Next Article in Journal
Exploring the Photocatalytic Efficiency of Heterostructured TiO2 Nanobelts for Emerging Liquid Contaminants in Different Water Matrices
Previous Article in Journal
Detection of Honey Adulteration by Liquid Chromatography—High-Resolution Mass Spectrometry: Results from an EU Coordinated Action
 
 
Font Type:
Arial Georgia Verdana
Font Size:
Aa Aa Aa
Line Spacing:
Column Width:
Background:
Article

Numerical Simulation and Optimization Design of Demister Based on a Separation Model Considering Re-Entrainment Influence

1
School of Intelligent Manufacturing, Nanjing Polytechnic Institute, Nanjing 210048, China
2
Key Laboratory of Energy Thermal Conversion and Control of Ministry of Education, Southeast University, Nanjing 210096, China
3
School of Architecture and Art Design, Nanjing Polytechnic Institute, Nanjing 210048, China
*
Author to whom correspondence should be addressed.
Separations 2025, 12(2), 48; https://doi.org/10.3390/separations12020048
Submission received: 5 January 2025 / Revised: 4 February 2025 / Accepted: 11 February 2025 / Published: 13 February 2025

Abstract

In this paper, the separation characteristics of mist remover in a wet flue gas desulfurization system are numerically simulated, and the separation mechanism in the channel of mist remover is analyzed considering the influence of droplets on wall recombination, diffusion, and splash. Considering the influence of re-entrainment, a gas–liquid separation model was established to reflect the coupling effect of air flow, droplets, and liquid film in the process of defogging. A computational model based on the energy loss coefficient κ was established, and the numerical simulation of flue gas flow in a single channel of a baffle demister was carried out using the computational fluid dynamics method. The effects of plate distance, plate angle, droplet diameter, and flue gas velocity on the separation efficiency were simulated and analyzed. Based on the response surface method, the model for separation characteristics and structure optimization design of the demister is established, and the influence level of each factor is analyzed.

1. Introduction

The demister is a key device for gas–liquid separation after the reaction zone of the absorption tower in the limestone/gypsum wet desulfurization system (WFGD) of a coal-fired power plant [1,2]. Its function is to capture the gypsum slurry mist droplets carried in the flue gas. If the mist demister performs abnormally, the gypsum slurry will be taken out of the chimney with the wet flue gas, which will cause secondary pollution problems such as gypsum rain in the surrounding area of the power plant [3,4]. The gas–liquid separation technology represented by the wave plate channel commonly used in demisters has also been widely used in other fields such as power [5], the chemical industry [6], desalination [7], and nuclear energy [8].
During the movement of the droplets in the channel of the demister wave plate, the interaction among the gas flow, the slurry droplets, and the adherent liquid film is extremely complicated [9,10]. The droplet movement in the wave plate is shown in Figure 1. Numerous studies have shown that the two main reasons for the droplets are the splash caused by the impact of the droplet on the liquid film (Phenomenon 3) [11] and the rupture of the liquid film caused by the shearing of the gas stream (Phenomenon 4) [12]. The collision of liquid droplets with the liquid film is the main cause of secondary liquid droplets. Therefore, the gas–liquid fluid flow behavior mechanism in desulfurization and the demister is one of the key basic research contents [13,14]. It is indispensable for establishing a gas–liquid flow characteristic model in the demister considering the re-entrainment.
Currently, there are experimental methods and numerical simulation methods for the research of demisters [12,13,14,15]. Traditional experimental methods have been continuously modified through numerous experiments [16,17] and empirical modifications [18,19] to find suitable structural parameters. However the performance of demisters is affected by many factors, and it is difficult to determine the optimal parameters through experiments [20]. With the popularization of computer applications, numerical simulation methods of computational fluid dynamics (CFD) could predict the movement of droplets and the flow characteristics of flue gas in the demister channel and obtain more comprehensive results. Increasing numbers of researchers have introduced CFD technology into the internal flow analysis of the demister and have studied the separation performance and influencing factors of the demister [21,22]. Some scholars have conducted relevant research on the wall-impact model, and the applicability of the model and the judgment of the criterion number also have a certain development. Naber and Reitz [23] developed a model to study spray impact using KIVA code. Models have three forms, namely the adhesion model (impact droplets adhere to the wall surface), the rebound model (droplet elastic reflection), and the ejection model (assuming that the droplet moves along the wall at the same velocity amplitude before the impact) [24,25,26]. The main problem of the model is that it ignores the phenomenon of droplet fragmentation under high collision energy and kinetic energy loss of impact droplets. James [27] and Park [28] proposed that the submodels would be different from the Naber and Reitz models. The transition criterion of both models under the bounce and scattering mechanisms is described by Weber number 80. Based on previous studies, a new wall-crashing model based on the energy loss coefficient κ is proposed, and the droplet movement laws are analyzed between different zones.
Based on the above, this paper conducts numerical simulation research on the baffle plate demister commonly used in power plant desulfurization systems and establishes a gas–liquid separation model that reflects the interaction among airflow, droplets, and liquid films in the demister. When the droplet hits the wall, three collision mechanisms will occur, as follows: bounce, spread, and splash. This premise is consistent with the actual conditions in the demister, and the numerical simulation is used to analyze the separation efficiency and pressure drop of the demister. Finally, a characteristic model and structure optimization design method of a demister based on the response surface method is established.

2. Numerical Calculation Method

2.1. Principle Geometry

Due to the same structure of each channel of the demister, this article only analyzes the flow field in a single channel of the demister. The physical model is established according to the structural parameters of the baffle demister. The plate configuration is shown in Figure 2. The flue gas entrained with liquid droplets enters from the inlet and passes through the turning channel, and the defogging efficiency and pressure drop are affected by the velocity of the flue gas and the diameter of the droplets, as well as the height of the straight section of the demister. In addition, the height of the curved section and structural parameters such as the turning angle of the mister and the distance between the demister plates are also closely related.

2.2. Calculation Model

During the operation of the demister, the flow of the gas stream containing droplets within the curved channel constitutes a three-dimensional, unsteady, and compressible viscous fluid flow process. Owing to the symmetry and spatial repeatability of the demister’s working area, the simulation process can be simplified by selecting only one defogging channel as the subject for two-dimensional numerical simulation. For the gas phase field, the SST κ-ω turbulence model, which is based on the Reynolds time-average equation to close the Navier–Stokes equation, is applied. The SST κ-ω model combines the robustness and accuracy of the κ-ω model in the near-wall region with the κ-ε model’s capabilities in handling high Reynolds number flows in the outer region. This makes it particularly well-suited for flows with complex geometries and strong shear layers, which are prevalent in our baffle plate demister simulation. The model has been widely used and validated in various industrial applications, including the flow over airfoils, turbines, and heat exchangers, demonstrating its applicability and accuracy in predicting turbulent flows. It is believed that the SST κ-ω model’s ability to capture the fine details of the flow field, such as the vortex structures and turbulent kinetic energy distribution, is essential for understanding the performance and efficiency of the baffle plate demister. Additionally, the Discrete Phase Model (DPM) based on the Euler–Lagrange method is employed to calculate the droplet phase, considering gravity and the interaction between the gas and liquid phases. Furthermore, the generation of secondary flow significantly influences the separation efficiency of droplets in the demister. Therefore, it is essential to analyze the two flow behaviors: liquid film entrainment and droplet splashing. In this paper, the governing equation is utilized to describe the flow of the liquid film phase.

2.2.1. Governing Equation of Gas Field

The conservation of mass is expressed by the continuity equation [29], as follows:
u x x + u y y = 0
The conservation of momentum is expressed by the two-dimensional NS equation, as follows:
u x t + u x u x y + u y u x y = F x p x + 1 Re 2 u x x 2 + 2 u x y 2 u y t + u x u y x + u y u y y = F y p y + 1 Re 2 u y x 2 + 2 u y y 2
The momentum equation is solved by the SST κ-ω numerical method [30], as follows:
t ρ κ + x i ρ κ u i = x j Γ κ κ x j + G κ Y κ + S κ + G b t ρ ω + x i ρ ω u i = x j Γ ω ω x j + G ω Y ω + D ω + S ω + G ω b D ω = 2 1 F 1 ρ δ ω , 2 1 ω k x i ω x j
where κ and ω are the kinetic energy of turbulence and specific dissipation rate, respectively; G k and G ω represent the generation of κ and ω , respectively; Γ κ and Γ ω are the effective diffusion terms of κ and ω , respectively; and Y k and Y ω are the divergent terms of κ and ω , respectively; S is the source term; and G b and G ω b are both buoyancy effect. This set of equations takes into account the orthogonal divergence term D ω , which makes the equation suitable for both near- and far-wall surfaces.

2.2.2. Droplet Control Equation

The droplet is mainly affected by drag and gravity in the demister. Thus, the balance equation [1] can be expressed as Cartesian coordinates as follows:
d u p d t = F D u u p + g ρ p ρ ρ p + F
where F D u u p is the drag force per unit mass of the droplet, F D = 18 μ / ρ p D p 2 C D R e / 24 , F is the additional force per unit mass, and, for ρ p / ρ 1 , only Saffman lift can be considered; u and ρ are the velocity and density of the gas phase; u p , d p , and ρ p are the velocity and particle size of the discrete phase and density; R e is the relative Reynolds number between the droplet and the gas phase, which is defined as R e = ρ d p u p u / μ ; and the resistance coefficient C D is directly related to R e , which can be expressed by the following equation:
C D = 1 + R e 2 3 6 · R e 24 , R e 1000 C D = 0.424 , R e > 1000

2.2.3. Liquid Film Control Equation

When the liquid droplets hit the plate wall surface, a liquid film is deposited on the wall surface, which further evolves into the interaction between the gas flow and the liquid film, the liquid droplet, and the liquid film. The Euler liquid film model is applied to describe the surface distribution of the thin liquid film along the wall under the action of gravity, shear force, and pressure gradient, and the process of liquid film separation.
The mass conservation equation of a thin liquid film [16] is as follows:
ρ l h t + s · ρ l h V l = m s ˙
where ρ l is the liquid density; h is the liquid film thickness; s is the surface gradient operator; V l is the average liquid film velocity; and m s ˙ is the change in liquid film quality per unit wall surface due to liquid film peeling and splashing.
The momentum conservation equation of a thin liquid film [16] is as follows:
h V l t + s · h V l V l = h s P L ρ l + h g τ + 3 2 ρ l τ f s 3 μ l ρ l h V + q ˙
where P L = P g a s + P h + P σ ; P g a s is the pressure of the gas flow; P h is the pressure generated by the gravity component of the liquid film perpendicular to the wall surface, P h = ρ h n g ; P σ is the pressure component generated by the surface tension, P σ = σ s · s ; the first term on the right represents the effect of the total pressure of the liquid film P L ; the second term represents the effect of gravity in the direction of the parallel liquid film; the third and fourth terms represent the viscous shear forces at the gas–liquid film and wall–film interfaces, respectively; and the fifth term represents the role of the momentum source q ˙ .

2.2.4. Collision and Fragmentation of Droplets

The liquid droplets move with the gas flow in the demister channel. Colliding with the wall surface, the liquid droplets may coalesce, bounce, and break splash. In this paper, a model using the energy loss coefficient κ as the criterion is applied [31], as follows:
When κ is larger than 57.7, the secondary droplet motion parameters of the splash need to be calculated due to the occurrence of the splash mechanism.
k = O h R e 1.25 R e = ρ d D d ν b n η d O h = γ d ρ d σ d D d
where κ is a dimensionless parameter and represents the degree of energy loss. The subscript d represents the physical parameters of the droplet, among which γ d is the viscosity of the droplet and σ d is the surface stress of the droplet.
  • When 0 < κ < 3, adhesion occurs.
  • When 3 < κ < 57.7, rebound occurs.
The velocity of the bounced liquid droplets is determined by the method of the liquid droplets impinging on the wall surface, as shown in Equation (9), as follows:
3.
When κ > 57.7, a splash occurs.
ν a t = 5 ν b t 7 ν a n = e ν b n e = 0.993 1.76 θ i + 1.56 θ i 2 0.49 θ i 3
For discussion and modeling convenience, we first make the following simplified assumptions for the splash model:
Liquid droplets that collide with the wall surface generate two sets of secondary drops with equal mass, and the diameter, velocity, and angle of each set of drops are the same. The two sets of secondary droplets splashing form an inverted cone, as shown in Figure 3.
The ratio of the splashing mass to the total incident mass is shown as follows:
r m = m s m i = 0.2 + 0.9 R N ( 0,1 )
where the subscript i is the incident droplet, and the subscript s is the splash droplet (which is the same in the following equation). RN(0,1) is a random number between 0 and 1, where it can be seen that r m may be greater than 1, which is also reasonable. When the droplet hits the liquid film on the wall, it may impact the liquid film and carry the droplet splash out. The size and number of the secondary droplets splashed can be determined by the following equation:
D a = C w D b N e j e c t = 0.187 W e b n 4.45 C w = r m N e j e c t 1 3
The diameter of the splashed secondary droplet can be obtained by the conservation of mass, as follows:
N 1 d 1 3 + N 2 d 2 3 = r m d i 3
The drop collision energy equation is given as follows:
m s V 1 2 + V 2 2 4 + π σ N 1 d 1 2 N 2 d 2 2 a = E k , s
where E k , s = E k E k , c is the splash energy; E k = 3 ρ d i 3 u n 2 + u τ 2 / 8 is the kinetic energy of the incident droplet; and E k , c = We c 2 / 12 π σ d i 2 is the critical splash energy.
The velocity of the secondary droplets in the two groups can be determined as follows:
V 1 V 2 ln d 1 d i ln d 2 d i
The angle after collision can be obtained from the tangential momentum conservation equation, as follows:
m s V 1 cos θ s 1 2 + m s V 2 cos θ s 2 2 = c f m i V cos θ i
where c f is the surface coefficient, and the value is 0.6~0.8. The angle is chosen as follows:
θ s 1 = θ i 3 + 0.344 π + R N 1,1 × π 18
The normal and tangential velocities of the two sets of droplets can be obtained as follows:
u 1 n = V 1 sin θ s 1 u 1 τ = V 1 cos θ s 1 u 2 n = V 2 sin θ s 2 u 2 τ = V 2 cos θ s 2
The efficiency η can be expressed by the ratio of the mass of the adsorbed droplets to the total mass of the droplets at the entrance.

2.3. Calculation Details

The gas–liquid two-phase flow process in the demister channel is an unsteady, viscous flow. Due to the limitation of calculation conditions, within the allowable error range, the model is reasonably simplified as follows, according to the actual situation: (1) the main gas flow can be regarded as a constant incompressible flow; (2) the water drop is used instead of the gypsum slurry droplet; and (3) it ignores the effects of temperature changes and the heat transfer during the process.

2.3.1. Grid Division

The mesh of the demister structure is discretized. The basic unit of the mesh is the hexahedron, and the near-wall surface is subjected to grid encryption. After grid independence verification, the two-dimensional model of the demister uses ICEM CFD 19.2 software as the preprocessor to mesh it. In the mainstream area, unstructured grids of consistent size are used for partitioning, with a size of approximately 2 mm. In the vicinity of the wall, it is necessary to consider droplet collision and liquid film flow, so the boundary layer mesh is encrypted. The final total number of grids is 45,000.

2.3.2. Calculation Conditions

The continuous phase medium is set as air with a density of 1.225 kg⁄m3 and a dynamic viscosity of 1.79 × 10−5 N·s/m2. It is assumed that the velocity of the gas phase is uniformly distributed at the inlet cross-section, u = 2~8 m/s; the turbulence intensity is 5%; the pressure outlet condition is applied; and the reference pressure is set to 0 Pa. The discrete phase medium is water droplets with a density of 1000 kg⁄m3, and the particle size is mainly concentrated in the range of 10~50 μm. The droplets are uniformly distributed on the inlet cross-section, and the initial velocity is consistent with the gas inlet gas velocity. This article applies trap and wallfilm types for the wall conditions, respectively. The former captures the droplets once they hit the wall, while the latter considers that, when the droplets hit the wall, the effects of re-entrainment are considered to analyze the interaction between the droplet and the wet liquid film on the wall. It is found that a liquid film is formed on the wall surface when adhesion occurs, and rebound and fragmentation occur with a larger incident angle and higher velocity.
In the above assumptions, the separation model is simplified into a two-dimensional model, as shown in Figure 2. The air passes through the inlet at a constant flow rate, and the droplets are evenly dispersed on the inlet surface, having the same initial velocity as the air. The wall surface is non-slip for air, and the behavior of the droplet after hitting the wall is calculated using a user-defined function. The exit is velocity-gradient-free. The simplified demister parameters mainly include plate spacing, turning angle, and plate height. When a certain demister whose structure is determined is working, the factors that greatly affect the defogging performance are droplet size and gas velocity. Thus, when analyzing the defogging performance, the test conditions are designed by the structural parameters and operating parameters. The main influencing factors considered in this paper and the specific values are shown in Table 1. Initially, the velocity in the basin is zero, and no droplets are present. When the calculation of the air converges, it is switched to the transient state. At the same time, liquid drops are injected into the inlet. The time step of the transient state is 0.2 s.
The method of calculating grid independence is as follows: we make several sets of calculation grids with different densities, perform calculations under the same working conditions, and consider the change rate of outlet velocity and pressure. When the grid density reaches a certain level, continuing to increase the grid density will have very little impact on the calculation results. At this time, it can be considered that the impact of the increase in the number of calculation grids on the calculation results can be ignored.
In order to verify the accuracy of the model and parameters used, this study conducts the simulation according to the structural and operating parameters in Ref. [32], with the angle set at 75° and the particle size at 50 μm. The comparison between the simulation results and the experimental data is shown in Figure 4. The good agreement between simulation and experiment indicates that the model and parameters used can be used to simulate the demister.

3. Calculation Results and Analysis

3.1. Flow Field Analysis in the Demister Channel

Figure 5, Figure 6 and Figure 7 have the following working conditions: plate spacing L = 40 mm, plate turning angle α = 90°, droplet diameter D = 40 µm, gas flow rate u = 2 m/s, 4 m/s, 5 m/s, velocity distribution map, pressure distribution map, and trajectory map of droplet tracking during calculation when the wall condition is trap model. In the demister channel, the gas flows perpendicularly to the inlet and then reaches the first turning point on the wall. Due to the blocked flow, the fluid continues to flow along the turn of the flow channel and then reaches the second turning point on the wall, and the flow is blocked again. Finally, it reaches the outlet after turning. The kinetic energy and pressure energy plus a small part of the lost energy are the total energy of the fluid. The kinetic energy and pressure energy are converted during the flow. Therefore, the velocity distribution diagram and pressure distribution diagram can represent the entire flow state of the fluid. From the velocity distribution cloud diagram in Figure 5 and the pressure distribution cloud diagram in Figure 6, the distribution of velocity and the pressure field in the demister channel is similar with different gas velocities. The velocity and pressure distribution of the inlet section of the demister is uniform, and the pressure is relatively high compared to that of other regions. It shows a downward trend of pressure in the flow process. On the contrary, the velocity shows an overall upward trend.
At the first turning point, the flow direction changes after the gas hits the wall. A small part of the liquid droplets carried by the gas impact the wall surface due to inertia and adhere to the wall surface to form a smaller range of liquid film. At the second turning point, the gas hits the upper wall surface and then turns. Some of the liquid droplets cannot follow the gas due to the large inertia, thereby forming a large-scale liquid film. Combining the velocity and pressure clouds, it can be seen that the area on the left side of the second turning point is a high-pressure, low-velocity area. The fluid flow is extremely unstable, the turbulent dissipation is large, and a backflow area is formed. The existence of the backflow area reduces the flow area, and the velocity will increase according to the continuity equation. After flowing through the turning area, the velocity decreases as the fluid area recovers. At the channel outlet, the velocity and pressure distribution are relatively uniform.
From the droplet trajectory diagram in Figure 7, it can be seen that when the droplet velocity is low, a considerable part of the droplet reaches the outlet to escape the flow channel. When the droplet velocity gradually increases, the droplet will hit the wall surface, causing most of the droplets to be captured. Therefore, within a certain range of variation, the greater the droplet velocity, the higher the defogging efficiency. At the first turning point, the droplets have good followability and are hard to capture. However, the droplets near the right wall surface can easily hit the wall surface and adhere to it, and the entrance position also has a certain effect on defogging efficiency. At the second turning point, most of the droplets with a low velocity cannot be captured and escape. However, as the velocity increases, most of the droplets are captured on the wall.

3.2. Analysis of Factors Affecting Defogging Efficiency

3.2.1. Effect of Gas Velocity

Figure 8 shows the relationship between the inlet gas velocity and the defogging efficiency when the plate turning angle α = 90°, the plate spacing L = 40 mm, and the droplet diameter D is between 10 and 50 µm. It can be seen that the relationship between the defogging efficiency and the flow velocity shows the general trend is increasing with different particle sizes. That is, the greater the gas velocity, the higher the separation efficiency. The problem of secondary carrying is not considered in the trap model, so the main reason is that the gas with high velocity collides with the wall, which causes the degree of deflection of the fluid to increase. Droplets farther from the wall hit the wall more easily. When they are caught by the wall, the efficiency increases.
In addition, when comparing the trend graphs of different droplet sizes, it can be seen that the efficiency is relatively low with small droplet sizes. However, the efficiency increases with bigger droplets. For example, the efficiency is close to 100% at a low velocity when the droplet diameter is 50 μm. When the free flow against the wall is blocked, the inertial force is also greater, because that larger droplet has greater inertia.

3.2.2. Effect of Plate Spacing

As shown in Figure 9, under the given conditions of the turning angle α = 90° and the fluid velocity u = 3 m/s, different droplet sizes (between 10 and 50 µm) are selected, and the plate spacing affects the defogging efficiency. Under different droplet sizes, the defogging efficiency generally decreases with the increase in the plate spacing. When there is more space between the plates, the fluid flow space increases. The degree of resistance and the deflection of the gas flow decrease when it hits the wall surface. Therefore, the droplets are less likely to have a large deflection and reach the wall surface. In addition, due to the larger width of the flow space, a considerable number of the liquid droplets keep a large distance from the collision wall surface during the flow process. Therefore, it takes more time for the liquid droplets to impact the wall surface under the action of inertia. Meanwhile, when the plate spacing increases, a small part of the gas flow in the middle of the inlet can directly flow to the outlet, and the carried droplets will escape from the outlet. As the plate spacing increases continuously, the share of unobstructed airflow in the middle is greater, and the defogging efficiency decreases continuously. It can be seen that the defogging efficiency is high when the plate spacing is small, while the plate spacing cannot be reduced infinitely. As the plate spacing decreases, the flow resistance increases. When the plate spacing reduces to a certain degree, it may cause blocked flow, causing safety issues with the demister.

3.2.3. Effect of Turning Angle

Figure 10 shows the relationship between plate turning angle and defogging efficiency in the case of plate spacing L = 30 mm, gas velocity u = 3 m/s, and droplet diameter D between 10 and 50 µm. It can be seen from Figure 10 that the defogging efficiency decreases as the plate turning angle increases. As the turning angle increases, the degree of bending of the demister channel decreases, and the angle change in the airflow direction decreases, which reduces the inertial force of the droplets. Therefore, more droplets follow the gas flow out of the channels, reducing the defogging efficiency. It can also be seen that the defogging efficiency with larger droplets decreases at a lower rate than the small-diameter droplets as the turning angle increases. The reason for this is that the centrifugal force is directly proportional to the diameter of the droplet. The inertia force of the small droplet is small, which makes the gas flow change direction more easily.

3.2.4. Effect of Droplet Size

Figure 11 shows the relationship between droplet diameter and defogging efficiency in the case of plate turning angle α = 90°, plate spacing L = 40 mm, and gas velocity u = 2~8 m/s. Under different gas velocities, the defogging efficiency increases with the droplet size, and the final efficiency increases to a higher level, which is caused by the large inertia of the droplets with large particle sizes. The impact force when the airflow hits the wall is not sufficient to carry large droplets. Due to the change in the direction of the airflow, the inertia of the droplet varies. The large inertia force causes the droplet to move until it hits the wall. In addition, droplets with greater diameters also have longer response times when they are in motion, and the followability is not good. When the fluid changes the flow direction quickly at the turning point, large droplets collide due to the existence of a certain response time. The wall surface helps to improve the defogging efficiency. When the droplet size is small, the defogging efficiency is maintained at a low level under different flow rates. At this time, the droplet size factor is dominant, which provides advice for the practical application of the demister. That is, it is extremely difficult for small droplets to separate. Some measures can be considered to increase the chance of small droplet polymerization.

3.3. Impact Analysis Based on Re-Entrainment Model

As in the trap wall conditions analyzed previously, the defogging efficiency remains close to 100% when the droplet size is large and the gas velocity is high. This is inconsistent with the actual situation. The probability of collision between the droplets increases with higher velocity and larger droplet size, and the large droplets may be crushed into smaller liquids when squeezed during the flow. In addition, when the liquid droplet collides with the wall surface with the airflow, it will interact with the wall surface and cannot be simply considered to be captured. When droplets collide with the wall surface, re-entrainment will occur. The droplets will bounce, spread, or splash after hitting the wall. Therefore, this paper also studies the wallfilm wall conditions to describe the above re-entrainment phenomenon. The simulation adopts the non-steady-state method. The simulation time is set to 10 s and the mass flow rate is 0.2. The relaxation factor is set to 0.4. The influence of different flow rates on the defogging efficiency under this model is studied.
As shown in Figure 12, under the given conditions of the turning angle α = 90° and the plate spacing L = 30 mm, when the gas velocity is 8 m/s, the droplets’ movement trajectory of the trap wall condition is analyzed. It can be seen that the droplets are all captured by the wall at the second turning point, and the defogging efficiency is close to 100%.
As shown in Figure 13, under the given conditions of the turning angle α = 90° and the plate spacing L = 30 mm, the liquid film formed under the wallfilm condition when the gas velocity is 8 m/s. The general characteristic presented by the wallfilm wall condition is consistent with the trap wall condition. The coloration of the liquid film is distinguished by the height of the liquid film. It can be seen that the thickness of the liquid film is greater on the right wall surface of the first turning point compared to that on the left wall surface of the second turning point. Then, the direction of movement is changed, which is consistent with the gas current turning situation described by the droplet trajectory diagram shown in Figure 12.
When the wall condition is set as a trap or wallfilm, a consistent flow characteristic in the plate channel is shown. However, the wallfilm model considers the re-entrainment, and the specific value of the defogging efficiency is different from the trap model. The specific diagram and analysis are as follows:
Figure 14 is a comparison diagram of the efficiency of the trap model and the wallfilm model under the conditions of plate spacing L = 40 mm, turning angle 90°, and incident gas velocity 4 m/s. It can be seen that the overall trends of the efficiency obtained by the trap model and the wallfilm model are the same when the droplet size changes. The efficiency under the two wall conditions is very close with low gas velocity, and the re-entrainment phenomenon is not obvious. When the gas velocity reaches a certain value, the phenomenon of secondary flow carrying is more obvious. The efficiency considering the secondary carry starts to decrease. The greater the gas velocity, the more efficiency decreases, which is very different from what occurs when the secondary carry is not considered.
In addition, when in a high gas flow velocity, the efficiency of the trap model is close to 100%, which is inconsistent with the actual situation. However, the efficiency of the wallfilm model decreases when the flow velocity is high, which is consistent with the phenomenon that the droplets will interact with the wall surface at a higher velocity.

4. Optimum Design of Demister Structure

When designing the parameters of the demister, it is expected to achieve a high separation efficiency under a suitable pressure drop. The response combination method is used to design the test combination. The method is used to find the relevant factors that affect efficiency and find three levels on each factor, such as the plate spacing, turning angle, and fluid velocity, which all have a large effect on efficiency. This determination is carried out in a three-factor, three-level experimental design. Then, according to the test combination, the efficiency of each group is obtained by numerical simulation, and the results are analyzed by response surface analysis to find the optimal design.

4.1. Introduction to Response Surface Method

RSM is a statistical experiment design. The experimental combination is designed with a certain method, and the continuous variable surface model is established from these test points. Finally, the impact factors and their interactions are evaluated to determine the optimal level range.
This paper adopts a quadratic response surface equation and considers the cross terms. The regression equation is given as follows:
Y = β 0 + i = 1 k β i i x i i 2 + i = 1 k β i x i + i < j k β i j x i x j + e x 1 , x 2 , , x k
where Y is the objective function or response; k is the number of influencing factors; e is the error; and βi, βii, and βij are the regression coefficients of the primary, secondary, and interaction terms, respectively.

4.2. Response Surface Test Design

In the design of the demister, the factors that affect the defogging efficiency are generally considered to be plate spacing, turning angle, gas velocity, and droplet size. It is necessary to design a reasonable experimental collocation to reduce the consumption of computer resources. The response surface method can be used to reduce the number of trials on the premise of ensuring the accuracy of the results. In this paper, a four-factor three-level BOX (Box-Behnken) design is adopted, and only 27 numerical simulations are required. The level of each factor range is selected, as shown in Table 2, and the modeling results are given in Table 3.

4.3. Analysis and Discussion of Optimization Design Results

The stepwise regression method used for selection quadratic polynomial regression equations is dealt with in DE design. For the analysis of variance of the statistical results, the model term p = 0.7860 > 0.05 shows that the ratio of the obtained equation to the abnormal error in the actual fit is small, and the relationship between y and the regression equation is consistent.
From the above statistical analysis results, it can be concluded that the response surface equation is as follows:
Y = 0.28254   + 0.00744722 x 1 + 0.023225 x 2 + 0.064154 x 3 0.19392 x 4 3.25 × 10 4 x 1 x 2 + 8.33333 × 10 6 x 1 x 3 + 1.18333 × 10 3 x 1 x 4 + 3.125 × 10 4 x 2 x 3 + 6.1 × 10 3 x 2 x 4 + 1.75 × 10 4 x 3 x 4 5.14815 × 10 5 x 1 2 3.43333 × 10 4 x 2 2 5.75833 × 10 4 x 3 2 0.012333 x 4 2
This equation ignores terms of degree three or higher because the coefficients of these terms are extremely small. The greater the absolute value of the coefficient from Equation (19), the greater the influence of this term on separation efficiency, so it can be determined that the importance of these variables is sorted as x4 > x3 > x2 > x1.
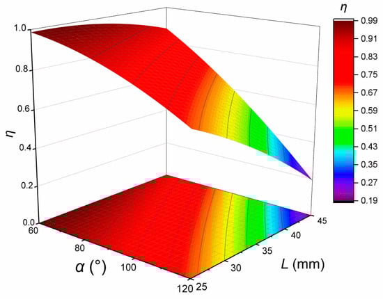
By performing a surface analysis on the above fitting results, a relationship diagram between the efficiency (η), the turning angle (α), and the plate spacing (L) can be obtained. A specific curved surface is shown in Figure 15, and an efficiency contour is shown in Figure 16. The droplet diameter (d) and the velocity (u) are set to 30 μm and 4 m/s, respectively. It can be seen that the defogging efficiency decreases as the turning angle increases and the plate spacing decreases. The characteristics can also be reflected in response surface analysis. When the turning angle and the plate spacing are the smallest, the efficiency is highest; moreover, when the turning angle and the plate spacing are the largest, the efficiency is the lowest. In addition, the response surface can show the influence of two factors on the efficiency of defogging.
The relationship between efficiency (η), turning angle (α), and fluid velocity (u) can also be obtained. A specific curved surface is shown in Figure 17, and an efficiency contour is shown in Figure 18. The plate spacing (L) and droplet diameter (d) are set to 35 mm and 30 μm, respectively. The defogging efficiency decreases as the turning angle increases, and the gas flow velocity decreases. The characteristics can also be reflected in the response surface method, and the effect of the two couplings on efficiency is clear and intuitive. From the efficiency curves shown in Figure 15 and Figure 17, it can be seen that the turning angle has a greater effect on efficiency. When the turning angle is 60°, its influence on efficiency is dominant. When the plate spacing or gas velocity changes, the efficiency is always maintained at a high level.
The response surface analysis method is adopted for the design of the demister so that an accurate and comprehensive defogging characteristic surface map can be obtained in a small number of experiments. Meanwhile, it can be known from the efficiency contour map and curved surface diagram that higher efficiency and smaller pressure drop are not limited to a certain point but have a certain value change range. Therefore, the same method can be used to perform response surface analysis on the pressure drop characteristics of the demister in order to obtain the influence of the interaction of various influencing factors on the pressure drop. By combining the surface graphs of efficiency and pressure drop, the two surfaces can be intersected to obtain the optimal design parameters. The optimized design of the demister based on the response surface method is relatively intuitive and comprehensive. Numerical simulation has a strong guiding effect on the actual optimization design of the demister.

5. Conclusions

In this paper, the mechanism of gas–liquid separation in the demister channel is analyzed. There are many collision mechanisms between the droplet and the wall surface. The SST κ-ω model is used to simulate the airflow in the baffle channel. The flow of droplet particles with air is simulated by DPM. After the droplet collides with the defogger surface, the rebound model and the wall liquid film model are used to calculate the droplet behavior. The effects of plate spacing, plate angle, droplet diameter, and flue gas velocity on the defogging efficiency are calculated and analyzed, and the mechanisms of each influencing factor are compared. Finally, the response surface method is used to design the test conditions, and it is applied to the optimal design of the demister. The main conclusions of this study are as follows:
(1) The increase in plate spacing will significantly reduce the removal efficiency of droplets with a particle size below 50 microns; the increase in plate angle will decrease the removal efficiency of all droplets; and the increase in droplet diameter and flue gas velocity will cause more droplets to adhere to the wall.
(2) The established regression model can reflect the characteristics of separation efficiency more accurately and can be used for the optimal design of the fog eliminator. The order of influence level of each influencing factor is as follows: inlet velocity, droplet diameter, plate spacing, and angle.

Author Contributions

Conceptualization, L.Z. and Z.Q.; funding acquisition, L.Z. and S.L.; investigation and visualization, F.F. and Z.Q.; methodology, F.F.; writing—original draft, Z.Q. and Y.T.; writing—review and editing, L.Z. All authors have read and agreed to the published version of the manuscript.

Funding

This research is funded by Jiangsu Oversea Research and Training Program for University Prominent Young and Middle-aged Teachers and Presidents, the Natural Science Foundation of the Jiangsu Higher Education Institutions of China, grant number 23KJB480005, and 2023 Beidou Scientific Research Program of Nanjing Polytechnic Institute, grant number NJPI-RC-2023-13.

Data Availability Statement

The data presented in this study are available upon request from the corresponding author.

Conflicts of Interest

The authors declare no conflicts of interest.

References

  1. Tao, J.; Zhang, H.; Zheng, X.; Lin, Z.; Zhu, Z. Study on the performance of a baffle demister for improving the separation efficiency of small droplets. Chem. Eng. Res. Des. 2023, 196, 118–132. [Google Scholar] [CrossRef]
  2. Zou, R.; Li, Z.; Luo, G.; Zhang, H.; Fang, C.; Wang, L.; Lyu, M.; Huang, Y.; Chen, S.; Li, X.; et al. Enhancement of selenium removal in coal-fired flue gas across wet flue gas desulfurization spray tower by internal components-part 1: Demister and wall ring. J. Clean Prod. 2024, 472, 143489. [Google Scholar] [CrossRef]
  3. Lim, J.; Cho, H.; Kim, J. Optimization of wet flue gas desulfurization system using recycled waste oyster shell as high-grade limestone substitutes. J. Clean Prod. 2021, 318, 128492. [Google Scholar] [CrossRef]
  4. Kong, F.; Ying, Y.; Lu, S. Heavy metal pollution risk of desulfurized steel slag as a soil amendment in cycling use of solid wastes. J. Environ. Sci. 2023, 127, 349–360. [Google Scholar] [CrossRef] [PubMed]
  5. Zhang, Z.; Shao, M.; Ling, X. Experimental study on the separation performance of a novel gas–liquid separator. Adv. Powder Technol. 2022, 33, 103795. [Google Scholar] [CrossRef]
  6. Lin, Y.; Setnickova, K.; Wang, D.K.; Chu, Y.; Sima, V.; Chiang, Y.; Uchytil, P.; Tseng, H. Innovative water-based dynamic liquid bubble membrane generation device for gas/vapour separation. Chem. Eng. J. 2022, 450, 138233. [Google Scholar] [CrossRef]
  7. Fang, S.; Mu, L. Heat and mass transfer analysis during gas-liquid separation in an evaporator device for desalination. Desalination 2020, 486, 114430. [Google Scholar] [CrossRef]
  8. Wang, M.; Wang, B.; Guo, X.; Zhang, J.; Chao, Z.; Wang, Y.; Lu, C.; Wu, Y.; Tian, R. Review on the steam-liquid separation in the steam generator of nuclear power plants. Ann. Nucl. Energy 2022, 175, 109207. [Google Scholar] [CrossRef]
  9. Ding, H.; Zhang, Y.; Sun, C.; Yang, Y.; Wen, C. Numerical simulation of supersonic condensation flows using Eulerian-Lagrangian and Eulerian wall film models. Energy 2022, 258, 124833. [Google Scholar] [CrossRef]
  10. Mullins, B.J.; Pfrang, A.; Braddock, R.D.; Schimmel, T.; Kasper, G. Detachment of liquid droplets from fibres—Experimental and theoretical evaluation of detachment force due to interfacial tension effects. J. Colloid Interface Sci. 2007, 312, 333–340. [Google Scholar] [CrossRef] [PubMed]
  11. Jia, Y.; Yang, M.; Bai, J.; Bu, S. Research on enhancing separation of ultra-fine droplets using turbulators between adjacent demister plates in WFGD systems. Can. J. Chem. Eng. 2024, 102, 3263–3285. [Google Scholar] [CrossRef]
  12. Yang, L.; Xu, M.; Wang, J.; Song, L.; Wang, J. Experimental and numerical analysis of a demister with vortex generators. Chin. J. Chem. Eng. 2021, 33, 83–95. [Google Scholar] [CrossRef]
  13. Zhou, Z.; Lu, J.; Ma, X. SO3/sulfuric acid mist removal in simulated flue gas: Multi-factor study based on two-film theory mass transfer process. Fuel 2024, 357, 129698. [Google Scholar] [CrossRef]
  14. Cao, R.; Ruan, R.; Tan, H.; Bai, S.; Du, Y.; Liu, H. Condensational growth activated by cooling method for multi-objective treatment of desulfurized flue gas: A full-scale study. Chem. Eng. J. 2021, 410, 128296. [Google Scholar] [CrossRef]
  15. Wang, J.; Ji, Z.; Liu, Z. Experimental and numerical investigation on the gas–liquid separation performance of a novel vane separator with grooves. Chem. Eng. Res. Des. 2022, 180, 306–317. [Google Scholar] [CrossRef]
  16. Li, S.; Wang, P.; Luo, X.; Wang, Y.; Yang, X.; Thakur, A.K.; Zhao, W. Numerical analysis of chevron demisters with drainage hooks in optimizing separation performance. Int. J. Heat Mass Transf. 2020, 152, 119522. [Google Scholar] [CrossRef]
  17. Xiang, Y.; Wu, D.; Yang, G.; Chen, Y.; Lyu, W. Pilot study on demister-based dust removal methods for boiler flue gas. Environ. Sci. Pollut. Res. 2023, 30, 37570–37578. [Google Scholar] [CrossRef] [PubMed]
  18. Huang, Y.; Zheng, C.; Li, Q.; Zhang, J.; Guo, Y.; Zhang, Y.; Gao, X. Numerical simulation of the simultaneous removal of particulate matter in a wet flue gas desulfurization system. Environ. Sci. Pollut. Res. 2020, 27, 1598–1607. [Google Scholar] [CrossRef] [PubMed]
  19. Liu, H.; Yang, F.; Tan, H.; Zhao, F.; Zhang, M.; Ruan, R.; Zhang, J.; Zhang, Z.; Qu, W. Industrial application and numerical simulation on discrete dynamics of fine particulate matters: Condensational growth, deposition and agglomeration. Chem. Eng. J. 2024, 488, 150999. [Google Scholar] [CrossRef]
  20. Liu, J.; Tomassone, M.S.; Kuang, X.; Zhou, S. Operation parameters and design optimization based on CFD simulations on a novel spray dispersion desulfurization tower. Fuel Process. Technol. 2020, 209, 106514. [Google Scholar] [CrossRef]
  21. Dong, J.; Chen, G.; Wang, W.; Fan, J.; Li, J.; Zhang, P. Falling film co-current flow cyclone demister for separating high-boiling droplets: Gas-liquid flow pattern and performance. Chem. Eng. Sci. 2022, 251, 117442. [Google Scholar] [CrossRef]
  22. Liang, Y.; Li, Q.; Ding, X.; Wu, D.; Wang, F.; Otsuki, T.; Cheng, Y.; Shen, T.; Li, S.; Chen, J. Forward ultra-low emission for power plants via wet electrostatic precipitators and newly developed demisters: Filterable and condensable particulate matters. Atmos. Environ. 2020, 225, 117372. [Google Scholar] [CrossRef]
  23. Naber, J.D.; Reitz, R.D. Modeling Engine Spray/Wall Impingement. SAE Pap. 1988, 97, 118–140. [Google Scholar]
  24. Gac, J.M.; Gradoń, L. Modeling of axial motion of small droplets deposited on smooth and rough fiber surfaces. Colloid Surf. Physicochem. Eng. Asp. 2012, 414, 259–266. [Google Scholar] [CrossRef]
  25. Fang, C.; Zou, R.; Luo, G.; Ji, Q.; Sun, R.; Hu, H.; Li, X.; Yao, H. CFD simulation design and optimization of a novel zigzag wave-plate mist eliminator with perforated plate. Appl. Therm. Eng. 2021, 184, 116212. [Google Scholar] [CrossRef]
  26. Farooq, M.; Ahmed, A.; Qureshi, K.; Shah, A.; Waheed, K.; Siddique, W.; Irfan, N.; Ahmad, M.; Farooq, A. Study of an improved and novel venturi scrubber configuration for removal of radioactive gases from NPP containment air during severe accident. Nucl. Eng. Technol. 2022, 54, 3310–3316. [Google Scholar] [CrossRef]
  27. James, P.W.; Azzopardi, B.J.; Wang, Y.; Hughes, J.P. A model for liquid film flow and separation in a wave-plate mist eliminator. Chem. Eng. Res. Des. 2005, 83, 469–477. [Google Scholar] [CrossRef]
  28. Park, K.; Watkins, A.P. Comparison of wall spray impaction models with experimental data on drop velocities and sizes. Int. J. Heat Fluid Flow 1996, 17, 424–438. [Google Scholar] [CrossRef]
  29. Zhu, H.; Xu, Z. Performance evaluation of a novel electrostatic-vane compound demister using numerical simulation. Powder Technol. 2023, 430, 118968. [Google Scholar] [CrossRef]
  30. Zhang, X.; Sun, F.; Chen, X. Research on water droplet interception mechanism of sheet-type drift eliminator based on three-dimensional transient numerical simulation. Energy 2024, 312, 133603. [Google Scholar] [CrossRef]
  31. Li, J.; Huang, S.; Wang, X. Numerical study of steam-water separators with wave-type vanes. Chin. J. Chem. Eng. 2007, 15, 492–498. [Google Scholar] [CrossRef]
  32. Zhao, J.; Jin, B.; Zhong, Z.; Sun, K. Simulation study of separation efficiency of demister vane based on response surface methodology. Proc. CSEE 2007, 27, 61–65. (In Chinese) [Google Scholar] [CrossRef]
Figure 1. Schematic diagram of droplet movement in wave plate.
Figure 1. Schematic diagram of droplet movement in wave plate.
Separations 12 00048 g001
Figure 2. Baffle demister plate configuration: (a) Schematic diagram; (b) Engineering appearance. The flow field of the demister is originally three-dimensional, but the regular structure can simplify it to two-dimensional flow. Entrances and exits are denoted by IN and OUT, respectively. The baffle plates are relatively parallel, and the spacing of the plates is L. The entry and exit segments are both H1 in length and H2 in distance from each other. The length of the middle segment is H3. The entrance section and the exit section are, respectively, connected with the middle section by a diagonal channel, and the angle between the two diagonal channels is α.
Figure 2. Baffle demister plate configuration: (a) Schematic diagram; (b) Engineering appearance. The flow field of the demister is originally three-dimensional, but the regular structure can simplify it to two-dimensional flow. Entrances and exits are denoted by IN and OUT, respectively. The baffle plates are relatively parallel, and the spacing of the plates is L. The entry and exit segments are both H1 in length and H2 in distance from each other. The length of the middle segment is H3. The entrance section and the exit section are, respectively, connected with the middle section by a diagonal channel, and the angle between the two diagonal channels is α.
Separations 12 00048 g002
Figure 3. Schematic diagram of droplets forming two types of secondary droplets against the wall. The dashed line is the normal direction of the wall.
Figure 3. Schematic diagram of droplets forming two types of secondary droplets against the wall. The dashed line is the normal direction of the wall.
Separations 12 00048 g003
Figure 4. Comparison of experimental data and simulation results.
Figure 4. Comparison of experimental data and simulation results.
Separations 12 00048 g004
Figure 5. Velocity distribution in the demister channel with different inlet flow rates: (a) 2 m/s; (b) 4 m/s; (c) 5 m/s.
Figure 5. Velocity distribution in the demister channel with different inlet flow rates: (a) 2 m/s; (b) 4 m/s; (c) 5 m/s.
Separations 12 00048 g005
Figure 6. Pressure distribution in the demister channel with different inlet flow rates: (a) 2 m/s; (b) 4 m/s; (c) 5 m/s.
Figure 6. Pressure distribution in the demister channel with different inlet flow rates: (a) 2 m/s; (b) 4 m/s; (c) 5 m/s.
Separations 12 00048 g006
Figure 7. Trajectory of droplet movement in demister channel with different inlet flow rates: (a) 2 m/s; (b) 4 m/s; (c) 5 m/s.
Figure 7. Trajectory of droplet movement in demister channel with different inlet flow rates: (a) 2 m/s; (b) 4 m/s; (c) 5 m/s.
Separations 12 00048 g007
Figure 8. Effect of gas velocity on defogging efficiency.
Figure 8. Effect of gas velocity on defogging efficiency.
Separations 12 00048 g008
Figure 9. Effect of plate spacing on defogging efficiency.
Figure 9. Effect of plate spacing on defogging efficiency.
Separations 12 00048 g009
Figure 10. Effect of plate turning angle on defogging efficiency.
Figure 10. Effect of plate turning angle on defogging efficiency.
Separations 12 00048 g010
Figure 11. Effect of droplet diameter on defogging efficiency.
Figure 11. Effect of droplet diameter on defogging efficiency.
Separations 12 00048 g011
Figure 12. Trajectory of droplet movement under trap wall conditions.
Figure 12. Trajectory of droplet movement under trap wall conditions.
Separations 12 00048 g012
Figure 13. Schematic of droplet stagnation time under wallfilm wall conditions.
Figure 13. Schematic of droplet stagnation time under wallfilm wall conditions.
Separations 12 00048 g013
Figure 14. Comparison of efficiency of trap and wallfilm for wall conditions.
Figure 14. Comparison of efficiency of trap and wallfilm for wall conditions.
Separations 12 00048 g014
Figure 15. Relationship between efficiency, turning angle, and plate spacing.
Figure 15. Relationship between efficiency, turning angle, and plate spacing.
Separations 12 00048 g015
Figure 16. Efficiency contour map determined by turning angle and plate spacing.
Figure 16. Efficiency contour map determined by turning angle and plate spacing.
Separations 12 00048 g016
Figure 17. Relationship between efficiency, turning angle, and fluid velocity.
Figure 17. Relationship between efficiency, turning angle, and fluid velocity.
Separations 12 00048 g017
Figure 18. Efficiency contour plot determined by angle and inlet velocity.
Figure 18. Efficiency contour plot determined by angle and inlet velocity.
Separations 12 00048 g018
Table 1. Calculation conditions.
Table 1. Calculation conditions.
Calculation VariablesParameter Value
Plate spacing (L)/mm25~45
Gas flow velocity (u)/m·s−12~8
Droplet diameter (D)/μm10~50
Turning angle (α)/°60~140
Table 2. Selection table of each factor range level.
Table 2. Selection table of each factor range level.
ElementsMinimumMaximum
Turning angle (°)60120
Plate spacing (mm)2545
Gas flow velocity (m/s)35
Droplet diameter (μm)1050
Table 3. Test combination for response surface design and efficiency.
Table 3. Test combination for response surface design and efficiency.
Experiment
Number
Turning Angle
(°), x1
Plate Spacing
(mm), x2
Droplet Diameter
(μm), x3
Gas Flow Velocity
(m/s), x4
Separation Efficiency
160351040.268
260353030.996
360355041
460253041
560353051
660453040.99
790353040.662
890351030.066
990253051
1090453030.39
1190355030.998
1290255041
1390451040.054
1490251040.142
1590355051
1690353040.642
1790253030.996
1890453050.638
1990353041
2090351050.054
2190455040.662
22120253040.588
23120351040.042
24120353030.27
25120355040.794
26120353050.416
27120453040.188
Disclaimer/Publisher’s Note: The statements, opinions and data contained in all publications are solely those of the individual author(s) and contributor(s) and not of MDPI and/or the editor(s). MDPI and/or the editor(s) disclaim responsibility for any injury to people or property resulting from any ideas, methods, instructions or products referred to in the content.

Share and Cite

MDPI and ACS Style

Zhang, L.; Qiao, Z.; Liu, S.; Feng, F.; Tang, Y. Numerical Simulation and Optimization Design of Demister Based on a Separation Model Considering Re-Entrainment Influence. Separations 2025, 12, 48. https://doi.org/10.3390/separations12020048

AMA Style

Zhang L, Qiao Z, Liu S, Feng F, Tang Y. Numerical Simulation and Optimization Design of Demister Based on a Separation Model Considering Re-Entrainment Influence. Separations. 2025; 12(2):48. https://doi.org/10.3390/separations12020048

Chicago/Turabian Style

Zhang, Lei, Zongliang Qiao, Shasha Liu, Fei Feng, and Youfei Tang. 2025. "Numerical Simulation and Optimization Design of Demister Based on a Separation Model Considering Re-Entrainment Influence" Separations 12, no. 2: 48. https://doi.org/10.3390/separations12020048

APA Style

Zhang, L., Qiao, Z., Liu, S., Feng, F., & Tang, Y. (2025). Numerical Simulation and Optimization Design of Demister Based on a Separation Model Considering Re-Entrainment Influence. Separations, 12(2), 48. https://doi.org/10.3390/separations12020048

Note that from the first issue of 2016, this journal uses article numbers instead of page numbers. See further details here.

Article Metrics

Back to TopTop