Measuring and Modeling the Solubility of Hydrogen Sulfide in rFeCl3/[bmim]Cl
Abstract
:1. Introduction
2. Materials and Methods
2.1. Chemicals
2.2. Experimental Design
3. Reaction Equilibrium Thermodynamic Model
4. Results and Discussion
4.1. Experimental Method Validation
4.2. H2S Solubility in rFeCl3/[bmim]Cl
4.3. Modeling
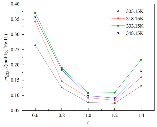
4.4. Influence of Molar Ratio
4.5. Influence of Pressure
4.6. Influence of Temperature
5. Conclusions
Supplementary Materials
Author Contributions
Funding
Institutional Review Board Statement
Data Availability Statement
Conflicts of Interest
References
- Shah, M.S.; Tsapatsis, M.; Siepmann, J.I. Hydrogen Sulfide Capture: From Absorption in Polar Liquids to Oxide, Zeolite, and Metal–Organic Framework Adsorbents and Membranes. Chem. Rev. 2017, 117, 9755–9803. [Google Scholar] [CrossRef]
- Noyola, A.; Morgan-Sagastume, J.M.; López-Hernández, J.E. Treatment of Biogas Produced in Anaerobic Reactors for Domestic Wastewater: Odor Control and Energy/Resource Recovery. Rev. Environ. Sci. Technol. 2006, 5, 93–114. [Google Scholar] [CrossRef]
- Kazemi, A.; Malayeri, M.; Kharaji, A.G.; Shariati, A. Feasibility study, simulation and economical evaluation of natural gas sweetening processes—Part 1: A case study on a low capacity plant in iran. J. Nat. Gas Sci. Eng. 2014, 20, 16–22. [Google Scholar] [CrossRef]
- Chiappe, C.; Pomelli, C.S. Hydrogen Sulfide and Ionic Liquids: Absorption, Separation, and Oxidation. Top. Curr. Chem. 2017, 375, 265–289. [Google Scholar] [CrossRef]
- Hua, G.X.; McManus, D.; Woollins, J.D. The Evolution, Chemistry and Applications of Homogeneous Liquid Redox Sulfur Recovery Techniques. Comments Inorg. Chem. 2001, 22, 327–351. [Google Scholar] [CrossRef]
- Piché, S.; Ribeiro, N.; Baçaoui, A.; Larachi, F. Assessment of a redox alkaline/iron-chelate absorption process for the removal of dilute hydrogen sulfide in air emissions. Chem. Eng. Sci. 2005, 60, 6452–6461. [Google Scholar] [CrossRef]
- Akhmetshina, A.I.; Petukhov, A.N.; Vorotyntsev, A.V.; Nyuchev, A.V.; Vorotyntsev, I.V. Absorption Behavior of Acid Gases in Protic Ionic Liquid/Alkanolamine Binary Mixtures. ACS Sustain. Chem. Eng. 2017, 5, 3429–3437. [Google Scholar] [CrossRef]
- Lü, H.; Deng, C.; Ren, W.; Yang, X. Oxidative desulfurization of model diesel using [(C4H9)4N]6Mo7O24 as a catalyst in ionic liquids. Fuel Process. Technol. 2014, 119, 87–91. [Google Scholar] [CrossRef]
- Saha, A.; Payra, S.; Dutta, D.; Banerjee, S. Acid-Functionalised Magnetic Ionic Liquid [AcMIm]FeCl4 as Catalyst for Oxidative Hydroxylation of Arylboronic Acids and Regioselective Friedel-Crafts Acylation. ChemPlusChem 2017, 82, 1129–1134. [Google Scholar] [CrossRef] [PubMed]
- Amarasekara, A.S. Acidic Ionic Liquids. Chem. Rev. 2016, 116, 6133–6183. [Google Scholar] [CrossRef]
- Zhao, T.; Li, P.; Feng, X.; Hu, X.; Wu, Y. Study on absorption and spectral properties of H2S in carboxylate protic ionic liquids with low viscosity. J. Mol. Liq. 2018, 266, 806–813. [Google Scholar] [CrossRef]
- Jalili, A.H.; Shokouhi, M.; Maurer, G.; Zoghi, A.T.; Ahari, J.S.; Forsat, K. Measuring and modelling the absorption and volumetric properties of CO2 and H2S in the ionic liquid 1-ethyl-3-methylimidazolium tetrafluoroborate. J. Chem. Thermodyn. 2019, 131, 544–556. [Google Scholar] [CrossRef]
- Huang, K.; Cai, D.-N.; Chen, Y.-L.; Wu, Y.-T.; Hu, X.-B.; Zhang, Z.-B. Dual Lewis Base Functionalization of Ionic Liquids for Highly Efficient and Selective Capture of H2S. ChemPlusChem 2013, 79, 241–249. [Google Scholar] [CrossRef] [PubMed]
- Wang, X.; Zeng, S.; Wang, J.; Shang, D.; Zhang, X.; Liu, J.; Zhang, Y. Selective Separation of Hydrogen Sulfide with Pyridinium-Based Ionic Liquids. Ind. Eng. Chem. Res. 2018, 57, 1284–1293. [Google Scholar] [CrossRef]
- Li, M.; Guan, J.; Han, J.; Liang, W.; Wang, K.; Duan, E.; Guo, B. Absorption and oxidation of H2S in triethylamine hydrochloride·ferric chloride ionic liquids. J. Mol. Liq. 2015, 209, 58–61. [Google Scholar] [CrossRef]
- He, Y.; Yu, J.; Chen, L. Wet oxidation of hydrogen sulfide by iron-based ionic liquid. J. Chem. Ind. 2010, 61, 963–968. [Google Scholar]
- Yoshida, Y.; Saito, G. Influence of structural variations in 1-alkyl-3-methylimidazolium cation and tetrahalogenoferrate(iii) anion on the physical properties of the paramagnetic ionic liquids. J. Mater. Chem. 2006, 16, 1254–1262. [Google Scholar] [CrossRef]
- Wang, J.; Ding, R.; Renren, D.; Jianhong, W. Effect of Water Content on Properties of Homogeneous [bmim]Fe(III)Cl4–H2O Mixtures and Their Application in Oxidative Absorption of H2S. Inorganics 2018, 6, 1–11. [Google Scholar]
- De Angelis, A.; Bellussi, G.; Pollesel, P.; Romano, U.; Perego, C. Process for the Removal of Hydrogen Sulfide, by Means of Its Oxidation in the Presence of Hetero Polyacids. U.S. Patent 7553473B2, 1 January 2009. [Google Scholar]
- Wang, J.; Zhang, W. Oxidative Absorption of Hydrogen Sulfide by Iron-Containing Ionic Liquids. Energy Fuels 2014, 28, 5930–5935. [Google Scholar] [CrossRef]
- Xu, W.; Cooper, E.I.; Angell, C.A. Ionic Liquids: Ion Mobilities, Glass Temperatures, and Fragilities. J. Phys. Chem. B 2003, 107, 6170–6178. [Google Scholar] [CrossRef]
- Piao, L.; Fu, X.; Yang, Y.; Tao, G.; Kou, Y. Alkylation of diphenyl oxide with α-dodecene catalyzed by ionic liquids. Catal. Today 2004, 93–95, 301–305. [Google Scholar] [CrossRef]
- Li, J.; Hu, Y.; Peng, X.; Zhang, X. Study on physicochemical properties of FeCl3/[C4mim][Cl] ionic liquids. J. Chem. Thermodyn. 2016, 97, 277–281. [Google Scholar] [CrossRef]
- Yang, J.; Xu, W.; Zhang, Q.; Jin, Y.; Zhang, Z. Thermodynamics of {1-methyl-3-butylimidazolium chloride+Iron(III) chloride}. J. Chem. Thermodyn. 2003, 35, 1855–1860. [Google Scholar] [CrossRef]
- Cruz, M.M.; Borges, R.P.; Godinho, M.; Marques, C.S.; Langa, E.; Ribeiro, A.P.C.; Lourenço, M.J.V.; Santos, F.J.V.; De Castro, C.A.N.; Macatrão, M.; et al. Thermophysical and magnetic studies of two paramagnetic liquid salts: [C4mim][FeCl4] and [P66614][FeCl4]. Fluid Phase Equilib. 2013, 350, 43–50. [Google Scholar] [CrossRef]
- Hayashi, S.; Hamaguchi, H. Discovery of a magnetic Ionic Liquid [bmim]FeCl4. Chem. Lett. 2004, 33, 1590–1591. [Google Scholar] [CrossRef]
- Safarov, J.; Sperlich, C.; Namazova, A.; Aliyev, A.; Tuma, D.; Shahverdiyev, A.; Hassel, E. Carbon dioxide solubility in 1-butyl-3-methylimidazolium tetrafluoroborate and 1-butyl-3-methylimidazolium tetrachloroferrate over an extended range of temperature and pressure. Fluid Phase Equilib. 2018, 467, 45–60. [Google Scholar] [CrossRef]
- Jia, T.; Bi, S.; Wu, J. Solubilities of carbon dioxide, oxygen, and nitrogen in aqueous ethylene glycol solution under low pressures. Fluid Phase Equilib. 2019, 485, 16–22. [Google Scholar] [CrossRef]
- Huang, K.; Cai, D.-N.; Chen, Y.-L.; Wu, Y.-T.; Hu, X.-B.; Zhang, Z.-B. Thermodynamic validation of 1-alkyl-3-methylimidazolium carboxylates as task-specific ionic liquids for H2S absorption. AIChE J. 2013, 59, 2227–2235. [Google Scholar] [CrossRef]
- Cadena, F.; Peters, R.W. Evaluation of Chemical Oxidizers for Hydrogen Sulfide Control. J. (Water Pollut. Control Federat.) 1988, 60, 1259–1263. [Google Scholar]
- Poling, B.E.; Thomson, G.H.; Friend, D.G.; Rowley, R.L.; Wilding, W.V. Perry’s Chemical Engineers’ Handbook; The McGraw-Hill Companies: New York, NY, USA, 2008; pp. 2–213. [Google Scholar]
- Sánchez, L.G.; Meindersma, G.; de Haan, A. Kinetics of absorption of CO2 in amino-functionalized ionic liquids. Chem. Eng. J. 2011, 166, 1104–1115. [Google Scholar] [CrossRef]
- Shannon, M.S.; Tedstone, J.M.; Danielsen, S.P.O.; Hindman, M.S.; Irvin, A.C.; Bara, J.E. Free Volume as the Basis of Gas Solubility and Selectivity in Imidazolium-Based Ionic Liquids. Ind. Eng. Chem. Res. 2012, 51, 5565–5576. [Google Scholar] [CrossRef]
- Nguyen, M.D.; Nguyen, L.V.; Jeon, E.H.; Kim, J.H.; Cheong, M.; Kim, H.S.; Lee, J.S. Fe-containing ionic liquids as catalysts for the dimerization of bicyclo[2.2.1]hepta-2,5-diene. J. Catal. 2008, 258, 5–13. [Google Scholar] [CrossRef]









| Composition | Computational Formula | |
|---|---|---|
| r < 1 | [bmim]Cl, [bmim]FeCl4 | |
| r = 1 | [bmim]FeCl4 | |
| r > 1 | [bmim]FeCl4, [bmim]Fe2Cl7 |
| T/K | ||||
|---|---|---|---|---|
| 303.15 | 318.15 | 333.15 | 348.15 | |
| r = 0.6 | ||||
| Hm/kPa | 325.7 | 604.9 | 966.6 | 1408.7 |
| K | 0.04588 | 0.1585 | 0.3091 | 0.4082 |
| MRE/% | 1.66 | 2.08 | 1.80 | 2.61 |
| MD/% | 6.70 | 8.73 | 5.65 | 8.20 |
| r = 0.8 | ||||
| Hm/kPa | 313.6 | 505.7 | 832.7 | 1174.4 |
| K | 0.0108 | 0.0242 | 0.0713 | 0.0940 |
| MRE/% | 2.49 | 2.74 | 2.80 | 3.01 |
| MD/% | 7.77 | 8.09 | 7.95 | 7.75 |
| r = 1.0 | ||||
| Hm/kPa | 330.8 | 471.6 | 575.9 | 803.4 |
| K | 0.0049 | 0.0103 | 0.0175 | 0.0205 |
| MRE/% | 3.17 | 1.95 | 2.56 | 1.78 |
| MD/% | 9.77 | 7.56 | 8.48 | 7.83 |
| r = 1.2 | ||||
| Hm/kPa | 378.8 | 638.1 | 935.8 | 1484.8 |
| K | 0.0063 | 0.0141 | 0.0359 | 0.0385 |
| MRE/% | 2.84 | 1.86 | 3.11 | 3.07 |
| MD/% | 9.35 | 9.05 | 6.67 | 6.05 |
| r = 1.4 | ||||
| Hm/kPa | 462.0 | 797.5 | 1697.3 | 3492.7 |
| K | 0.0322 | 0.0855 | 0.3794 | 0.4917 |
| MRE/% | 1.39 | 1.62 | 0.96 | 2.34 |
| MD/% | 5.73 | 8.05 | 1.81 | 7.63 |
Publisher’s Note: MDPI stays neutral with regard to jurisdictional claims in published maps and institutional affiliations. |
© 2021 by the authors. Licensee MDPI, Basel, Switzerland. This article is an open access article distributed under the terms and conditions of the Creative Commons Attribution (CC BY) license (https://creativecommons.org/licenses/by/4.0/).
Share and Cite
Cheng, H.; Li, N.; Zhang, R.; Wang, N.; Yang, Y.; Teng, Y.; Jia, W.; Zheng, S. Measuring and Modeling the Solubility of Hydrogen Sulfide in rFeCl3/[bmim]Cl. Processes 2021, 9, 652. https://doi.org/10.3390/pr9040652
Cheng H, Li N, Zhang R, Wang N, Yang Y, Teng Y, Jia W, Zheng S. Measuring and Modeling the Solubility of Hydrogen Sulfide in rFeCl3/[bmim]Cl. Processes. 2021; 9(4):652. https://doi.org/10.3390/pr9040652
Chicago/Turabian StyleCheng, Huanong, Na Li, Rui Zhang, Ning Wang, Yuanyuan Yang, Yun Teng, Wenting Jia, and Shiqing Zheng. 2021. "Measuring and Modeling the Solubility of Hydrogen Sulfide in rFeCl3/[bmim]Cl" Processes 9, no. 4: 652. https://doi.org/10.3390/pr9040652
APA StyleCheng, H., Li, N., Zhang, R., Wang, N., Yang, Y., Teng, Y., Jia, W., & Zheng, S. (2021). Measuring and Modeling the Solubility of Hydrogen Sulfide in rFeCl3/[bmim]Cl. Processes, 9(4), 652. https://doi.org/10.3390/pr9040652

