Abstract
This study tried to use electroflocculating precipitated waste to prepare a Si@Al adsorbent by simply mixing sodium silicate at a mass ratio of 4:1 and calcining at 200 °C for 2 h. The adsorbent was low cost, high efficiency, and could remove a variety of contaminants (organic pollutants, antibiotics, and metal ions) from water. In this study, adsorbent characterization and pollutant adsorption experiments were carried out. The results showed that: Si@Al adsorbent had uniform particles, distinct layers, a loose porous appearance, and the internal structure was scattered without a crystal structure. The optimal adsorption conditions for tetracycline were as follows: dosage of adsorbent 2.0 g/L, reaction time 10 min, pH = 4.5, and tetracycline removal rate of 97.13%. The optimal adsorption conditions for MB (MB stands for methylene blue) were an adsorption dosage of 4.0 g/L, a reaction time of 15 min, pH = 4.5–8.5, and a removal rate of 96.39%. The optimal adsorption conditions for Cu were a 2.0 g/L dosage of adsorbent, a reaction time of 30 min, a pH of 8.5, and a highest removal rate of 97.47%. It was worth noting that the effect of temperature on TC, MB and Cu was not significant. At the same time, the kinetic fitting results showed that the adsorption of MB was more consistent with the quasi-second-order kinetic model, with R2 ranging from 0.9788 to 1.0000. The adsorption of TC and Cu was more consistent with the quasi-first-order kinetic model, with R2 ranging from 0.9598 to 0.9999 and 0.9844 to 0.9988, respectively. According to the results of thermodynamics, kinetics and zero potential point, the adsorption of tetracycline and methylene blue was mainly a physical adsorption, multilayer heterogeneous or single-layer homogeneous adsorption process. The adsorption of Cu was categorized as multi-layer heterogeneous chemical adsorption. The co-existing substances had little effect on the properties of the adsorbent, and the adsorbent could be recycled 5 times. Compared with other adsorbents, the results showed that the adsorbents had obvious advantages in terms of the raw material source, preparation method, time cost and removal effect. This study provided a “waste into treasure, green and efficient” multi-pollutant adsorption method.
1. Introduction
With the development of industrialization and urbanization, more and more pollutants enter the water body. At present, the coexistence of multiple pollutants has become the normal state of water pollution [1]. The combined pollution of organic matter, new pollutants and heavy metals has become one of the typical pollution types. Organic pollutants are common pollutants in sewage; in particular, the organic matter content in aquaculture sewage is higher [2]. As a new pollutant, antibiotics have attracted much attention [3,4]. Of these, tetracycline (TC) has been widely used in agricultural production due to its good antibacterial property, broad-spectrum antibacterial property and low price [5,6]. However, antibiotics cannot be completely absorbed and degraded by passive objects, and about 30% to 90% of antibiotics are excreted from the body in maternal form or metabolic form and enter various surrounding environments [7]. Many studies have shown that the highest level of tetracycline antibiotics remains in sewage [3,4]. In addition, heavy metals have often been used in the aquaculture industry to promote animal growth, but the residual heavy metals enter various environmental media and form cumulative pollution. The heavy metal copper (Cu) has attracted people’s attention because of its high content, strong toxicity and difficult removal. In addition, Cu(II) has been associated with diseases of the human central nervous system, liver and kidney [8]. Up to now, the commonly used methods to remove antibiotics included adsorption, oxidation, membrane separation, biodegradation etc. [9]. At the same time, the harm of methylene blue can not be ignored. Methylene blue in wastewater may have a toxic effect on aquatic organisms, and its high residue will also cause serious consequences such as human shock, vomiting and tissue necrosis. The common methods for removing heavy metals include adsorption, chemical precipitation, ion exchange, membrane separation, etc., [10]. The common methods for removing methylene blue include adsorption, membrane separation, coagulation, sedimentation, evaporation, etc. It can be seen that the methods that can simultaneously remove antibiotics, heavy metals and MB mainly include the adsorption method and the membrane separation method. In contrast, the adsorption method is favored by people due to its advantages of low cost, simple operation and high removal rate [11]. This paper adopts the idea of “treating waste with waste” to solve problems associated with waste outlets. The adsorbent prepared from electroflocculating waste doped with a small amount of sodium silicate has a better adsorption effect than other adsorbents.
Adsorption materials commonly used in adsorption methods generally include carbon-based materials, metal–organic frameworks, mineral materials, mesoporous materials, etc., [12,13,14]. The metal material exhibits good performance, but the price is expensive. Due to their natural properties, mineral materials have a poor removal effect on some pollutants. Carbon-based materials have been extensively studied due to a wide range of material sources, but they still need to be modified to improve their efficiency, which may increase the cost [15]. Therefore, the search for cheap, simple and easy-to-use adsorbent materials has become an important field. Electroflocculating precipitation is one of the common wastes in the field of industrial water treatment. It mainly results from the gradual dissolution of an electroflocculating aluminum (Al) anode under the action of current and the hydrolysis, which forms a network of flocs with larger surface area and the combination of contaminated ions, and finally the formation of precipitation [16]. With the widespread application of electrochemical treatment technology, precipitated waste is produced in large quantities. The existing technology is usually landfill treatment, which not only increases the treatment cost but also causes secondary pollution to the environment. Therefore, determining how to use electroflocculating precipitated waste resources will be an important area of research.
In this study, the idea of “waste treating waste” was adopted. For the first time, electroflocculating waste doped with a small amount of sodium silicate was used as raw material to prepare Si@Al adsorption materials via calcination at 200 °C (Si@Al). The preparation process was simple and easy, green and offered environmental protection. It overcame the disadvantages of the complicated process, high cost and easy production of a large amount of toxic and harmful waste liquid. Moreover, the prepared adsorbents could efficiently remove antibiotics, organic matters and heavy metals in water, breaking through the limitation that the existing adsorbents can only act on certain pollutants. In this paper, the preparation conditions of Si@Al adsorbent were optimized, the adsorbent was characterized, and the removal effect of the adsorbent on three kinds of pollutants was studied. The adsorption mechanism was analyzed by combining kinetics and adsorption isotherm, the influence of co-existing substances on the adsorption effect was discussed and the number of cycles and ion percolation of the adsorbent were specified. Finally, the preparation method, reaction time, dosage and removal rate of the adsorbent Si@Al were compared with other reports. It was hoped that this study can provide a form of recycling, “turning waste into treasure, green and efficient” for industrial waste.
2. Materials and Methods
2.1. Reagent Consumables and Instruments
Reagent consumables: Tetracycline standard (TC, 98.5%), methylene blue (≥98%), Cupric nitrate Cu(NO3)2 (≥99.0%), HCl (36–38%), NaOH (≥98.0%), NaCl (≥99.5%), Na2SO4 (≥98.0%), Na2HPO4 (≥98.0%), methanol and acetonitrile (Chromatographically pure, Merck, Darmstadt, Germany), formic acid (chromatographically pure, Aladdin, Shanghai, China), citric acid and disodium hydrogen phosphate (analytically pure, aladdin), as well as disodium ethylenediamine tetraacetate and potassium dihydrogen phosphate (analytically pure, national medicine, Shanghai, China). Prime HLB solid phase extraction column (200 mg/6 mL, Waters, Taunton, MA, USA).
Instruments: Ultrapure water meter (Millipore, USA), High Performance Liquid Chromatography Series Mass Spectrometer (HPLC-TQD, Waters), Inductively coupled Plasma Mass Spectrometer (Agilent, 7500cx, California Santa Clara, CA, USA), Solid Phase Extraction device (Vac Elut 24, Agilent), nitrogen blowing device (N-LyTM 112, Organomation, Berlin, MA, USA), freeze dryer (TF-FD-27, Tian Feng, Beijin, China), Muffle furnace (XL-1200C, Jujing, Shanghai, China), Oscillating table instrument (ZHWY-2102C, Jingda, Tianjin, Cbina), low temperature and high speed centrifuge (H2050R-1, Xiangyi, Guangdong, China), ultrasonic cleaner (KH-300DE, Hechuang, Kunshan, China) and diaphragm vacuum pump (GM-0.33A, Jinteng, Tianjin, China).
2.2. Experimental Methods
2.2.1. Si@Al Preparation of Adsorbent
In this study, the preparation method of adsorbent is simple and easy, and mainly includes two steps: (1) Take a certain amount of dried electroflocculating precipitation waste and mix it with sodium silicate. The mass ratio is 0.5:1, 2:1, 4:1, 6:1, 10:1 and 20:1. (2) Place in Muffle furnace, calcined at 200 °C, 300 °C, 400 °C, 500 °C and 700 °C for 2 h, remove from the furnace after natural cooling to form Si@Al adsorbent with different compositions, then set aside.
2.2.2. Optimization Experiment of Preparation Conditions
According to the properties of adsorbents prepared under different conditions, methylene blue adsorption capacity evaluation is used, which is an effective means to evaluate the adsorption capacity of different materials. The reaction system was set as 5 mL, the initial concentration of methylene blue was 100 mg/L, the amount of adsorbent was 0.02 g, and the reaction time was 5 min after shaking at 100 rpm at 25 °C. The experiment was repeated three times for each group. The adsorption capacity of the material was determined by the final residual concentration in the solution.
2.2.3. Adsorption Experiment
In this study, three representative pollutants were selected: organic matter (represented by methylene blue), antibiotics and metal Cu. The reaction system was set to be 10 mL; the initial concentration of TC was set to be 2 mg/L, 5 mg/L, 10 mg/L and 20 mg/L. The initial concentration of MB was set to be 100 mg/L, 200 mg/L, 300 mg/L and 400 mg/L. The initial concentration of Cu was set to be 5 mg/L, 25 mg/L, 50 mg/L and 100 mg/L. The pH of the reaction solution was regulated by hydrochloric acid solution or sodium hydroxide. The whole reactor was placed in a constant-temperature shaker and the reaction temperature was set at 20 °C, 25 °C, 35 °C, 45 °C and 55 °C. Samples were taken at a certain interval, and the solution was filtered through a 0.45 μm filter membrane to determine the content of pollutants in the solution. All experiments were performed in duplicate to ensure the statistical reliability of the results.
The removal rate Y (%) and adsorption capacity qt (mg/g) are calculated as follows:
In the formula, C0 is the initial pollutant concentration of the solution (mg/L), Ce is the pollutant concentration at solution equilibrium (mg/L), V is the solution body (L), m is the mass of the adsorbent (g), qt is the adsorption capacity of the adsorbent on the pollutant (mg/g), and Y is the removal rate (%).
2.3. Analysis Method
An ultra-high-performance liquid chromatography–mass spectrometer was used for antibiotic testing. The mass spectrum was triple quadrupole tandem mass spectrometry, ESI + mode, and segmented collection. The mobile phase A consisted of 0.1% formic acid and B consisted of acetonitrile. The flow rate was 0.3 mL/min and the sample size was 5 μL. The gradient elution method was used to test the liquid phase. See the specific elution conditions and other parameters in the reference [17].
Furthermore, the concentration of Cu(II) remaining in the aqueous solution was determined using flame atomic absorption spectrometry (AAS, NOVAA-300, Jena, Germany) [18]. The morphology and elements of the samples were analyzed using a Scanning Electron Microscope (SEM, Guoyi, Hefei, China). The phase and crystal structure of the adsorbent were mainly tested using X-Ray Diffraction technology (X-ray Diffraction, XRD, Rigaku Ultimate Type IV, Tokyo, Japan).
3. Results and Discussion
3.1. Preparation and Characterization of Adsorbent
In the preparation part, methylene blue adsorption capacity was used as the index based on which to judge the adsorption capacity of the adsorbent. Figure 1A–C shows the operating conditions for preparing Si@Al adsorbent. Figure 1A shows the variation in the residual concentration of methylene blue in solution with the mass ratio of precipitate to sodium silicate. It can be seen from the figure that when the mass ratio of sediment waste to sodium silicate is 4:1, the adsorbent prepared has the best adsorption effect on methylene blue (the residual concentration in solution is the lowest). This may be because the proportion of sodium silicate is too high or too low to allow the adsorbent to form a good porosity. Figure 1B shows the effect of calcination temperature on the properties of Si@Al adsorbent. It can be seen from the figure that the adsorbent prepared has higher adsorption properties when the calcination temperature is 200 °C and 500 °C, and the adsorbent prepared at 200 °C has the best performance. Therefore, the choice of 200 °C as the calcination temperature of Si@Al conforms to the dual goals of “economic and environmental protection”. Figure 1C shows the effect of the mixed medium of precipitated waste and sodium silicate on the performance of the adsorbent. The results show that the adsorbent prepared by the direct mixing of the two raw materials (that is, in the air) has the best performance, followed by the adsorbent prepared by mixing the two materials in ethanol solution. This may be because ethanol is a volatile solvent and is volatilized at a low temperature, which does not affect the formation of holes. The properties of adsorbent prepared by mixing aqueous solution with surfactant Tween 80 are poor, which may be due to the existence of these two solvents causing partial dissolution of the compound and breaking the “holes” formed by the particle-type contact.
Figure 1.
Preparation conditions and characterization of Si@Al adsorbent. (A) Different mass ratio of precipitate to sodium silicate; (B) different calcination temperature; (C) different mixed media; (D) SEM of electrocoagulating precipitate waste; (E) SEM of Si@Al adsorbent; (F) XRD of Si@Al adsorbent.
The micromorphology of Si@Al adsorbent was characterized by scanning electron microscopy (SEM). As can be seen from the figure, the prepared adsorbent presents a uniform flower-like shape with uniform particle size, clear layers, and loose porosity, indicating that an obvious porous adsorbent appearance is formed (Figure 1E). This may be because sodium silicate can play a role in “making pores” during calcination. On the other hand, the original electroflocculating precipitated waste was irregularly granular, dense and had low porosity (Figure 1D). Figure 1F shows the XRD diffraction pattern of the phase and crystal structure of the adsorbent. The results show that neither the electroflocculating precipitated waste (black curve) nor the Si@Al adsorbent formed after calcination (red curve) have obvious characteristic diffraction peaks, indicating that the internal structure of the material is amorphous, which is because the two substances are very different in terms of their chemical properties, and the electronegativity is very different, so it is difficult to form chemical bonds between them, let alone to directly form compounds.
3.2. Adsorption Effect of Tetracycline
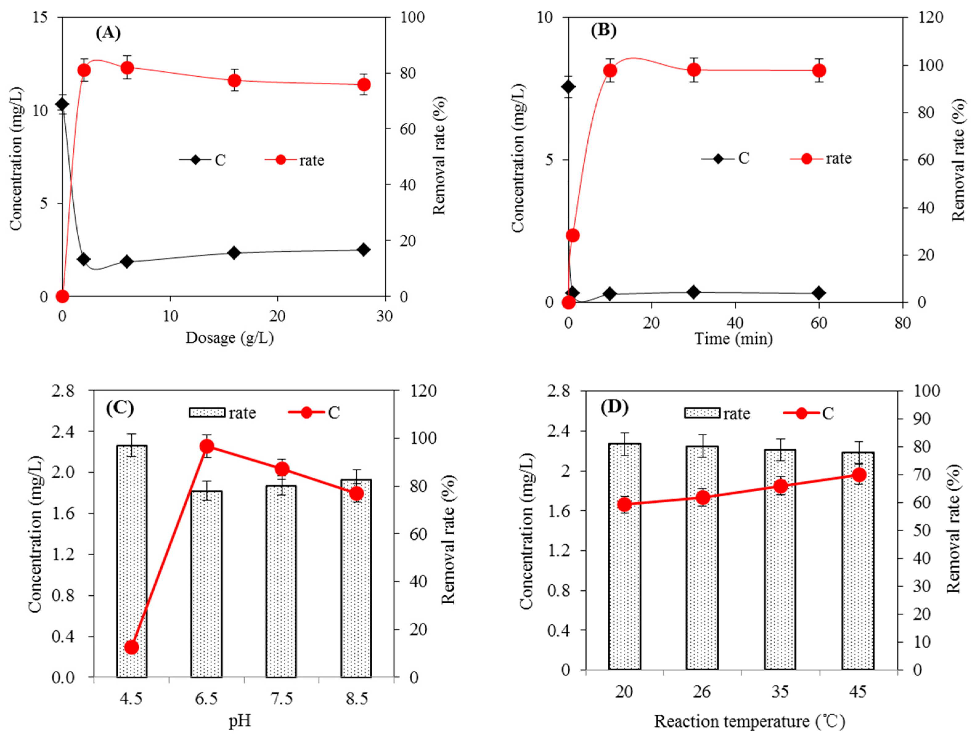
Figure 2 shows the adsorption effect of Si@Al adsorbent on tetracycline. According to Figure 2A, when the amount of adsorbents increased from 0 g/(5 mL) to 0.01 g/(5 mL), the removal rate of tetracycline increased to 80.93%, and the concentration of tetracycline in the solution decreased to 1.96 mg/L. However, when the amount of adsorbent was further increased, the removal rate of tetracycline no longer increased and the concentration in the solution no longer decreased; therefore, the optimal amount of adsorbent could be chosen to be 0.01 g/(5 mL) (equivalent to 2.0 g/L). Figure 2B shows the change law of tetracycline removal rate and concentration with time. It can be seen from the figure that when the reaction time was 10 min, the removal rate of tetracycline could reach 97.85%, which indicates that Si@Al could adsorb tetracycline very quickly, and the adsorption equilibrium could be reached within 10 min. According to the chart of tetracycline removal rate and concentration variation at different pH values (Figure 2C), the removal rate of tetracycline in slightly acidic solution was the highest (97.13%). Tang et al. [19] also showed in their study of Fe-Al bimetallic oxide ball milling-enhanced biochar adsorption of TC in water that pH affected the adsorption effect of TC, and the adsorption capacity reached the maximum when the solution was more acidic (pH = 5). This is because tetracycline is an amphoteric compound with 3 pKa, respectively, 3.3, 7.7 and 9.7. Tetracycline has different forms in solutions of different pH ranges. When 3.3 < pH < 7.7, the main form of tetracycline is TC0, which is a zamphoteric ion. When 7.7 < pH < 9.7 and pH > 9.7, the main forms of tetracycline are TC− and TC2−, respectively, in anion form [20]. As can be seen from Figure 2D, temperature increase was conducive to the adsorption of tetracycline by Si@Al adsorbent, but temperature had little effect on the tetracycline removal rate.
Figure 2.
The adsorption effect of Si@Al adsorbent on tetracycline. (A) Adsorbent dosage; (B) reaction time; (C) pH value; (D) reaction temperature.
3.3. Adsorption Effect on Methylene Blue
Figure 3 shows the adsorption effect of Si@Al adsorbent on methylene blue. As could be seen from Figure 3A, when the dosage of adsorbent was 2.0 g/L, the removal rate of MB was 56.01%. However, when the dosage of adsorbent was further increased to 4.0 g/L, the removal rate of MB increased to 90.77%. When the amount of adsorbent was further increased, the removal rate of MB was not significantly increased, and the residual concentration in the solution was no longer reduced, so the best dosage of adsorbent could be selected as 4.0 g/L. Figure 3B shows the change law of MB removal rate and concentration over time. It can be seen from the figure that when the reaction time was 5 min, the MB removal rate could reach 77.33%, and when the reaction time continued to increase to 15 min, the MB removal rate increased to 96.39%. It can be seen that the adsorbent could complete the adsorption of MB in about 15 min. According to the chart of MB removal rate and concentration variation at different pH values (Figure 3C), it can be seen that pH value had no obvious effect on the MB removal rate, and the removal rate was stable in the range of pH = 4.5–8.5. As can be seen from Figure 3D, the temperature increase was not conducive to the adsorption process of MB by Si@Al adsorbent. When the temperature increased from 25 °C to 55 °C, the removal rate of MB decreased from 95.35% to 87.46%.
Figure 3.
The adsorption effect of Si@Al adsorbent on Cd. (A) Adsorbent dosage; (B) reaction time; (C) pH value; (D) reaction temperature.
3.4. Adsorption Effect on Metal Cu
Figure 4 shows the adsorption effect of Si@Al adsorbent on heavy metal Cu. As can be seen from Figure 4A, when the dosage of adsorbent increased from 0 g/L to 1.0 g/L, the removal rate of Cu increased to 65.39%. However, when the dosage of adsorbent was further increased to 2.0 g/L, the removal rate of Cu reached 91.74%, so the best dosage of adsorbent could be 2.0 g/L. Figure 4B shows the change law of Cu removal rate and concentration with time. It can be seen from the figure that when the reaction time was 10 min, the Cu removal rate rapidly rose to 88.06%, and when the reaction time increased to 30 min, the Cu removal rate could increase to 96.74%. Yin et al. [18] showed that the absorption of Cu by magnetic microspheres and modified Chitosan reached equilibrium around 50 min, and the removal rate could reach 97.1%. Figure 4C shows the influence of different pH values on the removal rate of Cu. Alkaline pH value was conducive to the removal of Cu. When the pH was 8.5, the removal rate of Cu was at its highest (97.47%). This may be because in a low pH environment, Cu mainly exists in the form of Cu(II), and the surface of the adsorbent was also easy to protonate, so the two had a repulsive effect, which affected the adsorption effect, which was consistent with the research conclusion of Yin et al. [18]. As can be seen from Figure 4D, a temperature increase was conducive to the adsorption of Cu by Si@Al adsorbent, but temperature had little effect on the Cu removal rate.
Figure 4.
The adsorption effect of Si@Al adsorbent on Cu. (A) Adsorbent dosage; (B) reaction time; (C) pH value; (D) reaction temperature.
3.5. Adsorption Model Simulation
3.5.1. Quasi-First-Order Kinetic Equation
In order to study the adsorption kinetics of TC, MB and Cu by Si@Al adsorbent, kinetic fitting of the adsorption data was performed according to the following quasi-first-order kinetic Equation (1) [21]:
where qt is the adsorption amount of pollutants at time t (min), (mg/g); k1 is the rate constant of the first-order reaction, (min−1). When the boundary conditions t = 0 to t > 0 (q = 0 to q > 0), the following equation can be transformed:
The obtained quasi-first-order fitting kinetic parameters are shown in Table 1. It is generally believed that the closer R2 is to 1, the more consistent the model is with the experimental results. The results show that the R2 fitted by the quasi-first-order kinetic models of the three pollutants ranges from 0.9598 to 0.9999, indicating that the adsorption of TC, MB and Cu by Si@Al adsorbent conforms to the first-order kinetic adsorption. In general, the correlation coefficient TC of quasi-first-order kinetic simulation is (0.9598–0.9999). The correlation coefficient MB of quasi-first-order dynamic simulation is (0.9860–1.0000). The correlation coefficient Cu of quasi-first-order kinetic simulation is (0.9844–0.9988).
Table 1.
First-order kinetic parameters of adsorption of different pollutants by Si@Al adsorbent.
3.5.2. Quasi-Second-Order Kinetic Equation
The kinetic fitting process of quasi-second-order kinetic Equation (3) to the adsorption data is as follows [21]:
where k2 is the second-order reaction rate constant g·(mg/min), which can be transformed into the following equation:
After fitting, the obtained quasi-second-order kinetic parameters are shown in Table 2. For TC, the correlation coefficients of quasi-second-order kinetic fitting range from 0.9166 to 0.9884. The correlation coefficients of second-order dynamic fitting for MB range from 0.9788 to 1.0000. The correlation coefficients for second-order kinetic fitting of Cu range from 0.6347 to 0.9960. In general, the adsorption of MB by Si@Al is more consistent with the quasi-second-order kinetic model, while the adsorption of Cu and TC is more consistent with the quasi-first-order kinetic model, especially at a concentration of 100 mg/L; the second-order kinetic simulation coefficient is only 0.6347.
Table 2.
Second-order kinetic parameters of adsorption of different pollutants by Si@Al adsorbent.
3.5.3. Adsorption Isotherm
In this paper, Freundlich and Langmuir models were further fitted to the adsorption process, so as to better understand the internal mechanism of Si@Al adsorption of pollutants. It is reported that the Freundlich model is about the multi-layer physical adsorption process on an inhomogeneous surface, while the Langmuir model is about the adsorption process on a single homogeneous surface [22]. Freundlich model Equation (5) and Langmuir model Equation (6) are expressed as follows:
where qe is the equilibrium adsorption capacity of Si@Al (mg/g). Ce is the concentration of pollutants in the solution at adsorption equilibrium (mg/L); KF is the Freundlich model constant; n is the adsorption strength constant. KL is the Langmuir model constant and qm is the saturated adsorption capacity (mg/g).
Table 3 shows the fitting results of the Freundlich and Langmuir models. The results show that both the Freundlich model and the Langmuir model can fit the experimental results well. The correlation coefficient of Freundlich model fitting is 0.9569–0.9933, and the correlation coefficient of Langmuir model fitting is 0.94444–0.9632. This indicates that there is physical adsorption of Si@Al adsorbent on the three pollutants, which is consistent with the results reported by most studies [23]. In comparison, the experimental data for the adsorption of TC and MB at Si@Al are more consistent with the Freundlich model, while the experimental data for the adsorption of Cu are more consistent with the Langmuir model. The results show that when the Freundlich model constant 1/n < 2, adsorption is more likely to occur, while when the constant 1/n > 2, adsorption is more difficult to occur. In Table 3, the Freundlich model constant of MB is 1/n > 2, the results indicate that the multilayer adsorption of MB on Si@Al is difficult to achieve, and the adsorption process may be mainly single-layer adsorption, while the adsorption of Si@Al on TC and Cu may occur on an uneven surface.
Table 3.
Adsorption isotherm fitting parameters for different pollutants adsorption on Si@Al adsorbent.
3.5.4. Adsorption Thermodynamics
The thermodynamic parameter enthalpy change (ΔH, kJ/mol), entropy change (ΔS, J/mol·K) and Gibbs free energy change (ΔG, kJ/mol) were analyzed to further validate the properties of the adsorbent during adsorption. The three thermodynamic parameters are calculated according to Formulas (7)–(9), respectively:
where (8.314 kJ/mol·K) is the ideal gas constant. is the absolute temperature. is the adsorption coefficient at different temperatures obtained using the Langmuir parameter (L/mg). is the concentration of water (mg/L).
Table 4 shows the thermodynamic parameters of the adsorption process of TC, MB and Cu by Si@Al adsorbent at temperatures of 25 °C, 35 °C and 45 °C. The results show that the values of ΔG < 0 for the three pollutants indicate that the adsorption process of the three pollutants was spontaneous. In this study, ΔS < 0, ΔH < 0 of TC indicated that the chaos of the system decreased with the progress of the reaction, and it was an exothermic process. The ΔS > 0 and ΔH > 0 of MB indicated that the chaos of the system increased with the progress of the reaction and was an endothermic process. The ΔS > 0 and ΔH < 0 of Cu indicated that the chaos of the system increased with the progress of the reaction, but the reaction process was exothermic. These results showed that the Si@Al adsorbent was a spontaneous process for TC, MB and Cu, and the reaction to TC and Cu was exothermic, while the reaction to MB was endothermic. At the same time, for MB and Cu, entropy was increased, but for TC, entropy was decreased.
Table 4.
Thermodynamic parameters of each adsorption process at different temperatures.
3.6. Adsorption Mechanism
Based on the analysis in the above chapters, the adsorption mechanism of Si@Al adsorbent on tetracycline and heavy metal is deduced, as shown in Figure 5A,B. In general, the adsorption mechanism of the adsorbent on tetracycline and heavy metal is different. Si@Al adsorption of tetracycline by adsorbent is a multi-layer heterogeneous adsorption process dominated by physical adsorption, while the adsorption of MB is dominated by single layer. In this process, there are various interactions between adsorbent and tetracycline molecules, including electrostatic attraction, hydrogen bonding, π bonding and pore filling (Figure 5A). To be specific, the removal rate of tetracycline and MB decreased with the higher temperature, indicating that this adsorption may belong to exothermic reaction, which is the manifestation of physical adsorption. The adsorption isothermal simulation results show that this process is a multi-layer heterogeneous adsorption. For porous materials, pore filling is an important mechanism, which has been reported by many researchers [24]. In addition, because tetracycline and methylene blue have a benzene ring π bond and a hydrogen bond, it is easy to produce a chemical hydrogen bond with the adsorbent. The ionization of TC and MB molecules in aqueous solution carries a charge and tends to generate electrostatic attraction between adsorbents.
Figure 5.
The mechanism of different pollutants’ adsorption by Si@Al adsorbent. (A) Tetracycline adsorption mechanism; (B) heavy metal adsorption mechanism.
The schematic diagram of the adsorption mechanism of Si@Al adsorbent for heavy metals is shown in Figure 5B. Temperature had a positive effect on the adsorption of Cu, indicating that the process was mainly endothermic chemisorption. The adsorption isothermal simulation results showed that the adsorption of Cu was a multilayer heterogeneous adsorption behavior. On the whole, the interaction between the adsorbent and metal ions may involve complexation, ion exchange, electrostatic interaction and surface precipitation. Specifically, due to the existence of a large number of lone pair electrons in oxygen atoms, electrons are easily transferred or shared with the empty orbital of the target metal ion, thus forming a new coordination bond. Combined with the results of quasi-second-order kinetic adsorption, the complexation between surface oxygen-containing functional groups and metal ions is the main mechanism of removing heavy metal ions from aqueous solution. The results of the Al3+ ion percolation experiment (see Section 3.8) and EDS showed that the content of aluminum on the surface of the material decreased, which confirmed that there may be cation exchange during the adsorption process. Because the surface of the adsorbent has a negative charge, there is electrostatic interaction with positive ions. For MB or Cu in aqueous solution, it is easy to form a precipitate with OH− or CO32− on the surface of the adsorbent, and there is surface deposition.
3.7. Effects of Co-Existing Substances
There are many inorganic ions or organic substances in the actual sewage, which may compete with the target pollutants and occupy the adsorption sites, thus affecting the adsorption effect of the adsorbents on the target pollutants. Therefore, this study investigated the effects of inorganic ions and organic substances on the removal rates of the three target pollutants, respectively, as shown in Figure 6. On the whole, the effect of co-existing substances on the removal rate of the three target pollutants was not very obvious. For NaCl, 0.1 mmol/L concentration of NaCl slightly increased the removal rate of tetracycline, which may be because with the increase in ionic strength, on the one hand, the electrostatic repulsion force was shielded and the adsorption capacity was enhanced. On the other hand, the salt-out effect may have promoted the diffusion of pollutants to the surface of the adsorbent material, and the final removal rate was improved [25]. However, when the concentration of NaCl increased further, the removal rate of the target substance decreased slightly, which may have been caused by the competition of adsorption sites. For Na2HPO4 and Na2SO4, because the anion charge was higher than Cl−, the adsorption site competition was intensified, so the removal rate of the target pollutants was slightly reduced. For organic matter, it had no significant effect on the removal rate of target pollutants, and it was slightly increased under certain concentration conditions, which may be because organic matter had a certain hydrophobic effect and could only attract inorganic adsorbents through π bond [26]. Therefore, the coexistence of organic matter had little influence on the adsorption effect of inorganic pollutants. Tang et al. [27] also showed that sodium ion did not affect the adsorption of TC, but humic acid promoted the adsorption capacity of TC.
Figure 6.
Influence of different co-existing substances on pollutants removal. (A) Effects of coexisting substances on TC; (B) effects of coexisting substances on MB; (C) effects of coexisting substances on Cu.
3.8. Recycling of Adsorbent and Ion Percolation
The recycling of adsorbent is an important index used to evaluate the efficiency of adsorbent. In this study, the re-calcination method was used to regenerate adsorbent without using organic or inorganic eluent, which can effectively avoid the production of a large amount of waste liquid. As can be seen from Figure 7, the adsorption performance of Si@Al catalyst decreased to a certain extent after repeated use, especially after the adsorption of tetracycline. This may be because adsorbent particles will form caking with repeated calcination during the process of multiple calcination. As a result, its adsorption properties were also reduced. The adsorption performance of heavy metal ions decreased less after the regeneration of the adsorbent, which may be because there was a strong deposition of heavy metals on the surface of the adsorbent, but the pore filling effect was not very obvious, so the caking phenomenon had a relatively small effect on the performance of the adsorbent. Up to now, some researchers have focused on the regeneration properties of adsorbed materials. For example, Tang et al. [27] showed that modified activated carbon adsorbed TC with sodium hydroxide had the best regeneration effect, and the removal rate decreased by 8.60% after five cycles of use. Similar to the results of this study, the performance of the adsorbent declined after the fifth cycle of use, so it was recommended that Si@Al adsorbent be used for five cycles in this study. At present, the number of recycling of various adsorbents is very different. Safardastgerdi et al. [28] showed that a significant decline was observed after cycle 3 when using lignocellulosic biomass functionalized with EDTA dianhydride to remove Cu2+ from wastewater. However, the polydopamine nanofibers mat prepared by Jian et al. [29] still had adsorption stability after 10 uses.
Figure 7.
Si@Al The effect of the number of cycles of the adsorbent.
The ion percolation of adsorbents is also a problem that has been gradually paid attention to. Although the adsorbents in this study did not contain highly toxic components, we tracked and tested the ion percolation in the solution after each group of tests. Results showed that Al3+ percolated into the solution, and the concentration of Al3+ percolates ranged from 4.37 mg/L to 11.36 mg/L (Figure not shown). The percolation amount increased especially after the adsorption reaction in the acidic solution, which may be because the acidic solution had a certain corrosive effect on the catalyst. The prefiltration concentration of silicon was 0.35 mg/L to 0.42 mg/L (measured in SiO2), which may be because silicon struggles to exist in ionic form, usually forming strong chemical bonds with other elements, and therefore is difficult to release.
3.9. Comparison with Existing Literature
At present, the research on the removal of antibiotics and heavy metal ions by adsorbents is very rich, and the research focus is mainly on the development of different types of adsorbents. Table 5 provides a detailed comparison of the types of adsorbents, preparation conditions, experimental conditions, and removal effects on target substances in different studies. From the source of raw materials, the use of industrial solid waste in this study not only has zero cost, but also reduces the pressure of solid waste treatment in enterprises and produces environmental effects. As shown by the preparation method, most of the existing adsorbent preparation process is lengthy and will use a variety of other compounds, greatly increasing the cost of the agent. Usually, the calcination temperature is high (450–800 °C), and nitrogen relief or a large amount of water washing will be used, which not only wastes resources but also increases the time cost. In addition, the amount of adsorbent in this study was 1 g/L, which was basically consistent with the amount of adsorbent in other studies (0.5 g/L). From the perspective of reaction time, the adsorbent in this study realized the adsorption process of antibiotics and heavy metal ions within 30 min, while some studies required several hours to complete the adsorption of pollutants. Therefore, this adsorbent has the advantage of time cost. In terms of removal efficiency, the Si@Al adsorbent in this study also has a good effect, which is significantly higher than the adsorption efficiency in some studies [30].
Table 5.
Comparison of Si@Al adsorbents with those reported in other literatures.
4. Conclusions
An interesting, simple and feasible preparation method of Si@Al adsorbent was conducted by electroflocculating precipitated waste. The following conclusions were obtained.
The ratio of sodium silicate and electroflocculating precipitated waste was 1:4, and then calcination at 200 °C to obtain the best performance of the Si@Al adsorbent. The prepared adsorbent particles were nanometers and clearly layered, and the internal results showed amorphous diffraction. Si@Al adsorbent had good adsorption properties for TC, MB and Cu. Its dosage was small (1.0–4.0 g/L), its adsorption time was short (10–30 min), its adsorption efficiency was high (>95%) and its pH application range was wide (4.5–8.5). The adsorption of tetracycline and methylene blue by adsorbents was a physical adsorption, multi-layer heterogeneous (TC) and single-layer homogeneous (MB) adsorption process. The adsorption of Cu was dominated by multi-layer heterogeneous chemical adsorption behavior. The performance of the adsorbent was less affected by inorganic ions and organic matter, and the concentration of harmful ions in the leachate was low. The adsorbent could be reused five times after regeneration. Through comparison, the adsorbent had obvious advantages in the preparation process, time cost, economic benefit and removal effect. The highest tetracycline removal rate was 97.13%, the maximum removal rate of MB was 96.39% and the removal rate of Cu was up to 97.47%. Compared with similar experiments, the results show that Si@Al adsorbent has a better adsorption effect on MB and Cu. If sodium alginate or microcrystalline cellulose composite hydrogel (SA/MCC) is used as adsorbent to adsorb MB, the maximum adsorption is 95%. The adsorption effect of Si@Al adsorbent on MB was up to 96.39%. The adsorption effect of magnetic microspheres and modified chitosan adsorbents on Cu is 97.1%, and the adsorption effect of Si@Al adsorbents on Cu is up to 97.47%. This could allow the goal of successfully implementing “waste utilization, waste into treasure, economic and efficient” processes to be achieved.
Author Contributions
Writing—original draft preparation, X.X. and S.Z.; original draft revision, X.X., S.Z. and C.-C.C.; data processing, X.X. and J.L.; experimental and software operation, X.X., J.L. and Y.C.; experimental method, X.X., H.W. and Y.C.; financial support and project execution, S.Z. and K.Z. All authors have read and agreed to the published version of the manuscript.
Funding
The study was funded by the National Key Research and Development Program of China (2023YFD1702004) and Innovation Project of Chinese Academy of Agricultural Sciences (Agro-Environmental Protection Institute, Ministry of Agriculture and Rural Affairs).
Data Availability Statement
The data presented in this study are available in the manuscript.
Conflicts of Interest
The authors declare no conflicts of interest.
References
- Huang, D.; Wu, J.; Wang, L. Novel insight into adsorption and co-adsorption of heavy metal ions and an organic pollutant by magnetic graphene nanomaterials in water. Chem. Eng. J. 2019, 358, 1399–1409. [Google Scholar] [CrossRef]
- Guale, A.B.; Teshome, L.T.; Ahmed, O.Z.; Juyong, G.; Jaebeom, L.; Kedir, F.S. Microwave-assisted synthesis of rGO-ZnO/CuO nanocomposites for photocatalytic degradation of organic pollutants. Crystals 2023, 13, 133. [Google Scholar]
- Zhang, K.; Ruan, R.; Zhang, Z. An exhaustive investigation on antibiotics contamination from livestock farms within sensitive reservoir water area: Spatial density, source apportionment and risk assessment. Sci. Total Environ. 2022, 847, 157688. [Google Scholar] [CrossRef]
- Zhi, S.; Shen, S.; Zhou, J.; Ding, G.; Zhang, K. Systematic analysis of occurrence, density and ecological risks of 45 veterinary antibiotics: Focused on family livestock farms in Erhai Lake basin, Yunnan, China. Environ. Pollut. 2020, 267, 115539. [Google Scholar] [CrossRef]
- Wei, X.; Chen, J.; Xie, Q.; Zhang, S.; Li, Y.; Zhang, Y.; Xie, H. Photochemical behavior of antibiotics impacted by complexation effects of concomitant metals: A case for ciprofloxacin and Cu(II). Environ. Sci. Process. Impacts 2015, 17, 1220–1227. [Google Scholar] [CrossRef] [PubMed]
- Lv, S.; Rong, F.; Hu, S.; Wang, G.; Liu, J.; Hou, G. Competitive adsorption and desorption of three antibiotics in distinct soil aggregate size fractions. Ecotoxicol. Environ. Saf. 2023, 259, 115002. [Google Scholar] [CrossRef]
- Phoon, B.L.; Ong, C.C.; Saheed, M.S.M.; Show, P.L.; Chang, J.S.; Ling, T.C.; Lam, S.S.; Juan, J.C. Conventional and emerging technologies for removal of antibiotics from wastewater. J. Hazard. Mater. 2020, 400, 122961. [Google Scholar] [CrossRef] [PubMed]
- Emin, M.K.; Iryna, M.; Teemu, K.; Antti, H. Simultaneous adsorption of Cu(II), Zn(II), Cd(II) and Pb(II) from synthetic wastewater using NaP and LTA zeolites prepared from biomass fly ash. Heliyon 2023, 9, e20253. [Google Scholar]
- Valentina, S.; Louros, V.L.; Patrícia, C.S.; Marta, T.; Marta, O.; Vânia, C. A solar flow photo-reactor for antibiotic removal from aquaculture effluents using TiO2/carbon quantum dots. Chemosphere 2023, 348, 140723. [Google Scholar]
- Mai, E.; Elsayed, E.; Emad, A. Ecofriendly nanoparticles derived from water industry byproducts for effective removal of Cu(II) from wastewater: Adsorption isotherms and kinetics. Inorg. Chem. Commun. 2022, 102, 110062. [Google Scholar]
- Li, M.; Liu, H.; Chen, T.; Dong, C.; Sun, Y. Synthesis of magnetic biochar composites for enhanced uranium(VI) adsorption. Sci. Total Environ. 2019, 651, 1020–1028. [Google Scholar] [CrossRef] [PubMed]
- Ibrahim, B.M. Heavy metal ions removal from wastewater using various low-cost agricultural wastes as adsorbents: A survey, Zanco. Pure Appl. Sci. 2021, 33, 76–91. [Google Scholar]
- Khalfa, L.; Sdiri, A.; Bagane, M.; Cervera, M.L. A calcined clay fixed bed adsorption studies for the removal of heavy metals from aqueous solutions. J. Clean. Prod. 2021, 278, 123935. [Google Scholar] [CrossRef]
- Singh, E.; Kumar, A.; Mishra, R.; You, S.; Singh, L.; Kumar, S.; Kumar, R. Pyrolysis of waste biomass and plastics for production of biochar and its use for removal of heavy metals from aqueous solution. Bioresour. Technol. 2021, 320, 124278. [Google Scholar] [CrossRef] [PubMed]
- Hu, G.; Lan, J.; Sun, H.; Miao, F.; Zhang, P.; Shao, G. Design and preparation of hierarchical porous carbon-based materials with bionic “ant nest” structure for high performance asymmetric supercapacitors. J. Alloys Compd. 2023, 968, 172029. [Google Scholar] [CrossRef]
- Yu, Y.; Zhang, M.; Li, Q.; Chen, X.; Chen, D. Subtle introduction of membrane polarization-catalyzed H2O dissociation actuates highly efficient electrocoagulation for hardness ion removal. Water Res. 2023, 242, 120240. [Google Scholar] [CrossRef]
- Raquel, P.; Szabolcs, F.; Natalia, N.; Davy, G. Practical study on the impact of injection conditions in gradient elution mode for the analysis of therpeutic proteins when using very short columns. J. Chromatogr. A 2023, 1709, 464359. [Google Scholar]
- Yin, H.; Xiong, Q.; Zhang, M.; Wang, B.; Zhang, F. Multi-principles analysis of Cu(II) adsorption in water on magnetic microspheres and modified Chitosan. J. Environ. Chem. Eng. 2023, 11, 111285. [Google Scholar] [CrossRef]
- Tang, L.; Yu, J.; Pang, Y.; Zeng, G.; Deng, Y.; Wang, J. Sustainable efficient adsorbent: Alkali-acid modified magnetic biochar derived from sewage sludge for aqueous organic contaminant removal. Chem. Eng. J. 2018, 336, 160–169. [Google Scholar] [CrossRef]
- Kim, J.E.; Bhatia, S.K.; Song, H.J.; Yoo, E. Adsorptive removal of tetracycline from aqueous solution by maple leaf-derived biochar. Bioresour. Technol. 2020, 306, 123092. [Google Scholar] [CrossRef]
- Wang, P.; Sun, D.; Zhang, S.; Huang, X.; Bi, Q.; Qian, M.; Zhao, W.; Huang, F. Constructing mesoporous phosphated titanium oxide for efficient Cr(III) removal. J. Hazard. Mater. 2020, 384, 121278. [Google Scholar]
- Gao, Z.; Cizdziel, J.V.; Wontor, K.; Olubusoye, B.S. Adsorption/desorption of mercury (II) by artificially weathered microplastics: Kinetics, isotherms, and influencing factors. Environ. Pollut. 2023, 337, 122621. [Google Scholar] [CrossRef] [PubMed]
- Luo, J.; Li, W.; Ge, C.; Müller, K.; Yu, H.; Huang, P. Sorption of norfloxacin, sulfamerazine and oxytetracycline by KOH-modified biochar under single and ternary systems. Bioresour. Technol. 2018, 263, 385–392. [Google Scholar] [CrossRef] [PubMed]
- Sun, W.; Xiao, G.; Meng, Q. Adsorption of sulfadiazine on novel bilayer porous resin: Synergism of micropore filling and anion exchange. Mater. Sci. Eng. B 2024, 299, 117039. [Google Scholar] [CrossRef]
- Ebrahimi, N.; Farahbod, B.; Sadeghi, R. Salting-in and salting-out effects of organic and inorganic ammonium salts on the aqueous polymer solutions. J. Chem. Thermodyn. 2018, 123, 12386–12398. [Google Scholar] [CrossRef]
- Chen, Z.; Tang, T.; Wen, Q.; Hu, H. Evaluation of Fe(VI)/Fe(II) combined with sludge adsorbents in secondary effluent organic matter removal. Environ. Res. 2022, 208, 112737. [Google Scholar] [CrossRef]
- Tang, J.; Ma, Y.; Zeng, C.; Yang, L.; Cui, S.; Zhi, S. Fe-Al bimetallic oxides functionalized-biochar via ball milling for enhanced adsorption of tetracycline in water. Bioresour. Technol. 2023, 369, 128385. [Google Scholar] [CrossRef]
- Mohammadhossein, S.; Faramarz, A.D.; Mohammad, N.M. Lignocellulosic biomass functionalized with EDTA dianhydride for removing Cu(II) and dye from wastewater: Batch and fixed-bed column adsorption. Miner. Eng. 2023, 204, 108423. [Google Scholar]
- Jian, N.; Dai, Y.; Wang, Y.; Qi, F.; Li, S.; Wu, Y. Preparation of polydopamine nanofibers mat as a recyclable and efficient adsorbent for simultaneous adsorption of multiple tetracyclines in water. J. Chem. Phys. 2021, 320, 128875. [Google Scholar] [CrossRef]
- Nikita, G.; Tanushree, P.; Vijay, H.K. A review on the fate of micro and nano plastics (MNPs) and their implication in regulating nutrient cycling in constructed wetland systems. J. Environ. Manag. 2023, 350, 119559. [Google Scholar]
Disclaimer/Publisher’s Note: The statements, opinions and data contained in all publications are solely those of the individual author(s) and contributor(s) and not of MDPI and/or the editor(s). MDPI and/or the editor(s) disclaim responsibility for any injury to people or property resulting from any ideas, methods, instructions or products referred to in the content. |
© 2024 by the authors. Licensee MDPI, Basel, Switzerland. This article is an open access article distributed under the terms and conditions of the Creative Commons Attribution (CC BY) license (https://creativecommons.org/licenses/by/4.0/).






