Experimental Study on the Separation of Lithium and Imidazolium Ions Using a Cation Exchange Membrane
Abstract
1. Introduction
2. Experimental Section
2.1. Equipment and Methods
- is the decrease in the concentration of Li+ in the feed chamber in each period, mol;
- is the decrease in the concentration of [Bmim]+ in the feed chamber in each period, mol;
- is the initial amount of Li+ in the feed chamber in each period, mol;
- is the initial amount of [Bmim]+ in the feed chamber in each period, mol.
2.2. Reagents and Materials
2.3. Analytical Methods
2.3.1. The Concentration of [Bmim]+
2.3.2. The Concentration of Li+
3. Results and Discussion
3.1. Comparison of Cation Exchange Membranes
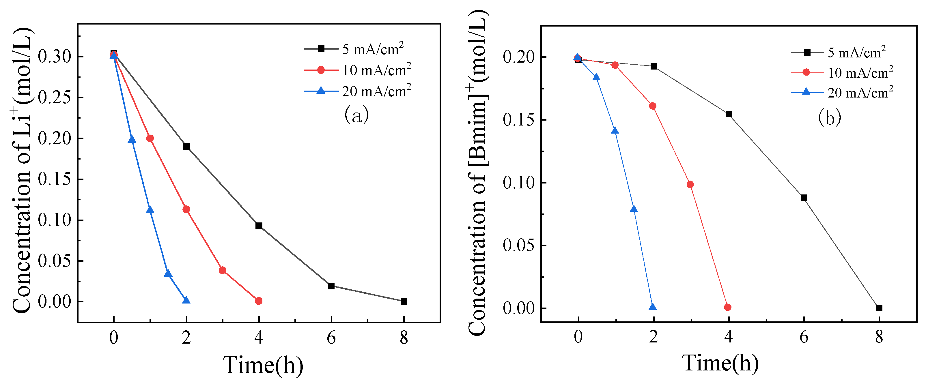
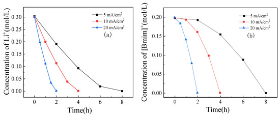
3.2. The Effect of Current Density
3.3. The Effect of Total Cation Concentration
3.4. The Effect of Temperature
3.5. The Effect of Anion Types
4. Conclusions
Author Contributions
Funding
Data Availability Statement
Conflicts of Interest
References
- Su, H.; Zhu, Z.; Wang, L.; Qi, T. Research progress in extraction and recovery of lithium from hard-rock ores. CIESC J. 2019, 70, 10–23. [Google Scholar]
- Shang, X.; Meng, Y.; Zhang, Q.; Yang, H. Lithium Extraction and Strategic Application of Lithium-rich Minerals. Conserv. Util. Min. Res. 2019, 39, 152–158. [Google Scholar]
- Qin, X.; Gao, X.; He, Y.; Xing, H.; Zhang, R. Recent advances in lithium extraction from salt lake brine using Ti-based ion sieve absorbent. J. Salt Lake Res. 2023, 31, 91–101. [Google Scholar]
- Zhu, H.; Bai, Y.; Zu, L.; Bi, H.; Wen, J. Separation of Metal and Cathode Materials from Waste Lithium Iron Phosphate Battery by Electrostatic Process. Separations 2023, 10, 220. [Google Scholar] [CrossRef]
- Wang, K.; Zhang, G.; Luo, M. Recovery of Valuable Metals from Cathode—Anode Mixed Materials of Spent Lithium-Ion Batteries Using Organic Acids. Separations 2022, 9, 259. [Google Scholar] [CrossRef]
- Chen, G.; Sun, X.; Zhang, X.; Wang, K.; Ma, Y. Progress of high-power lithium-ion batteries. Progress of high-power lithium-ion batteries. CJEE 2022, 44, 612–624. [Google Scholar]
- Luo, G. Application of High Performance Li ion Battery. Yunnan Chem. Technol. 2021, 48, 105–107. [Google Scholar]
- Smart, M.; Ratnakumar, B.; Whitcanack, L.; Chin, K.; Surampudi, S.; Byers, J.; Gitzendanner, R.; Puglia, F. Lithium-ion batteries for aerospace. IEEE Aerosp. Electron. Syst. Mag. 2004, 19, 18–25. [Google Scholar] [CrossRef]
- Golozar, M.; Paolella, A.; Demers, H.; Bessette, S.; Lagacé, M.; Bouchard, P.; Guerfi, A.; Gauvin, R.; Zaghib, K. In situ observation of solid electrolyte interphase evolution in a lithium metal battery. Commun. Chem. 2019, 2, 131. [Google Scholar] [CrossRef]
- Eliana, Q.; Piercarlo, M. Electrolytes for solid-state lithium rechargeable batteries: Recent advances and perspectives. Chem. Soc. Rev. 2011, 40, 2525–2540. [Google Scholar]
- Jin, Y.; Xue, Z.; Jiang, X.; Lu, N. Research Progress of Safety Protection of Lithium-ion Energy Storage Power Station. J. Zhengzhou Univ. Nat. Sci. Ed. 2023, 55, 1–13. [Google Scholar]
- Wang, Q.; Ping, P.; Zhao, X. Thermal Runaway Caused Fire and Explosion of Lithium Ion Battery. J. Power Sources 2012, 208, 210–224. [Google Scholar] [CrossRef]
- Garcia, B.; Lavallée, S.; Perron, G.; Michot, C.; Armand, M. Room temperature molten salts as lithium battery electrolyte. Electrochim. Acta 2004, 49, 4583–4588. [Google Scholar] [CrossRef]
- Cheng, H.; Nie, X.; Shen, Y. Performance of Piperidine Ionic Liquid Based Mixed Electrolyte in Li/LiCoO2 Cell. J. Electrochem. 2017, 23, 59–63. [Google Scholar]
- Yang, S.; Zhao, D.; Zhao, Y.; Zhai, J. Research progress of ionic liquid in lithium-ion batteries electrolyte. Chin. J. Power Sources 2016, 40, 912–914. [Google Scholar]
- Liu, K.; Wang, Z.; Shi, L.; Jungsuttiwong, S.; Yuan, S. Ionic liquids for high performance lithium metal batteries. J. Energy Chem. 2021, 59, 320–333. [Google Scholar] [CrossRef]
- Ahmed, F.; Rahman, M.M.; Sutradhar, S.C.; Lopa, N.S.; Ryu, T.; Yoon, S.; Choi, I.; Kim, J.; Jin, Y.; Kim, W. Synthesis of an imidazolium functionalized imide based electrolyte salt and its electrochemical performance enhancement with additives in li-ion batteries. J. Ind. Eng. Chem. 2019, 78, 178–185. [Google Scholar] [CrossRef]
- Papović, S.; Cvjetićanin, N.; Gadžurić, S.; Bešter-Rogač, M.; Vraneš, M. Physicochemical and Electrochemical Characterisation of Imidazolium Based IL + GBL Mixtures as Electrolytes for Lithium-Ion Batteries. Phys. Chem. Chem. Phys. 2017, 19, 28139–28152. [Google Scholar] [CrossRef]
- De Anastro, A.F.; Lago, N.; Berlanga, C.; Galcerán, M.; Hilder, M.; Forsyth, M.; Mecerreyes, D. Poly(ionic liquid) iongel membranes for all solid-state rechargeable sodium battery. J. Membr. Sci. 2019, 582, 435–441. [Google Scholar] [CrossRef]
- Liu, Y.; Hedin, N.; Jia, L.; Nie, Y. Studies on reaction kinetics and phase changes during the synthesis of ionic liquids using an in-situ low field MRI spectrometer. Chin. J. Chem. Eng. 2020, 20, 807–821. [Google Scholar]
- Wang, M.; Zhang, L.; Yang, M.; Hu, W. Synthesis and Preparation of [NH2 e-mim][BF4]. J. Wuhan Polytech. Univ. 2014, 2, 41–45. [Google Scholar]
- Liu, H.; Wei, X.; Li, J.; Li, T.; Wang, F. Review of Ionic Liquids Recycling. J. Cell. Sci. Technol. 2013, 21, 63–69. [Google Scholar]
- Docherty, K.M.; Kulpa, C.F., Jr. Toxicity and antimicrobial activity of imidazolium and pyridinium ionic liquids. Green Chem. 2005, 7, 185–189. [Google Scholar] [CrossRef]
- Horowitz, A.I.; Wang, Y.; Panzer, M.J. Reclamation and reuse of ionic liquids from silica-based ionogels using spontaneous water-driven separation. Green Chem. 2013, 15, 3414–3420. [Google Scholar] [CrossRef]
- Viboud, S.; Papaiconomou, N.; Cortesi, A.; Chatel, G.; Draye, M.; Fontvieille, D. Correlating the structure and composition of ionic liquids with their toxicity on Vibrio fischeri: A systematic study. J. Hazard. Mater. 2012, 215–216, 40–48. [Google Scholar] [CrossRef] [PubMed]
- Miao, S.; Shi, L.; Song, Z.; She, J.; Chen, X.; Wu, C.; Lu, X. Preparation of nanofiltration membranes with dually charged separation layer for Mg2+/Li+ separation. Membr. Sci. Technol. 2023, 43, 37–43. [Google Scholar]
- Luo, Q.; Dong, M.; Li, J.; Liu, Z.; Wu, Z.; Ye, X.; Huang, X.; Wang, X. Research Progress of Lithium Separation from Salt Lake Brine by adsorption method. Research Progress of Lithium Separation from Salt Lake Brine by adsorption method. J. Salt Lake Res. 2023, 31, 106–117. [Google Scholar]
- Li, X.; Mo, W.; Qing, W.; Shao, S.; Li, J. Membrane-based technologies for lithium recovery from water lithium resources: A review. J. Membr. Sci. 2019, 591, 117317. [Google Scholar] [CrossRef]
- Zhang, J.; Cheng, Z.; Qin, X.; Gao, X.; Wang, M.; Xiang, X. Recent advances in lithium extraction from salt lake brine using coupled and tandem technologies. Desalination 2023, 547, 116225. [Google Scholar] [CrossRef]
- Li, H.; Li, L.; Li, W. Lithium Extraction from Salt Lake Brine with High Mass Ratio of Mg/Li Using TBP-DIBK Extraction System. Separations 2023, 10, 24. [Google Scholar] [CrossRef]
- Liu, Y.; Zhu, R.; Srinivasakannan, C.; Li, T.; Li, S.; Yin, S.; Zhang, L. Application of Nanofiltration Membrane Based on Metal-Organic Frameworks (MOFs) in the Separation of Magnesium and Lithium from Salt Lakes. Separations 2022, 9, 344. [Google Scholar] [CrossRef]
- Zhang, X.; Zhang, J.; Su, H.; Qi, T.; Wang, L. Recovery of Lithium from Lithium Sulfate Precipitation Mother Liquor. Rare Met. 2022, 46, 67–77. [Google Scholar]
- Qin, Y.; Shi, C.; Wang, X.; Song, G.; Li, H.; Zhang, J. Study on scrubbing process of lithium extraction from brine in ionic liquid system. Inorg. Sal. Ind. 2020, 52, 55–58+106. [Google Scholar]
- Xin, W.; Fu, J.; Qian, Y.; Fu, L.; Kong, X.-Y.; Ben, T.; Jiang, L.; Wen, L. Biomimetic KcsA channels with ultra-selective K+ transport for monovalent ion sieving. Nat. Commun. 2022, 13, 1701. [Google Scholar] [CrossRef] [PubMed]
- Urano, K.; Kawabata, M.; Yamada, N.; Masaki, Y. Selectivity of ion transport in desalination by electrodialysis. Ind. Eng. Chem. Process Des. Dev. 1980, 19, 59–64. [Google Scholar] [CrossRef]
- Hayamizu, K.; Chiba, Y.; Haishi, T. Dynamic ionic radius of alkali metal ions in aqueous solution: A pulsed-field gradient NMR study. RSC Adv. 2021, 11, 20252–20257. [Google Scholar] [CrossRef] [PubMed]
- Kanj, A.B.; Verma, R.; Liu, M.; Helfferich, J.; Wenzel, W.; Heinke, L. Bunching and immobilization of ionic liquids in nanoporous metal–organic framework. Nano Lett. 2019, 19, 2114–2120. [Google Scholar] [CrossRef] [PubMed]
- Zhao, L.-M.; Chen, Q.-B.; Ji, Z.-Y.; Liu, J.; Zhao, Y.-Y.; Guo, X.-F.; Yuan, J.-S. Separating and recovering lithium from brines using selective-electrodialysis: Sensitivity to temperature. Chem. Eng. Res. Des. 2018, 140, 116–127. [Google Scholar] [CrossRef]
- Roy, Y.; Warsinger, D.M. Effect of temperature on ion transport in nanofiltration membranes: Diffusion, convection and electromigration. Desalination 2017, 420, 241–257. [Google Scholar] [CrossRef]
- Yamaguchi, T.; Ohzono, H.; Yamagami, M.; Yamanaka, K.; Yoshida, K.; Wakita, H. Ion hydration in aqueous solutions of lithium chloride, nickel chloride, and caesium chloride in ambient to supercritical water. J. Mol. Liq. 2010, 153, 2–8. [Google Scholar] [CrossRef]










| Membrane Type | Resistance (Ω·cm2) | Bursting Strength (MPa) | Thickness (mm) | Temperature (°C) | pH | Ion Exchange Capacity (meq/g) |
|---|---|---|---|---|---|---|
| N-117 | ≥28 (Tensile strength) | 0.175 | ||||
| CMB | 4.5 | ≥0.40 | 0.21 | ≤40 | 0~14 | 2.7~2.8 |
| CMX | 3.0 | ≥0.40 | 0.17 | ≤40 | 0~10 | 1.5~1.8 |
| CIMS | 1.8 | ≥0.10 | 0.15 | ≤40 | 0~10 | 2.0~2.5 |
Disclaimer/Publisher’s Note: The statements, opinions and data contained in all publications are solely those of the individual author(s) and contributor(s) and not of MDPI and/or the editor(s). MDPI and/or the editor(s) disclaim responsibility for any injury to people or property resulting from any ideas, methods, instructions or products referred to in the content. |
© 2024 by the authors. Licensee MDPI, Basel, Switzerland. This article is an open access article distributed under the terms and conditions of the Creative Commons Attribution (CC BY) license (https://creativecommons.org/licenses/by/4.0/).
Share and Cite
Xue, J.; Meng, X.; Wang, R.; Yuan, Z.; Zheng, W. Experimental Study on the Separation of Lithium and Imidazolium Ions Using a Cation Exchange Membrane. Separations 2024, 11, 123. https://doi.org/10.3390/separations11040123
Xue J, Meng X, Wang R, Yuan Z, Zheng W. Experimental Study on the Separation of Lithium and Imidazolium Ions Using a Cation Exchange Membrane. Separations. 2024; 11(4):123. https://doi.org/10.3390/separations11040123
Chicago/Turabian StyleXue, Jingyi, Xiang Meng, Runci Wang, Zhongwei Yuan, and Weifang Zheng. 2024. "Experimental Study on the Separation of Lithium and Imidazolium Ions Using a Cation Exchange Membrane" Separations 11, no. 4: 123. https://doi.org/10.3390/separations11040123
APA StyleXue, J., Meng, X., Wang, R., Yuan, Z., & Zheng, W. (2024). Experimental Study on the Separation of Lithium and Imidazolium Ions Using a Cation Exchange Membrane. Separations, 11(4), 123. https://doi.org/10.3390/separations11040123

