Multi-Objective Optimizations of Non-Isothermal Simulated Moving Bed Reactor: Parametric Analyses
Abstract
1. Introduction
2. Modeling of SMBR
2.1. Mathematical Model
2.2. Numerical Solution
2.3. Model Parameters
3. Multiobjective Optimization of an SMBR
3.1. Variables
3.2. SMBR Performance
3.3. Definitions of Optimization Problems
4. Results and Discussion
4.1. Effects of the Forward Reaction Rate
4.1.1. Pareto Solutions
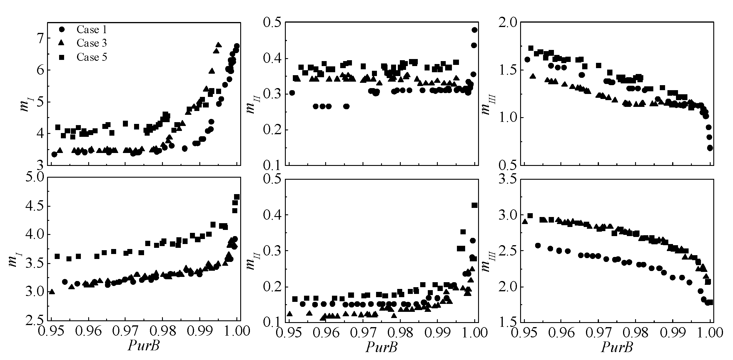
4.1.2. Decision Variables: m Values
4.1.3. Internal Concentration Profiles and Reaction Rate
4.2. Effects of Adsorption Strength of Reactant A
4.2.1. Overall Effects of α2
4.2.2. α2 Lower than 1 ()
4.2.3. α2 in the Middle Range ()
4.2.4. α2 Equal to 20 ()
4.3. Effects of Activation Energy
4.4. Effects of Feed Concentration and Reaction Equilibrium
5. Conclusions and Remarks
Supplementary Materials
Author Contributions
Funding
Informed Consent Statement
Data Availability Statement
Conflicts of Interest
Nomenclatures
| c | mobile phase concentration, mol m−3 |
| Conv | conversion |
| d | column diameter, m |
| Dapp | apparent dispersion coefficient in ED model, m2 s−2 |
| Da | Damkohler number |
| Ef | activation energy, kJ mol−1 |
| ef | dimensionless activation energy |
| H | Henry constant |
| kf | forward rate constant, s−1 |
| Keq | equilibrium constant, mol m−3 |
| dimensionless equilibrium constant | |
| L | column length, m |
| m | flow rate ratio |
| N | plate number |
| Pe | Peclet number |
| PurB | product purity |
| Q | flow rate, m3 s−1 |
| dimensionless flow rate | |
| r | reaction rate, mol m−3 s−1 |
| dimensionless reaction rate | |
| R | universal gas constant, 8.314 J mol−1 K−1 |
| t | time, s |
| T | temperature, K |
| ts | switching time, s |
| UT | unit throughput |
| Vcol | column volume, m3 |
| x | dimensionless mobile phase concentration |
| YB | yield |
| z | axial coordinate, m |
| Z | dimensionless axial coordinate |
| Greeks | |
| α1 | multiplier of forward rate constant |
| α2 | multiplier of Henry constant of reactant A |
| α3 | multiplier of activation energy |
| α4 | multiplier of feed concentrations |
| α5 | multiplier of reaction enthalpy |
| ΔHads | adsorption enthalpy, kJ mol−1 |
| Δhads | dimensionless adsorption enthalpy |
| ΔHrxn | reaction enthalpy, kJ mol−1 |
| Δhrxn | dimensionless reaction enthalpy |
| ε | column voidage |
| φ | phase ratio |
| characteristic value for temperature transition, s−1 | |
| dimensionless value characterizing temperature transition | |
| stoichiometric number | |
| θ | dimensionless temperature |
| θrel | relative temperature |
| dimensionless time | |
| dimensionless switching time | |
| Subscripts and superscripts | |
| feed | feed stream |
| i | component index, A, B, C for reactant, product and byproduct |
| j | index of zones, j = I, II, III, IV |
| M | mash point along axial direction |
| max | highest value |
| min | lowest value |
| ref | reference temperature |
References
- Schmidt-Traub, H. Preparative Chromatography; WILEY-VCH: Weinheim, Germany, 2005. [Google Scholar]
- Minceva, M.; Rodrigues, A.E. Modeling and simulation of a simulated moving bed for the separation of p-xylene. Ind. Eng. Chem. Res. 2002, 41, 3454–3461. [Google Scholar] [CrossRef]
- Rodrigues, A.; Pereira, C.; Minceva, M.; Pais, L.; Ribeiro, A.; Silva, M.; Graça, N.; Santos, J. Simulated Moving Bed Technology; Elsevier: Amsterdam, The Netherlands, 2015. [Google Scholar]
- Nicoud, R.M. Chromotographic Processes: Modeling, Simulation and Design; Cambridge University Press: Cambridge, UK, 2015. [Google Scholar]
- Fish, B.B.; Carr, R.W.; Aris, R. Computer aided experimentation in countercurrent reaction chromatography and simulated countercurrent chromatography. Chem. Eng. Sci. 1988, 43, 1867–1873. [Google Scholar] [CrossRef]
- Lode, F.; Houmard, M.; Migliorini, C.; Mazzotti, M.; Morbidelli, M. Continuous reactive chromatography. Chem. Eng. Sci. 2001, 56, 269–291. [Google Scholar] [CrossRef]
- Ströhlein, G.; Assunção, Y.; Dube, N.; Bardow, A.; Mazzotti, M.; Morbidelli, M. Esterifification of acrylic acid with methanol by reactive chromatography: Experiments and simulations. Chem. Eng. Sci. 2006, 61, 5296–5306. [Google Scholar] [CrossRef]
- Tie, S.; Sreedhar, B.; Agrawal, G.; Oh, J.; Donaldson, M.; Frank, T.; Schultz, A.; Bommarius, A.; Kawajiri, Y. Model-based design and experimental validation of simulated moving bed reactor for production of glycol ether ester. Chem. Eng. J. 2016, 301, 188–199. [Google Scholar] [CrossRef]
- Pereira, C.S.; Silva, V.M.; Rodrigues, A.E. Fixed bed adsorptive reactor for ethyl lactate syn-thesis: Experiments, modeling and simulation. Sep. Sci. Technol. 2009, 44, 2721–2749. [Google Scholar] [CrossRef]
- Constantino, D.S.; Pereira, C.S.; Faria, R.P.; Ferreira, A.F.; Loureiro, J.M.; Rodrigues, A.E. Synthesis of butyl acrylate in a fixed-bed adsorptive reactor over Amberlyst 15. AIChE J. 2015, 61, 1263–1274. [Google Scholar] [CrossRef]
- Rodrigues, A.E.; Da Silva, V.M.T.M. Industrial Process for Acetals Production in a Simulated Moving Bed Reactor. U.S. Patent No 7,488,851, 10 February 2009. [Google Scholar]
- Zhang, Z.; Hidajat, K.; Ray, A.K. Application of simulated countercurrent moving-bed chromato-graphic reactor for MTBE synthesis. Ind. Eng. Chem. Res. 2001, 40, 5305–5316. [Google Scholar] [CrossRef]
- Ray, A.K.; Carr, R.W. Numerical simulation of a simulated countercurrent moving bed chromato-graphic reactor. Chem. Eng. Sci. 1995, 50, 3033–3041. [Google Scholar] [CrossRef]
- Ray, A.K.; Carr, R.W. Experimental study of a laboratory-scale simulated countercurrent moving bed chromatographic reactor. Chem. Eng. Sci. 1995, 50, 2195–2202. [Google Scholar] [CrossRef]
- Ching, C.B.; Lu, Z.P. Simulated moving-bed reactor: Application in bioreaction and separation. Ind. Eng. Chem. Res. 1997, 36, 152–159. [Google Scholar] [CrossRef]
- Baur, R.; Krishna, R. A moving bed reactor concept for alkane isomerization. Chem. Eng. J. 2005, 109, 107–113. [Google Scholar] [CrossRef]
- Zhang, Y.; Hidajat, K.; Ray, A.K. Modified reactive SMB for production of high concentrated fructose syrup by isomerization of glucose to fructose. Biochem. Eng. J. 2007, 35, 341–351. [Google Scholar] [CrossRef]
- Azevedo, D.C.; Rodrigues, A.E. Design methodology and operation of a simulated moving bed reactor for the inversion of sucrose and glucose–fructose separation. Chem. Eng. J. 2001, 82, 95–107. [Google Scholar] [CrossRef]
- Gonçalves, J.C.; Rodrigues, A.E. Simulated moving bed reactor for p-xylene production: Adsorbent and catalyst homogeneous mixture. Chem. Eng. J. 2014, 258, 194–202. [Google Scholar] [CrossRef]
- Minceva, M.; Gomes, P.S.; Meshko, V.; Rodrigues, A.E. Rodrigues, Simulated moving bed reactor for isomerization and separation of p-xylene. Chem. Eng. J. 2008, 140, 305–323. [Google Scholar] [CrossRef]
- Yu, W.; Hidajat, K.; Ray, A.K. Optimization of reactive simulated moving bed and varicol systems for hydrolysis of methyl acetate. Chem. Eng. J. 2005, 112, 57–72. [Google Scholar] [CrossRef]
- Pais, L.S.; Rodrigues, A.E. Design of simulated moving bed and varicol processes for preparative separations with a low number of columns. J. Chromatogr. A 2003, 1006, 33–44. [Google Scholar] [CrossRef]
- Zhang, Y.; Hidajat, K.; Ray, A.K. Enantio-separation of racemic pindolol on a1-acid glycoprotein chiral stationary phase by SMB and varicol. Chem. Eng. Sci. 2007, 62, 1364–1375. [Google Scholar] [CrossRef]
- Subramani, H.J.; Hidajat, K.; Ray, A.K. Optimization of reactive SMB and varicol systems. Comput. Chem. Eng. 2003, 27, 1883–1901. [Google Scholar] [CrossRef]
- Migliorini, C.; Wendlinger, A.M.; Mazzotti, M.; Morbidelli, M. Temperature gradient operation of a simulated moving bed unit. Ind. Eng. Chem. Res. 2001, 40, 2606–2617. [Google Scholar] [CrossRef]
- Jin, W.; Wankat, P.C. Thermal operation of four-zone simulated moving beds. Ind. Eng. Chem. Res. 2007, 46, 7208–7220. [Google Scholar] [CrossRef]
- Abel, S.; Mazzotti, M.; Morbidelli, M. Solvent gradient operation of simulated moving beds. J. Chromatogr. A 2002, 944, 23–39. [Google Scholar] [CrossRef]
- Ziomek, G.; Kaspereit, M.; Jeżowski, J.; Seidel-Morgenstern, A.; Antos, D. Effect of mobile phase composition on the SMB processer efficiency stochastic optimization of isocratic and gradient operation. J. Chromatogr. A 2005, 1070, 111–124. [Google Scholar] [CrossRef]
- Jiang, X.; Zhu, L.; Yu, B.; Su, Q.; Xu, J.; Yu, W. Analyses of simulated moving bed with internal temperature gradients for binary separation of ketoprofen enantiomers using multi-objective optimization: Linear equilibria. J. Chromatogr. A. 2018, 1531, 131–142. [Google Scholar] [CrossRef]
- Graça, N.S.; Pais, L.S.; Silva, V.M.; Rodrigues, A.E. Thermal effects on the synthesis of acetals in a simulated moving bed adsorptive reactor. Chem. Eng. J. 2012, 207, 504–513. [Google Scholar] [CrossRef]
- Xu, J.; Liu, Y.; Xu, G.; Yu, W.; Ray, A.K. Analyses of a non-isothermal simulated moving bed reactor. AIChE J. 2013, 59, 4705–4714. [Google Scholar] [CrossRef]
- Wang, J.; Tian, Y.; Li, Y.; Xu, J.; Yu, W.; Ray, A.K. Multi-objective optimization of non-isothermal simulated moving bed reactor: Methyl acetate synthesis. Chem. Eng. J. 2020, 395, 125041. [Google Scholar] [CrossRef]
- Storti, G.; Mazzotti, M.; Morbidelli, M.; Carrà, S. Robust design of binary countercurrent adsorption separation processes. AIChE J. 1993, 39, 471–492. [Google Scholar] [CrossRef]
- Mazzotti, M.; Storti, G.; Morbidelli, M. Optimal operation of simulated moving bed units for nonlinear chromatographic separations. J. Chromatogr. A 1997, 769, 3–24. [Google Scholar] [CrossRef]
- Kaspereit, M.; Seidel-Morgenstern, A.; Kienle, A. Design of simulated moving bed processes under reduced purity requirements. J. Chromatogr. A 2007, 1162, 2–13. [Google Scholar] [CrossRef] [PubMed]
- Yu, W.; Hidajat, K.; Ray, A.K. Determination of adsorption and kinetic parameters for methyl acetate esterification and hydrolysis reaction catalyzed by Amberlyst 15. Appl. Catal. A Gen. 2004, 260, 191–205. [Google Scholar] [CrossRef]
- Horváth, K.; Fairchild, J.N.; Kaczmarski, K.; Guiochon, G. Martin-Synge algorithm for the solution of equilibrium-dispersive model of liquid chromatography. J. Chromatogr. A 2010, 1217, 8127–8135. [Google Scholar] [CrossRef] [PubMed]
- Hindmarsh, A.C. LSODE and LSODI, two new initial value ordinary differential equation solvers. ACM Signum Newsl. 1980, 15, 10–11. [Google Scholar] [CrossRef]
- Valizadeh, K.; Davarpanah, A. Design and construction of a micro-photo bioreactor in order to dairy wastewater treatment by micro-algae: Parametric study. Energ Scource Part A 2020, 40, 611–624. [Google Scholar] [CrossRef]
- Valizadeh, K.; Farahbakhsh, S.; Bateni, A.; Zargarian, A.; Davarpanah, A.; Alizadeh, A.; Zarei, M. A para-metric study to simulate the non-Newtonian turbulent flow in spiral tubes. Energy Sci. Eng. 2020, 8, 134–149. [Google Scholar] [CrossRef]
- Xu, J.; Harold, M.P.; Balakotaiah, V. Microkinetic modeling of steady-state NO/H2/O2 on Pt/BaO/Al2O3 NOx storage and reduction monolith catalysts. Appl. Catal. B Environ. 2009, 89, 73–86. [Google Scholar] [CrossRef]
- Bird, R.; Stewart, W.; Lightfoot, E. Transport Phenomena, 2nd ed.; John Wiley & Sons, Inc.: New York, NY, USA, 2002. [Google Scholar]
- Zhang, Z.; Hidajat, K.; Ray, A.K.; Morbidelli, M. Multiobjective optimization of SMB and varicol process for chiral separation. AIChE J. 2002, 48, 2800–2816. [Google Scholar] [CrossRef]
- Kawajiri, Y.; Biegler, L.T. Comparison of configurations of a four-column simulated moving bed process by multi-objective optimization. Adsorption 2007, 14, 433–442. [Google Scholar] [CrossRef]
- Dhiman, G.; Kumar, V. Multi-objective spotted hyena optimizer: A multi-objective optimization algorithm for engineering problems. Knowl. Based Syst. 2018, 150, 175–197. [Google Scholar] [CrossRef]
- Deb, K.; Pratap, A.; Agarwal, S.; Meyarivan, T.A.M.T. A fast and elitist multiobjective genetic algorithm: NSGA-II. IEEE Trans. Evol. Comput. 2002, 6, 182–197. [Google Scholar] [CrossRef]
- Ehyaei, M.A.; Ahmadi, A.; Rosen, M.A.; Davarpanah, A. Thermodynamic optimization of a geo-thermal power plant with a genetic algorithm in two stages. Processes 2020, 8, 1277. [Google Scholar] [CrossRef]
- Li, Y.; Xu, J.; Yu, W.; Ray, A.K. Multi-objective optimization of sequential simulated moving bed for the purification of xylo-oligosaccharides. Chem. Eng. Sci. 2020, 211, 115279. [Google Scholar] [CrossRef]
- Antos, D.; Seidel-Morgenstern, A. Application of gradients in the simulated moving bed process. Chem. Eng. Sci. 2001, 56, 6667–6682. [Google Scholar] [CrossRef]
- Wang, J. Multi-objecitve optimization of a non-isothermal simulated moving bed reactor for reversible reactions. Master’s Thesis, Wenzhou University, Wenzhou, China, 2020. [Google Scholar]











| Variable | Definition | Variable | Definition |
|---|---|---|---|
| Column and Operation | Adsorption Equilibrium | Kinetics | ||||
|---|---|---|---|---|---|---|
| φ | 1.5 | Δhads | 2.48 (α1) * | |||
| N | 50 | A | 0.426 (α2) | −157.5 | ef | 354.4 (α3) |
| xA,feed | 1.0 (α4) | B | 0.375 | −73.0 | 167.4 | |
| θ | C | 2.92 | −68.4 | −46.8 (α5) | ||
| No. | ||||
|---|---|---|---|---|
| I | II | III | IV | |
| 1 | 1 | 1 | 1 | 1 |
| 2 | 1 | 1 | 1 | 0 |
| 3 | 1 | 1 | 0 | 0 |
| 4 | 1 | 0.667 | 0.333 | 0 |
| 5 | 0 | 0 | 0 | 0 |
| Objectives | Constraints | Variables | |
|---|---|---|---|
| Decision | Fixed | ||
| Max PurB Max UT | PurE > 0.95 YE > 0.90 | mI, mII, mIII, mIV | (Equation (20)) |
| Case | ConvII (10−2) | ConvIII (10−2) | ||
|---|---|---|---|---|
| α1 = 1 | α1 = 100 | α1 = 1 | α1 = 100 | |
| 1 | 13.0 | 0.5 | 86.2 | 99.2 |
| 2 | 13.4 | 0.5 | 85.9 | 99.3 |
| 3 | 17.2 | 0.5 | 81.8 | 99.2 |
| 4 | 16.3 | 0.5 | 82.7 | 99.3 |
| 5 | 15.0 | 0.5 | 84.1 | 99.2 |
Publisher’s Note: MDPI stays neutral with regard to jurisdictional claims in published maps and institutional affiliations. |
© 2021 by the authors. Licensee MDPI, Basel, Switzerland. This article is an open access article distributed under the terms and conditions of the Creative Commons Attribution (CC BY) license (http://creativecommons.org/licenses/by/4.0/).
Share and Cite
Wang, J.; Chen, W.; Li, Y.; Xu, J.; Yu, W.; Ray, A.K. Multi-Objective Optimizations of Non-Isothermal Simulated Moving Bed Reactor: Parametric Analyses. Processes 2021, 9, 360. https://doi.org/10.3390/pr9020360
Wang J, Chen W, Li Y, Xu J, Yu W, Ray AK. Multi-Objective Optimizations of Non-Isothermal Simulated Moving Bed Reactor: Parametric Analyses. Processes. 2021; 9(2):360. https://doi.org/10.3390/pr9020360
Chicago/Turabian StyleWang, Jian, Wenwei Chen, Yan Li, Jin Xu, Weifang Yu, and Ajay K. Ray. 2021. "Multi-Objective Optimizations of Non-Isothermal Simulated Moving Bed Reactor: Parametric Analyses" Processes 9, no. 2: 360. https://doi.org/10.3390/pr9020360
APA StyleWang, J., Chen, W., Li, Y., Xu, J., Yu, W., & Ray, A. K. (2021). Multi-Objective Optimizations of Non-Isothermal Simulated Moving Bed Reactor: Parametric Analyses. Processes, 9(2), 360. https://doi.org/10.3390/pr9020360

