Abstract
Conventional cancer treatments normally involve chemotherapy or a combination of radio- and chemotherapy. However, the adverse effects of synthetic medicines encouraged the exploration of novel therapeutic medications of a bio-friendly nature. In an effort to explore anticancer compounds from natural resources, crude extract of Peganum harmala (seeds) was fractionated on the basis of polarity, and the fractions were further tested for anticancer activity. Brine shrimp lethality assays and potato disc antitumor assays were used to test each fraction for cytotoxic and antitumor potential. The ethyl acetate fraction was found to be most potent, with LC50 and IC50 values of 34.25 µg/mL and 38.58 µg/mL, respectively. Further activity-guided fractionation led to the isolation of the bioactive compound PH-HM-10 which was identified and characterized by Mass Spectroscopy (MS), Infrared Spectroscopy (IR), Proton Nuclear Magnetic Resonance Spectroscopy (1HNMR), Carbon Nuclear Magnetic Resonance Spectroscopy (13CNMR) and Heteronuclear Single Quantum Correlation (HSQC). Anticancer aspects in the isolated compound were determined against six human cancer cell lines with a maximum anticancer effect (IC50 = 36.99 µg/mL) against the tested human myeloid leukemia (HL-60) cell line, followed by the human lung adenocarcinoma epithelial cell line (A549) and the breast cancer cell line (MCF-7) with an IC50 of 63.5 µg/mL and 85.9 µg/mL, respectively). The findings of the current study suggest that the isolated compound (Pegaharmine E) is significantly active against the tested cancer cell lines and can be further investigated to develop future novel anticancer chemotherapeutic agents.
1. Introduction
Cancer is a primary public health crisis for mankind. Cancer patients frequently experience various unpleasant side effects from chemotherapy and radiotherapy [1]. Although plants and plant-based medication were used for centuries, the toxicity issues linked with synthetic chemotherapeutic agents further increased the interest of the scientific community in this field. Another reason for using plant derivatives in therapeutic applications is their availability, potentiality and low cost in comparison with modern therapeutic medicines [2]. Almost 20% of plants located in different regions worldwide were tested biologically or pharmacologically, with considerable proportions being introduced into the market as new medicines [3]. Currently, about 50% of therapies in use are directly derived from plants and 25% of the prescribed drugs have their source in tropical plants. These noteworthy attributes improved their importance as precursor substrates for the development of other drugs [4].
After a twenty-year hiatus, natural product research is now assuming fresh prominence. Natural products are a considerable source of useful active compounds. Modern analytical and genetic techniques such as metabolomics, molecular docking, and molecular networking, etc., make it significantly easier to find compounds for various uses—for example, antibiotics and pesticides. Equipped with a collection of sensitive and quick bioassays and analytical procedures, the natural product researcher is now more able than ever to explore nature’s huge frontier of bioactive chemical wonders [5]. The bioassay-guided isolation approach to obtain bioactive compounds is time consuming and involves exhaustive efforts compared with non bioassay-guided isolation; this is because it requires testing activity for each individual fraction to trace the most active one. Additionally, active fractions may present in very minute quantities—too small for spectroscopic analysis and bioassays. This approach is still a basic but economical practice for characterizing natural products with distinct biological potential. Bioassay-guided isolation, however, can trace the most potent compounds responsible for the bioactivity of an extract. This approach also led to the development of methods for the isolation of active compounds. This approach provided a new recipe and established a protocol for other researchers [6].
Modern anticancer therapeutics are also vital for minimizing the numerous complications faced by cancer patients, but the prevalence of drug resistance resulted in the development of a growing interest in natural products [7,8]. Peganum harmala is an herbaceous, perennial plant with many reported pharmacological activities: it is carminative, diuretic, antithrombotic and analgesic. It also demonstrated numerous medicinal effects and shows antidiabetic, cardiovascular, neurologic, antimicrobial, gastrointestinal, insecticidal, antineoplasmic and antiproliferative effects [9]. The present study assessed the cytotoxic and antitumor activity of different fractions of P. harmala, followed by isolation and characterization of the bioactive compounds from the most bioactive fraction showing potential anticancer activity.
2. Material and Methodology
2.1. Sample Preparation
Seeds of P. harmala were washed, rinsed and air dried at a temperature of 25 ± 2 °C under shade by spreading in thin layers. Dried plant material was then homogenized to fine powder and stored for further utilization.
2.2. Fractionation
Fractionation was performed through the suspension of extracts in 250 mL water, followed by separation using organic solvents, including hexane, chloroform, ethyl acetate and methanol in a separating funnel, and by changing the polarity. Methanol was separated from the aqueous fraction by simple distillation [10]. Each of the fractions was dried through rotary evaporation of the solvent and stored at 4 °C for future analysis [11].
2.3. Brine Shrimp Lethality Test (BSLT)
The Artemia salina lethality bioassays were performed in accordance with the methodology proposed by Meyer et al., [12] to discover the toxicity of the plant extracts. The assays were performed in 0.45 μm multiwell plates. Seawater (5 mL) was poured into individual wells as the saltwater solution and evaporated. These bioassays were conducted in a temperature-controlled room at 28 °C under a continuous light regime. Various concentrations (1000–15.625 µg/mL) of fractions were tested with vincristine, potassium dichromate and etoposide as the positive controls. Hatched nauplii (10 per vial, with 12 h age) were exposed to P. harmala extract for 12 and 24 h. The mortality (100%) of the nauplii was calculated for those receiving treatment and the controls, through the given formula:
Mortality (%) = Survival in control (%) − Survival in treatment (%).
Logarithmic regression analysis was performed to determine the LC50 values for various fractions and the positive controls used.
2.4. Antitumor Assays
The antitumor assays were executed using the standard procedure of Yildirim et al. [13]. Agrobacterium tumefaciens was cultured on Yeast Extract Media (YEM) and a 48 h old culture was used to test the samples. Different concentrations 15.625–1000 µg/mL of all fractions of P. harmala were used to determine antitumor activity, while vincristine and etoposide were used as positive controls. Briefly, red-skinned potatoes were surface-sterilized with 0.1% HgCl2 solution and disks were prepared. A total of 10 discs were placed in each Petri plate and 50 μL inoculum was poured on each disc and incubated for 21 days in the dark at 28 °C. After the incubation period (21 days), the potato discs were stained with Lugol’s solution (10% KI, 5% I2). Tumor inhibition was calculated using the following formula:
Tumor inhibition (%) = (1 − Number of tumors in the sample/Number of tumors in control) × 100
2.5. MTT Cytotoxic Assays
The MTT assays were performed to determine the cytotoxic effects of different concentrations of the isolated compound against 6 human cancer cell lines HL-60, PC-3, SGC-7901, MCF-7, HCT116 and Lung A549 [14]. After exposure to different concentrations of bioactive compounds, the metabolically active cells were determined by the intensity of purple color (formazan product), and quantitative assessment was conducted using a spectrophotometer at the 590 nm wavelength [15]. Cell viability (%) and inhibition (%) were calculated using the following formula:
Cell viability (%) = (Absorbance of treated cells/Absorbance of cells with vehicle solvent) × 100
Percentage inhibition = 100 − % cell viability
2.6. Isolation and Characterization of Compound (PH-HM-10)
Column chromatography was used for the purification of the bioactive components [16]. The most bioactive fraction, the ethyl acetate fraction, was further purified by a silica gel column sequentially eluted with a stepwise gradient of increasing solvent. Different components eluted by the column were analyzed using TLC. Isolated fractions were examined on a TLC plate using the solvent-vapor-saturated TLC chamber, and air dried in a fume hood to visualize spots within 1–2 min. TLC plates were visualized at UV–254 nm. Elutions showing the same patterns were pooled together and used for future analysis [17]. Being the most active, Group No. 5 was processed for HPLC analysis with a photodiode array detector and a column of 150 × 4.6 mm. Petroleum ether as mobile phase A and ethanol as mobile phase B were used with a 0.5 mL/min flow rate. Analysis was performed as gradient with mobile phase A (90%), decreasing to 10% for a 5 min period; the column was equilibrated to initial conditions after the elution was completed. Elute with a concentration of 22.75 µg/mL (IC50 value) was subjected to HPLC analysis. A total of 45 eluents were collected in vials, rotary evaporated and then subjected to thin-layer chromatography. Finally, the eluents 1–6 were also subjected to chromatography with ether and the ethyl acetate solvent mixture; 37 eluents were collected in a vial and elutions 7–22 yielded a white amorphous powdered form of the purified compound PH-HM-10. A summary of the isolation of compound PH-HM-10 is given in Figure 1.
Figure 1.
Scheme used for the isolation of PH-HM-10. EAF = Ethyl acetate fraction; meOH = Methanol; ethOH = Ethanol.
The isolated components were characterized by spectroscopic techniques, specifically, Mass spectra (MS), Infrared (IR) Spectroscopy and Nuclear Magnetic Resonance Spectroscopy (NMR) [18].
3. Results
3.1. Brine Shrimp Cytotoxicity
The cytotoxicity of all the tested fractions (n-hexane, chloroform, ethyl acetate, methanol and aqueous) indicated a dose-dependent effect after 12 h and 24 h of exposure (Figure 2). The n-hexane and ethyl acetate fractions showed 100% mortality in the brine shrimps after 12 h and 24 h of exposure at concentrations of 1000 µg/mL and 500 µg/mL. At a concentration of 250 µg/mL, 91 and 92% mortality were observed after 12 h and 24 h of treatment for the hexane extract, and 75 and 81% mortality were recorded for the ethyl acetate fraction. Similarly, the chloroform and methanol fractions of P. harmala seeds also exhibited 100% mortality in brine shrimp nauplii. At a concentration of 500 µg/mL of chloroform fraction, 90 and 98% mortality in brine shrimp larvae were observed after 12 and 24 h of exposure, while 90 and 92% mortality were observed for the methanol extract of P. harmala (s) at a concentration of 500 µg/mL. The aqueous fraction of the plant was found to be the least toxic with a maximum of 90 and 92% cytotoxic effects at a concentration of 1000 µg/mL after 12 and 24 h of treatment. However, the cytotoxicity decreases significantly at concentrations of 500 µg/mL to 31.25 µg/mL, indicating 67 to 24% and 67 to 30% after exposure to 12 and 24 h of treatment.


Figure 2.
Cytotoxicity of (a) n-hexane, (b) ethyl acetate, (c) chloroform, (d) methanol, (e) aqueous, (f) vincristine sulphate, (g) etoposide and (h) potassium dichromate against logarithmic concentration after 12 and 24 h of exposure.
Of the five fractions of P. harmala seed extract, the ethyl acetate fraction was found to be the most active with an LC50 value of 34.25 µg/mL, followed by methanol and hexane fractions with IC50 values of 38.14 and 40.66 µg/mL, respectively (Table 1). The results of the study correspond to the findings of Khan et al., [19] who reported the cytotoxicity of the n-hexane extract of P. harmala seed extract. The chloroform and aqueous fractions showed LC50 values of 42.63 and 74.29 µg/mL, respectively, in comparison with the positive control vincristine sulphate (LC50 = 2.28 µg/mL), etoposide (LC50 = 3.49 µg/mL) and potassium dichromate (LC50 = 16.55 µg/mL). The findings of this study accord with the reported literature that potassium dichromate, etoposide and vincristine sulphate are extremely toxic as per Clarkson’s lethality criterion [20]. The LC50 values for different concentrations of P. harmala seed extract fall within the category of bioactive metabolites, confirming their use as pharmacological agents [21].
Table 1.
Cytotoxicity of different fractions of P. harmala (S) extract; LC50 and R2 values determined through logarithmic regression analysis.
3.2. Antitumor Activity of P. harmala Fractions
The results for the antitumor activity of P. harmala extract indicate dose-dependent antitumor activity for all fractions. The ethyl acetate fraction exhibits the highest percentage of tumor inhibition, i.e., 100% at a concentration of 1000 μg/mL, followed by 93.74% tumor growth inhibition at a concentration of 500 μg/mL. At lower concentrations, i.e., 250, 125, 62.5, 31.25 and 15.625 μg/mL, 85.69, 62.19, 52.14, 46.33 and 40.28%, inhibition of tumor galls was observed. The n-hexane fraction exhibits 93.85 and 86.83% inhibition and 10 induced crown gall tumors at dosage concentrations of 1000 and 500 μg/mL, respectively. The inhibition potential fell from 73.66 to 30.37% with a decrease in concentration from 250 to 15.625 μg/mL. This indicates that the inhibition of tumor development is strongly correlated with the concentration of the extract (Figure 3). The same trend was observed throughout the antitumor assay among all the tested fractions. Similarly, the chloroform fraction also indicates strong potential to control tumor growth in a dose-dependent manner, with its best activity being 90.06% inhibition at 1000 μg/mL of extract concentration. At the lowest concentration of chloroform extract, i.e., 15. 625 μg/mL, 28.84% inhibition of tumor development was observed. The methanolic fraction also exhibits 96.10% control of tumor development at 1000 μg/mL, indicating assimilation of bioactive principles with antitumor activity in this solvent. The aqueous fraction of P. harmala seed extract exhibits the least activity among all fractions, with 80.18% inhibition of tumor growth at 1000 μg/mL concentration, indicating the nature and solubility of bioactive components.
Figure 3.
Percentage inhibition of tumors by different fractions of P. harmala (S) extract at different concentrations.
Positive controls were significantly able to inhibit crown gall tumors completely (100% mortality) at a range of concentrations between 1000 and 250 µg/mL (Figure 4). The current bioassays show no substantial difference was detected in the bioactivity of vincristine and etoposide, although minor variations in the percentage inhibition were noticed along different concentrations. The 7.81μg/mL concentrations of both positive controls were capable of more than 50% inhibition of crown gall tumors. A minimum tumor percentage inhibition of 52.84% was observed against vincristine sulphate at a concentration of 3.91 µg/mL, while the same concentration of etoposide exhibited 48.55% inhibition of crown gall tumors.
Figure 4.
Percentage Inhibition of tumors by positive controls at different concentrations.
IC50 values were calculated through logarithmic regression analysis for all the five fractions of P. harmala (S) extracts to check their crown gall tumor inhibition potential. The difference in the IC50 values of the five different fractions of the P. harmala (S) extracts indicate a clear difference in their potential to inhibit crown gall tumors. The minimum IC50 value (38.58 µg/mL) was shown by the ethyl acetate fraction, while the maximum IC50 (81.36 µg/mL) was noted for aqueous fractions, indicating the lowest effectiveness. The chloroform fraction indicated an IC50 value of 65.3 μg/mL, while the methanol fraction was able to inhibit 50 % tumor growth at a concentration of 42.23 μg/mL. The positive controls, vincristine sulphate and etoposide, exhibited 50% inhibition of tumor formation at 3.14 μg/mL and 4.31 μg/mL, respectively (Table 2).
Table 2.
Antitumor activiy IC50 and R2 values determined through logarthmic regression analysis.
3.3. Isolation and Characterization of Compounds
3.3.1. Isolation of PH-HM-10
A silica gel column (Sephadex, 75 × 3) packed in chloroform was used for the chromatography of the ethyl acetate fraction of Peganum harmala. A total of thirty elutions were collected in a conical flask with chloroform and methanol solvents as the mobile phase, with a gradual change in the polarity of the mobile phase (100:0, 90:10, 80:20, 70:30, 60:40, 50:50, 40:60, 30:70, 40:60, 30:70, 20:80, 10:90, 100:0). All the eluents were vaporized to dryness using a rotary evaporator at 40 °C under reduced pressure and then subjected to thin layer chromatography using chloroform: methanol as the solvent system. Based on TLC profiling, the elutions were combined into Groups 1 to 5. These five groups were tested for their bioactivity; Group 5 was the most cytotoxic, with an LC50 value of 17.31 µg/mL and demonstrating significant effectiveness in inhibiting crown gall tumorigenesis. Having an IC50 value of 22.75 µg/mL, it was subjected to HPLC analysis that led to the isolation of compound PH-HM-10.
3.3.2. Characterization of Isolated Compound PH-HM-10
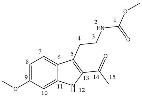
PH-HM-10 was a white amorphous powder with an observed rosy odor. The PH-HM-10 compound was soluble in methanol, water and DMSO. The mass spectra of PH-HM-10 were recorded and the molecular formula was assigned as C15H18N2O4 in agreement with the [M + Na]+ ion peak at m/z 305.61340 by HRESIMS (Figure 5). The IR spectrophotometer indicated a broad band at 3048 cm−1, suggesting the presence of aromatic hydrogen and revealing the presence of an amide (3502 cm−1) in the structure (Figure S1). The analysis of the 1H NMR spectrum of PH-HM-10 measured in DMSO-d6 indicated low-field signals at δH 6.74 (H-8, dd), δH 6.87 (H-10, d), δH 7.24 (H-2, t) and δH 7.56 (H-7, d), which are peculiar to aromatic protons in the molecule (Figure S2). One exchangeable proton signal appeared at δH 11.30 (s) and was due to the NH-12 group present in the compound. Furthermore, a proton NMR X signal at δH 2.52 (s) was assigned to the CH3-15; one methoxy group showed a singlet at δH 3.51 (OCH3-1); another methoxy group δH 3.78 (s, OCH3-9) was observed in the spectrum. 13C NMR spectroscopic examination (DMSO-d6) of PH-HM-10 showed signals down field in the spectrum: C-8 (δC 111.5), C-5 (δC 120.3), C-7 (δC 122.3), C-6 (δC 121.7), C-13 (δC 131.4), C-11 (δC 137.4), C-1 (δC 156.8) and C-9 (δC 158.7); these were attributed to the aromatic carbons in the compound (Figure S3). HSQC analysis indicated a heteronuclear single quantum correlation or heteronuclear single quantum coherence. The experiment revealed the number of particular protons in the compound attached to specific carbon atoms. The HSQC of the isolated compound PH-HM-10 is provided in Figure S4. The HSQC of the PH-HM-10 revealed that C-5 with resonance at δC 120.3, C-6 (δC 121.7), C-9 (δC 158.7), and C-14 with a chemical shift at δC 189.7 were not attached to any of the protons [22]. Moreover, C-7 (δC 122.3) was linked with two protons, showing signals at δH 7.56 (H-7, d). C-8 (δC 111.5) was attached to a proton with a signal at δH 6.78 (H-8, dd) and C-10 showed resonance at δC 93.7. In addition, CH correlates with a proton signal at δH 6.87 (H-10, d), showing resonance in the downfield region in the isolated molecule of PH-HM-10 in the HSQC correlation (Table 3). The structure of the isolated compound was established (Figure 6) with the help of vin characterization techniques and identified as Pegaharmine E [23].
Figure 5.
Mass spectrum of PH-HM-10.
Table 3.
NMR (1H and 13C) chemical shifts value of PH-HM-10.
Figure 6.
Structure of PH-HM-10 (Pegaharmine E).
3.4. Anticancer Potential of PH-HM-10
The cytotoxicity of the isolated compound PH-HM-10 was examined at five different concentrations ranging from 31.25 µg/mL to 500 µg/mL (Figure 7). Results reveal that compound PH-HM-10 was the most effective against human myeloid leukemia (HL-60), with an IC50 value of 36.99 µg/mL; it was also effective against the human lung adenocarcinoma epithelial cell line (A549), with 50% inhibition at 63.5 µg/mL. PH-HM-10 was least active against human gastric cancer (SGC-7901), with a maximum IC50 value of 123.44 µg/mL. The isolated compound PH-HM-10 showed moderate activity on the human colorectal tumor cell line (HCT-116). A percentage inhibition of the human colorectal tumor cell line was observed from 30.44 to 76%, exhibiting moderate effectiveness in the compound. PH-HM-10 also showed moderate activity against the breast cancer cell line (MCF7), with a minimum absorbance value of 0.218 nm at the 500 µg/mL concentration of PH-HM-10 and with 26.65% cell viability of the breast cancer cell line. The maximum percentage inhibition against the MCF-7 cell line, observed at this concentration, was 73.35%. The IC50 value against the breast cancer cell line (MCF7) was observed to be 85.90 µg/mL (Table 4). This result implies that the PH-HM-10 compound has considerable anticancer activity against multiple cancer cell lines, indicating that PH-HM-10 is a prominent candidate for future drug development.
Figure 7.
Absorbance (A), Percentage cell viability (B), and Percentage inhibition (C) against cancer cell lines at five different concentrations of PH-HM-10.
Table 4.
Regression analysis and IC50 values of anticancer activity.
4. Discussion
Plant-derived bioactive components proved to be effective medication for treatment of various ailments. Based on ethno-medicinal and several earlier scientific reports on P. harmala, seeds were subjected to fractionation. All five fractions obtained after solvent-solvent fractionation were tested for cytotoxicity against brine shrimp nauplii with significant results, suggesting the role of seeds in the toxic properties of P. harmala. This further strengthened the speculation about the capability of the plant to produce anticancer agents [24]. Earlier findings confirmed plants with cytotoxic potential as a chief source of bioactive principles [25]. Chloroform extract significantly increases nauplii mortality so current findings assist in the prediction of bioactive compounds and anticancer potential [26]. The results of the cytotoxicity assays were in accordance with Khan et al. [27], indicating a dose-dependent response. Potassium dichromate, vincristine sulphate and etoposide were used as positive controls for the BSLT and were categorized as extremely cytotoxic in these assays, as per Clarkson’s lethality criterion [20]. Brine shrimp lethality is helpful for analyzing different plant extracts for confirmation of their cytotoxic potential. The pharmacological perspective suggests a strong relationship between the brine shrimp lethality test and the discovery of bioactive principles [28]. The ethyl acetate fraction is known to be significantly cytotoxic, which helps predict the presence of the bioactive principles responsible for anticancer activity [26]. A strong relationship exists between the extract samples and the capability of an extract to control the development of crown gall tumors on potato discs [27]. The most potent ethyl acetate fraction led to the isolation of the bioactive compound PH-HM-10, following which, characterization was performed. ESI-MS spectral analysis of PH-HM-10 revealed that the dynamic energy of MS2 from protonated PH-HM-10 [M + Na]+ at 305.61340 m/z afforded the fragment ion at m/z 287.79560 by the loss of one water molecule (18Da). C-O stretching mostly appears in the range of 1500–1800 cm−1, which is the characteristic band range in organic compounds [29]; thus, the characteristic signal at 1780 cm−1 might signify the presence of saturated carbonyl conformation in PH-HM-10; stretching olefinic groups (1643 cm−1) were identified from the IR spectrum. The C-N group in the structure of the isolated bioactive compound was confirmed through Fourier Transform infrared spectroscopy by the characteristic absorbance peak at 1081 cm−1 in the spectrum [30]. Methyl, methylene and aliphatic sharp asymmetric and symmetric stretching were mostly observed in the range of 2900–2800 cm−1, which validates current output [31]. The values for the chemical shifts were shifted in the downfield regions δH 6.00 ppm to δH 9.00 ppm for the aromatic hydrogen in the H-NMR spectrum, confirming the current results [32]. A diverse range of isolated bioactive compounds is clear evidence of the singlet signal existing at the chemical shift δH 10–11ppm range and which corresponds to the N-H proton of the indole nucleus, reinforcing the analysis of the current spectrum [33]. The signal that appeared in the upfield region of the 13C NMR spectra was assignable to one methyl carbon resonance at the chemical shift value of δC 28.173 ppm, appearing in the aliphatic region at the (CH3-15) position. The peaks observed in the upfield of the 13C NMR spectra in the aliphatic region between δC 10 and 25 ppm can be fairly assigned to carbon atoms in the compound with a methyl group, so this authenticates the presence of methyl in the structure [34]. 13C NMR spectra also revealed the presence of two carbons (OCH3-9 and OCH31) in the structure, bearing one methoxy group at δC 55.568 ppm and another at δC 51.209 ppm, which endorsed the C-O bond in the isolated compound. On the basis of current output and literature values, the resonance signal in the 13C NMR spectrum in the range of δC 50–58 ppm could be due to the carbon bearing one methoxy group present in the structure of the compound, so this coincides with the current spectrum [35]. PH-HM-10 compound (Pegaharmine E) was analyzed for its anticancer activity against six selected human cancer cell lines using 3-(4, 5-dimethylthiazol-2-yl)-2, 5- diphenyltetrazolium bromide (MTT) assays [36]. The results of the study suggest the already reported trend of a strong correlation between dosage and the inhibition of cancer cell growth [37]. The absorbance level was affected by the concentration of the compound, hence it validated the relationship between concentration and absorbance [38]. The current results coincide with former research outcomes related to anticancer potentiality tested against breast cancer cell lines [39]. The anticancer activity of isolated compounds may be due to the alteration in the redox balance that is essential for the survival of cancer cells, or it might be due to the induction of the ROS level or inhibiting the ROS level in selected cancer cells [40]. The results of the study indicate a difference in the cytotoxic effects of PH-HM-10 against different cell lines, with the best effects being observed against human myeloid leukemia (HL-60); this may be due to the differential sensitivity of cancer cells that results in different responses. Many cancers carry individual markers; therefore, the relatively higher sensitivity of some cells, such as HL-60, to this extract of some selected cells, is a reflection of their unique genetic nature [41]. The results of the present study provide dependable evidence that the P. harmala extract carries promising anticancer compounds, worthy of further investigation for the development of anticancer drugs.
5. Conclusions
The findings of the present study reveal that the isolated compound of P. harmala is Pegaharmine E, and bioassays proved its significant anticancer properties against multiple human cancer cell lines. Extensive in vivo and mechanistic studies are suggested in future to validate and empower its use towards anticancer drug discovery.
Supplementary Materials
The following supporting information can be downloaded at: https://www.mdpi.com/article/10.3390/separations9110355/s1, Figure S1: Infrared spectrum of PH-HM-10; Figure S2: H NMR of PH-HM-10; Figure S3: C NMR of PH-HM-10; Figure S4: HSQC spectrum of PH-HM-10.
Author Contributions
Y.B. conceived the idea. H.M.S. conducted the experiment. S.A.A., N.S., D.H., K.M. and S.N. conducted the literature review. A.Q. provided technical expertise to strengthen the basic idea. W.A., A.S. and S.K. helped in statistical analysis. Y.B. proofread and provided intellectual guidance. All authors read the first draft, helped in revision, and approved the article. All authors have read and agreed to the published version of the manuscript.
Funding
This research received no external funding.
Institutional Review Board Statement
Not applicable.
Informed Consent Statement
Not applicable.
Data Availability Statement
The data presented in this study are available on request from the corresponding author.
Acknowledgments
The authors would like to thank the support of Prince Sultan University for funding the article processing charges of this publication.
Conflicts of Interest
The authors declare no conflict of interest.
References
- Bray, F.; Ferlay, J.; Soerjomataram, I.; Siegel, R.L.; Torre, L.A.; Jemal, A. Global cancer statistics 2018: GLOBOCAN estimates of incidence and mortality worldwide for 36 cancers in 185 countries. CA Cancer J. Clin. 2018, 68, 394–424. [Google Scholar] [CrossRef] [PubMed]
- Salam, M.A.; Ibrahim, B.M.M.; Elbatran, S.; Elgengaihi, S.E.; Baker, D.H.A. Study of the possible antihypertensive and hypolipidemic effects of an herbal mixture on L-name-induced hypertensive rats. Asian J. Pharm. Clin. Res. 2016, 9, 85–90. [Google Scholar]
- Mothana, R.A.; Linclequist, V. Antimicrobial activity of some medicinal plants of the island Soqotra. J. Ethnopharmacol. 2005, 96, 177–181. [Google Scholar] [CrossRef] [PubMed]
- Chan, E.W.; Lye, P.Y.; Wong, S.K. Phytochemistry, pharmacology, and clinical trials of Morus alba. Chin. J. Nat. Med. 2016, 14, 17–30. [Google Scholar]
- Wang, Z.; Zhang, Y.; Yan, H. In situ net fishing of α-glucosidase inhibitors from evening primrose (Oenothera biennis) defatted seeds by combination of LC-MS/MS, molecular networking, affinity-based ultrafiltration, and molecular docking. Food Funct. 2022, 13, 2545–2558. [Google Scholar] [CrossRef]
- Wu, X.; Tang, Y.; Osman, E.E.; Wan, J.; Jiang, W.; Yang, G.; Xiong, J.; Zhu, Q.; Hu, J.F. Bioassay-guided isolation of new flavonoid glycosides from Platanus acerifolia leaves and their Staphylococcus aureus inhibitory effects. Molecules 2022, 27, 5357. [Google Scholar] [CrossRef]
- Rohman, A.; Riyanto, S.; Yuniarti, N.; Saputra, W.R.; Utami, R.; Mulatsih, W. Antioxidant activity, total phenolic, and total flavaonoid of extracts and fractions of red fruit (Pandanus conoideus Lam). Int. Food Res. J. 2015, 17, 97–106. [Google Scholar]
- Moghtaderi, H.; Sepehri, H.; Delphi, L.; Attari, F. Gallic acid and curcumin induce cytotoxicity and apoptosis in human breast cancer cell MDA-MB-231. Bioimpacts 2018, 8, 185–187. [Google Scholar] [CrossRef]
- Niroumand, M.C.; Amin, M.H.G. Medicinal properties of Peganum harmala L. in traditional Iranian medicine and modern phytotherapy: A review. J. Trad. Chin. Med. 2015, 35, 104–109. [Google Scholar] [CrossRef]
- Takaiwa, D.; Yamamoto, E.; Yasuoka, K. Water–methanol separation with carbon nanotubes and electric fields. Nanoscale 2015, 7, 12659–12665. [Google Scholar]
- Bibi, Y.; Nisa, S.; Chaudhary, F.M.; Zia, M. Antibacterial activity of some selected medicinal plants of Pakistan. BMC Complement. Altern. Med. 2011, 11, 52. [Google Scholar] [CrossRef]
- Meyer, B.N.; Ferrigni, N.R.; Putnam, J.E.; Jacobsen, L.B.; Nichols, D.E.; McLaughlin, J.L. Brine shrimp: A convenient general bioassay for active plants constituents. J. Med. Plants Res. 1982, 45, 31–34. [Google Scholar] [CrossRef]
- Yildirim, A.B.; Karakas, F.P.; Turker, A.U. In vitro antibacterial and antitumor activities of some medicinal plant extracts, growing in Turkey. Asian Pac. J. Trop. Med. 2012, 6, 616–624. [Google Scholar] [CrossRef]
- Hayota, H.; Debeirb, O.; Hamb, P.V.; Dammea, M.V.; Kissa, R.; Decaestecker, C. Characterization of the activities of actin-affecting drugs on tumorcell migration. Toxicol. Appl. Pharmacol. 2006, 21, 30–40. [Google Scholar] [CrossRef]
- Fort, R.S.; Barnech, J.M.T.; Dourron, J.; Colazzo, M.; Crespo, F.J.A.; Duhagon, M.; Alvarez, G. Isolation and Structural Characterization of Bioactive Molecules on Prostate Cancer from Mayan Traditional Medicinal Plants. Pharmaceuticals 2018, 11, 78. [Google Scholar] [CrossRef]
- Hammad, E.A.; Zeaiter, A.; Saliba, N.; Farra, M.; Talhouk, S. Bioactivity of fractionated indigenous medicinal plant extracts of Phlomis damascena Born. and Ranunculus myosuroides against the cotton whitefly, Bemisia tabaci (Hemiptera: Aleyrodidae). J. Entomol. Nematol. 2015, 7, 46–53. [Google Scholar]
- Houghton, P.J.; Woldemariam, T.Z.; Shea, S.O.; Thyagarajan, S.P. Two ecurinega-type alkaloids from Phyllanthus amarus. Phytochemistry 1996, 43, 715–717. [Google Scholar] [CrossRef]
- Vollhardt, K.; Peter, C.; Schore, N. Organic Chemistry Structure and Function; W.H. Freeman: New York, NY, USA, 2007. [Google Scholar]
- Khan, I.; Yasinzai, M.M.; Mehmood, Z. Comparative Study of Green Fruit Extract of Melia azedarach Linn. With its Ripe Fruit Extract for Antileishmanial, Larvicidal, Antioxidant and Cytotoxic Activity. Am. J. Phytomed. Clin. Ther. 2014, 2, 442–454. [Google Scholar]
- Carballo, J.L.; Hernandez, Z.L.; Perez, P.; Garcia, G.M.D. A comparison between two brine shrimp assays to detect in vitro cytotoxicity in marine natural products. BMC Biotechnol. 2002, 2, 17. [Google Scholar] [CrossRef]
- Mackeen, M.M.; Ali, A.M.; Lajis, N.H.; Kawazu, K.; Hassan, Z.; Amran, M.; Habsah, M.; Mooi, L.Y.; Mohamed, S.M. Antimicrobial, antioxidant, antitumour-promoting and cytotoxic activities of different plant part extracts of Garcinia atroviridis Griff. Ex T. Anders. J. Ethnopharmacol. 2000, 72, 395–402. [Google Scholar] [CrossRef]
- Wang, Z.; Hwang, S.H.; Lim, S.S. Characterization of DHDP, a novel aldose reductase inhibitor isolated from Lysimachia christinae. J. Funct. Foods 2017, 37, 241–248. [Google Scholar] [CrossRef]
- Wang, K.B.; Li, D.H.; Hu, P.; Wang, W.J.; Lin, C.; Wang, J.; Lin, B.; Bai, J.; Pei, Y.H.; Jing, Y.K.; et al. A Series of β-Carboline Alkaloids from the Seeds of Peganum harmala Show G-Quadruplex Interactions. Org. Lett. 2016, 18, 3398–3401. [Google Scholar] [CrossRef] [PubMed]
- Nondo, R.S.; Mbwambo, Z.H.; Kidukuli, A.W.; Innocent, E.M.; Mihale, M.J.; Erasto, P.; Moshi, M.J. Larvicidal, antimicrobial and brine shrimp activities of extracts from Cissampelos mucronata and Tephrosia villosa from coast region, Tanzania. BMC Complement. Altern. Med. 2011, 23, 33. [Google Scholar] [CrossRef] [PubMed]
- Ali, Q.; Gulzar, A.; Hussain, A.; Asghar, A.; Bajwa, I.U. Brine-Shrimp Lethality Bioassay and Antibacterial Activity of Biphenyl Analogues. Sci. Int. 2016, 28, 407–410. [Google Scholar]
- Moshi, M.J.; Innocent, E.; Magadula, J.J.; Otieno, D.F.; Weisheit, A.; Mbabazi, P.K.; Nondo, R.S.O. Brine Shrimp of Some Plants used as Traditional Medicine in Kagera Region, Northw West Tanzania. Tanzania J. Health Res. 2010, 12, 63–67. [Google Scholar] [CrossRef]
- Khan, R.A.; Khan, M.R.; Shah, N.A.; Sahreen, S.; Elahi, S.N. Antitumor characterization of various fractions of Launaea procumbens. Toxicol. Ind. Health 2016, 32, 188–191. [Google Scholar] [CrossRef]
- Billah, M.M.; Islam, R.; Khatun, H.; Parvin, S.; Islam, E.; Islam, S.A.; Mia, A.A. Antibacterial, antidiarrheal, and cytotoxic activities of methanol extract and its fractions of Caesalpinia bonducella (L.) Roxb leaves. BMC Complement. Altern. Med. 2013, 12, 101. [Google Scholar]
- Devi, D.R.; Battu, G.R. Qualitative phytochemical screening and FTIR Spectroscopic Analysis of Grewia tilifolia (Vahl) leaf extracts. Int. J. Curr. Pharm. 2019, 11, 100–107. [Google Scholar] [CrossRef]
- Oliveira, R.N.; Mancini, M.C.; Oliveira, F.C.S.; Passos, T.M.; Quility, B.; Thire, R.M.S.; Mcguiness, G.B. FTIR analysis and quantification of phenolsand flavonoids of five commercially available plants extracts used in wound healing. Rev. Mater. 2016, 21, 767–779. [Google Scholar]
- Hasana, H.; Desalegn, E. Characterization and Quantification of Phenolic Compounds from Leaf of Agarista salicifolia. Herb. Med. 2017, 3, 1–5. [Google Scholar] [CrossRef]
- Guimaraes, H.A.; Filho, R.B.; Vieira, I.J.C. 1H and 13C-NMR Data of the Simplest Plumeran Indole Alkaloids Isolated from Aspidosperma Species. Molecules 2012, 17, 3025–3043. [Google Scholar] [CrossRef] [PubMed]
- Bhattacharjee, A.; Shashidhara, S.C.; Saha, S. Isolation, Purification and Structural Elucidation of N-Acetyl-5-Methoxytryptamine (Melatonin) From Crataeva nurvala Buch-Ham Stem Bark. Am. J. Phytomed. Clin. Therap. 2014, 2, 301–309. [Google Scholar]
- Waleguele, C.C.; Mbaning, B.M.; Awantu, A.F.; Bankeu, J.J.K.; Fongang, Y.S.F.; Ngouela, A.S.; Tsamo, E.; Sewald, N.; Lenta, B.N.; Krause, R.W.M. Antiparasitic Constituents of Beilschmiedia louisii and Beilschmiedia obscura and Some Semisynthetic Derivatives (Lauraceae). Molecules 2020, 25, 2862. [Google Scholar] [CrossRef] [PubMed]
- Devkota, H.P.; Adhikari, B.; Watanabe, T.; Yahara, S. Nonvolatile chemical constituents from the leaves of Ligusticopsis wallichiana (DC.) Pimenov & Kljuykov and their free radical-scavenging activity. J. Anal. Methods Chem. 2018, 2018, 1794650. [Google Scholar] [PubMed]
- Sadaf, H.M.; Bibi, Y.; Arshad, M.; Razzaq, A.; Ahmad, S.; Iriti, M.; Qayyum, A. Analysis of Peganum harmala, Melia azedarach and Morus alba extracts against six lethal human cancer cells and oxidative stress along with chemical characterization through advance Fourier Transform and Nuclear Magnetic Resonance spectroscopic methods towards green chemotherapeutic agents. Saudi Pharm. J. 2021, 29, 552–565. [Google Scholar]
- Jayaprakasam, B.; Zhang, Y.; Seeram, N.P.; Nair, M.G. Growth inhibition of human tumor cell lines by withanolides from Withania somnifera leaves. Life Sci. 2003, 74, 125–132. [Google Scholar] [CrossRef]
- Shrirama, V.; Kumar, V.; Kishor, P.B.K.; Suryawanshi, S.B.; Upadhyay, A.K.; Bhat, M.K. Cytotoxic activity of 9,10-dihydro-2,5-dimethoxyphenanthrene-1, 7-diol from Eulophia nuda against human cancer cells. J. Ethnopharmac. 2010, 128, 251–253. [Google Scholar] [CrossRef]
- Rabe, S.Z.T.; Mahmoudi, M.; Ahi, A.; Emami, A.A. Antiproliferative effects of extracts from Iranian Artemisia species on cancer cell lines. Pharmaceut. Biol. 2011, 49, 962–969. [Google Scholar] [CrossRef]
- Qian, Q.; Chen, W.; Cao, Y.; Cao, Q.; Cui, Y.; Li, Y.; Wu, J. Targeting Reactive Oxygen Species in Cancer via Chinese Herbal Medicine. Oxidat. Med. Cell. Longev. 2019, 2019, 9240426. [Google Scholar]
- Kuchenbaecker, K.B.; Hopper, J.L.; Barnes, D.R.; Phillips, K.A.; Mooij, T.M.; Roos, B.M.J.; Jervis, S.; Leeuwen, F.E.; Milne, R.L.; Andrieu, N. Risks of Breast, Ovarian, and Contralateral Breast Cancer for BRCA1 and BRCA2 Mutation Carriers. JAMA 2017, 317, 2402–2416. [Google Scholar] [CrossRef]
Publisher’s Note: MDPI stays neutral with regard to jurisdictional claims in published maps and institutional affiliations. |
© 2022 by the authors. Licensee MDPI, Basel, Switzerland. This article is an open access article distributed under the terms and conditions of the Creative Commons Attribution (CC BY) license (https://creativecommons.org/licenses/by/4.0/).