Optimization of Metal Recovery from MSWI Fly Ash by Acid Leaching: Findings from Laboratory- and Industrial-Scale Experiments
Abstract
:1. Introduction
2. Materials and Methods
2.1. FLUWA Process at MSWI Plant Linth: Process Conditions and Composition of FA
2.2. Chemical Analysis
2.3. Laboratory-Scale Experiments
2.4. Industrial-Scale Experiments
2.5. Calculation of the Leaching Recovery
3. Results
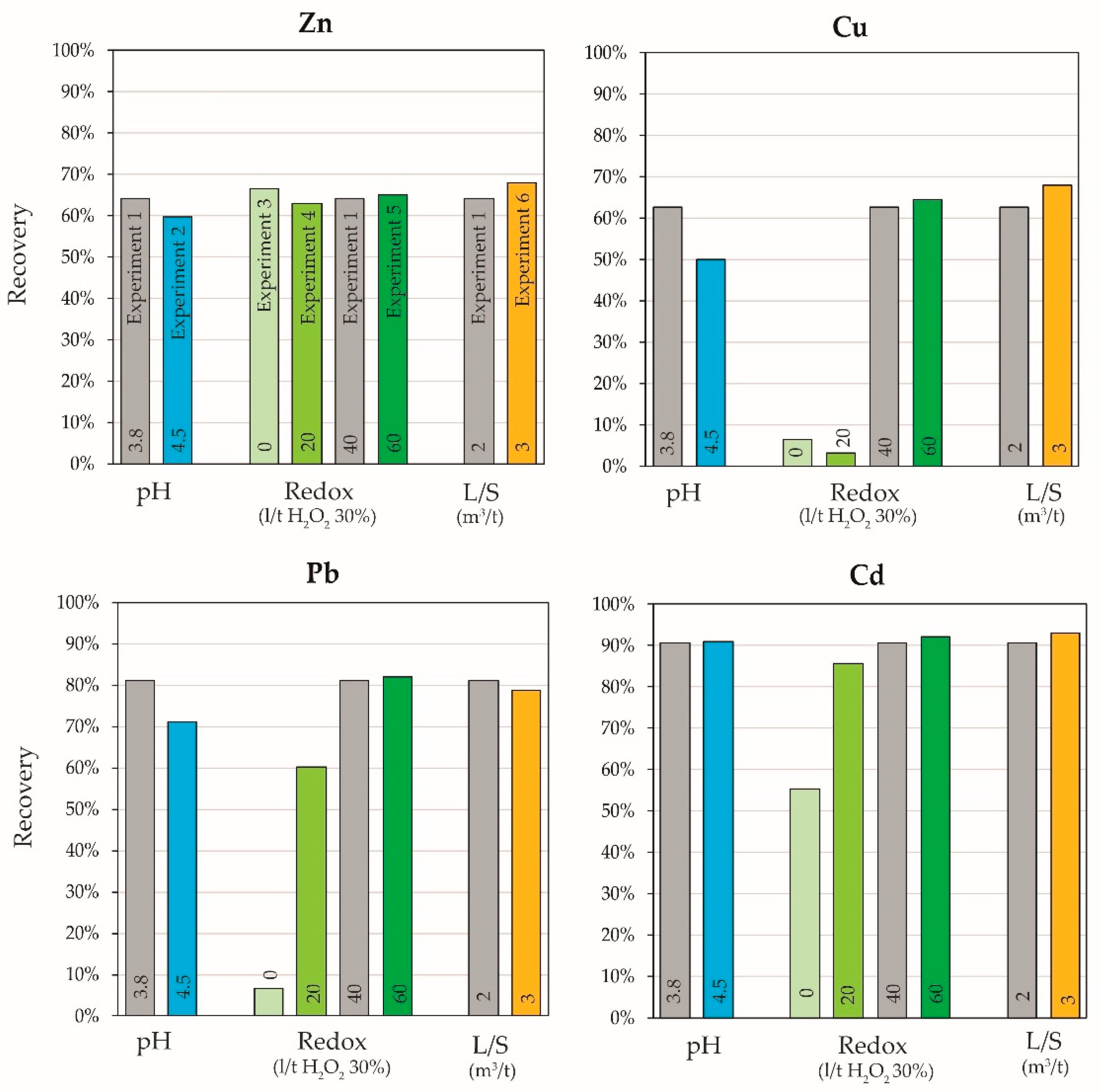
3.1. Laboratory-Scale Experiments
3.2. Industrial-Scale Experiments
4. Discussion
4.1. Process Stability and Leaching Behaviour of Zn, Cu, Pb, Cd
4.2. Comparability Between Laboratory-and Industrial-Scale Experiments
5. Conclusions
Author Contributions
Funding
Acknowledgments
Conflicts of Interest
References
- Federal Office for the Environment (FOEN). Indikator Abfall. 2016. Available online: https://www.bafu.admin.ch (accessed on 30 October 2020).
- Zucha, W.; Weibel, G.; Wolffers, M.; Eggenberger, U. Inventory of MSWI Fly Ash in Switzerland: Heavy Metal Recovery Potential and Their Properties for Acid Leaching. Processes 2020, 8, 1668. [Google Scholar] [CrossRef]
- Bayuseno, A.P.; Schmahl, W.W. Characterization of MSWI fly ash through mineralogy and water extraction. Resour. Conserv. Recycl. 2011, 55, 524–534. [Google Scholar] [CrossRef]
- Katsuura, H.; Inoue, T.; Hiraoka, M.; Sakai, S. Full-scale plant study on fly ash treatment by the acid extraction process. Waste Manag. 1996, 16, 491–499. [Google Scholar] [CrossRef]
- Van der Bruggen, B.; Vogels, G.; Van Herck, P.; Vandecasteele, C. Simulation of acid washing of municipal solid waste incineration fly ashes in order to remove heavy metals. J. Hazard. Mater. 1998, 57, 127–144. [Google Scholar] [CrossRef]
- Ludwig, B.; Khanna, P.; Prenzel, J.; Beese, F. Heavy metal release from different ashes during serial batch tests using water and acid. Waste Manag. 2005, 25, 1055–1066. [Google Scholar] [CrossRef] [PubMed]
- Chiang, K.-Y.; Jih, J.-C.; Chien, M.-D. The acid extraction of metals from municipal solid waste incinerator products. Hydrometallurgy 2008, 93, 16–22. [Google Scholar] [CrossRef]
- Yang, R.; Liao, W.-P.; Lin, C.-Y. Feasibility of lead and copper recovery from MSWI fly ash by combining acid leaching and electrodeposition treatment. Environ. Prog. Sustain. Energy 2012, 32, 1074–1081. [Google Scholar] [CrossRef]
- Tang, J.; Steenari, B.M. Solvent extraction separation of copper and zinc from MSWI fly ash leachates. Waste Manag. 2015, 44, 147–154. [Google Scholar] [CrossRef] [PubMed]
- Quina, M.J.; Bontempi, E.; Bogush, A.; Schlumberger, S.; Weibel, G.; Braga, R.; Funari, V.; Hyks, J.; Rasmussen, E.; Lederer, J. Technologies for the management of MSW incineration ashes from gas cleaning: New perspectives on recovery of secondary raw materials and circular economy. Sci. Total Environ. 2016, 635, 526–542. [Google Scholar] [CrossRef] [PubMed]
- Ferraro, A.; Farina, I.; Race, M.; Colangelo, F.; Cioffi, R.; Fabbricino, M. Pre-treatments of MSWI fly-ashes: A comprehensive review to determine optimal conditions for their reuse and/or environmentally sustainable disposal. Rev. Environ. Sci. Biotechnol. 2019, 18, 453–471. [Google Scholar] [CrossRef]
- Schlumberger, S.; Schuster, M.; Ringmann, S.; Koralewska, R. Recovery of high purity zinc from filter ash produced during the thermal treatment of waste and inerting of residual materials. Waste Manag. Res. 2007, 25, 547–555. [Google Scholar] [CrossRef] [PubMed]
- Bühler, A.; Schlumberger, S. Recovering heavy metals from fly ash “Acid fly ash leaching–FLUWA process” a forward-looking process in waste in-cineration. MSWI residues in Switzerland–The raw material with added value. Fed. Off. Environ. 2010, 1, 185–192. [Google Scholar]
- Karlfeldt Fedje, K.; Andersson, S. Zinc recovery from Waste-to-Energy fly ash—A pilot test study. Waste Manag. 2020, 118, 90–98. [Google Scholar] [CrossRef] [PubMed]
- Weibel, G.; Eggenberger, U.; Schlumberger, S.; Mäder, U.K. Chemical associations and mobilization of heavy metals in fly ash from municipal solid waste incineration. Waste Manag. 2017, 62, 147–159. [Google Scholar] [CrossRef] [PubMed]
- Free, M. Hydrometallurgy Fundamentals and Applications; John Wiley & Sons, Inc.: Hoboken, NJ, USA, 2013; pp. 1–427. [Google Scholar]
- Karavasteva, M. Kinetics and deposit morphology of copper cementation onto zinc, iron and aluminium. Hydrometallurgy 2005, 76, 149–152. [Google Scholar] [CrossRef]
- Demirkıran, N.; Ekmekyapar, A.; Künkül, A.; Baysar, A. A kinetic study of copper cementation with zinc in aqueous solutions. Int. J. Miner. Process. 2007, 82, 80–85. [Google Scholar]
- Swiss Confederation. Verordnung über die Vermeidung und die Entsorgung von Abfällen (VVEA). Available online: https://www.fedlex.admin.ch/eli/cc/2015/891/de (accessed on 15 November 2020).
- Stiftung Zentrum für Abfall- und nachhaltige Ressourcennutzung (ZAR). SwissZinc—National Plant for the Recycling of MSWI Hydroxide Sludge (Fact Sheet no. 2). 2016. Available online: https://zar-ch.ch/fileadmin/user_upload/Contentdokumente/Oeffentliche_Dokumente/Projektblatt_SwissZinc_Nr2.pdf(accessed on 30 November 2020).
- Hartinger, L. Handbook of Wastewater and Recycling Technology; Fachbuchverlag Leipzig: Munich, Germany, 1991; Volume 2, ISBN 978-3-446-43170-6. [Google Scholar]
- Hollemann, A.F.; Wiberg, E. Lehrbuch der Anorganischen Chemie; Walter de Gruyter: Berlin, Deutschland, 2007; Volume 2, ISBN 978-3-11-017770-1. [Google Scholar]
- Weibel, G.; Eggenberger, U.; Kulik, D.A.; Hummel, W.; Schlumberger, S.; Klink, W.; Fisch, M.; Mäder, U.K. Extraction of heavy metals from MSWI fly ash using hydrochloric acid and sodium chloride solution. Waste Manag. 2018, 76, 457–471. [Google Scholar] [CrossRef] [PubMed]




| Mean Concentration of FA Treated at MSWI Plant Linth | |||
|---|---|---|---|
| Al | 30,278 | ± | 2268 |
| Ba | 2152 | ± | 208 |
| Br | 3255 | ± | 174 |
| Ca | 144,928 | ± | 8696 |
| Cd | 332 | ± | 34 |
| Cl | 97,707 | ± | 2892 |
| Cr | 684 | ± | 120 |
| Cu | 2671 | ± | 291 |
| Fe | 19,274 | ± | 1271 |
| K | 52,755 | ± | 3590 |
| Mn | 881 | ± | 67 |
| Ni | 132 | ± | 16 |
| P | 3851 | ± | 117 |
| Pb | 9378 | ± | 973 |
| S | 61,619 | ± | 9450 |
| Sb | 2621 | ± | 273 |
| Si | 77,689 | ± | 15,562 |
| Sn | 1447 | ± | 139 |
| Ti | 9783 | ± | 887 |
| Zn | 52,593 | ± | 7371 |
| Parameter | pH | Redox (L/t H2O2) | L/S (m3/t) |
|---|---|---|---|
| Experiment 1 | 3.8 | 40 | 2 |
| Experiment 2 | 4.5 | 40 | 2 |
| Experiment 3 | 3.8 | 0 | 2 |
| Experiment 4 | 3.8 | 20 | 2 |
| Experiment 5 | 3.8 | 60 | 2 |
| Experiment 6 | 3.8 | 40 | 3 |
| Parameter. | pH | Redox (L/t H2O2) | L/S (m3/t) |
|---|---|---|---|
| Experiment A | 6 | 0 | 3 |
| Experiment B | 4.5 | 40 | 3 |
| Experiment C | 4 | 40 | 4 |
| Amount of material | Elemental concentrations (ppm) | ||||
|---|---|---|---|---|---|
| Cd | Zn | Pb | Cu | ||
| Fly ash (FA) | 75 g | 364 ± 10 | 47,877 ± 2200 | 10,080 ± 275 | 2942 ± 115 |
| Scrub water | 150 mL | <0.1 | <0.1 | <0.1 | <0.1 |
| Filter cake † | 164 ± 1 g | 48 ± 2 | 24,715 ± 841 | 2740 ± 23 | 1571 ± 16 |
| Leachate | 180 ± 3 mL †† | 128 ± 1 | 11,519 ± 112 | 3242 ± 66 | 879 ± 7 |
| Mass balance | 95% | 93% | 97% | 94% | |
| Experiment | Zn [%] | Pb [%] | Cu [%] | Cd [%] |
|---|---|---|---|---|
| A | 66 | 11 | 0 | 52 |
| B | 60 | 65 | 21 | 92 |
| C | 67 | 66 | 30 | 91 |
Publisher’s Note: MDPI stays neutral with regard to jurisdictional claims in published maps and institutional affiliations. |
© 2021 by the authors. Licensee MDPI, Basel, Switzerland. This article is an open access article distributed under the terms and conditions of the Creative Commons Attribution (CC BY) license (http://creativecommons.org/licenses/by/4.0/).
Share and Cite
Weibel, G.; Zappatini, A.; Wolffers, M.; Ringmann, S. Optimization of Metal Recovery from MSWI Fly Ash by Acid Leaching: Findings from Laboratory- and Industrial-Scale Experiments. Processes 2021, 9, 352. https://doi.org/10.3390/pr9020352
Weibel G, Zappatini A, Wolffers M, Ringmann S. Optimization of Metal Recovery from MSWI Fly Ash by Acid Leaching: Findings from Laboratory- and Industrial-Scale Experiments. Processes. 2021; 9(2):352. https://doi.org/10.3390/pr9020352
Chicago/Turabian StyleWeibel, Gisela, Anna Zappatini, Mirjam Wolffers, and Stefan Ringmann. 2021. "Optimization of Metal Recovery from MSWI Fly Ash by Acid Leaching: Findings from Laboratory- and Industrial-Scale Experiments" Processes 9, no. 2: 352. https://doi.org/10.3390/pr9020352
APA StyleWeibel, G., Zappatini, A., Wolffers, M., & Ringmann, S. (2021). Optimization of Metal Recovery from MSWI Fly Ash by Acid Leaching: Findings from Laboratory- and Industrial-Scale Experiments. Processes, 9(2), 352. https://doi.org/10.3390/pr9020352

