Comparative Evaluation of UV-C-Activated Peroxide and Peroxydisulfate for Degradation of a Selected Herbicide
Abstract
1. Introduction
2. Materials and Methods
2.1. Chemicals
2.2. Degradation Experiments
2.3. Analytical Methods
3. Results and Discussion
3.1. Degradation of the Herbicide 2,4-D in Different Systems
3.2. Effect of Oxidant Concentration
3.3. Effect of Initial pH
3.4. COD Removal and Chloride Release
3.5. Effect of the Water Matrix Constituent
3.5.1. Effects of Bicarbonate
3.5.2. Effect of Chloride
3.5.3. Effect of HA
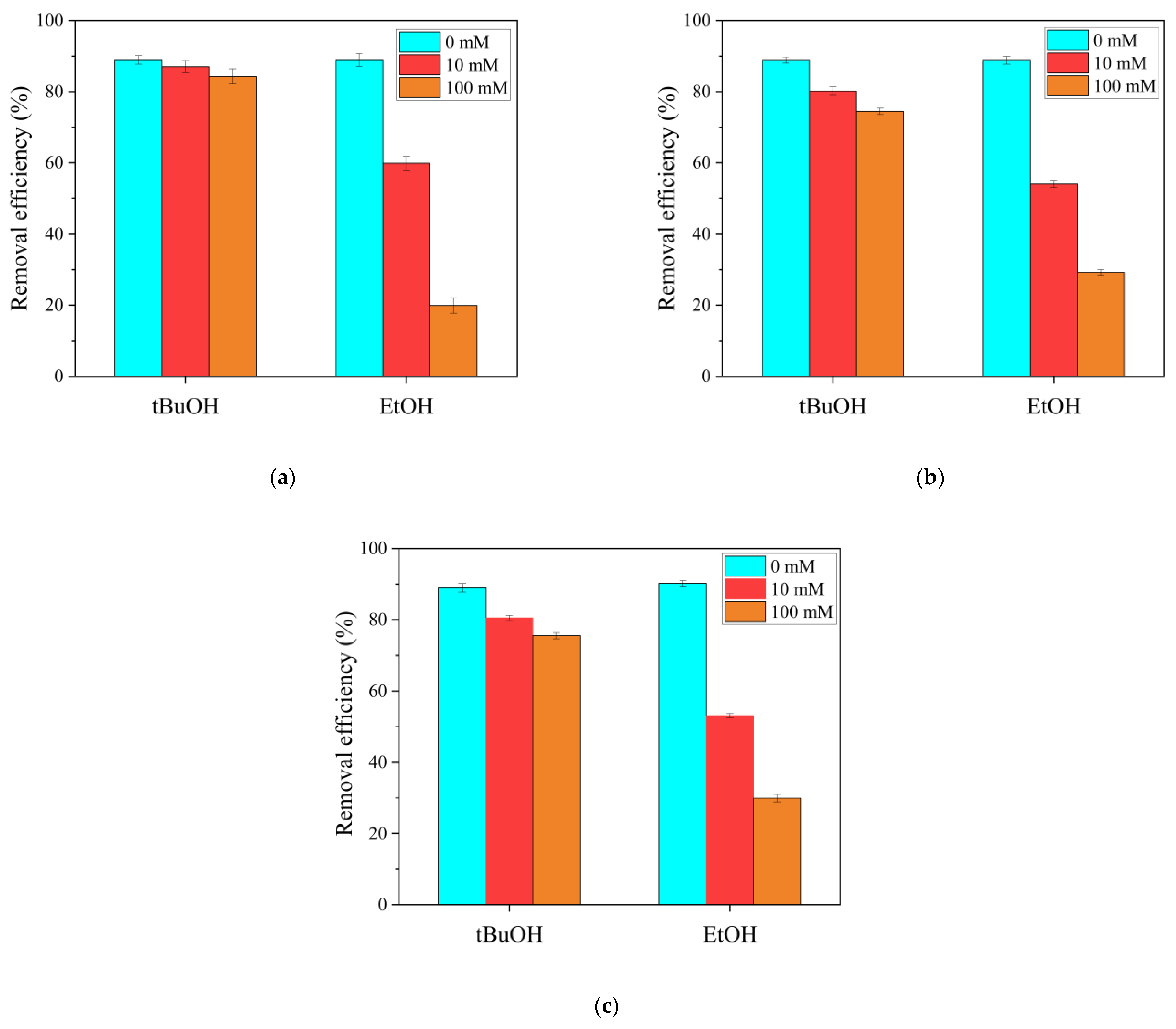
3.6. Identification of Predominant Radical Species in UV-C-Activated Peroxydisulfate
4. Conclusions
Author Contributions
Funding
Data Availability Statement
Conflicts of Interest
Abbreviations
| AOPs | Advanced oxidation processes |
| 2,4-D | 2,4-dichlorophenoxyacetic acid |
| HR-AOPs | Hydroxyl radicals-based advanced oxidation processes |
| SR-AOPs | Sulfate radicals-based advanced oxidation processes |
| COD | Chemical oxygen demand |
| DOM | Dissolved organic mater |
| HA | Humic acid |
References
- Mehralipour, J.; Kermani, M. Optimization of Photo-Electro/Persulfate/NZVI Process on 2–4 Dichlorophenoxyacetic Acid Degradation via Central Composite Design: A Novel Combination of Advanced Oxidation Process. J. Environ. Health Sci. Eng. 2021, 19, 941–957. [Google Scholar] [CrossRef] [PubMed]
- Serra-Clusellas, A.; De Angelis, L.; Lin, C.H.; Vo, P.; Bayati, M.; Sumner, L.; Lei, Z.; Amaral, N.B.; Bertini, L.M.; Mazza, J.; et al. Abatement of 2,4-D by H2O2 Solar Photolysis and Solar Photo-Fenton-like Process with Minute Fe(III) Concentrations. Water Res. 2018, 144, 572–580. [Google Scholar] [CrossRef]
- Li, X.; Zhou, M.; Pan, Y. Enhanced Degradation of 2,4-Dichlorophenoxyacetic Acid by Pre-Magnetization Fe-C Activated Persulfate: Influential Factors, Mechanism and Degradation Pathway. J. Hazard. Mater. 2018, 353, 454–465. [Google Scholar] [CrossRef]
- Kermani, M.; Mehralipour, J.; Kakavandi, B. Photo-Assisted Electroperoxone of 2,4-Dichlorophenoxy Acetic Acid Herbicide: Kinetic, Synergistic and Optimization by Response Surface Methodology. J. Water Process Eng. 2019, 32, 100971. [Google Scholar] [CrossRef]
- Loomis, D.; Guyton, K.; Grosse, Y.; El Ghissasi, F.; Bouvard, V.; Benbrahim-Tallaa, L.; Guha, N.; Mattock, H.; Straif, K. Carcinogenicity of Lindane, DDT, and 2,4-Dichlorophenoxyacetic Acid. Lancet Oncol. 2015, 16, 891–892. [Google Scholar] [CrossRef]
- Andres, S.; Dulio, V. S109|PARCEDC|List of 7074 Potential Endocrine Disrupting Compounds (EDCs) by PARC T4.2. Available online: https://zenodo.org/records/10944199 (accessed on 10 March 2025).
- National Library of Medicine. Toxicological Profile for 2,4-Dichlorophenoxyacetic Acid (2,4-D). In ATSDR’s Toxicol. Profiles; National Library of Medicine: Bethesda, MD, USA, 2020. [Google Scholar]
- Islam, F.; Wang, J.; Farooq, M.A.; Khan, M.S.S.; Xu, L.; Zhu, J.; Zhao, M.; Muños, S.; Li, Q.X.; Zhou, W. Potential Impact of the Herbicide 2,4-Dichlorophenoxyacetic Acid on Human and Ecosystems. Environ. Int. 2018, 111, 332–351. [Google Scholar] [CrossRef] [PubMed]
- Osborne, P.P.; Xu, Z.; Swanson, K.D.; Walker, T.; Farmer, D.K. Dicamba and 2,4-D Residues Following Applicator Cleanout: A Potential Point Source to the Environment and Worker Exposure. J. Air Waste Manag. Assoc. 2015, 65, 1153–1158. [Google Scholar] [CrossRef]
- Tang, M.; Wu, D.; Nie, Y.; Yang, C.; Li, Y. Efficiently Catalytic Ozonation of 2,4-Dichlorophenoxyacetic Acid by Natural Ferrihydrite: A PH Dependent and Surface -OH Group Involved Reaction Mechanism. Environ. Res. 2025, 264, 120410. [Google Scholar] [CrossRef]
- France, H.E.; Strong, O.L.K.; Roy, T.M.; Vreugdenhil, A.J. Versatile Waste Wood-Chitosan Composites for 2,4-D and Paraquat Adsorption: Isotherm Modelling and Thermodynamic Evaluation. Chemosphere 2025, 370, 144008. [Google Scholar] [CrossRef]
- Belháčová, L.; Supiňková, T.; Smržová, D.; Fíla, V. The Role of Process Parameters on Photooxidative Degradation of 2,4-D Herbicide Using TiO2 Nanoparticles: Kinetic and Mechanistic Study. J. Photochem. Photobiol. A Chem. 2025, 460, 116120. [Google Scholar] [CrossRef]
- Pirsaheb, M.; Hossaini, H.; Nouri, M.; Terry, L.G.; Hossini, H.; Mohammadi, S. Photo Electrocatalytic Degradation 2,4-Dichlorophenoxyacetic Acid in Water Using NiTiO2-NT/AC-PTFE Electrode under Ultraviolet and Visible Irradiation: Electrode Fabrication and Toxicity Test. Results Eng. 2024, 24, 103592. [Google Scholar] [CrossRef]
- Lei, S.; Guan, L.; Liu, F.; Yu, Q.; Xu, K.; Ren, H.; Geng, J. Degradation of Pharmaceuticals in UV/H2O2 Process: EEM-Based Kinetic Model, Transformation Products and Corresponding Toxicity Evaluation. J. Environ. Chem. Eng. 2024, 12, 111736. [Google Scholar] [CrossRef]
- Guerra-Rodríguez, S.; Rodríguez, E.; Rodríguez-Chueca, J. Pilot-Scale Regeneration of Wastewater through Intensified Sulfate Radical-Based Advanced Oxidation Processes (PMS/UV-A, PMS/H2O2/UV-A, and PMS/O3): Inactivation of Bacteria and Mechanistic Considerations. Chem. Eng. J. 2023, 469, 143859. [Google Scholar] [CrossRef]
- Mukherjee, J.; Lodh, B.K.; Sharma, R.; Mahata, N.; Shah, M.P.; Mandal, S.; Ghanta, S.; Bhunia, B. Advanced Oxidation Process for the Treatment of Industrial Wastewater: A Review on Strategies, Mechanisms, Bottlenecks and Prospects. Chemosphere 2023, 345, 140473. [Google Scholar] [CrossRef]
- Costa, L.G.; Marson, E.O.; Santos, G.M.; Neto, W.B.; Carvalho, S.R.; Trovó, A.G. Enhanced UVC Treatment for Removal of Micropollutants Using a Combination of the Oxidants H2O2 and S2O82−. J. Environ. Chem. Eng. 2025, 13, 116438. [Google Scholar] [CrossRef]
- Shen, Z.; Bi, X.; Jian, L.; Jiang, Y.; Yang, Z.; Li, Z.; Li, B.; Zhao, P.; Meng, X. Photocatalytic Activation of Peroxymonocarbonate with a TiO2 Catalyst for Water Remediation. J. Environ. Manag. 2025, 379, 124871. [Google Scholar] [CrossRef]
- Zhou, Y.; Yang, Z.; Jiang, Y.; Shen, Z.; Zhao, P.; Meng, X. Selective Catalytic Activation of Peroxymonocarbonate over a Co/Al2O3 Catalyst. Appl. Catal. B Environ. 2025, 362, 124748. [Google Scholar] [CrossRef]
- Yang, Z.; Zhou, Y.; Jiang, Y.; Zhao, P.; Meng, X. Reconsideration of the Role of Hydrogen Peroxide in Peroxymonocarbonate-Based Oxidation System for Pollutant Control. Water Res. 2025, 268, 122750. [Google Scholar] [CrossRef] [PubMed]
- Kumari, P.; Kumar, A. Advanced Oxidation Process: A Remediation Technique for Organic and Non-Biodegradable Pollutant. Results Surf. Interfaces 2023, 11, 100122. [Google Scholar] [CrossRef]
- Kang, J.; Choi, J.; Lee, D.; Son, Y. UV/Persulfate Processes for the Removal of Total Organic Carbon from Coagulation-Treated Industrial Wastewaters. Chemosphere 2024, 346, 140609. [Google Scholar] [CrossRef]
- Lee, Y.M.; Lee, G.; Kim, T.; Zoh, K.D. Degradation of Benzophenone-8 in UV/Oxidation Processes: Comparison of UV/H2O2, UV/Persulfate, UV/Chlorine Processes. J. Environ. Chem. Eng. 2024, 12, 111623. [Google Scholar] [CrossRef]
- Paniagua, C.E.S.; Amildon Ricardo, I.; Marson, E.O.; Gonçalves, B.R.; Trovó, A.G. Simultaneous Degradation of the Pharmaceuticals Gemfibrozil, Hydrochlorothiazide and Naproxen and Toxicity Changes during UV-C and UV-C/H2O2 Processes in Different Aqueous Matrixes. J. Environ. Chem. Eng. 2019, 7, 103164. [Google Scholar] [CrossRef]
- Ramakrishnan, R.K.; Venkateshaiah, A.; Grübel, K.; Kudlek, E.; Silvestri, D.; Padil, V.V.T.; Ghanbari, F.; Černík, M.; Wacławek, S. UV-Activated Persulfates Oxidation of Anthraquinone Dye: Kinetics and Ecotoxicological Assessment. Environ. Res. 2023, 229, 115910. [Google Scholar] [CrossRef] [PubMed]
- Mitrović, J.; Radović, M.; Bojić, D.; Anbelković, T.; Purenović, M.; Bojić, A. Decolorization of the Textile Azo Dye Reactive Orange 16 by the UV/H2O2 Process. J. Serbian Chem. Soc. 2012, 77, 465–481. [Google Scholar] [CrossRef]
- Sharma, J.; Mishra, I.M.; Kumar, V. Degradation and Mineralization of Bisphenol A (BPA) in Aqueous Solution Using Advanced Oxidation Processes: UV/H2O2 and UV/S2O82− Oxidation Systems. J. Environ. Manag. 2015, 156, 266–275. [Google Scholar] [CrossRef] [PubMed]
- Acero, J.L.; Benítez, F.J.; Real, F.J.; Rodríguez, E. Degradation of Selected Emerging Contaminants by UV-Activated Persulfate: Kinetics and Influence of Matrix Constituents. Sep. Purif. Technol. 2018, 201, 41–50. [Google Scholar] [CrossRef]
- Devi, P.; Das, U.; Dalai, A.K. In-Situ Chemical Oxidation: Principle and Applications of Peroxide and Persulfate Treatments in Wastewater Systems. Sci. Total Environ. 2016, 571, 643–657. [Google Scholar] [CrossRef]
- Matzek, L.W.; Carter, K.E. Activated Persulfate for Organic Chemical Degradation: A Review. Chemosphere 2016, 151, 178–188. [Google Scholar] [CrossRef]
- Khan, Z.U.H.; Gul, N.S.; Sabahat, S.; Sun, J.; Tahir, K.; Shah, N.S.; Muhammad, N.; Rahim, A.; Imran, M.; Iqbal, J.; et al. Removal of Organic Pollutants through Hydroxyl Radical-Based Advanced Oxidation Processes. Ecotoxicol. Environ. Saf. 2023, 267, 115564. [Google Scholar] [CrossRef]
- Zhang, X.; Guo, J.; Huang, Y.; Lu, G. Toxicity Evolution and Control for the UV/H2O2 Degradation of Nitrogen-Containing Heterocyclic Compounds: SDZ and PMM. Chemosphere 2023, 338, 139541. [Google Scholar] [CrossRef]
- Tufail, A.; Al-Rifai, J.; Price, W.E.; van de Merwe, J.P.; Leusch, F.D.L.; Hai, F.I. Elucidating the Performance of UV-Based Photochemical Processes for the Removal of Trace Organic Contaminants: Degradation and Toxicity Evaluation. Chemosphere 2024, 350, 140978. [Google Scholar] [CrossRef] [PubMed]
- Jokar Baloochi, S.; Solaimany Nazar, A.R.; Farhadian, M. 2,4-Dichlorophenoxyacetic Acid Herbicide Photocatalytic Degradation by Zero-Valent Iron/Titanium Dioxide Based on Activated Carbon. Environ. Nanotechnol. Monit. Manag. 2018, 10, 212–222. [Google Scholar] [CrossRef]
- Yang, Q.; Ma, Y.; Chen, F.; Yao, F.; Sun, J.; Wang, S.; Yi, K.; Hou, L.; Li, X.; Wang, D. Recent Advances in Photo-Activated Sulfate Radical-Advanced Oxidation Process (SR-AOP) for Refractory Organic Pollutants Removal in Water. Chem. Eng. J. 2019, 378, 122149. [Google Scholar] [CrossRef]
- Buxton, G.V.; Greenstock, C.L.; Helman, W.P.; Ross, A.B. Critical Review of Rate Constants for Reactions of Hydrated Electrons, Hydrogen Atoms and Hydroxyl Radicals (⋅OH/⋅O− in Aqueous Solution. J. Phys. Chem. Ref. Data 1988, 17, 513–886. [Google Scholar] [CrossRef]
- Ross, A.B.; Neta, P.; Huie, R.E. Rate Constants for Reactions of Inorganic Radicals in Aqueous Solution. J. Phys. Chem. Ref. Data 1988, 17, 1081–1227. [Google Scholar]
- Zhu, B.; Sun-Waterhouse, D.; You, L. Insights into the Mechanisms Underlying the Degradation of Xylooligosaccharides in UV/H2O2 System. Carbohydr. Polym. 2023, 317, 121091. [Google Scholar] [CrossRef]
- Hoang, N.T.; Manh, T.D.; Tram, N.T.; Nhi, B.D.; Mwazighe, F.M.; Van Tac, D.; Duyen, V.T.; Nga, N.T.T.; Van Duong, D.; Thi, L.T.; et al. Effect of the Chloride Ion on the Degradation of PPCPs in UV/Persulfate and UV/H2O2 and the Role of Radicals in These Systems. J. Environ. Chem. Eng. 2024, 12, 111846. [Google Scholar] [CrossRef]
- Xu, Y.; Lin, Z.; Zhang, H. Mineralization of Sucralose by UV-Based Advanced Oxidation Processes: UV/PDS versus UV/H2O2. Chem. Eng. J. 2016, 285, 392–401. [Google Scholar] [CrossRef]
- Yu, X.Y.; Bao, Z.C.; Barker, J.R. Free Radical Reactions Involving Cl., Cl2−., and So4−. in the 248 Nm Photolysis of Aqueous Solutions Containing S2O82− and Cl−. J. Phys. Chem. A 2004, 108, 295–308. [Google Scholar] [CrossRef]
- Christensen, H.; Sehested, K.; Corfitzen, H. Reactions of Hydroxyl Radicals with Hydrogen Peroxide at Ambient and Elevated Temperatures. J. Phys. Chem. 1982, 86, 1588–1590. [Google Scholar] [CrossRef]
- Alberto, E.A.; Santos, G.M.; Marson, E.O.; Mbié, M.J.; Paniagua, C.E.S.; Ricardo, I.A.; Starling, M.C.V.M.; Pérez, J.A.S.; Trovó, A.G. Performance of Different Peroxide Sources and UV-C Radiation for the Degradation of Microcontaminants in Tertiary Effluent from a Municipal Wastewater Treatment Plant. J. Environ. Chem. Eng. 2023, 11, 110698. [Google Scholar] [CrossRef]
- Chen, H.; Zhang, Z.; Feng, M.; Liu, W.; Wang, W.; Yang, Q.; Hu, Y. Degradation of 2,4-Dichlorophenoxyacetic Acid in Water by Persulfate Activated with FeS (Mackinawite). Chem. Eng. J. 2017, 313, 498–507. [Google Scholar] [CrossRef]
- Jaafarzadeh, N.; Ghanbari, F.; Ahmadi, M. Efficient Degradation of 2,4-Dichlorophenoxyacetic Acid by Peroxymonosulfate/Magnetic Copper Ferrite Nanoparticles/Ozone: A Novel Combination of Advanced Oxidation Processes. Chem. Eng. J. 2017, 320, 436–447. [Google Scholar] [CrossRef]
- Rodríguez, C.; Castañeda, C.; Sosa, E.; Martínez, J.J.; Mancipe, S.; Rojas, H.; Tzompantzi, F.; Gómez, R. Enhanced Photocatalytic Degradation of Herbicide 2,4-Dichlorophenoxyacetic Acid Using Sulfated CeO2. Catalysts 2024, 14, 594. [Google Scholar] [CrossRef]
- Brillas, E. Activation of Persulfate and Peroxymonosulfate for the Removal of Herbicides from Synthetic and Real Waters and Wastewaters. J. Environ. Chem. Eng. 2023, 11, 110380. [Google Scholar] [CrossRef]
- Zuo, Z.; Cai, Z.; Katsumura, Y.; Chitose, N.; Muroya, Y. Reinvestigation of the Acid-Base Equilibrium of the (Bi)Carbonate Radical and Ph Dependence of Its Reactivity with Inorganic Reactants. Radiat. Phys. Chem. 1999, 55, 15–23. [Google Scholar] [CrossRef]
- Buxton, G.V.; Elliot, A.J. Rate Constant for Reaction of Hydroxyl Radicals with Bicarbonate Ions. Int. J. Radiat. Appl. Instrumentation. Part 1986, 27, 241–243. [Google Scholar] [CrossRef]
- Dhaka, S.; Kumar, R.; Lee, S.-h.; Kurade, M.B.; Jeon, B.H. Degradation of Ethyl Paraben in Aqueous Medium Using Advanced Oxidation Processes: Efficiency Evaluation of UV-C Supported Oxidants. J. Clean. Prod. 2018, 180, 505–513. [Google Scholar] [CrossRef]
- Ghauch, A.; Baalbaki, A.; Amasha, M.; El Asmar, R.; Tantawi, O. Contribution of Persulfate in UV-254 Nm Activated Systems for Complete Degradation of Chloramphenicol Antibiotic in Water. Chem. Eng. J. 2017, 317, 1012–1025. [Google Scholar] [CrossRef]
- Yang, Z.; Shen, Z.; Zhou, Y.; Jiang, Y.; Zhao, P.; Meng, X. Selective Activation of Peroxymonocarbonate over a Co/N-Doped Carbon Catalyst for a 1O2-Mediated Oxidation Process. J. Environ. Chem. Eng. 2025, 13, 115665. [Google Scholar] [CrossRef]
- Pi, L.; Yang, N.; Han, W.; Xiao, W.; Wang, D.; Xiong, Y.; Zhou, M.; Hou, H.; Mao, X. Heterogeneous Activation of Peroxymonocarbonate by Co-Mn Oxides for the Efficient Degradation of Chlorophenols in the Presence of a Naturally Occurring Level of Bicarbonate. Chem. Eng. J. 2018, 334, 1297–1308. [Google Scholar] [CrossRef]
- Luo, Y.; Su, R.; Yao, H.; Zhang, A.; Xiang, S.; Huang, L. Degradation of Trimethoprim by Sulfate Radical-Based Advanced Oxidation Processes: Kinetics, Mechanisms, and Effects of Natural Water Matrices. Environ. Sci. Pollut. Res. 2021, 28, 62572–62582. [Google Scholar] [CrossRef]
- Liu, L.; Lin, S.; Zhang, W.; Farooq, U.; Shen, G.; Hu, S. Kinetic and Mechanistic Investigations of the Degradation of Sulfachloropyridazine in Heat-Activated Persulfate Oxidation Process. Chem. Eng. J. 2018, 346, 515–524. [Google Scholar] [CrossRef]
- Cui, J.; Wang, G.; Rong, X.; Gao, W.; Lu, Y.; Luo, Y.; Zhang, L.; Cheng, Z.; Gao, C. Removal of Kathon by UV-C Activated Hydrogen Peroxide: Kinetics, Mechanisms, and Enhanced Biodegradability Assessment. Chin. J. Chem. Eng. 2024, 65, 178–187. [Google Scholar] [CrossRef]
- Liu, X.; Liu, Y.; Lu, S.; Wang, Z.; Wang, Y.; Zhang, G.; Guo, X.; Guo, W.; Zhang, T.; Xi, B. Degradation Difference of Ofloxacin and Levofloxacin by UV/H2O2 and UV/PS (Persulfate): Efficiency, Factors and Mechanism. Chem. Eng. J. 2020, 385, 123987. [Google Scholar] [CrossRef]
- Zhang, Y.; Xiao, Y.; Zhong, Y.; Lim, T.T. Comparison of Amoxicillin Photodegradation in the UV/H2O2 and UV/Persulfate Systems: Reaction Kinetics, Degradation Pathways, and Antibacterial Activity. Chem. Eng. J. 2019, 372, 420–428. [Google Scholar] [CrossRef]
- Keen, O.S.; McKay, G.; Mezyk, S.P.; Linden, K.G.; Rosario-Ortiz, F.L. Identifying the Factors That Influence the Reactivity of Effluent Organic Matter with Hydroxyl Radicals. Water Res. 2014, 50, 408–419. [Google Scholar] [CrossRef]
- Lee, J.; Von Gunten, U.; Kim, J.H. Persulfate-Based Advanced Oxidation: Critical Assessment of Opportunities and Roadblocks. Environ. Sci. Technol. 2020, 54, 3064–3081. [Google Scholar] [CrossRef]
- Kim, M.K.; Zoh, K.D. Effects of Natural Water Constituents on the Photo-Decomposition of Methylmercury and the Role of Hydroxyl Radical. Sci. Total Environ. 2013, 449, 95–101. [Google Scholar] [CrossRef]
- Guerard, J.J.; Miller, P.L.; Trouts, T.D.; Chin, Y.P. The Role of Fulvic Acid Composition in the Photosensitized Degradation of Aquatic Contaminants. Aquat. Sci. 2009, 71, 160–169. [Google Scholar] [CrossRef]
- Kang, Y.M.; Kim, M.K.; Zoh, K.D. Effect of Nitrate, Carbonate/Bicarbonate, Humic Acid, and H2O2 on the Kinetics and Degradation Mechanism of Bisphenol-A during UV Photolysis. Chemosphere 2018, 204, 148–155. [Google Scholar] [CrossRef] [PubMed]
- Gao, H.Y.; Huang, C.H.; Mao, L.; Shao, B.; Shao, J.; Yan, Z.Y.; Tang, M.; Zhu, B.Z. First Direct and Unequivocal Electron Spin Resonance Spin-Trapping Evidence for PH-Dependent Production of Hydroxyl Radicals from Sulfate Radicals. Environ. Sci. Technol. 2020, 54, 14046–14056. [Google Scholar] [CrossRef] [PubMed]
- Ye, C.; Ma, X.; Deng, J.; Li, X.; Li, Q.; Dietrich, A.M. Degradation of Saccharin by UV/H2O2 and UV/PS Processes: A Comparative Study. Chemosphere 2022, 288, 132337. [Google Scholar] [CrossRef]
- Gligorovski, S.; Strekowski, R.; Barbati, S.; Vione, D. Environmental Implications of Hydroxyl Radicals (•OH). Chem. Rev. 2015, 115, 13051–13092. [Google Scholar] [CrossRef] [PubMed]
- Liang, C.; Su, H.W. Identification of Sulfate and Hydroxyl Radicals in Thermally Activated Persulfate. Ind. Eng. Chem. Res. 2009, 48, 5558–5562. [Google Scholar] [CrossRef]
- Lai, F.; Tian, F.X.; Xu, B.; Ye, W.K.; Gao, Y.Q.; Chen, C.; Xing, H.B.; Wang, B.; Xie, M.J.; Hu, X.J. A Comparative Study on the Degradation of Phenylurea Herbicides by UV/Persulfate Process: Kinetics, Mechanisms, Energy Demand and Toxicity Evaluation Associated with DBPs. Chem. Eng. J. 2022, 428, 132088. [Google Scholar] [CrossRef]








Disclaimer/Publisher’s Note: The statements, opinions and data contained in all publications are solely those of the individual author(s) and contributor(s) and not of MDPI and/or the editor(s). MDPI and/or the editor(s) disclaim responsibility for any injury to people or property resulting from any ideas, methods, instructions or products referred to in the content. |
© 2025 by the authors. Licensee MDPI, Basel, Switzerland. This article is an open access article distributed under the terms and conditions of the Creative Commons Attribution (CC BY) license (https://creativecommons.org/licenses/by/4.0/).
Share and Cite
Mitrović, J.; Radović Vučić, M.; Kostić, M.; Petrović, M.; Velinov, N.; Najdanović, S.; Bojić, A. Comparative Evaluation of UV-C-Activated Peroxide and Peroxydisulfate for Degradation of a Selected Herbicide. Separations 2025, 12, 116. https://doi.org/10.3390/separations12050116
Mitrović J, Radović Vučić M, Kostić M, Petrović M, Velinov N, Najdanović S, Bojić A. Comparative Evaluation of UV-C-Activated Peroxide and Peroxydisulfate for Degradation of a Selected Herbicide. Separations. 2025; 12(5):116. https://doi.org/10.3390/separations12050116
Chicago/Turabian StyleMitrović, Jelena, Miljana Radović Vučić, Miloš Kostić, Milica Petrović, Nena Velinov, Slobodan Najdanović, and Aleksandar Bojić. 2025. "Comparative Evaluation of UV-C-Activated Peroxide and Peroxydisulfate for Degradation of a Selected Herbicide" Separations 12, no. 5: 116. https://doi.org/10.3390/separations12050116
APA StyleMitrović, J., Radović Vučić, M., Kostić, M., Petrović, M., Velinov, N., Najdanović, S., & Bojić, A. (2025). Comparative Evaluation of UV-C-Activated Peroxide and Peroxydisulfate for Degradation of a Selected Herbicide. Separations, 12(5), 116. https://doi.org/10.3390/separations12050116

