fairly random.
Author Contributions
Funding
Acknowledgments
Conflicts of Interest
References
- Gao, Q.; Liao, W.H. Energy absorption of thin-walled tube filled with gradient auxetic structures—Theory and simulation. Int. J. Mech. Sci. 2021, 201, 106475. [Google Scholar] [CrossRef]
- Wang, K.; Liu, Y.; Wang, J.; Xiang, J.; Yao, S.; Peng, Y. On crashworthiness behaviors of 3D printed multi-cell filled thin-walled structures. Eng. Struct. 2022, 254, 113907. [Google Scholar] [CrossRef]
- Xu, X.; Xu, G.; Chen, J.; Liu, Z.; Chen, X.; Zhang, Y.; Fang, J.; Gao, Y. Multi-objective design optimization using hybrid search algorithms with interval uncertainty for thin-walled structures. Thin-Walled Struct. 2022, 175, 109218. [Google Scholar] [CrossRef]
- Yang, W.; Huang, R.; Liu, J.; Liu, J.; Huang, W. Ballistic impact responses and failure mechanism of composite double-arrow auxetic structure. Thin-Walled Struct. 2022, 174, 109087. [Google Scholar] [CrossRef]
- Zhu, Y.; Jiang, S.; Poh, L.H.; Shao, Y.; Wang, Q. Enhanced hexa-missing rib auxetics for achieving targeted constant NPR and in-plane isotropy at finite deformation. Smart Mater. Struct. 2020, 29, 045030. [Google Scholar] [CrossRef]
- Zhu, Y.; Wang, Z.; Poh., L.H. Auxetic hexachiral structures with wavy ligaments for large elasto-plastic deformation. Smart Mater. Struct. 2018, 27, 055001. [Google Scholar] [CrossRef]
- Zhu, Y.; Zeng, Z.; Wang, Z.P.; Poh, L.H.; Shao, Y. Hierarchical hexachiral auxetics for large elasto-plastic deformation. Mater. Res. Express 2019, 6, 085701. [Google Scholar] [CrossRef]
- Zhu, Y.; Jiang, S.; Li, J.; Pokkalla, D.K.; Wang, Q.; Zhang, C. Novel Isotropic Anti-Tri-Missing Rib Auxetics with Prescribed In-Plane Mechanical Properties Over Large Deformations. Int. J. Appl. Mech. 2021, 13, 2150115. [Google Scholar] [CrossRef]
- Nayak, S.; Chakraverty, S. Non-probabilistic approach to investigate uncertain conjugate heat transfer in an imprecisely defined plate. Int. J. Heat Mass Transf. 2013, 67, 445–454. [Google Scholar] [CrossRef]
- Wang, C.; Qiu, Z.; Xu, M.; Li, Y. Novel reliability-based optimization method for thermal structure with hybrid random, interval and fuzzy parameters. Appl. Math. Model. 2017, 47, 573–586. [Google Scholar] [CrossRef]
- Chowdhury, R.; Rao, B.N. Hybrid High Dimensional Model Representation for reliability analysis. Comput. Methods Appl. Mech. Eng. 2009, 198, 753–765. [Google Scholar] [CrossRef]
- Choi, K.K.; Youn, B.D.; Yang, R.J. Moving least square method for reliability-based design optimization. In Proceedings of the 4th World Congress of Structural and Multidisciplinary Optimization, Dalian, China, 4–8 June 2001; pp. 1–6. [Google Scholar]
- Youn, B.D.; Choi, K.K. A New Response Surface Methodology for Reliability Based Design Optimization. Comput. Struct. 2004, 82, 241–256. [Google Scholar] [CrossRef]
- Paz, J.; Díaz, J.; Romera, L. Analytical and numerical crashworthiness uncertainty quantification of metallic thin-walled energy absorbers. Thin-Walled Struct. 2020, 157, 107022. [Google Scholar] [CrossRef]
- Qiu, N.; Gao, Y.; Fang, J.; Sun, G.; Li, Q.; Kim, N.H. Crashworthiness optimization with uncertainty from surrogate model and numerical error. Thin-Walled Struct. 2018, 129, 457–472. [Google Scholar] [CrossRef]
- Li, F.; Sun, G.; Huang, X.; Rong, J.; Li, Q. Multiobjective robust optimization for crashworthiness design of foam filled thin-walled structures with random and interval uncertainties. Eng. Struct. 2015, 88, 111–124. [Google Scholar] [CrossRef]
- Zhang, Y.; Xu, X.; Sun, G.; Lai, X.; Li, Q. Nondeterministic optimization of tapered sandwich column for crashworthiness. Thin-Walled Struct. 2018, 122, 193–207. [Google Scholar] [CrossRef]
- Olalusi, O.B.; Spyridis, P. Uncertainty modelling and analysis of the concrete edge breakout resistance of single anchors in shear. Eng. Struct. 2020, 222, 111112. [Google Scholar] [CrossRef]
- Su, L.; Li, X.-L.; Jiang, Y.-P. Comparison of methodologies for seismic fragility analysis of unreinforced masonry buildings considering epistemic uncertainty. Eng. Struct. 2020, 205, 110059. [Google Scholar] [CrossRef]
- Yang, Y.; Peng, J.; Liu, X.; Cai, S.C.; Zhang, J. Probability analysis of web cracking of corroded prestressed concrete box-girder bridges considering aleatory and epistemic uncertainties. Eng. Struct. 2021, 228, 111486. [Google Scholar] [CrossRef]
- Ni, P.; Li, J.; Hao, H.; Xia, Y.; Du, X. Stochastic dynamic analysis of marine risers considering fluid-structure interaction and system uncertainties. Eng. Struct. 2019, 19, 109507. [Google Scholar] [CrossRef]
- Hoffman, F.O.; Hammonds, J.S. Propagation of uncertainty in risk assessments: The need to distinguish between uncertainty due to lack of knowledge and uncertainty due to variability. Risk Anal. 1994, 14, 707–712. [Google Scholar] [CrossRef] [PubMed]
- Rao, K.D.; Kushwaha, H.; Verma, A.K.; Srividya, A. Quantification of epistemic and aleatory uncertainties in level-1 probabilistic safety assessment studies. Reliab. Eng. Syst. Saf. 2007, 92, 947–956. [Google Scholar]
- Elishakoff, I.; Elisseeff, P.; Glegg, S. Non-probabilistic convex-theoretic modeling of scatter in material properties. AIAA J. 1994, 32, 843–849. [Google Scholar] [CrossRef]
- Zadeh, L. Fuzzy sets. Inf. Control 1965, 8, 338–353. [Google Scholar] [CrossRef] [Green Version]
- Ben-Haim, Y.; Elishakoff, I. Convex Models of Uncertainty in Applied Mechanics; Elsevier: Amsterdam, The Netherlands, 1990. [Google Scholar]
- Jiang, C.; Han, X.; Lu, G.Y.; Liu, J.; Zhang, Z.; Bai, Y.C. Correlation analysis of non-probabilistic convex model and corresponding structural reliability technique. Comput. Methods Appl. Mech. Eng. 2011, 200, 2528–2546. [Google Scholar] [CrossRef]
- Kang, Z.; Zhang, W. Construction and application of an ellipsoidal convex model using a semi-definite programming formulation from measured data. Comput. Methods Appl. Mech. Eng. 2016, 300, 461–489. [Google Scholar] [CrossRef]
- Qiu, Z.; Elishakoff, I. Antioptimization of structures with large uncertain-but-non-random parameters via interval analysis. Comput. Methods Appl. Mech. Eng. 1998, 152, 361–372. [Google Scholar] [CrossRef]
- Yager, R.; Fedrizzi, M.; Kacprzyk, J. Advances in the Dempster-Shafer Theory of Evidence; John Wiley & Sons: New York, NY, USA, 1994. [Google Scholar]
- Yang, J.; Huang, H.Z.; He, L.P.; Zhu, S.P.; Wen, D. Risk evaluation in failure mode and effects analysis of aircraft turbine rotor blades using Dempster-Shafer evidence theory under uncertainty. Eng. Fail. Anal. 2011, 18, 2084–2092. [Google Scholar] [CrossRef]
- Helton, J.C.; Johnson, J.D. Quantification of margins and uncertainties: Alternative representations of epistemic uncertainty. Reliab. Eng. Syst. Saf. 2011, 96, 1034–1052. [Google Scholar] [CrossRef]
- Oberkampf, W.L.; Helton, J.C. Investigation of evidence theory for engineering applications. In Proceedings of the AIAA 2002–1569, 4th Non-Deterministic Approaches Forum, Denver, CO, USA, 22–25 April 2002. [Google Scholar]
- Klir, G.J.; Smith, R.M. On measuring uncertainty and uncertainty-based information: Recent developments. Ann. Math. Artif. Intell. 2001, 32, 5–33. [Google Scholar] [CrossRef]
- Bai, Y.C.; Han, X.; Jiang, C.; Liu, J. Comparative study of metamodeling techniques for reliability analysis using evidence theory. Adv. Eng. Softw. 2012, 53, 61–71. [Google Scholar] [CrossRef]
- Zhang, Z.; Jiang, C.; Han, X.; Hu, D.; Yu, S. A response surface approach for structural reliability analysis using evidence theory. Adv. Eng. Softw. 2014, 69, 37–45. [Google Scholar] [CrossRef]
- Xiao, M.; Gao, L.; Xiong, H.; Luo, Z. An efficient method for reliability analysis under epistemic uncertainty based on evidence theory and support vector regression. Taylor Fr. 2015, 26, 340–364. [Google Scholar] [CrossRef]
- Cao, L.; Liu, J.; Wang, Q.; Jiang, C.; Zhang, L. An efficient structural uncertainty propagation method based on evidence domain analysis. Eng. Struct. 2019, 194, 26–35. [Google Scholar] [CrossRef]
- Bai, Y.C.; Jiang, C.; Han, X.; Hu, D.A. Evidence-theory-based structural static and dynamic response analysis under epistemic uncertainties. Finite Elem. Anal. Des. 2013, 68, 52–62. [Google Scholar] [CrossRef]
- Yin, S.; Yu, D.; Yin, H.; Lü, H.; Xia, B. Hybrid evidence theory-based finite element/statistical energy analysis method for mid-frequency analysis of built-up systems with epistemic uncertainties. Mech. Syst. Signal Process. 2017, 93, 204–224. [Google Scholar] [CrossRef]
- Chen, N.; Yu, D.; Xia, B. Evidence-theory-based analysis for the prediction of exterior acoustic field with epistemic uncertainties. Eng. Anal. Bound. Elem. 2015, 50, 402–411. [Google Scholar] [CrossRef]
- Helton, J.C.; Johnson, J.D.; Oberkampf, W.L.; Storlie, C.B. A sampling-based computational strategy for the representation of epistemic uncertainty in model predictions with evidence theory. Comput. Methods Appl. Mech. Eng. 2007, 196, 3980–3998. [Google Scholar] [CrossRef] [Green Version]
- Jiang, C.; Zhang, Z.; Han, X.; Liu, J. A novel evidence-theory-based reliability analysis method for structures with epistemic uncertainty. Comput. Struct. 2013, 129, 1–12. [Google Scholar] [CrossRef]
- Eldred, M.S.; Swiler, L.P.; Tang, G. Mixed aleatory-epistemic uncertainty quantification with stochastic expansions and optimization-based interval estimation. Reliab. Eng. Syst. Saf. 2011, 96, 1092–1113. [Google Scholar] [CrossRef]
- Yin, S.; Yu, D.; Yin, H.; Xia, B. A new evidence-theory-based method for response analysis of acoustic system with epistemic uncertainty by using Jacobi expansion. Comput. Meth. Appl. Mech. Eng. 2017, 322, 419–440. [Google Scholar] [CrossRef]
- Chen, N.; Hu, Y.; Yu, D.; Liu, J.; Beer, M. A polynomial expansion approach for response analysis of periodical composite structural-acoustic problems with multi-scale mixed aleatory and epistemic uncertainties. Comput. Methods Appl. Mech. Eng. 2018, 342, 509–531. [Google Scholar] [CrossRef]
- Chen, N.; Xia, S.; Yu, D.; Liu, J.; Beer, M. Hybrid interval and random analysis for structural-acoustic systems including periodical composites and multi-scale bounded hybrid uncertain parameters. Mech. Syst. Sig. Process. 2019, 115, 524–544. [Google Scholar] [CrossRef]
- Wang, C. Evidence-theory-based uncertain parameter identification method for mechanical systems with imprecise information. Comput. Methods Appl. Mech. Eng. 2019, 351, 281–296. [Google Scholar] [CrossRef]
- Yin, S.; Yu, D.; Luo, Z.; Xia, B. An arbitrary polynomial chaos expansion approach for response analysis of acoustic systems with epistemic uncertainty. Comput. Methods Appl. Mech. Eng. 2018, 332, 280–302. [Google Scholar] [CrossRef]
- Yin, S.; Yu, D.; Luo, Z.; Xia, B. Unified polynomial expansion for interval and random response analysis of uncertain structure–acoustic system with arbitrary probability distribution. Comput. Methods Appl. Mech. Eng. 2018, 336, 260–285. [Google Scholar] [CrossRef]
- Gorissen, D.; Couckuyt, I.; Demeester, P.; Dhaene, T.; Crombecq, K. A surrogate modeling and adaptive sampling toolbox for computer based design. J. Mach. Learn. Res. 2010, 11, 2051–2055. [Google Scholar]
- Romero, V.J.; Swiler, L.P.; Giunta, A.A. Construction of response surfaces based on progressive-lattice-sampling experimental designs with application to uncertainty propagation. Struct. Saf. 2004, 26, 201–219. [Google Scholar] [CrossRef]
- Bae, H.R.; Grandhi, R.V.; Canfield, R.A. Epistemic uncertainty quantification techniques including evidence theory for large-scale structures. Comput. Struct. 2004, 82, 1101–1112. [Google Scholar] [CrossRef]
- Gautschi, W. Orthogonal Polynomials: Computation and Approximation; Oxford University Press: Oxford, UK, 2004. [Google Scholar]
- Chen, N.; Yu, D.; Xia, B. Hybrid uncertain analysis for the prediction of exterior acoustic field with interval and random parameters. Comput. Struct. 2014, 141, 9–18. [Google Scholar] [CrossRef]
- Chen, J.; Xia, B.; Liu, J. A sparse polynomial surrogate model for phononic crystals with uncertain parameters. Comput. Methods Appl. Mech. Eng. 2018, 339, 681–703. [Google Scholar] [CrossRef]
- Oladyshkin, S.; Nowak, W. Data-driven uncertainty quantification using the arbitrary polynomial chaos expansion. Reliab. Eng. Syst. Saf. 2012, 106, 179–190. [Google Scholar] [CrossRef]
- Johnson, M.E.; Moore, L.M.; Ylvisaker, D. Minimax and maximin distance designs. J. Statist. Plann. Inference 1990, 26, 131–148. [Google Scholar] [CrossRef]
- Morris, M.D.; Mitchell, T.J. Exploratory designs for computational experiments. J. Statist. Plann. Inference 1992, 43, 381–402. [Google Scholar] [CrossRef] [Green Version]
- Wu, J.; Luo, Z.; Zheng, J.; Jiang, C. Incremental modeling of a new high-order polynomial surrogate model. Appl. Math. Model. 2016, 40, 4681–4699. [Google Scholar] [CrossRef]
- Gao, Q.; Tan, C.A.; Hulbert, G.; Wang, L. Geometrically nonlinear mechanical properties of auxetic double-V microstructures with negative Poisson’s ratio. Eur. J. Mech. A Solids 2020, 80, 103933. [Google Scholar] [CrossRef]










| Dimension | No. of Samples | |||||||
|---|---|---|---|---|---|---|---|---|
| 1 | 2 | 3 | 4 | 5 | 6 | … | 30 | |
| 1 | 1 | 2 | 3 | 4 | 5 | |||
| 2 | 1 | |||||||
| 3 | 1 | |||||||
| 4 | 1 | |||||||
| 5 | 1 | |||||||
| 6 | 1 | |||||||
| Dimension | No. of Samples | |||||||
|---|---|---|---|---|---|---|---|---|
| 1 | 2 | 3 | 4 | 5 | 6 | … | 30 | |
| 1 | 1 | 2 | 3 | 4 | 5 | |||
| 2 | 1 | 5 | 1 | 5 | 1 | |||
| 3 | 1 | 5 | 1 | 5 | 4 | |||
| 4 | 1 | 5 | 3 | 1 | 5 | |||
| 5 | 1 | 5 | 5 | 1 | 3 | |||
| 6 | 1 | 5 | 5 | 3 | 1 | |||
| Dimension | No. of Samples | |||||||||||
|---|---|---|---|---|---|---|---|---|---|---|---|---|
| 1 | 2 | 3 | 4 | 5 | 6 | 7 | 8 | 9 | 10 | … | 30 | |
| 2 | 1 | 5 | 1 | 5 | 1 | 1 | 2 | 3 | 4 | 5 | ||
| 3 | 1 | 5 | 1 | 5 | 4 | |||||||
| 4 | 1 | 5 | 3 | 1 | 5 | |||||||
| 5 | 1 | 5 | 5 | 1 | 3 | |||||||
| 6 | 1 | 5 | 5 | 3 | 1 | |||||||
| 1 | 1 | 2 | 3 | 4 | 5 | |||||||
| Functions | Expression | Domain | Dimension |
|---|---|---|---|
| Case 1 | 4 | ||
| Case 2 | 4 | ||
| Case 3 | 4 | ||
| Case 4 | 4 |
| Interval | BPA (%) |
|---|---|
| [−1, −0.3] | 0.1 |
| [−0.3, −0.1] | 5 |
| [−0.1, 0] | 44.9 |
| [0, 0.1] | 44.9 |
| [0.1, 0.3] | 5 |
| [0.3, 1] | 0.1 |
| BPA (%) | BPA (%) | BPA (%) | BPA (%) | BPA (%) | |||||
|---|---|---|---|---|---|---|---|---|---|
| Interval (mm) | Interval (°) | Interval (°) | Interval (mm) | Interval (MPa) | |||||
| [0.99, 0.995] | 7 | [57, 59.1] | 0.1 | [28.5, 29.55] | 0.1 | [28.8, 29.64] | 6 | [2090, 2167] | 12 |
| [0.995, 0.998] | 15 | [59.1, 59.7] | 6 | [29.55, 29.85] | 6 | [29.64, 29.88] | 42 | [2167, 2189] | 18 |
| [0.998, 1.002] | 51 | [59.7, 60.03] | 88.7 | [29.85, 30.15] | 88.7 | [29.88, 30.12] | 5 | [2189, 2211] | 38 |
| [1.002, 1.005] | 18 | [60.03, 60.9] | 5 | [30.15, 30.45] | 5 | [30.12, 30.36] | 42 | [2211, 2233] | 12 |
| [1.005, 1.01] | 9 | [60.9, 63] | 0.2 | [30.45, 31.5] | 0.2 | [30.36, 31.2] | 5 | [2233, 2310] | 20 |
| Method | Traditional AOP | SS-AOP | LHS-AOP | OLHS-AOP |
|---|---|---|---|---|
| Execution time | 337,821.7 s | 464.1 s | 463.5 s | 464.3 s |
Publisher’s Note: MDPI stays neutral with regard to jurisdictional claims in published maps and institutional affiliations. |
© 2022 by the authors. Licensee MDPI, Basel, Switzerland. This article is an open access article distributed under the terms and conditions of the Creative Commons Attribution (CC BY) license (https://creativecommons.org/licenses/by/4.0/).
Share and Cite
Yin, S.; Qin, H.; Gao, Q. An Efficient Orthogonal Polynomial Method for Auxetic Structure Analysis with Epistemic Uncertainties. Math. Comput. Appl. 2022, 27, 49. https://doi.org/10.3390/mca27030049
Yin S, Qin H, Gao Q. An Efficient Orthogonal Polynomial Method for Auxetic Structure Analysis with Epistemic Uncertainties. Mathematical and Computational Applications. 2022; 27(3):49. https://doi.org/10.3390/mca27030049
Chicago/Turabian StyleYin, Shengwen, Haogang Qin, and Qiang Gao. 2022. "An Efficient Orthogonal Polynomial Method for Auxetic Structure Analysis with Epistemic Uncertainties" Mathematical and Computational Applications 27, no. 3: 49. https://doi.org/10.3390/mca27030049
APA StyleYin, S., Qin, H., & Gao, Q. (2022). An Efficient Orthogonal Polynomial Method for Auxetic Structure Analysis with Epistemic Uncertainties. Mathematical and Computational Applications, 27(3), 49. https://doi.org/10.3390/mca27030049
