The Influence of Hydrodynamic Changes in a System with a Pitched Blade Turbine on Mixing Power
Abstract
1. Introduction
2. Materials and Methods
Theoretical Background
3. Results
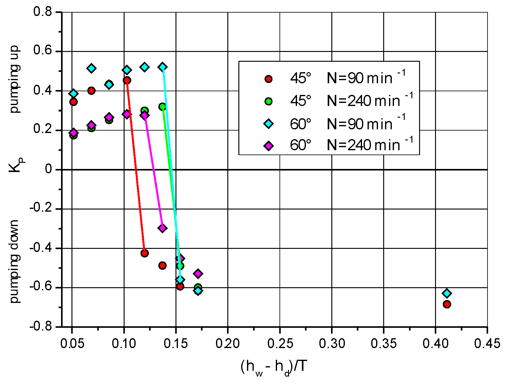
3.1. Changes in Fluid Circulation during Changes in the Height of the Liquid in the Tank
3.2. Tangential Velocity Profiles
3.3. Estimating the Mixing Power
4. Discussion
5. Conclusions
Author Contributions
Funding
Institutional Review Board Statement
Informed Consent Statement
Data Availability Statement
Acknowledgments
Conflicts of Interest
References
- Rieger, F.; Jirout, T.; Rzyski, E. Mixing of suspensions. Selection of the mixer and tank. Inż. Ap. Chem. 2002, 41, 111–112. (In Polish) [Google Scholar]
- Grenville, R.K.; Mak, A.T.C.; Brown, D.A.R. Suspension of solid particles in vessels agitated by axial flow impellers. Chem. Eng. Res. Des. 2015, 100, 282–291. [Google Scholar] [CrossRef]
- Mazoch, J.; Rieger, F.; Jirout, T. Report TH 01020879; TECHMIX: Brno, Czech Republic, 2016. (In Czech) [Google Scholar]
- Uhl, V.W.; Gray, J.B. Mixing. Theory and Practice; Academic Press: London, UK, 1973; pp. 112–176. [Google Scholar]
- Nagata, S. Mixing: Principles and Applications; John Wiley & Sons: New York, NY, USA, 1975; pp. 62–65. [Google Scholar]
- Zlokarnik, M. Stirring. Theory and Practice; Wiley-VCH: Weinheim, Germany, 2001; pp. 76–96. [Google Scholar]
- Paul, E.L.; Atiemo-Obeng, V.A.; Kresta, S.M. Handbook of Industrial Mixing; John Wiley & Sons: Hoboken, NJ, USA, 2004; pp. 543–584. [Google Scholar]
- Mak, A.T.C. Solid-Liquid Mixing in Mechanically Agitated Vessels. Ph.D. Thesis, University College, London, UK, 1992. [Google Scholar]
- Rieger, F.; Jirout, T.; Moravec, J.; Stelmach, J.; Kuncewicz, C.Z. The phenomenon of increased mixing power consumption during tank emptying. Przemysł Chemiczny 2019, 98, 962–966. (In Polish) [Google Scholar]
- Stelmach, J.; Kuncewicz, C.Z.; Rieger, F.; Moravec, J.; Jirout, T. Increase of mixing power during emptying of tanks with turbine-blade impellers. Przemysł Chemiczny 2020, 99, 239–243. (In Polish) [Google Scholar]
- Стренк, Ф. Перемешивание и Аппараты с Мешалками; Химия: Leningrad, Russia, 1975; pp. 111–117. (In Rusian) [Google Scholar]
- Perry, R.H. Section 10 Transport and storage of fluids, 10–24 Centrifugal pump. In Perry’s Chemical Engineers Handbook, 7th ed.; McGraw-Hill: New York, NY, USA, 1997. [Google Scholar]
- Introduction to Hydraulic Pumps. Available online: https://www.engineeringclicks.com/hydraulic-pumps/ (accessed on 12 December 2020).
- Heim, A.; Gluba, T.; Obraniak, A. The effect of the wetting droplets size on power consumption during drum granulation. Granul. Matter 2004, 6, 137–143. [Google Scholar] [CrossRef]
- Heim, A.; Kaźmierczak, R.; Obraniak, A. Model of granular bed dynamics in the disk granulator: Model dynamiki złoża ziarnistego w granulatorze talerzowym. Chem. Proc. Eng. 2004, 25, 993–998. (In Polish) [Google Scholar]
- Obraniak, A.; Gluba, T. Model of energy consumption in the range of nucleation and granule growth in drum granulation bentonite. Physicochem. Probl. Miner. Process. 2012, 48, 121–128. [Google Scholar]
- Fort, I.; Seichter, P.; Pes, L. Axial thrust of axial flow impellers. Chem. Eng. Res. Des. 2013, 91, 789–794. [Google Scholar] [CrossRef]
- Chapple, D.; Kresta, S.M.; Wall, A.; Afacan, A. The effect of impeller and tank geometry on power number for a pitched blade turbine. Trans. IChemE 2002, 80, 364–372. [Google Scholar] [CrossRef]
- Kozulin, N.A.; Sokołow, W.N.; Szapiro, A.J. Maszyny Przemysłu Chemicznego. Przykłady i Zadania; WNT: Warszawa, Poland, 1976; pp. 32–38. (In Polish) [Google Scholar]
- Fořt, I.; Jirout, T. A study on blending characteristics of axial flow impellers. Chem. Proc. Eng. 2011, 32, 311–319. [Google Scholar] [CrossRef][Green Version]
- Jirout, T.; Rieger, F. Impeller design for mixing of suspensions. Chem. Eng. Res. Des. 2011, 89, 1144–1151. [Google Scholar] [CrossRef]
- Amira, B.B.; Driss, Z.; Karray, S.; Abid, M.S. PIV Study of the Down-Pitched Blade Turbine Hydrodynamic Structure. In Proceedings of the Fifth International Conference on Design and Modeling of Mechanical Systems, Djerba, Tunisia, 25–27 March 2013; pp. 237–244. [Google Scholar]
- Amira, B.B.; Driss, Z.; Abid, M.S. Experimental Study of the 60° PBT6 Pitching Blade Effect with a PIV Application. In Proceedings of the Multiphysics Modelling and Simulation for Systems Design Conference, Sousse, Tunisia, 17–19 December 2014; pp. 91–100. [Google Scholar]
- Raffel, M.; Willert, C.; Werseley, S.; Kompenhans, J. Particle Image Velocimetry, 2nd ed.; Springer: Berlin/Heidelberg, Germany, 2007; pp. 15–122. [Google Scholar]
- Brossard, C.; Monnier, J.C.; Barricau, P.; Vandernoot, F.X.; Le Sant, Y.; Champagnat, F.; Le Besnerais, G. Principles and Applications of Particle Image Velocimetry. Available online: https://hal.archives-ouvertes.fr/hal-01180587/document (accessed on 12 December 2020).
- Bastiaans, R.J.M. Cross-correlation PIV.; Theory, Implementation and Accuracy. Available online: https://www.researchgate.net/publication/241849539_Cross-correlation_PIV_theory_implementation_and_accuracy (accessed on 12 December 2020).
- 2D & Stereo PIV. Available online: https://www.lavision.de/en/applications/fluid-mechanics/2d-stereo-piv/index.php (accessed on 12 December 2020).
- Available online: https://www.optyczne.pl/66.4-Test_obiektywu-Nikon_Nikkor_AF_50_mm_f_1.8D_Rozdzielczo%C5%9B%C4%87_obrazu.html (accessed on 2 July 2020).
- Ranade, V.V.; Perrard, M.; Le sauze, N.; Xuereb, C.; Bertrand, J. Trailing vortices of Rushton turbine: PIV Measurements and CFD sSimulations with snapshot approach. Trans. IChemE 2001, 79, 3–12. [Google Scholar] [CrossRef]
- Heim, A.; Stelmach, J. The comparison of velocities at the self-aspirating disk impeller level. Przemysł Chem. 2011, 90, 1642–1646. (In Polish) [Google Scholar]
- Khopkar, A.R.; Mavros, P.; Ranade, V.V.; Bertrand, J. Simulation of flow generated by an axial-flow impeller. Batch and Continuous Operation. Chem. Eng. Res. Des. 2004, 82, 737–751. [Google Scholar] [CrossRef][Green Version]
- Aubin, J.; Mavros, P.; Fletcher, D.F.; Bertrand, J.; Xuereb, C. Effect of axial agitator configuration (up-pumping, down-pumping, reverse rotation)on flow patterns generated in stirred vessels. Trans. IChemE 2001, 79, 845–856. [Google Scholar] [CrossRef]
- Jaworski, Z.; Dyster, K.N.; Nienow, A.W. The effect of size, location and pumping direction of pitched blade turbine impellers on flow patterns: LDA Measurements and CFD Predictions. Trans IChemE 2001, 79, 887–894. [Google Scholar] [CrossRef]
- Mavros, P.; Xuereb, C.; Fořt, I.; Bertrand, J. Investigation by laser Doppler velocimetry of the effects of liquid (flow rates and feed positions on the flow patterns induced in a stirred tank by an axial-flow impeller. Chem. Eng. Sci. 2002, 57, 3939–3952. [Google Scholar] [CrossRef]
- Ge, C.-Y.; Wang, J.-J.; Gu, X.-P.; Feng, L.-F. CFD simulation and PIV measurement of the flow field generated by modified pitched blade turbine impellers. Chem. Eng. Res. Des. 2014, 92, 1027–1036. [Google Scholar] [CrossRef]
- Schafer, M.; Yianneskis, M.; Wachter, P.; Durst, F. Trailing Vortices around a 45° Pitched-Blade Impeller. AIChE J. 1998, 44, 1233–1246. [Google Scholar] [CrossRef]
- Sahu, A.K.; Kumar, P.; Joshi, J.B. Simulation of flow in stirred vessel with axial flow impeller: Zonal modeling and optimization of parameters. Ind. Eng. Chem. Res. 1998, 37, 2116–2130. [Google Scholar] [CrossRef]
- Ozcan-Taskin, G.; Wei, H. The effect of impeller-to-tank diameter ratio on draw down of solids. Chem. Eng. Sci. 2003, 58, 2011–2022. [Google Scholar] [CrossRef]
- Tsui, Y.-Y.; Chou, J.-R.; Hu, Y.-C. Blade angle effects on the flow in a tank agitated by the pitched-blade turbine. J. Fluids Eng. 2006, 128, 774–782. [Google Scholar] [CrossRef]
- Fořt, I.; Sedláková, V. Pumping effect of high-speed rotary mixers. Collect. Czechoslov. Chem. Commun. 1967, 33, 836–849. [Google Scholar] [CrossRef]
- Lecordier, B.; Trinite, M. Advanced PIV Algorithms with Image Distortion Validation and Comparison Using Synthetic Images of Turbulent Flow. Available online: https://www.researchgate.net/publication/228862071_Advanced_PIV_algorithms_with_Image_Distortion_Validation_and_Comparison_using_Synthetic_Images_of_Turbulent_Flow (accessed on 12 December 2020).
- Stanislas, M.; Okamoto, K.; Kahler, C.J.; Westerweel, J. Main results of the Second International PIV Challenge. Exp. Fluids 2005, 39, 170–191. [Google Scholar] [CrossRef]
- Major-Godlewska, M.; Karcz, J. Power consumption for an agitated vessel equipped with pitched blade turbine and short baffles. Chem. Pap. 2018, 72, 1081. [Google Scholar] [CrossRef] [PubMed]
- Pietranski, J.F. Mechanical Agitator Power Requirements for Liquid Batches. Available online: https://www.google.pl/url?sa=t&rct=j&q=&esrc=s&source=web&cd=&cad=rja&uact=8&ved=2ahUKEwiA6e_ys8PtAhUPxosKHTPsA0sQFjAAegQIBRAC&url=https%3A%2F%2Fwww.researchgate.net%2Fprofile%2FPrem_Baboo%2Fpost%2FWhat_is_the_required_power_of_submerged_mixer_in_equalization_tank_before_ABR%2Fattachment%2F59d626b379197b8077984f89%2FAS%253A322848827084802%25401453984566839%2Fdownload%2Fk103content.pdf&usg=AOvVaw2oZkJL_36DSIXTg0wsemod (accessed on 12 December 2020).
- Adrian, Ł.; Piersa, P.; Szufa, S.; Romanowska-Duda, Z.; Grzesik, M.; Cebula, A.; Kowalczyk, S.; Ratajczyk-Szufa, J. Experimental research and thermographic analysis of heat transfer processes in a heat pipe heat exchanger utilizing as a working fluid R134A. In Renewable Energy Sources: Engineering, Technology, Innovation; Springer Proceedings in Energy ICORES 2017; Mudryk, K., Werle, S., Eds.; Springer: Berlin/Heidelberg, Germany, 2018; pp. 413–421. ISBN 978-3-319-72370-9. [Google Scholar] [CrossRef]
- Dzikuć, M.; Kuryło, P.; Dudziak, R.; Szufa, S.; Dzikuć, M.; Godzisz, K. Selected Aspects of Combustion Optimization of Coal in Power Plants. Energies 2020, 13, 2208. [Google Scholar] [CrossRef]
- Lehr, A.; Bölcs, A. Application of a particle image velocimetry system to the investigation of unsteady transonic flows in turbomachinery. In Proceedings of the 9th International Symposium on Unsteady Aerodynamics, Aeroacoustics and Aeroelasticity of Turbomachines, Lyon, France, 4–8 September 2000; Ferrand, P., Aubert, S., Eds.; Springer: Berlin/Heidelberg, Germany, 2000. [Google Scholar]










Publisher’s Note: MDPI stays neutral with regard to jurisdictional claims in published maps and institutional affiliations. |
© 2020 by the authors. Licensee MDPI, Basel, Switzerland. This article is an open access article distributed under the terms and conditions of the Creative Commons Attribution (CC BY) license (http://creativecommons.org/licenses/by/4.0/).
Share and Cite
Stelmach, J.; Kuncewicz, C.; Szufa, S.; Jirout, T.; Rieger, F. The Influence of Hydrodynamic Changes in a System with a Pitched Blade Turbine on Mixing Power. Processes 2021, 9, 68. https://doi.org/10.3390/pr9010068
Stelmach J, Kuncewicz C, Szufa S, Jirout T, Rieger F. The Influence of Hydrodynamic Changes in a System with a Pitched Blade Turbine on Mixing Power. Processes. 2021; 9(1):68. https://doi.org/10.3390/pr9010068
Chicago/Turabian StyleStelmach, Jacek, Czesław Kuncewicz, Szymon Szufa, Tomas Jirout, and Frantisek Rieger. 2021. "The Influence of Hydrodynamic Changes in a System with a Pitched Blade Turbine on Mixing Power" Processes 9, no. 1: 68. https://doi.org/10.3390/pr9010068
APA StyleStelmach, J., Kuncewicz, C., Szufa, S., Jirout, T., & Rieger, F. (2021). The Influence of Hydrodynamic Changes in a System with a Pitched Blade Turbine on Mixing Power. Processes, 9(1), 68. https://doi.org/10.3390/pr9010068

