Dynamic Characterization during Gas Initial Desorption of Coal Particles and Its Influence on the Initiation of Coal and Gas Outbursts
Abstract
1. Introduction
2. Experimental
2.1. Coal Sample
2.2. Experimental Principle and Device
- (1)
- A coal sample (~200 g) was put into the sample tank (‘9’) and the vacuuming time is not less than 8 h. Then, the gas charging for the coals in the thermostatic bath (‘10’) lasted for at least 12 h until the equilibrium pressure was stable.
- (2)
- The data acquisition system (‘1’) was turned on to acquire the gas pressure and temperature data after stopping the gas charging. Then, the tapered nozzle (‘6’) was quickly opened.
- (3)
- Because the void volume without coals in sample tank influences the test result, steel balls with the same bulk volume of the coal sample were placed into the sample tank to acquire the temperature and gas pressure data given in Steps 1 and 2 under the same equilibrium pressure with the coals.
- (4)
- Finally, the obtained gas pressure and temperature data were used to obtain the data of mass flow rate, gas velocity, and gas expansion energy based on the equations in Figure 2.
3. Results
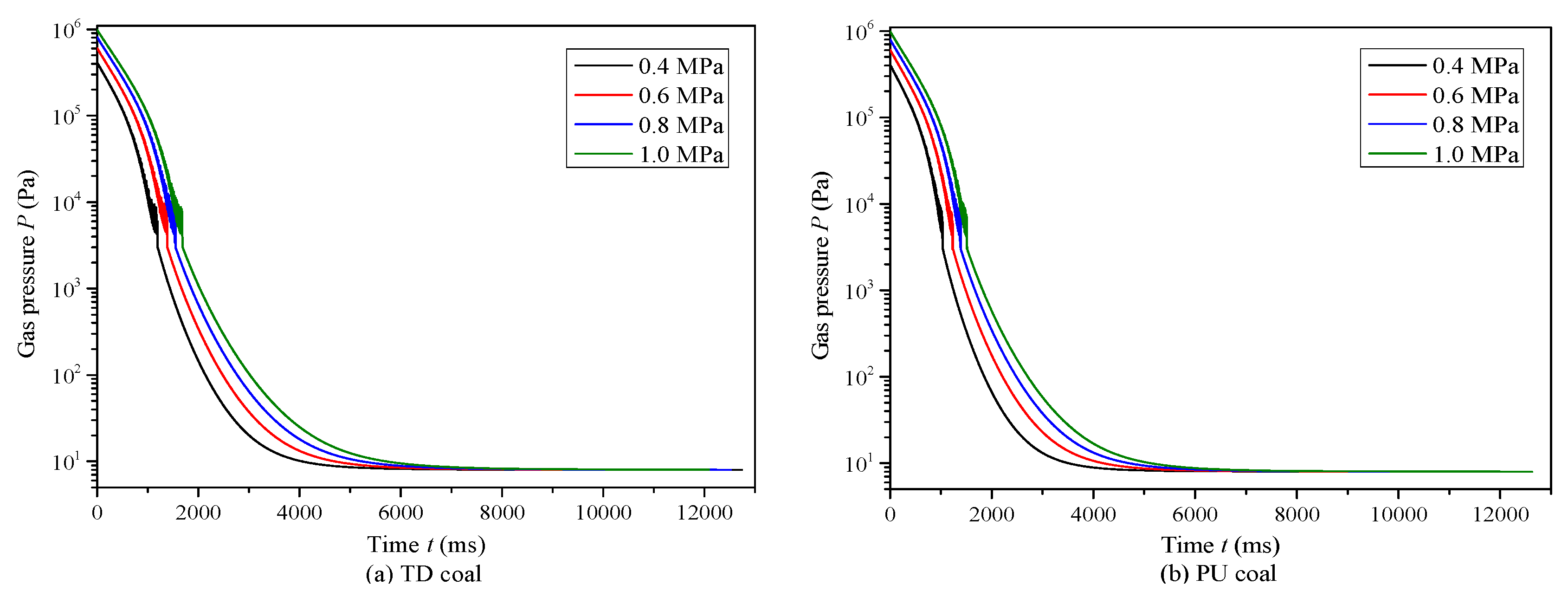
3.1. The Change of Gas Pressure
3.2. Temperature Change
3.3. Mass Flow Rate Change
3.4. Gas Velocity Change
4. Discussion
4.1. Effect of the Characterization of Gas Initial Desorption on an Outburst Occurrence
4.2. Evolution Law of Gas Expansion Energy
5. Conclusions
- (1)
- Increased gas pressure leads to higher pressure gradient when gas is initially desorbed, and the gas pressure gradient formed on the surface of the tectonically deformed coal is greater. The temperature change rates (falling rate and rising rate) of the coal mass increase, and the minimum and final stable temperatures decrease with increased pressure, in which these two values of the tectonically deformed coal are generally less than the corresponding temperatures of the primary-undeformed coal. The minimum and the final stable temperatures of the coal mass are linearly related to gas pressure.
- (2)
- Increased gas pressure produces larger mass flow rate, and the time required from rapid reduction stage to stable stage is longer. The mass flow rate at different times of the tectonically deformed coal is faster compared with the primary-undeformed coal. The correlation of the mass flow rate at the initial time of the tectonically deformed coal and gas pressure can be expressed by power function or linear function, while the relationship of the PU coal can be better expressed by a linear function. In addition, whether it is a power function or a linear function, the gas pressure has a greater effect on the mass flow rate at the initial time of the primary-undeformed coal.
- (3)
- The gas velocity in the initial desorption process has four stages. For the two types of coals, the increased gas pressure decreases the gas velocity during the desorption in Stage 1 due to the congestion effect; in the later three stages, increased gas pressure generates the higher gas velocity. The gas velocity of the tectonically deformed coal is higher than that of the primary-undeformed coal bearing the same gas pressure. The increased gas velocity and the desorption quantity increase the impulse intensity formed by the accumulated gas, and the greater the applied force formed on the surface of the spallation coal mass, making the spallation coal mass more prone to instability and initiating an outburst.
- (4)
- The release process of gas expansion energy vs. time has two stages. In each stage, the released gas expansion energy first increased and then decreased. There are two peaks in the entire process, and the peak value of #1 is far less than that of #2. By increasing the gas pressure, the duration of the two stages of gas expansion energy release is longer. Whether it is the peak value of #1 or # 2, the corresponding released gas expansion energy of the tectonically deformed coal is about 2–3 times of that of the primary-undeformed coal mass. Furthermore, under the same gas pressure level, the total gas expansion energy released by the tectonically deformed coal is far greater than that released by the primary-undeformed coal. The positive correlations among the peak values, the total values of gas expansion energy and gas pressure also confirmed that increased gas pressure seriously damages the coal mass, releasing greater amount of gas expansion energy and is more prone to initiating an outburst.
Author Contributions
Funding
Data Availability Statement
Acknowledgments
Conflicts of Interest
Nomenclature List
| p | Absolute gas pressure (Pa) |
| p* | Critical gas pressure (Pa) |
| T | Temperature (K) |
| p0 | Atmospheric pressure (Pa) |
| γ | Adiabatic exponent |
| m | Mass flow rate of gas at the nozzle (kg/s) |
| σ* | Cross-sectional area of the nozzle orifice (m2) |
| R | Gas constant (J/kg·K) |
| v | Velocity of gas at the nozzle (m/s) |
| Wgee | Gas expansion energy |
| σ”θ | Tangential stress of the gas-bearing coal mass before failure (MPa) |
| σ”r | Radial stress of the gas-bearing coal mass before failure (MPa) |
| fc | Cohesion of the gas-bearing coal mass (MPa) |
| φ | Internal friction angle of the gas-bearing coal mass (°) |
| pi | Gas pressure accumulated in the crack (MPa) |
| Kc | Fracture toughness of the coal mass (MN/m3/2) |
| r | Radius of the crack (m) |
| η | Influence coefficient of the crack |
| M | Influence coefficient increasing with the increase in a/h |
| h | Distance between the crack and the exposed surface |
| p’ | Gas pressure after the spallation coal mass (MPa) |
| φi | Half of the central angle formed by the edge and center of the spherical shell coal mass (°) |
| ti | Thickness of the spallation coal mass (m) |
| Ri | Curvature radius of the spallation coal mass (m) |
References
- Kang, Y.L.; Huang, F.S.; You, L.J.; Li, X.C.; Gao, B. Impact of fracturing fluid on multi-scale mass transport in coalbed methane reservoirs. Int. J. Coal Geol. 2016, 154–155, 123–135. [Google Scholar] [CrossRef]
- Yan, X.L.; Zhang, S.H.; Tang, S.H.; Li, Z.C.; Yi, Y.X.; Zhang, Q.; Hu, Q.P.; Liu, Y.X. A comprehensive coal reservoir classifification method base on permeability dynamic change and its application. Energies 2020, 13, 644. [Google Scholar] [CrossRef]
- Liu, Y.W.; Wang, D.D.; Hao, F.C.; Liu, M.J.; Mitri, H.S. Constitutive model for methane desorption and diffusion based on pore structure differences between soft and hard coal. Int. J. Min. Sci. Technol. 2017, 27, 937–944. [Google Scholar] [CrossRef]
- Liu, P.; Qin, Y.P.; Liu, S.M.; Hao, Y.J. Non-linear gas desorption and transport behavior in coal matrix: Experiments and numerical modeling. Fuel 2018, 214, 1–13. [Google Scholar] [CrossRef]
- Li, X.B.; Li, Y.B.; Tang, J.T. Determining the initial stage loss content of TD coal gas desorption via the Bayesian probability method. Nat. Hazards 2019, 97, 83–97. [Google Scholar] [CrossRef]
- Wei, F.Q.; Shi, G.S.; Zhang, T.G. Study on coal and gas outburst prediction indexes base on gas expansion energy. J. China Coal Soc. 2010, 35, 95–99. [Google Scholar]
- Wang, C.J.; Yang, S.Q.; Yang, D.D.; Li, X.W.; Jiang, C.L. Experimental analysis of the intensity and evolution of coal and gas outbursts. Fuel 2018, 226, 252–262. [Google Scholar] [CrossRef]
- Valliappan, S.; Zhang, W.H. Role of gas energy during coal outbursts. Int. J. Numer. Methods Eng. 1999, 44, 875–895. [Google Scholar] [CrossRef]
- Jiang, C.L.; Xu, L.H.; Li, X.W.; Tang, J.; Chen, Y.J.; Tian, S.X.; Liu, H.H. Identifification Model and Indicator of Outburst-Prone Coal Seams. Rock Mech. Rock Eng. 2015, 48, 409–415. [Google Scholar] [CrossRef]
- Wang, Z.F.; Sun, R.; Qi, L.L.; Liu, J. Theoretical equation of gas desorption of particle coal under the non-uniform pressure condition and its analytical solution. Saf. Sci. 2012, 50, 861–864. [Google Scholar] [CrossRef]
- Xu, L.H.; Jiang, C.L.; Tian, S.X. Experimental study of the gas concentration boundary condition for diffusion through the coal particle. J. Nat. Gas Sci. Eng. 2014, 21, 451–455. [Google Scholar] [CrossRef]
- Yang, T.; Chen, P.; Li, B.; Nie, B.S.; Zhu, C.J.; Ye, Q.S. Potential safety evaluation method based on temperature variation during gas adsorption and desorption on coal surface. Saf. Sci. 2019, 113, 336–344. [Google Scholar] [CrossRef]
- Jin, K.; Cheng, Y.P.; Ren, T.; Zhao, W.; Tu, Q.Y.; Dong, J.; Wang, A.Y.; Hu, B. Experimental investigation on the formation and transport mechanism of outburst coal-gas flow: Implications for the role of gas desorption in the development stage of outburst. Int. J. Coal Geol. 2018, 194, 45–58. [Google Scholar] [CrossRef]
- Zhao, W.; Wang, K.; Cheng, Y.P.; Liu, S.M.; Fan, L. Evolution of gas transport pattern with the variation of coal particle size: Kinetic model and experiments. Powder Technol. 2020, 367, 336–346. [Google Scholar] [CrossRef]
- Davarpanah, A.; Mirshekari, B. Experimental investigation and mathematical modeling of gas diffusivity by carbon dioxide and methane kinetic adsorption. Ind. Eng. Chem. Res. 2019, 58, 12392–12400. [Google Scholar] [CrossRef]
- Wen, Z.H.; Wei, J.P.; Wang, D.K.; Wang, C. Experimental Study of Gas Desorption Law of Deformed Coal. Procedia Eng. 2011, 26, 1083–1088. [Google Scholar] [CrossRef][Green Version]
- Ju, Y.W.; Li, X.S. New research progress on the ultrastructure of tectonically deformed coals. Prog. Nat. Sci. 2009, 19, 1455–1466. [Google Scholar] [CrossRef]
- Li, W.; Jiang, B.; Moore, T.A.; Wang, F.; Liu, J.G.; Song, Y. Characterization of the chemical structure of tectonically deformed coals. Energy Fuels 2017, 31, 6977–6985. [Google Scholar] [CrossRef]
- Chen, Y.L.; Qin, Y.; Li, Z.P.; Shi, Q.M.; Wei, C.T.; Wu, C.F.; Qu, Z.H. Differences in desorption rate and composition of desorbed gases between undeformed and mylonitic coals in the Zhina Coalfield, Southwest China. Fuel 2019, 239, 905–916. [Google Scholar] [CrossRef]
- Wang, C.J.; Yang, S.Q.; Li, X.W.; Li, J.H.; Jiang, C.L. Comparison of the gas initial desorption and gas-release energy characteristics from tectonically-deformed and primary-undeformed coal. Fuel 2019, 238, 66–74. [Google Scholar] [CrossRef]
- Liu, X.F.; Song, D.Z.; He, X.Q.; Nie, B.S.; Wang, L.K. Insight into the macromolecular structural difffferences between hard coal and deformed soft coal. Fuel 2019, 245, 188–197. [Google Scholar] [CrossRef]
- Fu, X.; Wang, K.J.; Yang, T.H. Gas irradiation feature of tectonic coal. J. China Coal Soc. 2008, 33, 775–779. [Google Scholar]
- Li, Y.B.; Zhang, Y.G.; Zhang, Z.M.; Jiang, B. Experimental study on gas desorption of tectonic coal at initial stage. J. China Coal Soc. 2013, 38, 15–20. [Google Scholar]
- Yang, Y.; Liu, S.M. Estimation and modeling of pressure-dependent gas diffusion coefficient for coal: A fractal theory-based approach. Fuel 2019, 253, 588–606. [Google Scholar] [CrossRef]
- Xie, G.X.; Yin, Z.Q.; Wang, L.; Hu, Z.X.; Zhu, C.Q. Effects of Gas Pressure on the Failure Characteristics of Coal. Rock Mech. Rock Eng. 2017, 50, 1711–1723. [Google Scholar] [CrossRef]
- Cao, W.Z.; Shi, J.Q.; Durucan, S.; Si, G.Y.; Korre, A. Gas-driven rapid fracture propagation under unloading conditions in coal and gas outbursts. Int. J. Rock Mech. Min. Sci. 2020, 130, 104325. [Google Scholar] [CrossRef]
- Hu, X.; Xie, J.; Cai, W.C.; Wang, R.; Davarpanah, A. Thermodynamic effects of cycling carbon dioxide injectivity in shale reservoirs. J. Pet. Sci. Eng. 2020, 195, 107717. [Google Scholar] [CrossRef]
- Nabavi, M.; Elveny, M.; Danshina, S.D.; Behroyan, I.; Babanezhad, M. Velocity prediction of Cu/water nanofluid convective flow in a circular tube: Learning CFD data by differential evolution algorithm based fuzzy inference system (DEFIS). Int. Commun. Heat Mass Transf. 2021, 126, 105373. [Google Scholar] [CrossRef]
- Wu, S.; Tang, D.Z.; Li, S.; Chen, H.; Wu, H.Y. Coalbed methane adsorption behavior and its energy variation features under supercritical pressure and temperature conditions. J. Pet. Sci. Eng. 2016, 146, 726–734. [Google Scholar] [CrossRef]
- Yue, G.W.; Zeng, C.L.; Huo, L.P.; Zheng, X.J. Measurement and modeling of temperature evolution during methane desorption in coal. Sci. Rep. 2020, 10, 3146. [Google Scholar]
- Lama, R.D.; Bodziony, J. Management of outburst in underground coal mines. Int. J. Coal Geol. 1998, 35, 83–115. [Google Scholar] [CrossRef]
- Yang, D.D.; Chen, Y.J.; Tang, J.; Li, X.W.; Jiang, C.L.; Wang, C.J.; Zhang, C.J. Experimental research into the relationship between gas initial release and coal-gas outbursts. J. Nat. Gas Sci. Eng. 2018, 50, 157–165. [Google Scholar] [CrossRef]
- Wang, C.J.; Yang, S.Q.; Li, J.H.; Li, X.W.; Jiang, C.L. Influence of coal moisture on gas initial desorption and gas-release energy characteristics. Fuel 2018, 232, 351–361. [Google Scholar] [CrossRef]
- Xu, L.H.; Jiang, C.L. Initial desorption characterization of methane and carbon dioxide in coal and its inflfluence on coal and gas outburst risk. Fuel 2017, 203, 700–706. [Google Scholar] [CrossRef]
- Chen, Y.J.; Yang, D.D.; Tang, J.; Li, X.W.; Jiang, C.L. Determination method of gas initial desorption law of coal based on flow characteristics of convergent nozzle. J. Loss Prev. Process Ind. 2018, 54, 222–228. [Google Scholar] [CrossRef]
- Liang, Y.P.; Wang, F.K.; Li, X.L.; Jiang, C.L.; Li, L.; Chen, Y.L. Study on the influence factors of the initial expansion energy of released gas. Process Saf. Environ. Prot. 2018, 117, 582–592. [Google Scholar] [CrossRef]
- Otuonye, F.; Sheng, J.A. numerical simulation of gas flow during coal/gas outbursts. Geotech. Geol. Eng. 1994, 12, 15–34. [Google Scholar] [CrossRef]
- Jiang, C.L.; Yu, Q.X. The Spherical Shell Instability Mechanism and Prevention Technology of Coal and Gas Outburst; China University of Mining and Technology Press: Xuzhou, China, 1998. [Google Scholar]
- Sobczyk, J. The inflfluence of sorption processes on gas stresses leading to the coal and gas outburst in the laboratory conditions. Fuel 2014, 90, 1018–1023. [Google Scholar] [CrossRef]
- Sun, D.L.; Hu, Q.T.; Miao, F.T. A mathematical model of coal-gas flow conveying in the process of coal and gas outburst and its application. Procedia Eng. 2011, 26, 147–153. [Google Scholar]
- Xu, T.; Tang, C.A.; Yang, T.H.; Zhu, W.C.; Liu, J. Numerical investigation of coal and gas outbursts in underground collieries. Int. J. Rock Mech. Min. Sci. 2006, 43, 905–919. [Google Scholar] [CrossRef]
- Tu, Q.Y.; Cheng, Y.P.; Liu, Q.Q.; Guo, P.K.; Wang, L.; Li, W.; Jiang, J.Y. Investigation of the formation mechanism of coal spallation through the cross-coupling relations of multiple physical processes. Int. J. Rock Mech. Min. Sci. 2018, 105, 133–144. [Google Scholar] [CrossRef]
- China’s State Administration of Work Safety (CSAWS). Provisions on Prevention of Coal and Gas Outburst; Coal Industry Press: Beijing, China, 2009. [Google Scholar]
- Guan, P.; Wang, H.Y.; Zhang, Y.X. Mechanism of instantaneous coal outbursts. Geology 2009, 37, 915–918. [Google Scholar] [CrossRef]
- Wang, S.G.; Elsworth, D.; Liu, J.S. Rapid decompression and desorption induced energetic failure in coal. J. Rock Mech. Geotech. Eng. 2015, 7, 345–350. [Google Scholar] [CrossRef]














| Coal Sample | Item | Macropore (>1000 nm) | Mesopore (100–1000 nm) | Ascopore (10–100 nm) | Micropore (<10 nm) | In Total | |||||
|---|---|---|---|---|---|---|---|---|---|---|---|
| V (mL/g) | S (m2/g) | V (mL/g) | S (m2/g) | V (mL/g) | S (m2/g) | V (mL/g) | S (m2/g) | V (mL/g) | S (m2/g) | ||
| TD coal | Value | 0.0323 | 0.213 | 0.0163 | 1.080 | 0.0126 | 9.025 | 0.0109 | 13.151 | 0.0721 | 23.469 |
| Ratio (%) | 44.80 | 0.91 | 22.61 | 4.60 | 17.47 | 38.46 | 15.12 | 56.03 | 100 | 100 | |
| PU coal | Value | 0.0059 | 0.409 | 0.0055 | 0.950 | 0.0084 | 6.025 | 0.015 | 9.108 | 0.0348 | 16.492 |
| Ratio (%) | 16.82 | 2.48 | 15.82 | 5.76 | 24.17 | 36.54 | 43.19 | 55.23 | 100 | 100 | |
| Coal Sample | Gas Pressure P (MPa) | Fitted Equation | First Derivative P′ | Degree of Correlationr2 |
|---|---|---|---|---|
| TD coal | 0.409 | P = −659.496 + 436,292e−t/359.712 | P′ = −1212.893e−t/359.712 | 0.99496 |
| 0.606 | P = −1073.261 + 630,350e−t/403.226 | P′ = −1563.267e−t/403.226 | 0.99608 | |
| 0.801 | P = 1389.513 + 836,487.8e−t/431.034 | P′ = −1940.652e−t/431.034 | 0.99692 | |
| 0.992 | P = −1753.92 + 1,012,430e−t/454.545 | P′ = −2227.348e−t/454.545 | 0.99745 | |
| PU coal | 0.409 | P = −639.433 + 431,328.422e−t/330.033 | P′ = −1306.925e−t/330.033 | 0.99451 |
| 0.609 | P = −1013.559 + 635,038.221e−t/371.747 | P′ = −1708.254e−t/371.747 | 0.99578 | |
| 0.797 | P = −1301.629 + 827,524.72e−t/398.406 | P′ = −2077.089e−t/398.406 | 0.99666 | |
| 0.998 | P = −1582.278 + 1,019,830e−t/420.168 | P′ = −2427.196e−t/420.168 | 0.99727 |
Publisher’s Note: MDPI stays neutral with regard to jurisdictional claims in published maps and institutional affiliations. |
© 2021 by the authors. Licensee MDPI, Basel, Switzerland. This article is an open access article distributed under the terms and conditions of the Creative Commons Attribution (CC BY) license (https://creativecommons.org/licenses/by/4.0/).
Share and Cite
Wang, C.; Li, X.; Xu, C.; Chen, Y.; Tang, Z.; Zhang, C.; Du, Y.; Gao, X.; Jiang, C. Dynamic Characterization during Gas Initial Desorption of Coal Particles and Its Influence on the Initiation of Coal and Gas Outbursts. Processes 2021, 9, 1101. https://doi.org/10.3390/pr9071101
Wang C, Li X, Xu C, Chen Y, Tang Z, Zhang C, Du Y, Gao X, Jiang C. Dynamic Characterization during Gas Initial Desorption of Coal Particles and Its Influence on the Initiation of Coal and Gas Outbursts. Processes. 2021; 9(7):1101. https://doi.org/10.3390/pr9071101
Chicago/Turabian StyleWang, Chaojie, Xiaowei Li, Changhang Xu, Yujia Chen, Zexiang Tang, Chao Zhang, Yang Du, Xiangyang Gao, and Chenglin Jiang. 2021. "Dynamic Characterization during Gas Initial Desorption of Coal Particles and Its Influence on the Initiation of Coal and Gas Outbursts" Processes 9, no. 7: 1101. https://doi.org/10.3390/pr9071101
APA StyleWang, C., Li, X., Xu, C., Chen, Y., Tang, Z., Zhang, C., Du, Y., Gao, X., & Jiang, C. (2021). Dynamic Characterization during Gas Initial Desorption of Coal Particles and Its Influence on the Initiation of Coal and Gas Outbursts. Processes, 9(7), 1101. https://doi.org/10.3390/pr9071101
