Enhancing the Stability of Aerobic Granular Sludge Process Treating Municipal Wastewater by Adjusting Organic Loading Rate and Dissolved Oxygen Concentration
Abstract
:1. Introduction
2. Materials and Methods
2.1. Reactor Set-Up and Operation
2.2. Wastewater and Cultivate Sludge
2.3. AGS Process Start-Up
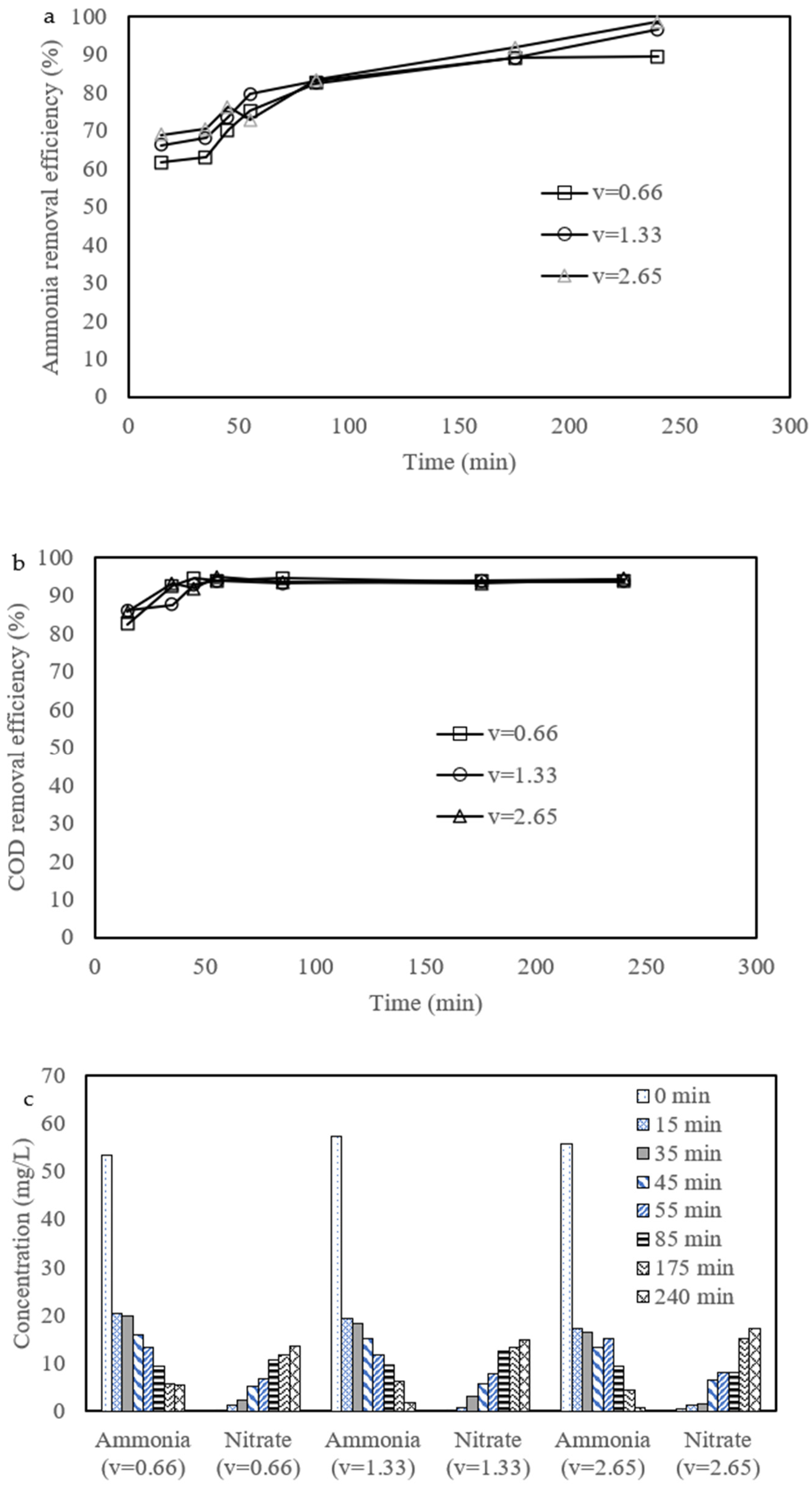
2.4. Pollutant Removal with AGS from Wastewater
2.5. The Impact of OLR and Aeration on AGS Stability
2.6. Analytical Methods
3. Results and Discussion
3.1. Formation of AGS during the Start-Up Stage
3.2. Pollutant Removal by AGS Process
3.3. Effect of Organic Loading Rate in an AGS System
3.4. Effect of Dissolved Oxygen (DO) Concentration
4. Conclusions
Author Contributions
Funding
Institutional Review Board Statement
Informed Consent Statement
Data Availability Statement
Conflicts of Interest
References
- Beun, J.; Hendriks, A.; Van Loosdrecht, M.; Morgenroth, E.; Wilderer, P.; Heijnen, J. Aerobic granulation in a sequencing batch reactor. Water Res. 1999, 33, 2283–2290. [Google Scholar] [CrossRef]
- Liu, J.; Li, J.; Xu, D.; Sellamuthu, B. Improving aerobic sludge granulation in sequential batch reactor by natural drying: Effluent sludge recovery and feeding back into reactor. Chemosphere 2020, 242, 125159. [Google Scholar] [CrossRef] [PubMed]
- Karakas, I.; Sam, S.B.; Cetin, E.; Dulekgurgen, E.; Yilmaz, G. Resource recovery from an aerobic granular sludge process treating domestic wastewater. J. Water Process Eng. 2020, 34, 101148. [Google Scholar] [CrossRef]
- Kosar, S.; Isik, O.; Cicekalan, B.; Gulhan, H.; Kurt, E.S.; Atli, E.; Basa, S.; Ozgun, H.; Koyuncu, I.; van Loosdrecht, M.C. Impact of primary sedimentation on granulation and treatment performance of municipal wastewater by aerobic granular sludge process. J. Environ. Manag. 2022, 315, 115191. [Google Scholar] [CrossRef]
- Purba, L.D.A.; Khudzari, J.M.; Iwamoto, K.; Mohamad, S.E.; Yuzir, A.; Abdullah, N.; Shimizu, K.; Hermana, J. Discovering future research trends of aerobic granular sludge using bibliometric approach. J. Environ. Manag. 2022, 303, 114150. [Google Scholar] [CrossRef]
- Alguacil-Duarte, F.; González-Gómez, F.; Romero-Gámez, M. Biological nitrate removal from a drinking water supply with an aerobic granular sludge technology: An environmental and economic assessment. J. Clean. Prod. 2022, 367, 133059. [Google Scholar] [CrossRef]
- He, Q.; Zhang, W.; Zhang, S.; Wang, H. Enhanced nitrogen removal in an aerobic granular sequencing batch reactor performing simultaneous nitrification, endogenous denitrification and phosphorus removal with low superficial gas velocity. Chem. Eng. J. 2018, 334, 2647. [Google Scholar] [CrossRef]
- Qi, K.; Li, Z.; Zhang, C.; Tan, X.; Wan, C.; Liu, X.; Wang, L.; Lee, D.-J. Biodegradation of real industrial wastewater containing ethylene glycol by using aerobic granular sludge in a continuous-flow reactor: Performance and resistance mechanism. Biochem. Eng. J. 2020, 161, 107711. [Google Scholar] [CrossRef]
- Carrera, P.; Casero-Díaz, T.; Castro-Barros, C.; Méndez, R.; Del Río, A.V.; Mosquera-Corral, A. Features of aerobic granular sludge formation treating fluctuating industrial saline wastewater at pilot scale. J. Environ. Manag. 2021, 296, 113135. [Google Scholar] [CrossRef]
- Zhang, C.; Gao, F.; Wu, Y.; Xu, G.; Liu, H.; Zhang, H.; Yang, F.; Xu, Y. Small-sized salt-tolerant denitrifying and phosphorus removal aerobic granular sludge cultivated with mariculture waste solids to treat synthetic mariculture wastewater. Biochem. Eng. J. 2022, 181, 108396. [Google Scholar] [CrossRef]
- Pan, Z.; Guo, T.; Sheng, J.; Feng, H.; Yan, A.; Li, J. Adding waste iron shavings in reactor to develop aerobic granular sludge and enhance removal of nitrogen and phosphorus. J. Environ. Chem. Eng. 2021, 9, 106620. [Google Scholar] [CrossRef]
- Cai, F.; Lei, L.; Li, Y.; Chen, Y. A review of aerobic granular sludge (AGS) treating recalcitrant wastewater: Refractory organics removal mechanism, application and prospect. Sci. Total Environ. 2021, 782, 146852. [Google Scholar] [CrossRef]
- de Sousa Rollemberg, S.L.; Barros, A.R.M.; Firmino, P.I.M.; Dos Santos, A.B. Aerobic granular sludge: Cultivation parameters and removal mechanisms. Bioresour. Technol. 2018, 270, 678–688. [Google Scholar] [CrossRef]
- Cetin, E.; Karakas, E.; Dulekgurgen, E.; Ovez, S.; Kolukirik, M.; Yilmaz, G. Effects of high-concentration influent suspended solids on aerobic granulation in pilot-scale sequencing batch reactors treating real domestic wastewater. Water Res. 2018, 131, 74–89. [Google Scholar] [CrossRef]
- Chen, W.; Lu, Y.; Jin, Q.; Zhang, M.; Wu, J. A novel feedforward control strategy for simultaneous nitrification and denitrification (SND) in aerobic granular sludge sequential batch reactor (AGS-SBR). J. Environ. Manag. 2020, 260, 110103. [Google Scholar] [CrossRef]
- Miyake, M.; Hasebe, Y.; Furusawa, K.; Shiomi, H.; Inoue, D.; Ike, M. Efficient aerobic granular sludge production in simultaneous feeding and drawing sequencing batch reactors fed with low-strength municipal wastewater under high organic loading rate conditions. Biochem. Eng. J. 2022, 184, 108469. [Google Scholar] [CrossRef]
- Sun, Y.; Gomeiz, A.T.; Van Aken, B.; Angelotti, B.; Brooks, M.; Wang, Z.-W. Dynamic response of aerobic granular sludge to feast and famine conditions in plug flow reactors fed with real domestic wastewater. Sci. Total Environ. 2021, 758, 144155. [Google Scholar] [CrossRef]
- Wang, X.; Oehmen, A.; Freitas, E.B.; Carvalho, G.; Reis, M.A. The link of feast-phase dissolved oxygen (DO) with substrate competition and microbial selection in PHA production. Water Res. 2017, 112, 269–278. [Google Scholar] [CrossRef]
- Han, X.; Jin, Y.; Yu, J. Rapid formation of aerobic granular sludge by bioaugmentation technology: A review. Chem. Eng. J. 2022, 437, 134971. [Google Scholar] [CrossRef]
- Kang, A.J.; Yuan, Q. Long-term stability and nutrient removal efficiency of aerobic granules at low organic loads. Bioresour. Technol. 2017, 234, 336–342. [Google Scholar] [CrossRef]
- Liu, Y.-Q.; Liu, Y.; Tay, J.-H. Biotechnology, The effects of extracellular polymeric substances on the formation and stability of biogranules. Appl. Microbiol. Biotechnol. 2004, 65, 143–148. [Google Scholar] [CrossRef] [PubMed]
- Lin, H.; Ma, R.; Hu, Y.; Lin, J.; Sun, S.; Jiang, J.; Li, T.; Liao, Q.; Luo, J. Reviewing bottlenecks in aerobic granular sludge technology: Slow granulation and low granular stability. Environ. Pollut. 2020, 263, 114638. [Google Scholar] [CrossRef]
- de Carvalho, C.D.A.; Dos Santos, A.F.; Ferreira, T.J.T.; Lira, V.N.S.A.; Barros, A.R.M.; Dos Santos, A.B. Resource recovery in aerobic granular sludge systems: Is it feasible or still a long way to go? Chemosphere 2021, 274, 129881. [Google Scholar] [CrossRef] [PubMed]
- van Dijk, E.J.; Pronk, M.; van Loosdrecht, M.C.M. Controlling effluent suspended solids in the aerobic granular sludge process. Water Res. 2018, 147, 50–59. [Google Scholar] [CrossRef]
- Juang, Y.-C.; Adav, S.S.; Lee, D.-J.; Tay, J.-H. Stable aerobic granules for continuous-flow reactors: Precipitating calcium and iron salts in granular interiors. Bioresour. Technol. 2010, 101, 8051–8057. [Google Scholar] [CrossRef]
- Wang, S.-G.; Liu, X.-W.; Gong, W.-X.; Gao, B.-Y.; Zhang, D.-H.; Yu, H.-Q. JAerobic granulation with brewery wastewater in a sequencing batch reactor. Bioresour. Technol. 2007, 98, 2142–2147. [Google Scholar] [CrossRef]
- Chen, X.; Wang, J.; Wang, Q.; Li, Z.; Yuan, T.; Lei, Z.; Zhang, Z.; Shimizu, K.; Lee, D.-J. A comparative study on simultaneous recovery of phosphorus and alginate-like exopolymers from bacterial and algal-bacterial aerobic granular sludges: Effects of organic loading rate. Bioresour. Technol. 2022, 357, 127343. [Google Scholar] [CrossRef]
- Iorhemen, O.T.; Liu, Y. Effect of feeding strategy and organic loading rate on the formation and stability of aerobic granular sludge. J. Water Process Eng. 2021, 39, 101709. [Google Scholar] [CrossRef]
- Abdullah, N.; Ujang, Z.; Yahya, A. Aerobic granular sludge formation for high strength agro-based wastewater treatment. Bioresour. Technol. 2011, 102, 6778–6781. [Google Scholar] [CrossRef]
- El-Mamouni, R.; Leduc, R.; Guiot, S.R. Biotechnology, Influence of the starting microbial nucleus type on the anaerobic granulation dynamics. Appl. Microbiol. Biotechnol. 1997, 47, 189–194. [Google Scholar] [CrossRef]
- Liu, Y.; Liu, Z.; Zhang, A.; Chen, Y.; Wang, X. The role of EPS concentration on membrane fouling control: Comparison analysis of hybrid membrane bioreactor and conventional membrane bioreactor. Desalination 2012, 305, 38–43. [Google Scholar] [CrossRef]
- Zou, J.; Tao, Y.; Li, J.; Wu, S.; Ni, Y. Cultivating aerobic granular sludge in a developed continuous-flow reactor with two-zone sedimentation tank treating real and low-strength wastewater. Bioresour. Technol. 2018, 247, 776–783. [Google Scholar] [CrossRef] [PubMed]
- Corsino, S.F.; Capodici, M.; Torregrossa, M.; Viviani, G. Fate of aerobic granular sludge in the long-term: The role of EPSs on the clogging of granular sludge porosity. J. Environ. Manag. 2016, 183, 541–550. [Google Scholar] [CrossRef] [PubMed] [Green Version]
- Bernet, N.; Dangcong, P.; Delgenès, J.-P.; Moletta, R. Nitrification at low oxygen concentration in biofilm reactor. J. Environ. Eng. 2001, 127, 266–271. [Google Scholar] [CrossRef]






| Components | Concentration (mg/L) | Components | Concentration (mg/L) |
|---|---|---|---|
| COD | 350~560 | BO33− | 0.05 |
| NH4+-N | 59.2~90 | Cu2+ | 0.05 |
| TP | 3.9~5.5 | Zn2+ | 0.05 |
| TN | 0~2.5 | Al3+ | 0.09 |
| NO3− | 60.4~91.7 | Co2+ | 0.05 |
| SS | 20~65 | Mn2+ | 0.05 |
| Ca2+ | 30 | Mo7O242− | 0.05 |
| Mg2+ | 25 | Ni2+ | 0.09 |
| pH | 6.3 | Fe3+ | 0.05 |
Publisher’s Note: MDPI stays neutral with regard to jurisdictional claims in published maps and institutional affiliations. |
© 2022 by the authors. Licensee MDPI, Basel, Switzerland. This article is an open access article distributed under the terms and conditions of the Creative Commons Attribution (CC BY) license (https://creativecommons.org/licenses/by/4.0/).
Share and Cite
Peng, J.; Zhao, L.; Wang, Q.; Song, W.; Wang, Z.; Li, J.; Zhang, X.; Yuan, F. Enhancing the Stability of Aerobic Granular Sludge Process Treating Municipal Wastewater by Adjusting Organic Loading Rate and Dissolved Oxygen Concentration. Separations 2022, 9, 228. https://doi.org/10.3390/separations9080228
Peng J, Zhao L, Wang Q, Song W, Wang Z, Li J, Zhang X, Yuan F. Enhancing the Stability of Aerobic Granular Sludge Process Treating Municipal Wastewater by Adjusting Organic Loading Rate and Dissolved Oxygen Concentration. Separations. 2022; 9(8):228. https://doi.org/10.3390/separations9080228
Chicago/Turabian StylePeng, Juan, Lei Zhao, Qiaoru Wang, Wei Song, Zhuoyue Wang, Ji Li, Xiaolei Zhang, and Fang Yuan. 2022. "Enhancing the Stability of Aerobic Granular Sludge Process Treating Municipal Wastewater by Adjusting Organic Loading Rate and Dissolved Oxygen Concentration" Separations 9, no. 8: 228. https://doi.org/10.3390/separations9080228
APA StylePeng, J., Zhao, L., Wang, Q., Song, W., Wang, Z., Li, J., Zhang, X., & Yuan, F. (2022). Enhancing the Stability of Aerobic Granular Sludge Process Treating Municipal Wastewater by Adjusting Organic Loading Rate and Dissolved Oxygen Concentration. Separations, 9(8), 228. https://doi.org/10.3390/separations9080228

