In-Line Measurement of Extraction Process by Slug Flow and Determination of Mass Transfer Parameters
Abstract
1. Introduction
2. Experiments
2.1. Reagents
2.2. Experimental Apparatus and Operation
3. Results and Discussion
3.1. Calculation of Slug Length Based on the Difference between the Aqueous Phase, Oil Phase, and Conductivity
3.2. Calculation of Summary Material Capacity Factor Based on Conductivity Measurements
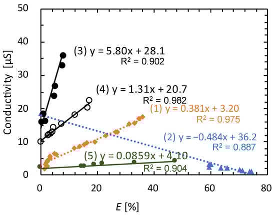
3.2.1. Calibration Curves for Extractability and Conductivity
3.2.2. Comparison of Conventional and Conductivity Methods
3.2.3. Calculation of Specific Interfacial Area of the Oil–Water Interface of Slug Flow in a PTFE Tube
3.2.4. Effect of the Linear Velocity of Liquid on Mass Transfer at the Oil–Water Interface
4. Conclusions
Author Contributions
Funding
Data Availability Statement
Acknowledgments
Conflicts of Interest
References
- Porta, R.; Maurizio, B.; Puglisi, A. Flow Chemistry—Fundamentals Flow Chemistry: Recent Developments in the Synthesis of Pharmaceutical Products. Org. Process Res. Dev. 2016, 20, 2–25. [Google Scholar] [CrossRef]
- Rodrigues, T.; Schneider, P.; Schneider, G. Accessing New Chemical Entities through Microfluidic Systems. Angew. Chem. Int. Ed. 2014, 53, 5750–5758. [Google Scholar] [CrossRef]
- Taylor, C.J.; Pomberger, A.; Felton, K.C.; Grainger, R.; Barecka, M.; Chamberlain, T.W.; Bourne, R.A.; Johnson, C.N.; Lapkin, A.A. A brief introduction to chemical reaction optimization. Chem. Rev. 2023, 123, 3089–3126. [Google Scholar] [CrossRef] [PubMed]
- Baumann, M.; Moody, T.S.; Smyth, M.; Wharry, S. A perspective on continuous flow chemistry in the pharmaceutical industry. Org. Process Res. Dev. 2020, 24, 1802–1813. [Google Scholar] [CrossRef]
- Domokos, A.; Nagy, B.; Szilágyi, B.; Marosi, G.; Nagy, Z.K. Integrated continuous pharmaceutical technologies—A review. Org. Process Res. Dev. 2021, 25, 721–739. [Google Scholar] [CrossRef]
- Higashio, K.; Katsuragi, S.; Kundu, D.; Adebar, N.; Plass, C.; Kühn, F.; Gröger, H.; Akai, S. Continuous-flow dynamic kinetic resolution of racemic alcohols by lipase–oxovanadium cocatalysis. Eur. J. Org. Chem. 2020, 2020, 1961–1967. [Google Scholar] [CrossRef]
- Ahlqvist, G.P.; Burke, E.G.; Johnson, J.A.; Jamison, T.F. Continuous dimethyldioxirane generation for polymer epoxidation. Polym. Chem. 2021, 12, 489–493. [Google Scholar] [CrossRef]
- Takahashi, Y.; Nagaki, A. Anionic Polymerization Using Flow Microreactors. Molecules 2019, 24, 1532. [Google Scholar] [CrossRef]
- Kudo, S.; Takiyama, H. Production of Fine Organic Crystalline Particles by Using Milli Segmented Flow Crystallizer. J. Chem. Eng. Jpn. 2012, 45, 305–309. [Google Scholar] [CrossRef]
- Furuta, M.; Mukai, K.; Cork, D.; Mae, K. Continuous crystallization using a sonicated tubular system for controlling particle size in an API manufacturing process. Chem. Eng. Process. Process Intensif. 2016, 102, 210–218. [Google Scholar] [CrossRef]
- Hohmann, L.; Gorny, R.; Klaas, O.; Ahlert, J.; Wohlgemuth, K.; Kockmann, N. Design of a Continuous Tubular Cooling Crystallizer for Process Development on Lab-Scale. Chem. Eng. Technol. 2016, 39, 1268–1280. [Google Scholar] [CrossRef]
- Bittorf, L.; Pathak, K.; Kockmann, N. Spinning Band Distillation Column–Rotating Element Design and Vacuum Operation. Ind. Eng. Chem. Res. 2021, 60, 10854–10862. [Google Scholar] [CrossRef]
- Wu, H.; Khan, M.A.; Hussain, A.S. Process Control Perspective for Process Analytical Technology: Integration of Chemical Engineering Practice into Semiconductor And Pharmaceutical Industries. Chem. Eng. Commun. 2007, 194, 760–779. [Google Scholar] [CrossRef]
- Ma, H.; Zhao, Q.; Yao, C.; Zhao, Y.; Chen, G. Effect of fluid viscosities on the liquid-liquid slug flow and pressure drop in a rectangular microreactor. Chem. Eng. Sci. 2021, 241, 116697. [Google Scholar] [CrossRef]
- Kovalev, A.V.; Yagodnitsyna, A.A.; Bilsky, A.V. Flow hydrodynamics of immiscible liquids with low viscosity ratio in a rectangular microchannel with T-junction. J. Chem. Eng. 2018, 352, 120–132. [Google Scholar] [CrossRef]
- Ma, D.; Liang, D.; Zhu, C.; Fu, T.; Ma, Y.; Yuan, X.; Li, H.Z. The breakup dynamics and mechanism of viscous droplets in Y-shaped microchannels. Chem. Eng. Sci. 2021, 231, 116300. [Google Scholar] [CrossRef]
- Yi, H.; Zhu, C.; Fu, T.; Ma, Y. Interfacial evolution and dynamics of liquid bridge during droplet coalescence in rectangular microchannels: Effect of aspect ratio. J. Taiwan Inst. Chem. Eng. 2021, 123, 59–67. [Google Scholar] [CrossRef]
- Wang, X.; Wang, Y.; Li, F.; Li, L.; Ge, X.; Zhang, S.; Qiu, T. Scale-up of microreactor: Effects of hydrodynamic diameter on liquid–liquid flow and mass transfer. Chem. Eng. Sci. 2020, 226, 115838. [Google Scholar] [CrossRef]
- Wang, X.; Wang, K.; Riaud, A.; Wang, X.; Luo, G. Experimental study of liquid/liquid second-dispersion process in constrictive microchannels. Chem. Eng. Sci. 2014, 254, 443–451. [Google Scholar] [CrossRef]
- Fu, G.; Chen, F.; Wei, D.; Ni, L.; Jiang, J.; Pan, Y. Hydrodynamics and mass transfer of liquid-liquid two-phase flow in circular milli-channels: Sizing-up effect. J. Taiwan Inst. Chem. Eng. 2022, 141, 104602. [Google Scholar] [CrossRef]
- Hosseini Kakavandi, F.; Rahimi, M.; Jafari, O.; Azimi, N. Liquid–liquid two-phase mass transfer in T-type micromixers with different junctions and cylindrical pits. Chem. Eng. Process. Process Intensif. 2016, 107, 58–67. [Google Scholar] [CrossRef]
- Sattari-Najafabadi, M.; Nasr Esfahany, M.; Wu, Z.; Sundén, B. Hydrodynamics and mass transfer in liquid-liquid non-circular microchannels: Comparison of two aspect ratios and three junction structures. J. Chem. Eng. 2017, 322, 328–338. [Google Scholar] [CrossRef]
- Biswas, G.; Das, G.; Ray, S.; Basu, J.K. Mass transfer characteristics of liquid–liquid flow in small diameter conduits. Chem. Eng. Sci. 2015, 122, 652–661. [Google Scholar] [CrossRef]
- Muto, A.; Abe, H.; Kanki, K.; Fukuda, T.; Kawasaki, S. Generation of controlled liquid–liquid slug flow by interlocking two diaphragm pumps. Separations 2022, 9, 97. [Google Scholar] [CrossRef]
- Biswas, K.G.; Ray, S.; Das, G.; Basu, J.K. A simple flow device for enhanced mass transfer in reduced dimensions. Chem. Eng. J. 2015, 279, 973–982. [Google Scholar] [CrossRef]
- Barz, D.P.J.; Zadeh, H.F.; Ehrhard, P. Laminar flow and mass transport in a twice–folded microchannel. AIChE J. 2008, 54, 381–393. [Google Scholar] [CrossRef]
- Kurt, S.K.; Vural Gürsel, I.; Hessel, V.; Nigam, K.D.P.; Kockmann, N. Liquid–liquid extraction system with microstructured coiled flow inverter and other capillary setups for single-stage extraction applications. Chem. Eng. J. 2016, 284, 764–777. [Google Scholar] [CrossRef]
- Hirayama, Y.; Hinoue, M.; Tokumoto, H.; Matsuoka, A.; Noishiki, K.; Muto, A. Liquid–liquid extraction and separation of cobalt and lithium ions using a slug flow microreactor. J. Chem. Eng. Japan 2018, 51, 222–228. [Google Scholar] [CrossRef]
- Muto, A.; Hirayama, Y.; Tokumoto, H.; Matsuoka, A.; Noishiki, K. Liquid–liquid extraction of lithium ions using a slug flow microreactor: Effect of extraction reagent and microtube material, solvent extraction and ion exchange. Solvent Extr. Ion Exch. 2017, 35, 61–73. [Google Scholar] [CrossRef]
- Sen, N.; Singh, K.K.; Mukhopadhyay, S.; Shenoy, K.T. Microfluidic extraction of uranium from dilute streams using TiAP in ionic liquid as the solvent. Chem. Eng. Res. Des. 2022, 177, 83–95. [Google Scholar] [CrossRef]
- Kashid, M.N.; Harshe, Y.M.; Agar, D.W. Liquid–liquid slug flow in a capillary: An alternative to suspended drop or film contactors. Ind. Eng. Chem. Res. 2007, 46, 8420–8430. [Google Scholar] [CrossRef]
- Zhou, Y.; Zhuo, C.; Huang, J.; Liu, H.; Xu, J. A microextraction approach for rapid extraction and separation of Mn(II) and Co(II) using saponified D2EHPA system. Front. Chem. Sci. Eng. 2021, 16, 963–972. [Google Scholar] [CrossRef]
- Xu, C.; Xie, T. Review of Microfluidic Liquid–Liquid Extractors. Ind. Eng. Chem. Res. 2017, 56, 7593–7622. [Google Scholar] [CrossRef]
- Nishiyama, Y.; Fujii, A.; Mori, H. Photoreduction synthesis of various azoxybenzenes by visible-light irradiation under continuous flow conditions. J. Flow Chem. 2021, 12, 71–77. [Google Scholar] [CrossRef]
- Xie, T.; Ma, Y.; Xu, C. Passive continuous flow microextraction/stripping system with high throughput. Chem. Eng. Sci. 2020, 223, 115745. [Google Scholar] [CrossRef]
- Cao, Z.; Wu, Z.; Sundén, B. Dimensionless analysis on liquid-liquid flow patterns and scaling law on slug hydrodynamics in cross-junction microchannels. Chem. Eng. J. 2018, 344, 604–615. [Google Scholar] [CrossRef]
- Ganguli, A.A.; Pandit, A.B. Hydrodynamics of liquid-liquid flows in micro channels and its influence on transport properties: A review. Energies 2021, 14, 6066. [Google Scholar] [CrossRef]
- Xie, T.; Liu, X.; Xu, C.; Chen, J. Intensification of liquid-liquid mass transfer by oscillation in a high-throughput microextractor. Chem. Eng. Process. Process Intensif. 2017, 120, 9–19. [Google Scholar] [CrossRef]
- Matsuoka, A.; Mae, K. Liquid–liquid extraction performance of circulation-extraction method using a microchannel device. Solvent Extr. Ion Exch. 2021, 39, 785–805. [Google Scholar] [CrossRef]
- Xu, B.; Cai, W.; Liu, X.; Zhang, X. Mass transfer behavior of liquid–liquid slug flow in circular cross-section microchannel. Chem. Eng. Res. Des. 2013, 91, 1203–1211. [Google Scholar] [CrossRef]
- Al-Azzawi, M.; Mjalli, F.S.; Husain, A.; Al-Dahhan, M. A review on the hydrodynamics of the liquid–liquid two-phase flow in the microchannels. Ind. Eng. Chem. Res. 2021, 60, 5049–5075. [Google Scholar] [CrossRef]
- Facchin, I.; Martins, J.W.; Zamora, P.G.P.; Pasquini, C. Single-phase liquid-liquid extraction in monosegmented continuous-flow systems. Anal. Chim. Acta 1994, 285, 287–292. [Google Scholar] [CrossRef]
- Yoshiaki, T.; Tonomura, O.; Isozaki, K.; Hasebe, S. Detection and diagnosis of blockage in parallelized microreactors. Chem. Eng. J. 2011, 167, 483–489. [Google Scholar] [CrossRef]
- Song, J.; Cheng, B.; Wang, Y.; Deng, J.; Luo, G. A microfluidic chip structure with ultra-high liquid–liquid mass transfer performance. Sep. Purif. Technol. 2023, 324, 124440. [Google Scholar] [CrossRef]
- Karim, H.; Castel, C.; Lélias, A.; Magnaldo, A.; Sarrat, P. Kinetic study of uranium (VI) extraction with tributyl-phosphate in a stratified flow microchannel. Sep. Purif. Technol. 2023, 314, 124489. [Google Scholar] [CrossRef]
- Ganguli, A.A.; Pandit, A.B.; Kunzru, D. Transport phenomena in microchannels in liquid–liquid extraction (LLE) systems operating in a slug flow regime—A review. Can. J. Chem. Eng. 2023, 1–22. [Google Scholar] [CrossRef]
- Zhang, D.; Cao, R.; Fu, L.; Zhang, Y. Experimental and numerical studies of separation intensification in segmented flow microreactors. Chem. Eng. Process. 2023, 176, 108905. [Google Scholar] [CrossRef]
- Matsuoka, A.; Mae, K. Design strategy of a microchannel device for liquid–liquid extraction based on the relationship between mass transfer rate and two-phase flow pattern. Chem. Eng. Process. 2023, 160, 108297. [Google Scholar] [CrossRef]
- Hsieh, W.H.; Coley, W.C.; Baumgartner, L.M.; Jensen, K.F.; Robinson, R.I. Photoredox Iridium−Nickel Dual-Catalyzed Decarboxylative Arylation Cross-Coupling: From Batch to Continuous Flow via Self-Optimizing Segmented Flow Reactor. Org. Process Res. Dev. 2018, 22, 542–550. [Google Scholar] [CrossRef]









| No. | Aqueous Solution | Organic Solution |
|---|---|---|
| 1 | Pure water | Potassium tert-pentyl oxide, 25% w/w in toluene |
| 2 | 0.01 M LiCl aqueous solution | 0.2 M D2EHPA cyclohexane solution |
| 3 | 0.10 M LiCl aqueous solution | 0.2 M D2EHPA cyclohexane solution |
| 4 | 0.01 M LiCl aqueous solution | 0.2 M D2EHPA cyclohexane solution |
| 5 | 0.001 M LiCl aqueous solution | 0.2 M D2EHPA cyclohexane solution |
Disclaimer/Publisher’s Note: The statements, opinions and data contained in all publications are solely those of the individual author(s) and contributor(s) and not of MDPI and/or the editor(s). MDPI and/or the editor(s) disclaim responsibility for any injury to people or property resulting from any ideas, methods, instructions or products referred to in the content. |
© 2023 by the authors. Licensee MDPI, Basel, Switzerland. This article is an open access article distributed under the terms and conditions of the Creative Commons Attribution (CC BY) license (https://creativecommons.org/licenses/by/4.0/).
Share and Cite
Okamoto, T.; Muto, A. In-Line Measurement of Extraction Process by Slug Flow and Determination of Mass Transfer Parameters. Separations 2023, 10, 443. https://doi.org/10.3390/separations10080443
Okamoto T, Muto A. In-Line Measurement of Extraction Process by Slug Flow and Determination of Mass Transfer Parameters. Separations. 2023; 10(8):443. https://doi.org/10.3390/separations10080443
Chicago/Turabian StyleOkamoto, Takamichi, and Akinori Muto. 2023. "In-Line Measurement of Extraction Process by Slug Flow and Determination of Mass Transfer Parameters" Separations 10, no. 8: 443. https://doi.org/10.3390/separations10080443
APA StyleOkamoto, T., & Muto, A. (2023). In-Line Measurement of Extraction Process by Slug Flow and Determination of Mass Transfer Parameters. Separations, 10(8), 443. https://doi.org/10.3390/separations10080443
