Systematic Identification of Bioactive Compositions in Leaves of Morus Cultivars Using UHPLC-ESI-QTOF-MS/MS and Comprehensive Screening of High-Quality Resources
Abstract
1. Introduction
2. Materials and Methods
2.1. Materials and Chemicals
2.2. Preparation Solutions of Standards and Samples for LC-HRMS Analysis
2.3. LC-HRMS Conditions
2.4. GNPS Library Help to Identification of Compounds
2.5. Quality Evaluation by Multivariate Statistical Analysis
3. Results and Discussion
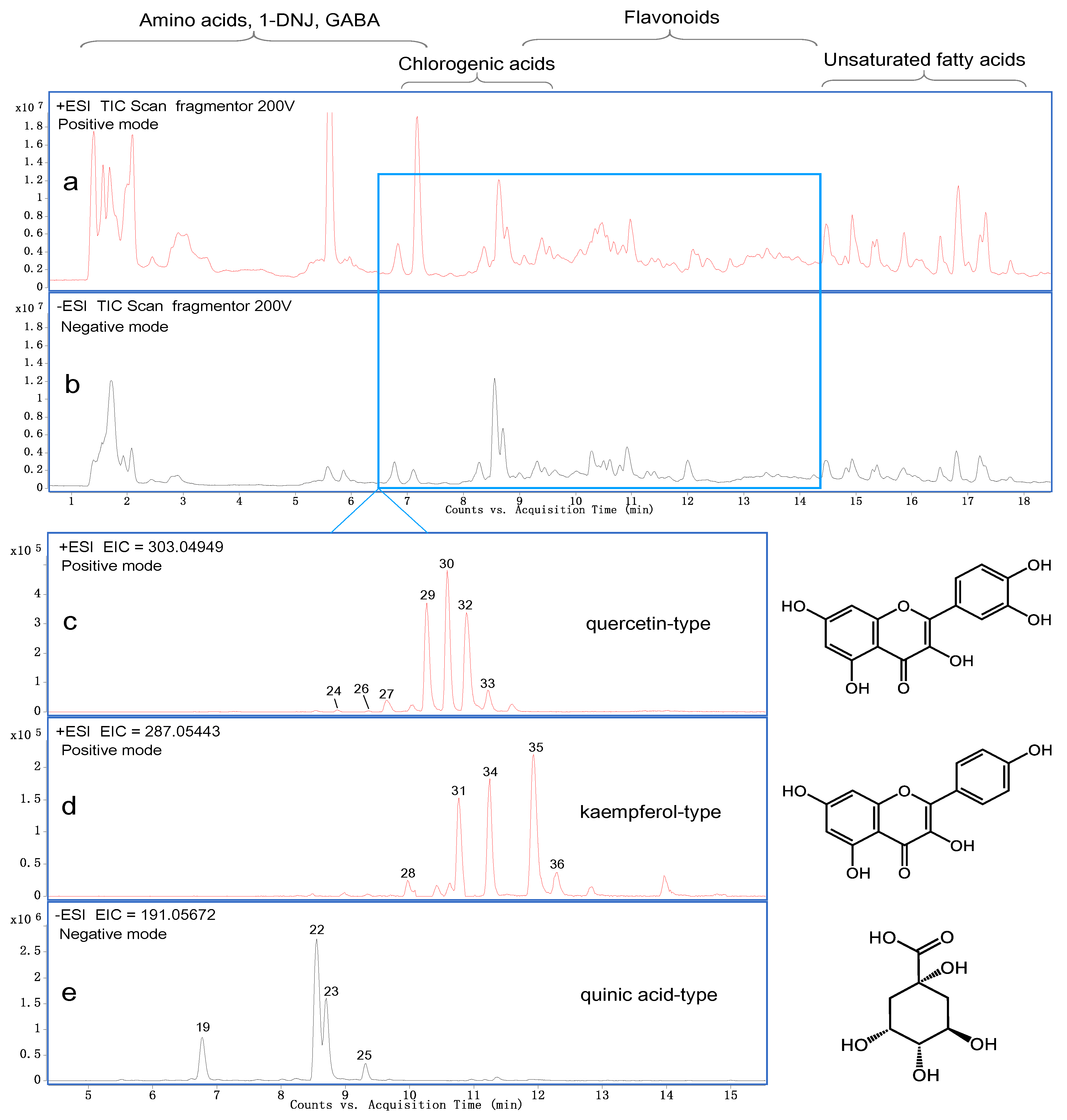
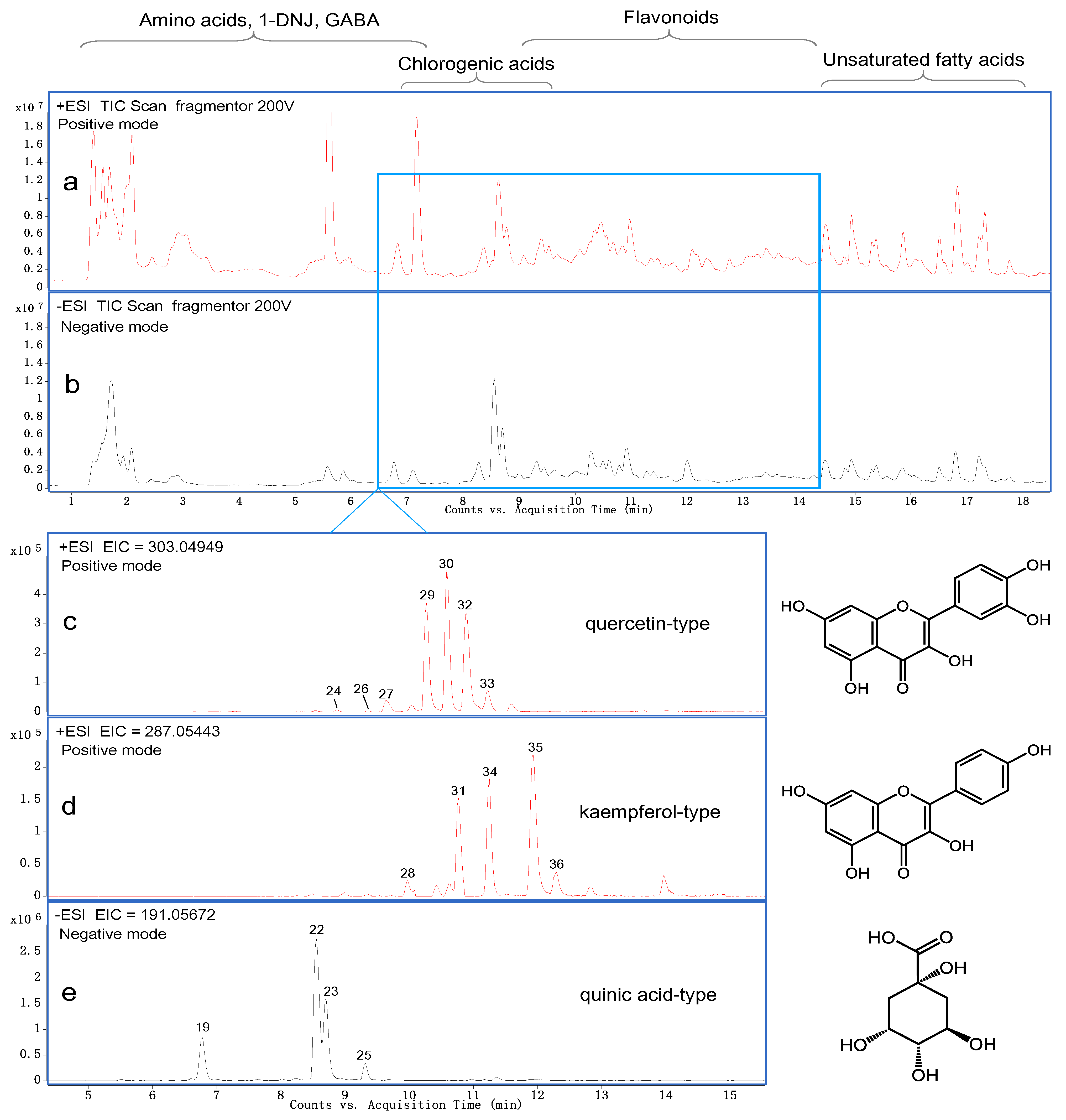
3.1. Characterization of Morus Leaves
3.1.1. Identification of Quercetin-Type Flavonoids (QTFs)
3.1.2. Identification of Kaempferol-Type Flavonoids (KTFs)
3.1.3. Identification of Chlorogenic Acids (CAs)
3.1.4. Identification of 1-DNJ, GABA, Amino Acids, and Unsaturated Fatty Acids
3.2. Qualification of Bioactive Compounds
3.3. Important Variables of M. spp. Leaves
3.4. Quality Evaluation of M. spp. Leaves
4. Conclusions
Author Contributions
Funding
Institutional Review Board Statement
Informed Consent Statement
Data Availability Statement
Conflicts of Interest
References
- Chan, W.C.; Lye, P.Y.; Wong, S.K. Phytochemistry, pharmacology, and clinical trials of Morus alba. Chin. J. Nat. Med. 2016, 14, 17–30. [Google Scholar] [PubMed]
- Jiao, F.; Luo, R.; Dai, X.; Liu, H.; Yu, G.; Han, S.; Lu, X.; Su, C.; Chen, Q.; Song, Q.; et al. Chromosome-level reference genome and population genomic analysis provide insights into the evolution and improvement of domesticated mulberry (Morus alba). Mol. Plant 2020, 13, 1001–1012. [Google Scholar] [CrossRef] [PubMed]
- Lu, C.; Ji, D.F. Mulberry Cultivars in China; Southwest Normal University Press: Chongqing, China, 2017; Chapter 1. [Google Scholar]
- National Pharmacopoeia Commission. Chinese Pharmacopeia; China Medical Science Press: Beijing, China, 2020.
- Srivastava, S.; Kapoor, R.; Thathola, A.; Srivastava, R.P. Nutritional quality of leaves of some genotypes of mulberry (Morus alba). Int. J. Food Sci. Nutr. 2006, 57, 305–313. [Google Scholar] [CrossRef] [PubMed]
- Butt, M.S.; Nazir, A.; Sultan, M.T.; Schroen, K. Morus alba L. nature’s functional tonic. Trends Food Sci. Technol. 2008, 19, 505–512. [Google Scholar] [CrossRef]
- Gryn-Rynko, A.; Bazylak, G.; Olszewska-Slonina, D. New potential phytotherapeutics obtained from white mulberry (Morus alba L.) leaves. Biomed. Pharmacother. 2016, 84, 628–636. [Google Scholar] [CrossRef]
- Sanchez-Salcedo, E.M.; Tassotti, M.; Del Rio, D.; Hernandez, F.; Martinez, J.J.; Mena, P. (Poly)phenolic fingerprint and chemometric analysis of white (Morus alba L.) and black (Morus nigra L.) mulberry leaves by using a non-targeted UHPLC-MS approach. Food Chem. 2016, 212, 250–255. [Google Scholar] [CrossRef]
- Nastic, N.; Linares, I.; Sanchez, J.; Gajic, J.; Carretero, A. Optimization of the extraction of phytochemicals from black mulberry (Morus nigra L.) leaves. J. Ind. Eng. Chem. 2018, 68, 282–292. [Google Scholar] [CrossRef]
- He, X.R.; Fang, J.C.; Ruan, Y.L.; Wang, X.X.; Sun, Y.; Wu, N.; Zhao, Z.F.; Chang, Y.; Ning, N.; Guo, H.; et al. Structures, bioactivities and future prospective of polysaccharides from Morus alba (white mulberry): A review. Food Chem. 2018, 245, 899–910. [Google Scholar] [CrossRef]
- Thaipitakwong, T.; Numhom, S.; Aramwit, P. Mulberry leaves and their potential effects against cardiometabolic risks: A review of chemical compositions, biological properties and clinical efficacy. Pharm. Biol. 2018, 56, 109–118. [Google Scholar] [CrossRef]
- Katsube, T.; Yamasaki, Y. Apoptosis-inducing activity of ethanol extracts from the tea of mulberry (Morus alba) leaves in HL-60 cells. J. Jpn. Soc. Food Sci. 2002, 49, 195–198. [Google Scholar] [CrossRef][Green Version]
- Pothinuch, P.; Tongchitpakdee, S. Melatonin contents in mulberry (Morus spp.) leaves: Effects of sample preparation, cultivar, leaf age and tea processing. Food Chem. 2011, 128, 415–419. [Google Scholar] [CrossRef] [PubMed]
- Charunuch, C.; Tangkanakul, P.; Limsangouan, N.; Sonted, V. Effects of extrusion conditions on the physical and functional properties of instant cereal beverage powders admixed with mulberry (Morus alba L.) leaves. Food Sci. Technol. Res. 2008, 14, 421–430. [Google Scholar] [CrossRef][Green Version]
- Zhang, G.Q.; Cai, X.Y.; Zhang, Y.J. Research development of mulberry leaf food. Farm Prod. Process 2017, 435, 43–45. [Google Scholar]
- He, Y.J.; Zhou, Y.; Qin, Y.; Zhou, Z.S.; Zhu, M.; Zhu, Y.Y.; Wang, Z.J.; Xie, T.Z.; Zhao, L.X.; Luo, X.D. Development of a LC-HRMS based approach to boost structural annotation of isomeric citrus flavanones. Phytochem. Anal. 2021, 32, 749–756. [Google Scholar] [CrossRef]
- He, Y.J.; Zhu, M.; Zhou, Y.; Zhao, K.H.; Zhou, J.L.; Qi, Z.H.; Zhu, Y.Y.; Wang, Z.J.; Xie, T.Z.; Tang, Q.; et al. Comparative investigation of phytochemicals among ten citrus herbs by ultra high performance liquid chromatography coupled with electrospray ionization quadrupole time-of-flight mass spectrometry and evaluation of their antioxidant properties. J. Sep. Sci. 2020, 43, 3349–3358. [Google Scholar] [CrossRef]
- Tang, Q.; Zhang, R.Y.; Zhou, J.L.; Zhao, K.H.; Lu, Y.; Zheng, Y.J.; Wu, C.Q.; Chen, F.; Mu, D.T.; Ding, Z.X.; et al. The levels of bioactive ingredients in Citrus aurantiumL. at different harvest periods and antioxidant effects on H2O2-induced RIN-m5F cells. J. Sci. Food Agr. 2021, 101, 1479–1490. [Google Scholar] [CrossRef]
- He, Y.J.; Qin, Y.; Zhang, T.L.; Zhu, Y.Y.; Wang, Z.J.; Zhou, Z.S.; Xie, T.Z.; Luo, X.D. Migration of (non-) intentionally added substances and microplastics from microwavable plastic food containers. J. Hazard. Mater. 2021, 417, e126074. [Google Scholar] [CrossRef]
- Trovato, E.; Arigo, A.; Vento, F.; Micalizzi, G.; Dugo, P.; Mondello, L. Influence of citrus flavor addition in brewing process: Characterization of the volatile and non-volatile profile to prevent frauds and adulterations. Separations 2021, 8, 18. [Google Scholar] [CrossRef]
- Almalki, A.H.; Ali, N.A.; Elroby, F.A.; El Ghobashy, M.R.; Emam, A.A.; Naguib, I.A. ESI-LC-MS/MS for therapeutic drug monitoring of binary mixture of pregabalin and tramadol: Human plasma and urine applications. Separations 2021, 8, 21. [Google Scholar] [CrossRef]
- He, Y.J.; Chen, Y.; Shi, Y.T.; Zhao, K.H.; Tan, H.Y.; Zeng, J.G.; Tang, Q.; Xie, H.Q. Multiresponse optimization of ultrasonic-assisted extraction for Aurantii Fructus to obtain high yield of antioxidant flavonoids using a response surface methodology. Processes 2018, 6, 258. [Google Scholar] [CrossRef]
- Lu, Y.; Zhu, S.; He, Y.; Mo, C.; Wu, C.; Zhang, R.; Zheng, X.; Tang, Q. Systematic characterization of flavonoids from Siraitia grosvenorii leaf extract using an integrated strategy of high-speed counter-current chromatography combined with ultra high performance liquid chromatography and electrospray ionization quadrupole time-of-flight mass spectrometry. J. Sep. Sci. 2020, 43, 852–864. [Google Scholar] [PubMed]
- Zhang, J.Y.; Zhang, Q.; Li, N.; Wang, Z.J.; Lu, J.Q.; Qiao, Y.J. Diagnostic fragment-ion-based and extension strategy coupled to DFIs intensity analysis for identification of chlorogenic acids isomers in Flos Lonicerae Japonicae by HPLC-ESI-MS(n). Talanta 2013, 104, 1–9. [Google Scholar] [CrossRef] [PubMed]
- Kruve, A. Strategies for drawing quantitative conclusions from nontargeted liquid chromatography-high-resolution mass spectrometry analysis. Anal. Chem. 2020, 92, 4691–4699. [Google Scholar] [CrossRef] [PubMed]






| Peak No. | RT | Precursor Ion Type | Precursor Ion (m/z) | Formula | Δppm | Fragment Ions (m/z) | Identification |
|---|---|---|---|---|---|---|---|
| Quercetin-type flavonoids | |||||||
| 24 | 8.92 | [M + H]+ | 713.15743 | C30H32O20 | −1.92 | 551, 465, 303 | quercetin-3-O-(6″-O-malonyl)-glucose-7-O-glucoside (que-mal-glu-glu) bc |
| 26 | 9.39 | [M + H]+ | 697.16142 | C30H32O19 | −0.63 | 611, 465, 303 | quercetin-3-O-(6″-O-malonyl)-glucose-7-O-rhamnoside (que-mal-glu-rha) b |
| 27 | 9.68 | [M + H]+ | 757.22036 | C33H40O20 | −1.81 | 611, 465, 303 | quercetin-3-O-rutinoside-7-O-rhamnoside (que-rut-rha) b |
| 29 | 10.32 | [M + H]+ | 611.16102 | C27H30O16 | −0.39 | 465, 303 | rutin (que-3-rut) abc |
| 30 | 10.62 | [M + H]+ | 465.10302 | C21H20O12 | −0.42 | 303 | isoquercitrin (que-3-glu) abc |
| 32 | 10.95 | [M + H]+ | 551.10476 | C24H22O15 | −2.72 | 303 | quercetin-3-O-(6″-O-malonyl)-glucoside (que-mal-glu 1) bc |
| 33 | 11.30 | [M + H]+ | 551.10375 | C24H22O15 | −1.02 | 303 | quercetin-3-O-(2″-O-malonyl)-glucoside (que-mal-glu 2) b |
| 37 | 14.07 | [M + H]+ | 303.05002 | C15H10O7 | −0.04 | 285, 257, 229, 165, 153, 137 | quercetin ac |
| Kaempferol-type flavonoids | |||||||
| 28 | 10.10 | [M + H]+ | 741.22479 | C33H40O19 | −0.98 | 595, 449, 287 | kaempferol-3-O-rutinoside-7-O-rhamnoside (kae-rut-rha) b |
| 31 | 10.80 | [M + H]+ | 595.16694 | C27H30O15 | −1.80 | 449, 287 | kaempferol-3-O-rutinoside (kae-rut) bc |
| 34 | 11.32 | [M + H]+ | 449.10847 | C21H20O11 | −1.36 | 287 | kaempferol-3-O-glucoside (kae-glu) bc |
| 35 | 12.05 | [M + H]+ | 535.10956 | C24H22O15 | −2.20 | 287 | kaempferol-3-O-(6″-O-malonyl)-glucoside (kae-mal-glu 1) b |
| 36 | 12.42 | [M + H]+ | 535.10956 | C24H22O15 | −1.49 | 287 | kaempferol-3-O-(2″-O-malonyl)-glucoside (kae-mal-glu 2) b |
| 40 | 14.86 | [M + H]+ | 287.05499 | C15H10O6 | 0.07 | 213, 165, 153, 121 | kaempferol ac |
| Chlorogenic acids | |||||||
| 19 | 6.79 | [M - H]− | 353.0887 | C16H18O9 | −2.55 | 191, 175, 135 | neochlorogenic acid b |
| 22 | 8.61 | [M - H]− | 353.0886 | C16H18O9 | −1.90 | 191 | chlorogenic acid ac |
| 23 | 8.75 | [M - H]− | 353.0888 | C16H18O9 | −2.60 | 191, 175, 173, 135 | cryptochlorogenic acid b |
| 25 | 9.32 | [M - H]− | 353.0884 | C16H18O9 | −1.52 | 191 | 1-caffeoylquinic acid b |
| Amino acids | |||||||
| 1 | 1.43 | [M + H]+ | 147.11284 | C6H14N2O2 | −0.23 | 130, 84 | lysine d |
| 2 | 1.44 | [M + H]+ | 156.07686 | C6H9N3O2 | −1.26 | 110, 95, 83 | histidine d |
| 4 | 1.53 | [M + H]+ | 175.11944 | C6H14N4O2 | −2.79 | 158, 130, 116, 70, 60 | arginine d |
| 5 | 1.54 | [M + H]+ | 133.06391 | C4H8N2O3 | −1.22 | 116, 87, 74 | asparagine d |
| 6 | 1.57 | [M + H]+ | 147.07687 | C5H10N2O3 | −3.07 | 130, 84 | glutamine d |
| 7 | 1.56 | [M + H]+ | 120.06571 | C4H9NO3 | −1.76 | 102, 84, 74, 56 | threonine d |
| 8 | 1.58 | [M + H]+ | 148.06073 | C5H9NO4 | −1.99 | 130, 102, 84 | glutamic acid d |
| 10 | 1.66 | [M + H]+ | 146.08170 | C6H11NO3 | −3.46 | 128, 100 | N-isobutyrylglycine d |
| 11 | 1.69 | [M + H]+ | 116.07081 | C5H9NO2 | −1.96 | 70 | proline c |
| 12 | 1.83 | [M + H]+ | 118.08648 | C5H11NO2 | −1.90 | 72, 55 | valine a |
| 13 | 2.15 | [M + H]+ | 150.05820 | C5H11NO2S | −0.05 | 133, 104, 61, 56 | methionine d |
| 14 | 3.02 | [M + H]+ | 182.08159 | C9H11NO3 | −2.11 | 165, 147, 136, 123, 119 | tyrosine c |
| 15 | 3.05 | [M + H]+ | 132.10215 | C6H13NO2 | −1.86 | 86, 69, 44 | isoleucine ac |
| 16 | 3.40 | [M + H]+ | 132.10212 | C6H13NO2 | −1.68 | 86, 69, 44 | leucine a |
| 17 | 5.60 | [M + H]+ | 166.08622 | C9H11NO2 | 0.10 | 149, 131, 120, 107, 103 | phenylalanine ac |
| 21 | 7.23 | [M + H]+ | 205.09744 | C11H12N2O2 | −1.17 | 188, 170, 159, 146, 132, 118 | tryptophan ac |
| Unsaturated fatty acids | |||||||
| 38 | 14.46 | [M + Na]+ | 351.21477 | C18H32O5 | −2.13 | 333, 315 | C18:2, trihydroxy- d |
| 39 | 14.81 | [M + Na]+ | 353.22999 | C18H34O5 | −0.24 | 335, 317 | C18:1, trihydroxy- d |
| 41 | 14.93 | [M + Na]+ | 351.21470 | C18H32O5 | −2.06 | 333, 315 | C18:2, trihydroxy- d |
| 42 | 15.29 | [M + Na]+ | 333.20394 | C18H30O4 | −1.80 | 315, 297 | C18:3, dihydroxy- d |
| 43 | 15.36 | [M + Na]+ | 333.20374 | C18H30O4 | −1.05 | 315, 297 | C18:3, dihydroxy- d |
| 44 | 15.83 | [M + Na]+ | 331.18826 | C18H28O4 | −0.97 | 313, 295 | C18:4, dihydroxy- d |
| 45 | 16.04 | [M + Na]+ | 331.18843 | C18H28O4 | −1.21 | 313, 295 | C18:4, dihydroxy- d |
| 46 | 16.49 | [M + Na]+ | 333.20429 | C18H30O4 | −1.90 | 315, 297 | C18:3, dihydroxy- d |
| 47 | 16.78 | [M + H]+ | 353.26920 | C21H36O4 | −1.63 | 335, 279, 261 | C21:3, dihydroxy- d |
| 48 | 17.19 | [M + H]+ | 353.26881 | C21H36O4 | −0.33 | 335, 279, 261, 243 | C21:3, dihydroxy- d |
| 49 | 17.75 | [M + Na]+ | 333.20379 | C18H30O4 | −0.39 | 315, 297 | C18:3, dihydroxy- d |
| Others | |||||||
| 3 | 1.47 | [M + H]+ | 164.09195 | C6H13NO4 | −1.26 | 146, 128, 110, 82, 80, 69 | 1-deoxynojirimycin (1-DNJ) a |
| 9 | 1.59 | [M + H]+ | 104.07077 | C4H9NO2 | −1.88 | 87, 69, 45 | γ-aminobutyric acid (GABA) a |
| 18 | 5.94 | [M + H]+ | 220.11824 | C9H17NO5 | −1.24 | - | pantothenic acid c |
| 20 | 7.05 | [M + H]+ | 298.09732 | C11H15N5O3S | −1.54 | 163, 145, 136 | vitamin L2 d |
| Indicator | Intensity (σj) | Conflict (Rj) | Information (Cj) | Objective Weight (Wj) |
|---|---|---|---|---|
| chlorogenic acid | 0.212 | 6.305 | 1.337 | 0.079 |
| rutin | 0.203 | 5.567 | 1.130 | 0.067 |
| que-mal-glu 1 | 0.212 | 7.067 | 1.497 | 0.088 |
| kae-rut | 0.186 | 7.195 | 1.337 | 0.079 |
| kae-mal-glu 1 | 0.203 | 7.638 | 1.549 | 0.091 |
| asparagine | 0.278 | 6.017 | 1.675 | 0.099 |
| N-isobutyrylglycine | 0.198 | 12.683 | 2.511 | 0.148 |
| proline | 0.229 | 5.974 | 1.369 | 0.081 |
| valine | 0.239 | 6.032 | 1.439 | 0.085 |
| isoleucine | 0.228 | 7.314 | 1.667 | 0.098 |
| phenylalanine | 0.266 | 5.501 | 1.463 | 0.086 |
| Original Type | Species | Region | Sample | Score | Rank |
|---|---|---|---|---|---|
| Pearl River Basin type | M. atropurpurea Roxb. | Guangdong Province | S01 | 64.72 | 63 |
| M. atropurpurea Roxb. | Guangdong Province | S02 | 88.59 | 36 | |
| M. atropurpurea Roxb. | Guangdong Province | S03 | 75.34 | 51 | |
| M. atropurpurea Roxb. | Guangdong Province | S04 | 119.49 | 12 | |
| M. atropurpurea Roxb. | Guangdong Province | S05 | 110.40 | 18 | |
| M. atropurpurea Roxb. | Guangdong Province | S06 | 80.54 | 47 | |
| M. atropurpurea Roxb. | Guangdong Province | S07 | 114.56 | 15 | |
| M. atropurpurea Roxb. | Guangxi Province | S08 | 44.76 | 79 | |
| M. atropurpurea Roxb. | Guangxi Province | S09 | 69.75 | 57 | |
| M. atropurpurea Roxb. | Guangxi Province | S10 | 36.22 | 83 | |
| M. atropurpurea Roxb. | Guangxi Province | S11 | 34.25 | 85 | |
| Taihu Basin type | M. multicaulis Perr. | Zhejiang Province | S12 | 76.38 | 49 |
| M. multicaulis Perr. | Zhejiang Province | S13 | 92.16 | 31 | |
| M. multicaulis Perr. | Zhejiang Province | S14 | 46.94 | 77 | |
| M. multicaulis Perr. | Zhejiang Province | S15 | 90.87 | 34 | |
| M. multicaulis Perr. | Zhejiang Province | S16 | 104.50 | 23 | |
| M. multicaulis Perr. | Zhejiang Province | S17 | 86.44 | 41 | |
| M. multicaulis Perr. | Zhejiang Province | S18 | 100.66 | 25 | |
| M. multicaulis Perr. | Zhejiang Province | S19 | 90.96 | 33 | |
| M. multicaulis Perr. | Zhejiang Province | S20 | 133.94 | 5 # | |
| M. multicaulis Perr. | Zhejiang Province | S21 | 87.67 | 38 | |
| M. mizuho Hotta. | Zhejiang Province | S22 | 109.64 | 20 | |
| M. alba L. | Jiangsu Province | S23 | 65.88 | 62 | |
| M. alba L. | Jiangsu Province | S24 | 93.98 | 30 | |
| M. alba L. | Jiangsu Province | S25 | 67.57 | 60 | |
| M. alba L. | Jiangsu Province | S26 | 57.00 | 71 | |
| M. multicaulis Perr. | Jiangsu Province | S27 | 131.86 | 7 # | |
| Sichuan Basin type | M. bombycis Koidz. | Sichuan Province | S28 | 70.41 | 56 |
| M. multicaulis Perr. | Sichuan Province | S29 | 74.46 | 52 | |
| M. alba L. | Sichuan Province | S30 | 82.96 | 46 | |
| M. alba L. | Sichuan Province | S31 | 56.00 | 73 | |
| M. alba L. | Yunnan Province | S32 | 75.70 | 50 | |
| M. alba L. | Sichuan Province | S33 | 123.31 | 9 # | |
| M. multicaulis Perr. | Chongqing City | S34 | 133.29 | 6 # | |
| M. multicaulis Perr. | Chongqing City | S35 | 84.16 | 44 | |
| Middlestream of the Yangtze River type | M. multicaulis Perr. | Anhui Province | S36 | 151.37 | 3 # |
| M. multicaulis Perr. | Anhui Province | S37 | 156.11 | 2 # | |
| M. multicaulis Perr. | Anhui Province | S38 | 118.48 | 14 | |
| M. multicaulis Perr. | Hunan Province | S39 | 49.17 | 76 | |
| M. multicaulis Perr. | Hunan Province | S40 | 112.53 | 16 | |
| M. multicaulis Perr. | Hunan Province | S41 | 55.39 | 74 | |
| M. multicaulis Perr. | Hunan Province | S42 | 87.51 | 40 | |
| M. cathayana Hemsl. | Hunan Province | S43 | 32.97 | 86 | |
| M. alba L. | Hunan Province | S44 | 61.96 | 67 | |
| M. alba L. | Hunan Province | S45 | 60.35 | 68 | |
| M. multicaulis Perr. | Hubei Province | S46 | 157.84 | 1 # | |
| M. alba L. | Hubei Province | S47 | 98.17 | 26 | |
| M. multicaulis Perr. | Hunan Province | S48 | 66.92 | 61 | |
| M. multicaulis Perr. | Hunan Province | S49 | 96.80 | 27 | |
| Downstream of the Yellow River type | M. alba L. | Henan Province | S50 | 94.17 | 29 |
| M. multicaulis Perr. | Hebei Province | S51 | 109.13 | 21 | |
| M. multicaulis Perr. | Hebei Province | S52 | 119.92 | 10 # | |
| M. multicaulis Perr. | Hebei Province | S53 | 111.54 | 17 | |
| M. multicaulis Perr. | Shandong Province | S54 | 87.52 | 39 | |
| M. multicaulis Perr. | Shandong Province | S55 | 119.89 | 11 | |
| M. multicaulis Perr. | Shandong Province | S56 | 60.09 | 69 | |
| M. multicaulis Perr. | Shandong Province | S57 | 64.29 | 64 | |
| M. alba L. | Shandong Province | S58 | 76.40 | 48 | |
| Loess Plateau type | M. alba L. | Shanxi Province | S59 | 144.93 | 4 # |
| M. alba L. | Shanxi Province | S60 | 73.76 | 54 | |
| M. alba L. | Shanxi Province | S61 | 110.22 | 19 | |
| M. alba L. | Shanxi Province | S62 | 69.29 | 58 | |
| M. alba L. | Shanxi Province | S63 | 70.67 | 55 | |
| M. alba L. | Shanxi Province | S64 | 63.22 | 65 | |
| M. multicaulis Perr. | Shanxi Province | S65 | 88.33 | 37 | |
| M. alba L. | Shaanxi Province | S66 | 126.12 | 8 # | |
| M. alba L. | Shaanxi Province | S67 | 74.01 | 53 | |
| Xinjiang type | M. alba L. | Xinjiang U. A. R. | S68 | 104.05 | 24 |
| M. alba L. | Xinjiang U. A. R. | S69 | 91.04 | 32 | |
| M. alba L. | Xinjiang U. A. R. | S70 | 88.81 | 35 | |
| M. alba L. | Xinjiang U. A. R. | S71 | 56.76 | 72 | |
| M. alba L. | Xinjiang U. A. R. | S72 | 68.42 | 59 | |
| Northeast type | M. multicaulis Perr. | Jilin Province | S73 | 58.84 | 70 |
| M. alba L. | Liaoning Province | S74 | 105.29 | 22 | |
| East Asia type | M. alba L. | Japan | S75 | 118.83 | 13 |
| M. alba L. | Japan | S76 | 95.88 | 28 | |
| M. alba L. | Japan | S77 | 84.08 | 45 | |
| M. alba L. | Japan | S78 | 62.92 | 66 | |
| M. alba L. | Japan | S79 | 84.51 | 43 | |
| M. multicaulis Perr. | Korea | S80 | 85.24 | 42 | |
| Hunan wild type | M. cathayana Hemsl. | Hunan Province | S81 | 44.44 | 80 |
| M. cathayana Hemsl. | Hunan Province | S82 | 43.13 | 82 | |
| M. australis Poir. | Hunan Province | S83 | 35.94 | 84 | |
| M. cathayana Hemsl. | Hunan Province | S84 | 46.42 | 78 | |
| M. cathayana Hemsl. | Hunan Province | S85 | 20.63 | 88 | |
| M. cathayana Hemsl. | Hunan Province | S86 | 17.89 | 89 | |
| M. cathayana Hemsl. | Hunan Province | S87 | 16.19 | 90 | |
| M. alba L. | Hunan Province | S88 | 43.24 | 81 | |
| M. cathayana Hemsl. | Hunan Province | S89 | 23.64 | 87 | |
| M. alba L. | Hunan Province | S90 | 53.15 | 75 |
Publisher’s Note: MDPI stays neutral with regard to jurisdictional claims in published maps and institutional affiliations. |
© 2022 by the authors. Licensee MDPI, Basel, Switzerland. This article is an open access article distributed under the terms and conditions of the Creative Commons Attribution (CC BY) license (https://creativecommons.org/licenses/by/4.0/).
Share and Cite
Zou, X.-Y.; He, Y.-J.; Yang, Y.-H.; Yan, X.-P.; Li, Z.-B.; Yang, H. Systematic Identification of Bioactive Compositions in Leaves of Morus Cultivars Using UHPLC-ESI-QTOF-MS/MS and Comprehensive Screening of High-Quality Resources. Separations 2022, 9, 76. https://doi.org/10.3390/separations9030076
Zou X-Y, He Y-J, Yang Y-H, Yan X-P, Li Z-B, Yang H. Systematic Identification of Bioactive Compositions in Leaves of Morus Cultivars Using UHPLC-ESI-QTOF-MS/MS and Comprehensive Screening of High-Quality Resources. Separations. 2022; 9(3):76. https://doi.org/10.3390/separations9030076
Chicago/Turabian StyleZou, Xiang-Yue, Ying-Jie He, Yi-Hui Yang, Xin-Pei Yan, Zhang-Bao Li, and Hua Yang. 2022. "Systematic Identification of Bioactive Compositions in Leaves of Morus Cultivars Using UHPLC-ESI-QTOF-MS/MS and Comprehensive Screening of High-Quality Resources" Separations 9, no. 3: 76. https://doi.org/10.3390/separations9030076
APA StyleZou, X.-Y., He, Y.-J., Yang, Y.-H., Yan, X.-P., Li, Z.-B., & Yang, H. (2022). Systematic Identification of Bioactive Compositions in Leaves of Morus Cultivars Using UHPLC-ESI-QTOF-MS/MS and Comprehensive Screening of High-Quality Resources. Separations, 9(3), 76. https://doi.org/10.3390/separations9030076

