Comparison of Thermal and Flow-Based Modulation in Comprehensive Two-Dimensional Gas Chromatography—Time-of-Flight Mass Spectrometry (GC × GC-TOFMS) for the Analysis of Base Oils
Abstract
1. Introduction
2. Materials and Methods
2.1. Base Oil Samples
2.2. GC × GC Instrumentation
2.3. Thermal Modulation
2.4. Flow Modulation
3. Results and Discussion
3.1. Ion Source Tailing
3.2. Group-Type Identification
3.3. Thermal Modulation vs. Flow Modulation
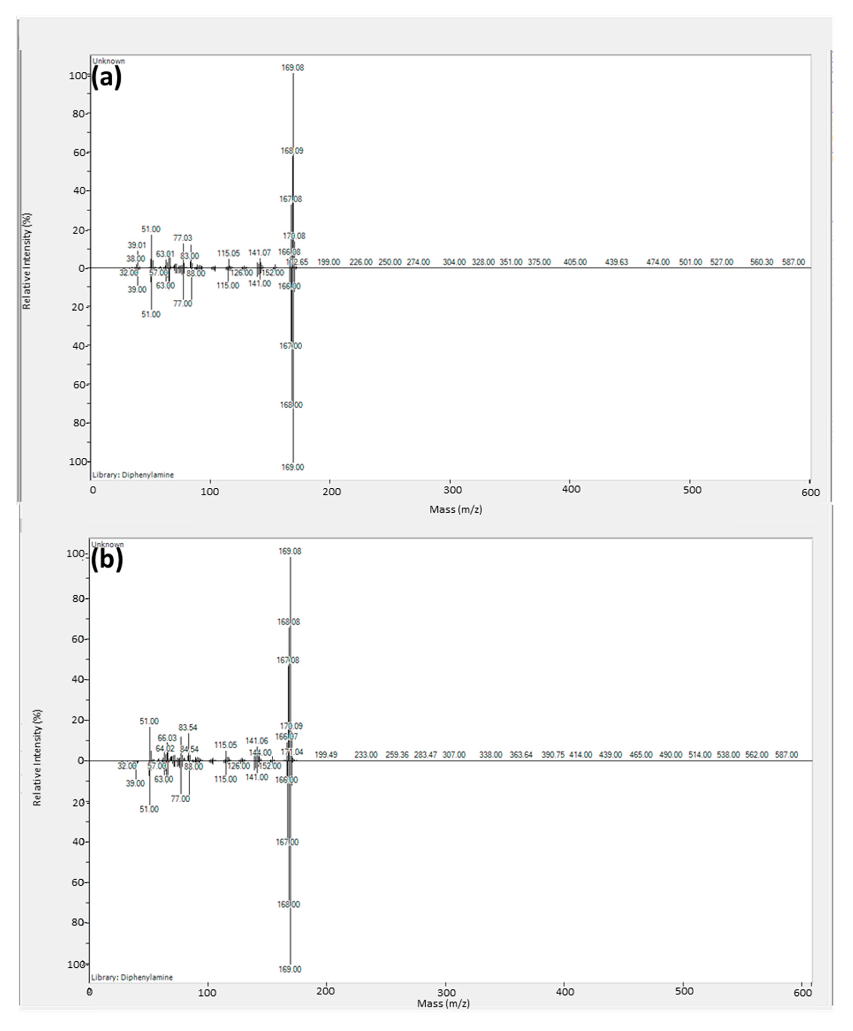
3.4. Identification of Antioxidants through Soft Ionization
3.5. Resolution from UCM
4. Conclusions
Supplementary Materials
Author Contributions
Funding
Acknowledgments
Conflicts of Interest
References
- Bello, S.; Bello, K. Production Process of Base Oils: The Prospects and Challenges for Local Industries in Nigeria. Int. J. Eng. Technol. 2016, 36, 452–456. [Google Scholar]
- Silva, S.L.; Silva, A.M.; Riberio, J.C.; Martins, F.G.; Da Silva, F.A.; Silva, C.M. Chromatographic and spectroscopic analysis of heavy crude oile mixtures with emphasis in nuclear magnetic resonance spectroscopy: A review. Anal. Chim. Acta 2011, 707, 18–37. [Google Scholar] [CrossRef] [PubMed]
- Severa, L.; Havlicek, M.; Kumbar, V. Temperature dependent kinematic viscosity of different types of engine oils. Acta. Univ. Agric. Silvec. 2009, 57, 95–102. [Google Scholar] [CrossRef]
- Balabin, R.M.; Safieva, R.Z. Motor oil classification by base stock and viscosity based on near infrared (NIR) spectroscopy data. Fuel 2008, 87, 2745–2752. [Google Scholar] [CrossRef]
- Fortunato de Varvalho Rocha, W.; Schantz, M.M.; Sheen, D.A.; Chu, P.M.; Lippa, K.A. Unsupervised classification of pertroleum Certified Reference Materials and other fuels by chemometric analysis of gas chromatography—mass spectrometry data. Fuel 2017, 197, 248–258. [Google Scholar] [CrossRef]
- Vendeuvre, C.; Bertoncini, F.; Duval, L.; Duplan, J.-L.; Thiebaut, D.; Hennion, M.-C. Comparison of conventional gas chromatography (1D-GC) and comprehensive two-dimensional gas chromatography (GCxG) for the detailed analysis of petrochemical samples. J. Chromatogr. A 2004, 1056, 155–162. [Google Scholar] [CrossRef]
- von Muhlen, C.; Zini, C.A.; Caramao, E.B.; Marriott, P.J. Applications of comprehensive two-dimensional gas chromatography to the characterization of petrochemical and related samples. J. Chromatogr. A 2006, 1105, 39–50. [Google Scholar] [CrossRef]
- Da Costa, C.; Turner, M.; Reynolds, J.C.; Whitmarsh, S.; Lynch, T.; Creaser, C.S. Direct analysis of oil additives by high-field asymmetric waveform ion mobility spectrometry-mass spectrometry combined with electrospray ionization and desorption electrospray ionization. Anal. Chem. 2016, 88, 2453–2458. [Google Scholar] [CrossRef]
- Kreisberger, G.; Klampfl, C.W.; Buchberger, W.W. Determination of antioxidants and corresponding degradation products in fresh and used engine oils. Energy Fuels 2016, 30, 7638–7645. [Google Scholar] [CrossRef]
- Djokic, M.R.; Dijmans, T.; Yildiz, G.; Prins, W.; Van Geem, K.M. Quantitative anlaysis of crude and stabilized bio-oils by comprehensive two-dimensional gas-chromatography. J. Chromatogr. A 2012, 1257, 131–140. [Google Scholar] [CrossRef]
- Jennerwein, M.K.; Sutherland, A.C.; Eschner, M.; Groger, T.; Wilharm, T.; Zimmermann, R. Quantitative analysis of modern fuels derived from middle distillates—The impact of diverse compositions on standard methods evaluated by an offline hyphenation of HPLC-refractive index detection with GCxGC-TOFMS. Fuel 2017, 187, 16–25. [Google Scholar] [CrossRef]
- Gallacher, C.; Thomas, R.; Taylor, C.; Lord, R.; Kalin, R.M. Comprehensive composition of Creosote using comprehensive two-dimensional gas chromatography time-of-flight mass spectrometry (GCxGC-TOFMS). Chemosphere 2017, 178, 34–41. [Google Scholar] [CrossRef] [PubMed]
- Lorentz, C.; Laurenti, D.; Zotin, J.L.; Geantet, C. Comprehensive GC x GC chromatography for the characterization of sulfur compound in fuels: A review. Catal. Today 2017, 292, 26–37. [Google Scholar] [CrossRef]
- Nizio, K.D.; McGinitie, T.M.; Harynuk, J.J. Comprehensive multidimensional separations for the analysis of petroleum. J. Chromatogr. A 2012, 1255, 12–23. [Google Scholar] [CrossRef]
- Webster, R.L.; Rawson, P.W.; Kulsing, C.; Evans, D.J.; Marriott, P.J. Investigation of the thermal oxidation of conventional and alternate aviation fuels with comprehensive two-dimensional gas chromatography accurate mass quadrupole time-of-flight mass spectrometry. Energy Fuels 2017, 31, 4886–4894. [Google Scholar] [CrossRef]
- Tran, T.C.; Logan, G.A.; Grosjean, E.; Harynuk, J.; Ryan, D.; Marriott, P. Comparison of column phase configurations for comprehensive two-dimensional gas chromatographic analysis of crude oil and bitumen. Org. Geochem. 2006, 37, 1190–1194. [Google Scholar] [CrossRef]
- Murphy, R.E.; Schure, M.R.; Foley, J.P. Effect of sampling rate on resolution in comprehensive two-dimensional liquid chromatography. Anal. Chem. 1998, 70, 1585–1594. [Google Scholar] [CrossRef]
- Gorecki, T.; Harynuk, J.; Panic, O. The evolution of comprehensive two-dimensional gas chromatography (GCxGC). J. Sep. Sci. 2004, 27, 359–379. [Google Scholar] [CrossRef]
- Edwards, M.; Mostafa, A.; Gorecki, T. Modulation in comprehensive two-dimensional gas chromatography: 20 years of innovation. Anal. Bioanal. Chem. 2011, 401, 2335–2349. [Google Scholar] [CrossRef]
- Gorecki, T.; Panic, O.; Oldridge, N. Recent advances in comprehensive two-dimensional gas chromatography (GCxGC). J. Liq. Chromatogr. Relat. 2006, 29, 1077–1104. [Google Scholar] [CrossRef]
- Adahchour, M.; Beens, J.; Vreuls, R.J.; Brinkman, U.T. Recent developments in comprehensive two-dimensional gas chromatography (GCxGC) II. Modulation and detection. Trends Anal. Chem. 2006, 25, 540–553. [Google Scholar] [CrossRef]
- Prebihalo, S.E.; Berrier, K.L.; Freye, C.E.; Bahaghighat, N.R.; Moore, N.R.; Pinkerton, D.K.; Synovec, R.E. Multidimensional gas chromatography: Advance in instrumentation, chemometrics and applications. Anal. Chem. 2018, 90, 505–532. [Google Scholar] [CrossRef] [PubMed]
- Bahaghighat, H.D.; Freye, C.E.; Synovec, R.E. Recent advances in modulator technology for comprehensive two-dimensional gas chromatography. Trends Anal. Chem. 2018, 113, 1–13. [Google Scholar] [CrossRef]
- Duhamel, C.; Cardinael, P.; Peulon-Agasse, V.; Firor, R.; Pascaud, L.; Semard-Jousset, G.; Giusti, P.; Livadaris, V. Comparison of cryogenic and differential flow (forward and reverse fill/flush) modulators and applications to the anlaysis of heavy petroleum cuts by high-temperature comprehensive gas chromatography. J. Chromatogr. A 2015, 1387, 95–103. [Google Scholar] [CrossRef] [PubMed]
- Semard, G.; Couin, C.; Bourdet, J.; Bord, N.; Livadaris, V. Comparative study of differential flow and cryogenic modulators comprehensive two-dimensional gas chromatography systems for the detailed analysis of light cycle oil. J. Chromatogr. A 2011, 1218, 3146–3152. [Google Scholar] [CrossRef] [PubMed]
- Alam, M.S.; Stark, C.; Harrison, R.M. Using variable ionization energy time-of-flight mass spectrometry with comprehensive GCxGC to identify isomeric species. Anal. Chem. 2016, 88, 4211–4220. [Google Scholar] [CrossRef] [PubMed]
- Markes International Ltd. Select-eV: The Next Generation of Ion Source Technology (Application Note 528); Markes International Ltd.: Llantrisant, UK, 2016; pp. 1–8. [Google Scholar]
- Muscalu, A.; Edwards, M.; Gorecki, T.; Reiner, E. Evaluation of a single-stage consumable-free modulator for comprehensive two-dimensional gas chromatography: Analysis of polychlorinated biphenyls, organochlorine pesticides and chlorobenzenes. J. Chromatogr. A 2015, 1391, 93–101. [Google Scholar] [CrossRef] [PubMed]
- SepSolve Analytical Ltd. Insight Flow Modulator User Guide; SepSolve Analytical Ltd.: Peterborough, UK, 2016; pp. 1–9. [Google Scholar]
- Striebach, R.C.; Shafer, L.M.; Adams, R.K.; West, Z.J.; DeWitt, M.J.; Zabarnick, S. Hydrocarbon group-type analysis of petroleum-derived and synthetic fuels using two-dimensional gas chromatography. Energy Fuels 2014, 28, 5696–5706. [Google Scholar] [CrossRef]
- Jennerwein, M.K.; Eschner, M.; Groger, T.; Wilharm, T.; Zimmermann, R. Complete group-type quantification of petroleum middle distillates based on comprehensive two-dimensional gas chromatography time-of-flight mass spectrometry (GCxGC-TOFMS) and visual basic scripting. Energy Fuels 2014, 28, 5670–5681. [Google Scholar] [CrossRef]
- Lissitsyna, K.; Huertas, S.; Quintero, L.; Polo, L. PIONA analysis of kerosene by comprehensive two-dimensional gas chromatography coupled to time of flight mass spectrometry. Fuel 2014, 116, 716–722. [Google Scholar] [CrossRef]
- Rudnick, L.R. Lubricant Additives: Chemistry and Applications; Taylor & Francis Group: Boca Raton, FL, USA, 2009. [Google Scholar]
- Lu, Z.; De Silva, A.O.; Peart, T.E.; Cook, C.J.; Tetreault, G.R.; Servos, M.R.; Muir, D.C. Distribution, partitioning and bioaccumulation of substituted diphenylamine antioxidants and benzotriazole UV stabilizers in an urban creek in Canada. Environ. Sci. Technol. 2016, 50, 9089–9097. [Google Scholar] [CrossRef] [PubMed]












| Class | Mass Fragments |
|---|---|
| Paraffins and isoparaffins | 43 + 57 + 71 + 85 + 99 + 113 + 127 + 141 + 155 + 169 |
| Alkylbenzenes | 91 + 92 + 106 + 119 + 120 + 133 + 134 + 147 + 148 + 161 + 162 + 175 + 176 |
| Mononaphthenes | 67 + 67 + 83 + 97 + 111 + 125 + 139 + 153 + 167 |
| Dinaphthenes | 81 + 95 + 109 + 123 + 137 + 151 + 165 + 179 + 193 |
| Trinaphthenes | 67 + 79 + 93 + 107 + 121 + 135 + 149 + 163 + 177 + 191 + 205 + 219 + 233 + 247 |
| Naphthalenes | 141 + 142 + 155 + 156 + 169 + 170 + 183 + 184 + 197 + 198 + 211 + 212 + 225 + 226 + 239 + 240 |
| Sample | Compound | Flow Modulator | Thermal Modulator |
|---|---|---|---|
| Conventional 1 | Monononyl DPA | 0.91 | 1.3 |
| Conventional 2 | Monononyl DPA | 1.8 | 1.5 |
| Synthetic 3 | Monononyl DPA | 3.3 | 1.4 |
| Synthetic 4 | Monononyl DPA | 0.99 | 1.2 |
| Conventional 5 | Monononyl DPA | 2.1 | 1.7 |
| Conventional 6 | Monononyl DPA | 2.0 | 1.7 |
| Synthetic 7 | Monononyl DPA | 2.0 | 1.6 |
| Synthetic 8 | Monononyl DPA | 1.4 | 1.6 |
Publisher’s Note: MDPI stays neutral with regard to jurisdictional claims in published maps and institutional affiliations. |
© 2020 by the authors. Licensee MDPI, Basel, Switzerland. This article is an open access article distributed under the terms and conditions of the Creative Commons Attribution (CC BY) license (http://creativecommons.org/licenses/by/4.0/).
Share and Cite
Boswell, H.A.; Edwards, M.; Górecki, T. Comparison of Thermal and Flow-Based Modulation in Comprehensive Two-Dimensional Gas Chromatography—Time-of-Flight Mass Spectrometry (GC × GC-TOFMS) for the Analysis of Base Oils. Separations 2020, 7, 70. https://doi.org/10.3390/separations7040070
Boswell HA, Edwards M, Górecki T. Comparison of Thermal and Flow-Based Modulation in Comprehensive Two-Dimensional Gas Chromatography—Time-of-Flight Mass Spectrometry (GC × GC-TOFMS) for the Analysis of Base Oils. Separations. 2020; 7(4):70. https://doi.org/10.3390/separations7040070
Chicago/Turabian StyleBoswell, Haleigh A., Matthew Edwards, and Tadeusz Górecki. 2020. "Comparison of Thermal and Flow-Based Modulation in Comprehensive Two-Dimensional Gas Chromatography—Time-of-Flight Mass Spectrometry (GC × GC-TOFMS) for the Analysis of Base Oils" Separations 7, no. 4: 70. https://doi.org/10.3390/separations7040070
APA StyleBoswell, H. A., Edwards, M., & Górecki, T. (2020). Comparison of Thermal and Flow-Based Modulation in Comprehensive Two-Dimensional Gas Chromatography—Time-of-Flight Mass Spectrometry (GC × GC-TOFMS) for the Analysis of Base Oils. Separations, 7(4), 70. https://doi.org/10.3390/separations7040070

