Next Article in Journal
Method Development and Applications for Reduced-Risk Products
Next Article in Special Issue
Simultaneous Determination of Methyl Nicotinate and Three Salicylic Acid Derivatives in Pain Relief Spray Using HPLC–DAD
Previous Article in Journal
Systematic Identification of Bioactive Compositions in Leaves of Morus Cultivars Using UHPLC-ESI-QTOF-MS/MS and Comprehensive Screening of High-Quality Resources
Previous Article in Special Issue
Analysis of Volatiles in Senecio anteuphorbium Essential Oil with a Focus on Its Allelopathic Effect by Means of Gas Chromatography
 
 
Font Type:
Arial Georgia Verdana
Font Size:
Aa Aa Aa
Line Spacing:
Column Width:
Background:
Article

µQuEChERS Combined with UHPLC-PDA as a State-of-the-Art Analytical Approach for Quantification of Chlorpropham in Potato

1
CQM—Centro de Química da Madeira, PNRG, Universidade da Madeira, Campus da Penteada, 9020-105 Funchal, Portugal
2
Departamento de Química, Faculdade de Ciências Exatas e da Engenharia, Universidade da Madeira, Campus da Penteada, 9020-105 Funchal, Portugal
*
Author to whom correspondence should be addressed.
Separations 2022, 9(3), 77; https://doi.org/10.3390/separations9030077
Submission received: 5 March 2022 / Revised: 11 March 2022 / Accepted: 12 March 2022 / Published: 17 March 2022
(This article belongs to the Collection State of the Art in Separation Science)

Abstract

:
Pesticides are chemicals used in agriculture to prevent insects, fungi, weeds, and other pests, from damaging crops. In addition, some types of pesticides are used after harvest as sprout suppressant agents help keeping the quality parameters of crops during storage. Nonetheless, its presence, even at trace levels, in food products is becoming a big challenge regarding human health. The current work aimed to develop and validate a sensitive and high-throughput analytical approach, based on a state-of-the-art microextraction technique—µQuEChERS, combined with ultra-high performance liquid chromatography equipped with a photodiode array detection system (UHPLC-PDA) to quantify isopropyl-N-(3-chlorophenyl) carbamate (chlorpropham), commonly used as efficient sprout suppressant stored potatoes, in raw and cooked potatoes cultivated in different geographical regions of Madeira Island (Portugal). Good results were obtained in terms of figures of the merit of the method, with correlation coefficients (R2) higher than 0.999 and recoveries between 94.5% to 125%. Method limit of detection (LOD) and limit of quantification (LOQ) were 0.14 μg/Kg and 0.43 μg/Kg, respectively, which are much lower than the accepted and legislated requirements by the European Union, which is 20 μg/Kg for chlorpropham. The concentration of chlorpropham in raw potatoes is significantly higher when compared to cooked samples, which revealed that the thermic treatment during cooking had a significant effect on its degradation. A significant decrease (90%, on average) was observed on chlorpropham levels.

1. Introduction

The potato (Solanum tuberosum L.) is a tuber produced by the potato plant, an herbaceous perennial plant belonging to the Solanaceae family. It consists of about 80% water, 7% carbohydrates (88% is starch), 2% protein, and negligible amounts of fat, depending on the cultivar. It is a rich source of vitamin C and a moderate source of vitamins from the B complex, minerals, fibers, and antioxidants, which prevents aging-related diseases [1,2]. The world production is led by China (20–22%), followed by India, Russia, Ukraine, and the United States [1,2]. The species originated in the Andes Mountains, near Lake Titicaca, and was taken to other regions of the world by European settlers. It is the fourth most consumed crop in the world, surpassed only by rice, wheat and maize, and remains an essential crop in Europe, especially in eastern and northern regions [2].
Like several other crops, potato plantations are subject to the attack of various species of bacteria, fungi, and insects that compromise their productivity. Due to its importance expressed into its high consumption worldwide (the global importance of potatoes is so great that FAO, the UN body for Agriculture and Food instituted 2008, as the “International Year of Potatoes”), it is essential to create more resistant varieties, contributing to an increase in productivity and thus minimizing hunger in several countries. The scarcity of these resistant varieties requires the use of pesticides to control pests and contribute to increase productivity [1,3,4].
Depending on the degree of toxicity, each pesticide has a maximum permissible value of the application, which should not be exceeded to minimize the harmful effects on human health. Exposure to high amounts of pesticides can cause neurological and oncological disorders, among others [5,6]. Generally, the maximum residue limits for most pesticides are variable depending on their toxicity. For glyphosate and its metabolite [7], the maximum value is 0.01 mg/kg.
Herbicides can be classified as (i) selective, which inhibit or slow the growth of weeds by keeping the desired vegetation intact, and (ii) non-selective ones, which destroy any form of plant life. The selective ones can differentiate the vegetation of interest from the unwanted due to its mode of action, inactivating the enzymatic action of unwanted plants and the metabolic processes associated with their development [8,9]. On the other hand, non-selective herbicides act more generally and can also act through enzymes, modifying those that are common in all plant species. They can also act by photosynthesis through the solar energy captured by chlorophyll. This deviation of the flow of electrifications through photosystem I result in the production of free radicals, which, as they are very reactive, end up destroying cell membranes, leaving the leaves of plants yellow and dry. Another mode of action is processed by blocking the energy associated with photosystem II, where the herbicide binds to the plastoquinone protein (involved in the carrier chain of electrodes), reducing its effectiveness, thus slowing the growth of the plant due to the reduction of available energy from photosynthesis. Non-selective herbicides can also modify the cell cycle by inhibiting the development of meristematic cells, preventing cell division [9].
Despite the efficiency of herbicides in the control of pests and the consequent increase in crop productivity, they have been the target of attention from the scientific and medical communities due to their potentially harmful effects on human health. BATALEX, which has as active substance the isopropyl-N-(3-chlorophenyl) carbamate (chlorpropham), is amongst the herbicides commonly used as anti-sprouting agent, to which are associated toxicological and carcinogenic effects. Chlorpropham is an organic pesticide belonging to the carbamate group (functional group —NHCOO), being chemically classified as a carbamic acid (NH2COOH). The generic reaction of carbamate synthesis is represented in Figure 1 [10].
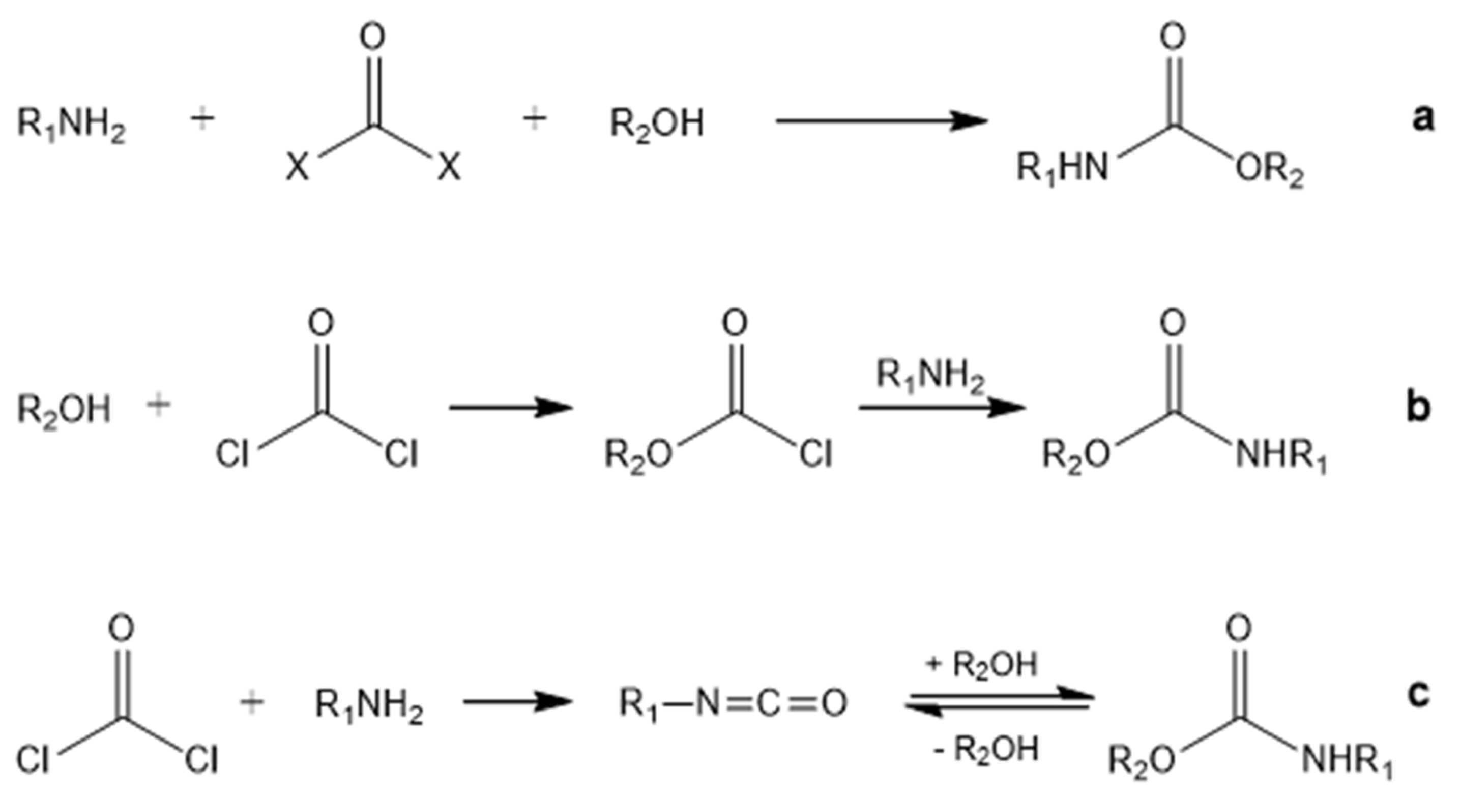
The synthesis of carbamates may occur: (a) by reaction of an amine, with a carbonyl group and alcohol; (b) from the reaction between amines with chloroformate (alcohols or phenols reaction products with phosgene); and (c) from the reaction of alcohol or phenols with isocyanates obtained from the phosgene reaction with amines, shown in Figure 2 [11].
Chlorpropham inhibits the formation of meristematic cells, being widely used as anti-sprouting agent (inhibits the formation of turnip greens) in potatoes, thus contributing to increasing its shelf life with high quality parameters. In addition, this action inhibits the release of α-solanine and α-chaconine, which are harmful for health.. Meristematic cells are totipotent cells located in regions where plant growth occurs; they are undifferentiated cells that have great multiplication capacity and to differentiate in any cell type [12,13]. Chlorpropham is classified as a medium toxicity pesticide (toxicological class II). Currently, its use is authorized in the European Union countries and is legislated as the maximum limit of 20 µg/kg. The lethal dose (LD50) of chlorpropham is 3.80 mg/kg [6].
The low concentrations of pesticides residues in foods make difficult its direct quantification by chromatographic methods, such as gas chromatography (GC) or liquid chromatography (LC) [14]. Consequently, it is necessary to apply an sample preparation techniques for the extraction and preconcentration of the pesticides or other residues from foods or other samples. In this sense, different extraction procedures have been recommended to extract herbicides from foods, such as vortex-assisted liquid–liquid microextraction (VALLME) [15], solid-phase extraction (SPE) [16], solid-phase microextraction (SPME) [17], dispersive liquid–liquid microextraction (DLLME) [14], among others. These extraction procedures are expensive, labor-intensive, and time-consuming. Today, a quick, easy, cheap, effective, rugged and safe method (QuEChERS), followed by clean-up steps involving dispersive solid-phase extraction (dSPE), is one of the most promising user-friendly and high throughput extraction procedures, using low solvent and sample amounts to extract pesticides from complex matrices, providing high-quality results with a reduced number of steps [18,19].
The current work aimed to validate and apply a state-of-the-art, quick, easy, cheap, effective, rugged, and safe microextraction technique followed by dispersive solid-phase extraction-based clean-up (µQuEChERS-dSPE) combined with ultra-high performance liquid chromatography equipped with a photodiode array detection system (UHPLC-PDA) for the quantification the anti-sprout agent, chlorpropham, in different parts of potato (potato skin, pulp, and whole potato). The influence of cooking on chlorpropham levels was also evaluated.

2. Materials and Methods

2.1. Chemicals

All solvents and other chemicals were of analytical quality grade. HPLC grade acetonitrile (MeCN) was obtained from LabScan (Dublin, Ireland). Herbicide standard, chlorpropham (98%), as well as the buffered salts used in QuEChERS extraction–sodium chloride (NaCl), anhydrous magnesium sulfate (MgSO4), disodium hydrogen citrate sesquihydrate (C6H8Na2O8), and trisodium citrate dihydrate (C6H5Na3O7·2H2O), were supplied by Sigma-Aldrich (St. Louis, MO, USA). dSPE clean-up DisQuETM tubes with primary, secondary amine (PSA), MgSO4, and C18 were obtained from Waters (Milford, MA, USA). Formic acid (FA, ≥99%) and acetic acid (≥99%) were supplied from Merck (Darmstadt, Germany). Ultrapure water (H2O) from a Milli-Q ultrapure water purification system (Millipore, Bedford, MA, USA) was used for preparing the UHPLC mobile phase. Before UHPLC-PDA analysis, the final extracts were filtered through 13 mm with 0.22-µm PTFE membranes.

2.2. Sample Preparation

The potato samples (1 Kg) were provided by the Agricultural Markets of Porto Moniz (Asterix variety), Prazeres, and Santana (Desire variety). From each sample, the following potato constituents: skin, pulp, and potato (skin + pulp) were analyzed raw and cooked.

2.3. Standard Solution

Individual stock solution of chlorpropham standard was prepared at a concentration of 400 mg/L in MeCN containing 0.1% of acetic acid and stored at −20 °C in the dark for a maximum of six months. Intermediate stock solution at 5 mg/L of chlorpropham was prepared in MeCN. The working standard solutions used to construct the calibration curve were prepared by the appropriate dilution of aliquots of the intermediate stock solution in MeCN to obtain the concentration range of 1–200 μg/Kg. The density was used to convert mg/L to μg/Kg. All standard solutions were labeled and stored at −20 °C.

2.4. µQuEChERS-dSPE Procedure

For µQuEChERS extraction, 500 µg of sample was weighed to the accuracy of 0.0001 mg, put into a centrifuge tube of 5 mL polytetrafluoroethylene (PTFE), mixed, and left to stand for 15 min at room temperature. Afterward, 1000 µL MeCN was added, and the resulting mixture was shaken vigorously for 1 min with a vortex ensuring that the solvent interrelated well with the entire sample. Buffer salts, MgSO4, NaCl, C6H5Na3O7·2H2O and C6H8Na2O8, in proportions of 4:1:1:0.5, were added to the homogenized mixture, vortexed for 2 min and centrifuged at 4000 rpm for 3 min at 25 ± 1 °C, ending the partition step and the consequent separation of phases (aqueous and organic phase) [19]. For removal of potentially interfering compounds, 500 µL of the supernatant was placed in a DisQuETM dSPE clean-up tube containing 2.5 mg of PSA, 15 mg of MgSO4, and 2.5 mg of C18, to remove proteins, lipids, and other interferences. The mixture was centrifuged (4000 rpm, 3 min, 25 °C), and 200 µL of supernatant was filtered through a 0.22-µm PTFE filter membrane to a vial for UHPLC-PDA analysis.

2.5. UHPLC-PDA Conditions

The separation, identification, and quantification of chlorpropham was performed on a Waters Ultra Pressure Liquid Chromatographic Acquity system (UPLC, Acquity H-Class) (Milford, MA, USA) coupled with a Waters Acquity quaternary solvent manager (QSM), an Acquity sample manager (SM), a column heater, a 2996 PDA detector and a degassing system. The whole configuration was controlled by Empower software v2.0 from Waters Corporation. The used column for chlorpropham separation was CORTECS UPLC C18 (2.1 × 100 mm, 1.6 μm) maintained at a temperature of 30 °C. The mobile phase was composed of H2O with 0.1% formic acid (solvent A) and MeCN (solvent B) according to the following gradient: isocratic at 10% B from 0 to 3 min, from 3 to 4 min gradient from 10 to 50% B, gradient from 50 to 65% B from 4 to 10 min, gradient from 65 to 70% from 10 to 11 min, and finally from 70 to 75% from 11 to 19 min. Following the system, a return to the initial mobile phase composition from 75% to 10% was within 1 min. Five µL of extract was injected at constant flow of 350 μL/min.
For quantification purposes, the PDA detection was performed at 235 nm. The chlorpropham was identified by comparing its retention time (RT) and spectral features obtained for an extract with those of the pure standard. The quantification was carried out by means of the chlorpropham standard in triplicate. The results were presented as mean ± standard deviation. The peak purity was confirmed peak by the screening of the chlorpropham UV spectrum from the beginning to the end of the peak.

2.6. Method Validation

The µQuEChERS method was validated concerning the linearity, limit of detection (LOD), limit of quantification (LOQ), precision (intra-day and inter-day), matrix effect, and recovery, according to European Union SANCO/12495/2011 guidelines.
The absence of interfering peaks at the chlorpropham RT, is used to assess the method selectivity and correspond to the level to which a method can quantify a specific analyte in a complex mixture without interference from other analytes.
Nine-points calibration curve was constructed with the following chlorpropham concentrations: 200, 150, 100, 50, 25, 10, 5.0, 2.5, and 1.0 μg/Kg, to determine the method’s linearity. As part of the method linearity assessment, linearity range and determination coefficients (R2) were evaluated.
The LOD, the lowest concentration of analyte that can be detected, and the LOQ, the lowest quantity of analyte that can be calculated quantitatively with satisfactory precision and accuracy, under the stated operating conditions of the method, were used to evaluate the method sensitivity. These parameters were determined by using the residual standard deviation (Sy/x) of corresponding curves being LOD and LOQ calculated by 3.3 Sy/x/b and 10 Sy/x/b, respectively, where b represents the slope of calibration curve.
Recovery was evaluated at three concentration levels (in triplicate) within the linear range of the calibration curve, which allowed to evaluate the method accuracy. It is calculated through the relation of theoretical concentration added to the sample (Ctheoretical) to the experimental concentration (Cexperimental) of chlorpropham in the sample. The Cexperimental was calculated by the variation between the peak area of the chlorpropham in spiked and non-spiked samples.
Intra- and inter-day precision, expressed as percentage of relative standard deviation (% RSD), was calculated from triplicate assays of sample spiked at three concentration levels during the same day (repeatability) and in five consecutive days (reproducibility).
The matrix effect, most noticeable in complex samples, was determined based on the method of “standard additions” applied to the sample investigated, which was measured by the correlation of the slopes from the calibration curve of the chlorpropham in sample and in the solvent-based matrix.

2.7. Statistical Analysis

The multivariate data analysis (MVDA) was performed using the MetaboAnalyst 5.0 web-based tool (Chong et al., 2018; Pang et al., 2021). The data obtained were normalized (data transformation by cubic root and data scaling by auto-scaling). Then, principal component analysis (PCA) (Figure S1, supplementary material) and partial least squares-discriminant analysis (PLS-DA) were used to provide insights into separations among the samples under study.

3. Results and Discussion

3.1. Method Validation

The performance of µQuEChERS/UHPLC-PDA was evaluated for selectivity, linearity, accuracy (% recovery), precision (intra- and inter-day), and sensitivity (LOD and LOQ).
The selectivity was determined through the nonappearance of interfering peaks at the RT and wavelength of the studied analyte by the evaluation of the matrix effect. In order to evaluate the matrix effect, µQuEChERS extractions were performed in fortified potatoes with the same concentrations used previously. The nonappearance of chlorpropham in the sample was previously confirmed. The matrix effect was calculated by the slope ratio of the calibration line obtained with the sample by the slope of the calibration line obtained in the solvent. No significant interference was observed at the RT of chlorpropham in the potato matrix, which confirms the method selectivity.
The method linearity was evaluated through calibration curves that fit the least square linear regression analysis model. The correlation coefficient (R2) obtained was 0.999, with residuals lower than ±15%, which indicates an excellent linear relationship between area vs. chlorpropham concentration. Additionally, the µQuEChERS-dSPE/UHPLC-PDA analytical methodology shows a big potential to detect and quantify the chlorpropham since the LOD was 0.14 µg/Kg and the LOQ was 0.43 µg/Kg.
The precision and recovery were evaluated by spiking potato samples with chlorpropham at different concentration levels (Table 1) within the linear range of the calibration curve. The intra-day precision ranged from 1.5% to 14.6%, while the inter-day precision from 4.2% to 16.3%. The recovery of chlorpropham ranged from 94.5% to 125%. According to the literature, a quantitative method should be validated as being able to show a mean recovery from 70% to 120%, and its precision should show % RSD values lower than 20%. Nevertheless, for concentrations at 1.0 µg/Kg, the recovery is slightly higher (125%); however, this value is within the analytical error allowed (120 ± 5%).
Moreover, the developed analytical method was compared with other liquid chromatography (LC) and gas chromatography (GC) methods reported in the literature for the quantification of chlorpropham in vegetables and water samples (Table 2) [15,16,20,21]. The low sample amount (g), LODs, LOQs, and recovery were assessed to prove the benefits of the µQuEChERS-dSPE/UHPLC-PDA method. The current analytical method proposed with this study used the lowest sample amount (500 µg).in comparison with other methods reported in studies to quantify the chlorpropham. Nonetheless, the VALLME/HPLC-AD and SPE methods require large solvent volumes compared to µQuEChERS-dSPE. µQuEChERS-dSPE/UHPLC-PDA showed enhanced analytical performance compared to most of the reference methods.

3.2. Quantification of Chlorpropham in Potatoes

Chlorpropham was determined in different constituent parts of raw and cooked potato—outside (skin), inside (pulp), whole potato (potato skin + pulp), and in cooking water. The potato samples were provided by the Agriculture Market from Porto Moniz, Prazeres, and Santana. The chromatograms of the chlorpropham standard and the samples are presented in Figure 3.
The concentration of chlorpropham in the raw potato skins from Porto Moniz, Prazeres, and Santana, was 15.4 μg/Kg, 85.4 μg/Kg, and 40.7 μg/Kg, respectively. The levels found in the raw potato skins from Prazeres and Santana are above the ceiling accepted and legislated by the EU, 20 μg/Kg. Nevertheless, after cooking, the concentration of chlorpropham in these samples was significantly reduced to values lower than 1 μg/Kg, which indicates that the use of chlorpropham does not represent a danger to public health. On the other hand, in the whole potato (potato skin + pulp) and in the pulp samples, the values presented are much lower than those regulated (Table 3). The presence of chlorpropham in the potato pulp indicates that there was a transfer of mass by diffusion from potato skin to the pulp. The presence of chlorpropham in the potatoes cooking water was also analyzed, and the herbicide was identified in concentrations ranging from 1.04 μg/kg (cooking water of Prazeres potatoes) to 0.71 μg/Kg (Santana).
As can be seen from the results presented in Table 3, the concentration of chlorpropham in raw potato skin and potato samples (potato skin + pulp) is significantly higher when compared to cooked samples meaning that the thermic treatment during cooking had a significant effect on the decomposition of chlorpropham since its concentration was reduced by about 90%, on average. On the other hand, the concentration of chlorpropham in raw pulp (0.74 μg/Kg, on average) does not differ significantly (p < 0.05) from the values found in cooked pulp (0.96 μg/Kg, on average).
To further understand the differences between raw and cooked potatoes, a PLS-DA model was developed. Nevertheless, the score plot (Figure 4a) did not show a clear separation of potatoes based on the raw and cooked process. Therefore, a novel OPLS-DA model was built, and clear discrimination was observed among potatoes cultivated in different geographical regions of Madeira Island–Porto Moniz, Prazeres, and Santana (Figure 4b). Three significant components described 0.7982 of the goodness of fit (R2 = 79.82%) and predicted ability of 0.6921 (Q2 = 69.21%) based on crossing-validation.

4. Conclusions

A simple, fast, cheap, and high-throughput µQuEChERS-dSPE followed by UHPLC-PDA was developed and validated to quantify chlorpropham in different parts of potatoes. Satisfactory figures of merit of the method were attained in terms of linearity (R2 ≥ 0.999), intra-day/inter-day precision (RSD < 16%), recovery (94.5–125%), and sensitivity (low LOD and LOQ) for chlorpropham. In the potato skin before cooking, extremely high chlorpropham values were obtained, especially in the sample from Santana (40.7 μg/Kg) and Prazeres (85.4 μg/Kg), which exceeded the accepted and legislated by the EU limit, 20 μg/Kg. For the remaining parts of potatoes, independently if raw and cooked, the concentration of chlorpropham was lower than legislated by the EU. Regarding the influence of cooking on chlorpropham concentration on the different constituent parts of the potato, there was a significant decrease (90% on average) in the chlorpropham concentration in the potato skin of the cooked potato.
The µQuEChERS-dSPE revealed a suitable green and state-of-the-art microextraction technique for routine practice since it is simple, cheap, accurate, precise, and environmentally friendly. In addition to UHPLC-PDA analysis, it constitutes a high throughput separation technique with a high-resolution power in a short run time, which makes the µQuEChERS-dSPE/UHPLC-PDA methodology a useful approach for its application to other types of pesticides and food matrices. After cooking, the concentration of chlorpropham in potatoes was lower than the maximum residue limits (MRLs) set by the EU, which means that the cooking process has a significant impact on the degradation of chlorpropham. The obtained results revealed that the use of chlorpropham in potatoes as an anti-sprouting agent does not constitute any risk to human health, provided that the concentration levels determined for the analyzed samples are below their MRL value.

Supplementary Materials

The following supporting information can be downloaded at: https://www.mdpi.com/article/10.3390/separations9030077/s1, Figure S1. (a) Principal component analysis (PCA) of raw and cooked of different parts of potatoes, and (b) Principal component analysis (PCA) of different parts of potatoes by geographical regions.

Author Contributions

Conceptualization, J.S.C.; methodology, T.M.G.; formal and analysis, T.M.G.; investigation, T.M.G. and R.P.; resources, J.S.C.; data curation, T.M.G., R.P. and J.S.C.; writing—original draft preparation, T.M.G. and R.P.; writing—review and editing, J.S.C.; supervision, J.S.C. All authors have read and agreed to the published version of the manuscript.

Funding

This research was funded by FCT-Fundação para a Ciência e a Tecnologia through the CQM Base Fund, UIDB/00674/2020, Programmatic Fund, UIDP/00674/2020, and by ARDITI-Agência Regional para o Desenvolvimento da Investigação Tecnologia e Inovação, through the project M1420-01-0145-FEDER-000005—Centro de Química da Madeira—CQM+ (Madeira 14-20 Program). The authors also acknowledge FCT and Madeira 14-2020 program to the Portuguese Mass Spectrometry Network (RNEM) through PROEQUIPRAM program, M14-20 M1420-01-0145-FEDER-000008).

Institutional Review Board Statement

Not applicable.

Informed Consent Statement

Nor applicable.

Acknowledgments

The authors acknowledge Victoria F. Samanidou, from Aristotle University of Thessaloniki for the kind invitation to participate in this Special Issue.

Conflicts of Interest

The authors declare no conflict of interest.

References

  1. Chen, L.; Jia, C.; Li, F.; Jing, J.; Yu, P.; He, M.; Zhao, E. Dissipation and residues of fluazinam and dimethomorph in potatoes, potato plants, and soil, determined by QuEChERS ultra-performance liquid chromatography tandem mass spectrometry. Environ. Sci. Pollut. Res. 2018, 25, 32783–32790. [Google Scholar] [CrossRef] [PubMed]
  2. Reis, D.; Silva, P.; Perestrelo, R.; Cmara, J.S. Residue analysis of insecticides in potatoes by QuEChERS-dSPE/UHPLC-PDA. Foods 2020, 9, 1000. [Google Scholar] [CrossRef]
  3. Agatz, A.; Ashauer, R.; Sweeney, P.; Brown, C.D. A knowledge-based approach to designing control strategies for agricultural pests. Agric. Syst. 2020, 183, 102865. [Google Scholar] [CrossRef] [PubMed]
  4. Nicolopoulou-Stamati, P.; Maipas, S.; Kotampasi, C.; Stamatis, P.; Hens, L. Chemical Pesticides and Human Health: The Urgent Need for a New Concept in Agriculture. Front. Public Health 2016, 4, 148. [Google Scholar] [CrossRef] [Green Version]
  5. Casida, J.E.; Bryant, R.J. The ABCs of pesticide toxicology: Amounts, biology, and chemistry. Toxicol. Res. 2017, 6, 755–763. [Google Scholar] [CrossRef] [PubMed] [Green Version]
  6. Richardson, J.R.; Fitsanakis, V.; Westerink, R.H.S.; Kanthasamy, A.G. Neurotoxicity of pesticides. Acta Neuropathol. 2019, 138, 343–362. [Google Scholar] [CrossRef] [PubMed]
  7. Silva, V.; Mol, H.G.J.; Zomer, P.; Tienstra, M.; Ritsema, C.J.; Geissen, V. Pesticide residues in European agricultural soils—A hidden reality unfolded. Sci. Total Environ. 2019, 653, 1532–1545. [Google Scholar] [CrossRef] [PubMed]
  8. Long, C.S.; Novelo, N.N.; Derecho, H.; Youngblood, Y. The Effects of a Selective and Non-Selective Organic Herbicides on Amaranthus species. Pursue 2018, 1, 50–62. [Google Scholar]
  9. Sherwani, S.I.; Arif, I.A.; Khan, H.A. Modes of Action of Different Classes of Herbicides. In Herbicides: Physiology of Action and Safety; InTech: Rijeka, Croatia, 2015. [Google Scholar] [CrossRef] [Green Version]
  10. Gupta, P.K. Toxicity of Herbicides, 3rd ed.; Elsevier Inc.: Amsterdam, The Netherlands, 2018; ISBN 9780128114100. [Google Scholar]
  11. Ghosh, A.K.; Brindisi, M. Organic Carbamates in Drug Design and Medicinal Chemistry. J. Med. Chem. 2015, 58, 2895–2940. [Google Scholar] [CrossRef] [Green Version]
  12. Arena, M.; Auteri, D.; Barmaz, S.; Bellisai, G.; Brancato, A.; Brocca, D.; Bura, L.; Byers, H.; Chiusolo, A.; Court Marques, D.; et al. Peer review of the pesticide risk assessment of the active substance chlorpropham. EFSA J. 2017, 15, e04903. [Google Scholar] [CrossRef]
  13. Göckener, B.; Kotthoff, M.; Kling, H.W.; Bücking, M. Fate of Chlorpropham during High-Temperature Processing of Potatoes. J. Agric. Food Chem. 2020, 68, 2578–2587. [Google Scholar] [CrossRef] [PubMed]
  14. Wang, Y.; Sun, Y.; Xu, B.; Li, X.; Jin, R.; Zhang, H.; Song, D. Magnetic ionic liquid-based dispersive liquid–liquid microextraction for the determination of triazine herbicides in vegetable oils by liquid chromatography. J. Chromatogr. A 2014, 1373, 9–16. [Google Scholar] [CrossRef]
  15. Diuzheva, A.; Dejmková, H.; Fischer, J.; Andruch, V. Simultaneous determination of three carbamate pesticides using vortex-assisted liquid–liquid microextraction combined with HPLC-amperometric detection. Microchem. J. 2019, 150, 104071. [Google Scholar] [CrossRef]
  16. Douglas, L.; MacKinnon, G.; Cook, G.; Duncan, H.; Briddon, A.; Seamark, S. Determination of chlorpropham (CIPC) residues, in the concrete flooring of potato stores, using quantitative (HPLC UV/VIS) and qualitative (GCMS) methods. Chemosphere 2018, 195, 119–124. [Google Scholar] [CrossRef] [PubMed] [Green Version]
  17. Berrada, H.; Font, G.; Moltó, J.C. Application of solid-phase microextraction for determining phenylurea herbicides and their homologous anilines from vegetables. J. Chromatogr. A 2004, 1042, 9–14. [Google Scholar] [CrossRef]
  18. Perestrelo, R.; Silva, P.; Porto-Figueira, P.; Pereira, J.A.M.J.A.M.; Silva, C.; Medina, S.; Câmara, J.S. QuEChERS—Fundamentals, relevant improvements, applications and future trends. Anal. Chim. Acta 2019, 1070, 1–28. [Google Scholar] [CrossRef] [PubMed]
  19. Sousa, J.F.; Barros, J.N.; Fernandes, P.; Perestrelo, R.; Câmara, J.S. Simultaneous determination of N-methyl carbamate residues in pork tissues based on ultrasound assisted QuEChERS-dSPE extraction followed by reversed phase LC-FLD analysis. LWT 2021, 144, 111199. [Google Scholar] [CrossRef]
  20. Jabali, Y.; Millet, M.; El-Hoz, M. Optimization of a DI-SPME-GC–MS/MS method for multi-residue analysis of pesticides in waters. Microchem. J. 2019, 147, 83–92. [Google Scholar] [CrossRef]
  21. Sayed, A.; Chys, M.; De Rop, J.; Goeteyn, L.; Spanoghe, P.; Sampers, I. Pesticide residues in (treated) wastewater and products of Belgian vegetable- and potato processing companies. Chemosphere 2021, 280, 130619. [Google Scholar] [CrossRef] [PubMed]
Figure 1. Generic reaction of carbamate synthesis.
Figure 1. Generic reaction of carbamate synthesis.
Separations 09 00077 g001
Figure 2. Carbamate synthesis. (a) reaction between amines, carbonyl group and alcohol; (b) reaction chloroformat with amines; (c) isocyanate reaction with alcoholics or phenols.
Figure 2. Carbamate synthesis. (a) reaction between amines, carbonyl group and alcohol; (b) reaction chloroformat with amines; (c) isocyanate reaction with alcoholics or phenols.
Separations 09 00077 g002
Figure 3. UPLC UV/VIS chromatograms of a chlorpropham standard solution (a) and chlorpropham in the potato skin samples from the agricultural markets of Porto Moniz (b), Prazeres (c) and Santana (d) obtained by µQuEChERS/UHPLC-PDA at λ = 235 nm.
Figure 3. UPLC UV/VIS chromatograms of a chlorpropham standard solution (a) and chlorpropham in the potato skin samples from the agricultural markets of Porto Moniz (b), Prazeres (c) and Santana (d) obtained by µQuEChERS/UHPLC-PDA at λ = 235 nm.
Separations 09 00077 g003
Figure 4. (a) Partial least square-discrimination analysis (PLS-DA) of raw and cooked of different parts of potatoes, and (b) Partial least square-discrimination analysis (PLS-DA) of different parts of potatoes by geographical regions.
Figure 4. (a) Partial least square-discrimination analysis (PLS-DA) of raw and cooked of different parts of potatoes, and (b) Partial least square-discrimination analysis (PLS-DA) of different parts of potatoes by geographical regions.
Separations 09 00077 g004
Table 1. Recovery and precision for chlorpropham quantification using µQuEChERS-dSPE/UHPLC-PDA methodology.
Table 1. Recovery and precision for chlorpropham quantification using µQuEChERS-dSPE/UHPLC-PDA methodology.
Concentration Range (µg/Kg)Precision (%RSD)Accuracy
TheoreticalExperimentalIntra-DayInter-DayRec (%) ± SD
2002111.54.2106 ± 3.06
1501573.45.1105 ± 4.26
1001034.56.8103 ± 4.09
50.049.18.59.495.7 ± 2.98
25.024.26.810.294.5 ± 1.43
109.67.69.795.9 ± 0.98
55.410.411.6112 ± 3.47
2.52.712.213.5118 ± 7.09
11.614.615.7125 ± 8.03
Table 2. Comparison of the analytical parameters of few studies, reported in the literature, for quantification of chlorpropham in different samples.
Table 2. Comparison of the analytical parameters of few studies, reported in the literature, for quantification of chlorpropham in different samples.
Sample (Amount)Extraction ProcedureAnalytical MethodLOD (µg/Kg)LOQ (µg/Kg)Rec (%)Ref.
Water (18 mL)SPMEGC-MS/MS0.020.06 *95.3–98.9[20]
Potatoes (0.5 g)VALLMEHPLC-AD3.6712.2 *75.7–104[15]
Potatoes (5 g)SPEHPL-UV3010090.7–97.0[16]
Carrot, tomatoes (5 g)QuEChERS-dSPEHPLC-UV1077358951.3–73.0[21]
Potatoes (0.5 mg)µQuEChERS-dSPEUPLC-PDA0.140.4394.5–125This work
Abbreviations—GC-MS/MS: gas chromatography tandem mass spectrometry; HPLC-AD: high-performance liquid chromatography with amperometry detection; HPLC-UV: high-performance liquid chromatography with ultraviolet detector; LOD: limit of detection; LOQ: limit of quantification; QuEChERS-dSPE: quick, easy, cheap, effective, rugged and safe technique coupled with dispersive solid-phase extraction; Rec (%): recovery; SPE: solid-phase extraction; SPME: solid-phase microextraction; UPLC-PDA: ultrahigh performance liquid chromatography coupled with photodiode array detector; VALLME: vortex-assisted liquid–liquid microextraction. * Expressed as µg/L.
Table 3. Concentration (μg/Kg) ± standard deviation of chlorpropham in raw and cooked potatoes and in cooking water.
Table 3. Concentration (μg/Kg) ± standard deviation of chlorpropham in raw and cooked potatoes and in cooking water.
SamplesPorto MonizPrazeresSantana
Raw
Potato skin15.4 ± 1.0285.4 ± 2.4340.7 ± 1.47
Potato pulp0.64 ± 0.010.80 ± 0.010.78 ± 0.01
Potato (skin + pulp)7.39 ± 0.0415.4 ± 0.878.31 ± 0.03
Cooked
Potato skin0.72 ± 0.020.79 ± 0.020.85 ± 0.03
Potato pulp0.81 ± 0.031.18 ± 0.050.88 ± 0.05
Potato (skin + pulp)1.21 ± 0.020.68 ± 0.010.69 ± 0.04
Cooking water1.03 ± 0.011.04 ± 0.010.71 ± 0.01
Publisher’s Note: MDPI stays neutral with regard to jurisdictional claims in published maps and institutional affiliations.

Share and Cite

MDPI and ACS Style

Gomes, T.M.; Perestrelo, R.; Câmara, J.S. µQuEChERS Combined with UHPLC-PDA as a State-of-the-Art Analytical Approach for Quantification of Chlorpropham in Potato. Separations 2022, 9, 77. https://doi.org/10.3390/separations9030077

AMA Style

Gomes TM, Perestrelo R, Câmara JS. µQuEChERS Combined with UHPLC-PDA as a State-of-the-Art Analytical Approach for Quantification of Chlorpropham in Potato. Separations. 2022; 9(3):77. https://doi.org/10.3390/separations9030077

Chicago/Turabian Style

Gomes, Telma M., Rosa Perestrelo, and José S. Câmara. 2022. "µQuEChERS Combined with UHPLC-PDA as a State-of-the-Art Analytical Approach for Quantification of Chlorpropham in Potato" Separations 9, no. 3: 77. https://doi.org/10.3390/separations9030077

APA Style

Gomes, T. M., Perestrelo, R., & Câmara, J. S. (2022). µQuEChERS Combined with UHPLC-PDA as a State-of-the-Art Analytical Approach for Quantification of Chlorpropham in Potato. Separations, 9(3), 77. https://doi.org/10.3390/separations9030077

Note that from the first issue of 2016, this journal uses article numbers instead of page numbers. See further details here.

Article Metrics

Back to TopTop