Abstract
This paper aims at studying the dynamic fluid evolution process of port plate pair of an axial piston pump. First of all, The Renormalization Group model (RNG model) is implemented to simulate the dynamic flow distribution and forecast the evolution of the internal vortex structure inside the valve plate chamber with different speeds of pistons and velocities of inlet fluid by using computational fluid dynamics software. Then, an equivalent amplification test model of a piston-valve plate is built up based on Reynolds similarity theory; the flow state of the piston-valve plate flow field is observed applied the particle image velocimetry (PIV) measuring technique. The resulting uniformity of numerical simulation and PIV measurement verifies that the RNG model can achieve high-precision prediction for the vortex structure inside the valve plate chamber. Through analysis of velocity contours and streamlines of the flow field, it can be found that vortices with different scales, strengths and positions will occur during the process of fluid distribution, and the scale and strength of the vortex inside the valve plate chamber will be reduced with the increase of the piston’s moving speed, so the energy loss is also reduced and the efficiency is improved.
1. Introduction
For high-end equipment hydraulic systems, the axial piston pump will turn towards the development of high-speed and high-pressure, which is in accordance with the development trend of a high power-to-weight ratio. However, as the speed and pressure increase, the fluid medium is in a state of high-speed rotation and three-dimensional, unsteady turbulent flows will appear inside the valve plate chamber, which will cause the unsteady flow structures and fluid-induced vibration to be more sophisticated in the energy transfer process of the axial piston pump. Moreover, the fluid vibration mechanism and vibration and noise reduction of pumps have attracted widespread study [1,2,3,4,5,6]. Therefore, it is crucial to accurately calculate and analyze the dynamic distribution process of fluid of the axial piston pump, which could provide a theoretical base for reducing the energy loss and improving energy-delivery efficiency of axial piston pump.
An enormous amount of researches have been carried out on the flow field of pumps either by the numerical simulation method or measuring techniques. For instance, through using the Zwart-Gerber-Belamri cavitation model to simulate the cavitating flow field in a centrifugal pump, the applicability of RNG and LES turbulence model has been compared [7]. Xu et al. calculated the interaction in a pump based on three-dimensional Navier-Stockes equation and RNG model, after creating an interface between the rotor and stator [8]. Zhang et al. examined the applicability of the standard model, the renormalization group (RNG ) model and the Realizable model using numerical simulations of a centrifugal pump [9]. Wu et al. used four turbulent models to predict the performance of a single-channel pump at a large flow rate, the results showing that the RNG model was the best one among four models: the standard , RNG (renormalization group ), standard , and SST (shear stress transport ) [10]. Kumar S et al. studied the momentum exchange of fluid in the sliding block of a piston pump with a groove, and the vorticity in the groove was analyzed under different operating modes based on CFD simulation [11]. The flow pulsation characteristics of axial piston pump are studied when the cross angles are different to provides a theoretical basis for noise reduction of the pump by using CFD technology [12]. Guan C et al. studied the flow pulsation and instantaneous pressure characteristics of the piston chamber using computational fluid dynamics, which provided suggestions for the optimization design of the axial-piston pump in aviation [13]. The flow pulsation characteristics of an axial piston pump were researched by CFD technology, and the pump flow condition was tested [14].
Experimental measurement is a key means to study the inner flow law of turbo machinery. Particle Image Velocimetry (PIV) plays an important role in measurement, depending on its unparalleled advantage of non-contact measurement technology. For instance, Sinha et al. used PIV to research the transient flows and turbulence structures in a centrifugal pump [15]. Wuibaut studied the velocity fields of a radial flow pump through 2D PIV technology [16]. Wu et al. adopted PIV to measure the global flow structures in the model pump under different working conditions [17]. Keller et al. used PIV to measure the unsteady flow structures in a volute centrifugal pump with high flow rate [18]. Li et al. measured and analyzed the unsteady flow field in a mixed-flow pump on Particle Image Velocimetry (PIV) [19]. Zhou et al. validated different turbulence models used for numerical simulation of a centrifugal pump diffuser through PIV measuring technology [20]. The unsteady flow structure and its evolution in a low specific speed centrifugal pump were measured by employing PIV technology [21].
Although a large number of researchers have conducted a comprehensive study on the flow field of axial piston pump, there are still some deficiencies in the research about the assessment of the dynamics flow field of a port plate pair of an axial piston pump. In this respect, the innovation and contribution of this paper are as follows:
- (1)
- After investigation and discussion, a high-precision turbulence model for assessment of the dynamics flow field of port plate pair in an axial piston pump is determined.
- (2)
- Based on the Reynolds similarity criterion, the similarity calculation and experimental model design are carried out. An enlarged model of port plate pair of an axial piston pump was established, which is twice the size of the prototype model.
- (3)
- Based on computational fluid dynamics (CFD) techniques and Particle Image Velocimetry (PIV), the dynamics flow field of the port plate pair is simulated and validated with a test when the speed of the piston and the flow of the pump inlet are different.
- (4)
- Through the comparison of the results of CFD calculations and PIV measurements, the influence of piston speed and pump inlet flow on the dynamic characteristics of the flow field of the port plate pair is analyzed and the sources of errors are discussed.
2. Structure of Axial Piston Pump and Port Plate Pair
The basic structure of the axial piston pump is shown in Figure 1. Usually, the pump shaft is driven by an electric motor or engine. The cylinder block is connected and rotates with the pump shaft. Pistons rotate around the pump shaft and reciprocate along its axis direction owing to the tilt angle of the swash plate, which can allow periodic change of the volume of the piston chamber and realize oil suction and extrusion of the pump.
Figure 1.
Structure of Swash-plate axial piston pump.
For the axial piston pump, the most complex region of the flow field is in the port plate pair consisting of the piston and valve plate. Figure 2 shows the port plate pair of the axial piston pump.
Figure 2.
The port plate pair of axial piston pump.
The functions of the valve plate are to distribute and deliver inlet and outlet fluid, the fluid will go through a complex and variable flow channel in the distribution of the flow field, and the momentum and velocity of the fluid will undergo violent changes. This may give rise to the service life and energy delivery efficiency reduction of the axial piston pump as well as vibration, noise and other issues. Therefore, it is of great significant to study the dynamics flow field of the port plate pair of an axial piston pump distribution flow field of the pump accurately.
3. Turbulence Model
There are many types of flow channel structures in the pump; a universal turbulence model that is applicable for all flow problems has not yet been formulated, this is because the nature of turbulence is an irregular condition of flow, which has strong nonlinearity and large width features in the dimension of length, time, and velocity. An appropriate turbulence model is key to characterize the flow fields when employing computational fluid dynamics (CFD). The common used turbulence models are as follows: the direct numerical simulation (DNS), large eddy simulation (LES) and the Eddy Viscosity models [22]. DNS (direct numerical simulation): Navier-Stokes equations are numerically simulated at all lengths and all scales, so its computational requirements are far too high for any practical application. LES (large eddy simulation): The major vortices are analytically solved, while sub-grid eddies are described with sub-grid models. RANS (Reynolds averaged Navier-Stokes): The entire flow is averaged and the turbulence is modelled using various approaches, which can reduce the physical complexity of turbulent flow and increase the accuracy of the simulation [23]. An increase in orders of the turbulence model will result in a decrease in the number of assumptions according to the sequence of RSM (Reynolds Stress Model), LES (Large Eddy Simulation) and DNS (Direct Numerical Simulation). The prediction accuracy increases greatly from to DNS, while the demand on computational time and capability of computational facilities is higher [24]. The DNS and LES have high computation cost for most engineering applications, therefore, Reynolds-averaged Navier-Stokes (RANS) equations is an economic solution to turbulent flow [22].
The renormalization group (RNG) turbulence model has its particular advantages in the simulation of turbulent fluid motion. The coefficients of the renormalization group (RNG) turbulence model is derived from theory rather than the experimental fit method employed in the standard model and an additional strain term is introduced into the dissipation rate equation. The RNG model makes a better prediction of the vortex structure and flow separation characteristics, because it could consider the strong anisotropy at regions where large shear is occurring. In addition, the swirling flow effect on the turbulence flow is also considered in the RNG model, this provides further evidence that the RNG model is fitter for the prediction of the large curvature and strain rate flow [25,26].
After a comprehensive consideration of the computing costs and the demand for analytical precision of the strong curvature flow field, the RNG model is the most suitable for researching the distribution flow field.
The equations of the RNG model are expressed as [26,27].
In Equations (1) and (2), the parameters are defined as follows: is the i axis coordinate; is the j axis coordinate; is the turbulent kinetic energy; is the dissipation rate; is the fluid density; is the fluid velocity; is the turbulent viscosity coefficient; is the dynamic viscosity of fluid; is the turbulent kinetic energy generated by the average flow gradient; is the turbulent kinetic energy caused by the buoyancy effect; is the influence of compressible turbulent fluctuation on the total dissipation rate; and R is the correction term. The coefficients of the RNG model are described as: ; ; and . The turbulent Prandt number of k and can be expressed as: and .
4. Modeling and Numerical Simulation
4.1. Similarity Calculation of the Flow Field
Due to the smaller size and larger radius of curvature of the plunger cavity and the valve plate, there will be strong refraction and scattering phenomena in the pump. In order to facilitate flow field testing, the actual piston-valve plate model should be amplified equivalently because the fluid inside the pump is mainly affected by the fluid resistance and is mainly related to the viscous force of the fluid. Therefore, the equivalent amplification model of the piston-valve plate flow field was built according to the Reynolds similarity criterion. It is required that the Reynolds number of the experimental model is the same as that of the prototype model and the relationship between the parameters is shown as:
In Equation (3), the subscript p means the prototype model; the subscript m means the experimental model; is the fluid density; is the characteristic length; is the fluid dynamic viscosity; and is the moving speed of the piston.
To facilitate the similarity calculation, the following definitions are made: is the density ratio coefficient; is the velocity ratio coefficient; is the length ratio coefficient; and is the viscosity ratio coefficient.
Equations (4)–(7) are substituted into Equation (3) to get Equation (8) as follows:
According to the limitation of performance of the test system and the requirements of the experimental site, the piston-valve plate will be magnified to twice its actual size; this means the length ratio coefficient is 0.5.
The viscosity of the hydraulic oil in the actual pump is high and the tracer particles cannot be evenly distributed in the fluid. The density ratio coefficient and viscosity ratio coefficient can be obtained as = 0.87 and = 45.91, and = 105.54, which can be calculated according to Equation (8). The density and viscosity parameters of the two fluid medium are shown in Table 1, when the temperature is 20 °C.
Table 1.
The fluid parameters of the prototype and experimental model.
4.2. The Piston-Valve Plate Model
It is important to note that the piston-valve plate model in the present study is designed to research the turbulence characteristics of the flow field in the flow distribution process of the axial piston pump. According to the motion law of the piston, the actual structure of the piston-valve plate and the scale ratio coefficient, the computational model is built as Figure 3a. It is composed of the piston chamber, valve plate and outlet; the area of the valve plate is set to be the testing area. As Figure 3b shows, four typical positions that the piston moves through the valve plate are selected for analysis.
Figure 3.
Piston-valve plate model.
4.3. Computational Meshes and Computational Method
The quality of meshes is fundamental to the numerical simulation result. Figure 4 shows the piston-valve plate model and computational mesh model; the grid is generated by preprocessing software Gambit. The piston chamber and the outlet area are meshed with hexahedral grids; the structure of the valve plate area is meshed with tetrahedral grids. Due to the great pressure gradient and pressure changing rate during the pre-loading and pre-unloading, the mesh of the triangular damping groove is refined to improve the simulation accuracy. Considering the complexity of the flow field, the value between 10–500 can meet the requirements of calculation accuracy. The highest and lowest values of y+ approximately equal to 500 and 30 after a series of adjustments in the simulation. Grid density, as the basis of the evaluation, should be overall examined; three grid resolutions are tested, namely, coarse (1,762,423 cells), medium (2,945,787 cells) and fine (4,845,123 cells). Taking into account the efficiency and accuracy of simulation, medium mesh (2,945,787 cells) was finally selected for the following simulation analysis by FLUENT (version 16.0).
Figure 4.
Piston-valve plate model and computational mesh model.
Due to the relative slip motion of the fluid between the piston chamber and valve plate, the transient interaction will occur between the two areas and so the sliding mesh technique is used to deal with the data exchange of the interface between the piston and valve plate.
Unsteady numerical investigation is carried out in the piston-valve plate of an axial piston pump by using the commercial CFD code ANSYS-FLUENT. A pressure-based solver is employed in the simulation, using SIMPLE method to couple pressure and velocity. FLUENT provides an optional discretization scheme for each governing equation. In order to achieve higher-order levels at cell faces, a second-order upwind scheme is adopted for the spatial discretization method of the computational domain. The steps in one numerical simulation cycle are set as 500, to better simulate a transient flow, it is essential to set the time step at least one order of magnitude less than the smallest time constant in the system. Observing the number of iterations required per time step to converge is a good way to judge its choice, the ideal number of iterations is 5–10 each time step. Accordingly, the time step is set to 0.0008 s.
4.4. Boundary Conditions
When analyzing the distribution flow field, the inlet boundary conditions and the outlet boundary conditions should be set. They are described as follows.
4.4.1. The Inlet Boundary Conditions
In order to study the impact of the piston moving speed and the inlet fluid velocity on the distribution flow field characteristics, a series of sets of piston moving speeds and pump inlet flows are set up. Table 2 shows the inlet boundary conditions.
Table 2.
The inlet boundary conditions.
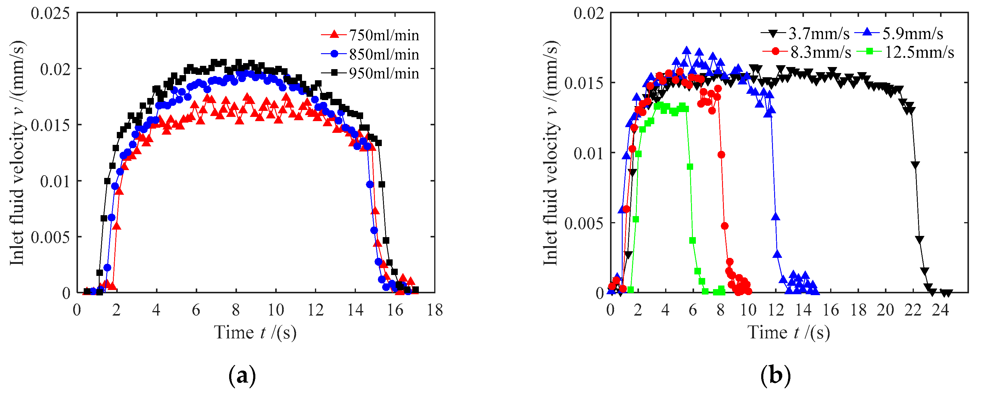
The inlet velocity is obtained by the pump inlet flow data divided by the cross sectional area of the piston chamber (, d = 32 mm, which is the diameter of the piston chamber). The application of MATLAB to fitting the inlet velocity curve for different pump inlet flows and piston moving speeds is shown in Figure 5.
Figure 5.
Inlet fluid velocity of piston chamber with different boundary conditions. (a) Inlet fluid velocity with different pump inlet flows; (b) Inlet fluid velocity with different piston moving speeds.
4.4.2. The Outlet Boundary Conditions
During the experiment, the outlet pipeline is directly connected to the water tank, so the outlet boundary condition is set as the constant pressure outlet with one standard atmosphere.
4.5. Simulation of the Piston-Valve Plate Distribution Flow Field
The simulation results are conducted with different pump inlet flows and different piston moving speeds.
4.5.1. Simulation Results of Dynamic Flow Field with Different Pump Inlet Flows
When the piston moving speed was 5.9 mm/s, the numerical simulation results of dynamic flow fields with different pump inlet flows are shown in Figure 6, Figure 7, Figure 8, Figure 9 and Figure 10. Figure 6 presents the velocity contours and streamlines when the pump inlet flow was 750 mL/min.
Figure 6.
Velocity contours and streamlines with a pump inlet flow of 750 mL/min.
Figure 7.
Velocity contours and streamlines with a pump inlet flow of 850 mL/min.
Figure 8.
Velocity contours and streamlines with a pump inlet flow of 950 mL/min.
Figure 9.
Velocity contours and streamlines with a piston moving speed of 3.7 mm/s.
Figure 10.
Velocity contours and streamlines with a piston moving speed of 8.3 mm/s.
As can be observed in Figure 6a, as the piston initially moves along the negative direction of the x-axis, the throttle area gradually increases and the jet flow velocity also rises. The channel area will increase to closely match the cross-sectional area of the piston chamber and the jet flow velocity will be significantly greater than the piston moving speed. On both sides of the main flow, viscous fluid forms the boundary layer in the upper and right wall area of the valve plate chamber so the fluid will be separated and the clockwise vortex A and counter-clockwise vortex C will be generated.
From Figure 6a–d, it can be seen that the jet flow direction is gradually deflected with the movement of the piston chamber and, at last, the jet flow direction will be almost along the negative direction of the y-axis. Influenced by such a phenomenon, the vortex core of vortex A will gradually move down to the bottom of the valve plate and, during the process, the scale of vortex A will decrease gradually and dissipate eventually. At the same time, the cross sectional area of the triangular damping groove shrinks rapidly along the x-axis. Thus, the scale of vortex B increases continually, due to the throttling effect of the triangular damping groove. As the main flow moves along the negative direction of the x-axis, vortex C will move up continuously and the scale of it will gradually increase. At last, vortex C will merge with vortex B and a large vortex will be generated.
During the movement of the piston, the scale of vortex A is gradually decreasing and the scale of vortex B and vortex C are gradually increasing. Because vortex B is located near the triangular damping groove, it is easy to produce a larger fluid shear stress in this area, which will cause cavitation. Such a phenomenon will lead to damage and vibration of the valve plate.
Furthermore, due to the friction between the rotating fluid and the wall surface of the valve plate chamber and the viscous friction of the rotating fluid itself, the fluid kinetic energy is transformed into heat energy, which is the primary reason for the energy loss of the pump.
When the pump inlet flow was 850 mL/min and 950 mL/min, the velocity contours and streamlines of four typical positions are shown in Figure 7 and Figure 8, respectively.
- The occurrence and development rule of the vortex system inside the valve plate do not change much with the increase of the pump inlet flow.
- Comparison between Figure 6a, Figure 7a and Figure 8a shows that the core of vortex A moves down to the bottom of the valve plate chamber gradually as the pump inlet flow increases, meanwhile the scale of vortex A first becomes larger and then smaller. The scale of vortex C obviously increases with the increase of the pump inlet flow.
Generally speaking, the flow of the axial pump has little impact on the dynamic distribution when the rotating speed of the pump is constant.
4.5.2. Simulation Results of Dynamic Flow Field with Different Piston Moving Speeds
In order to research the influence of the piston moving speed on the flow field characteristics during the distribution process, four kinds of piston moving speeds were set up: 3.7 mm/s, 5.9 mm/s, 8.3 mm/s, and 12.5 mm/s.
Figure 11.
Velocity contours and streamlines with a piston moving speed of 12.5 mm/s.
- When the piston moves at a relatively low speed, such as 3.7 mm/s or 5.9 mm/s, the occurrence and development laws of the vortex system inside the valve plate are almost the same. When the piston moves at a speed of 3.7 mm/s, four vortexes come into being due to the fluid viscosity and the constraint of the valve plate wall surface, which are named as vortex A, vortex B, vortex C, and vortex D. It can be observed from picture b to picture d in Figure 6 and Figure 9 that the core of vortex A moves toward the lower left as the piston chamber moves from the right to the left, meanwhile the scale of vortex A decreases until it disappears. At the same time, vortex B gradually moves down and combines with vortex C, which moves upward, until a large vortex is generated in the upper right of the valve plate chamber. However, there are also some differences between Figure 6 and Figure 9. Vortex D will not appear in Figure 6 and vortex A disappears earlier (Position 3) when the piston chamber moving speed increases from 3.7 mm/s to 5.9 mm/s.
- When the piston chamber moves at a relatively high speed, exceeding 8.3 mm/s, vortex D will not come into being and vortex C appears later (Position 2) than the low speed situations.
- On the whole, the scale and strength of the vortex inside the valve plate chamber will reduce with an increase in piston moving speed, so the energy loss of the pump is also reduced and the efficiency is improved too. This means that improving the rotating speed of the pump does have the benefit of improving efficiency.
5. Experimental Analysis of the Dynamic Distribution Flow Field
5.1. Experiment Apparatus
The experimental test rig (Figure 12) includes three parts: the piston-valve plate slider system, the PIV testing system, and the data acquisition system. The piston chamber slider and the valve plate slider are manufactured out of acrylic materials with good light transmittance; the linear actuator is used to drive the piston chamber slider with different speeds.
Figure 12.
Experimental test rig. (a) Water supply system and piston-valve plate slider system; (b) PIV measuring areas; (c) PIV system and data acquisition system.
In order to capture the flow state of the piston-valve plate flow field, a 2D PIV system was applied, which is developed by Dantec Inc. (Bristol, UK). The PIV optical system (Figure 12c) can provide a sheet laser with a high brightness. The laser irradiated surface and the image acquisition surface are shown in Figure 12b.
During the experiment, the water pump provides water doped with tracer particles to the water tank. The water tank has an overflow opening to ensure that the piston chamber has a stable inlet pressure. The measurement plane of the flow is located at the pump outlet in the PIV test, by adjusting the opening of the water valve in the outlet pipeline; the maximum flow at the pump inlet is 750 mL/min, 850 mL/min, and 950 mL/min respectively, and the flow at the pump inlet is measured by the flow sensor.
The digital images were taken on a Digital CCD Camera with a resolution of 1600 Pixels × 1200 Pixels and 60 mm optical lens (Nikon Nikkor r 60/2.8). The NI-PXI data acquisition equipment is applied to collect the real-time data. Then, the NI-PXI data acquisition equipment is applied to collect the real-time data; the Dynamic Studio software stores the particle image data in the computer, analyzes and displays the velocity vector field in real time.
5.2. Experiments on Dynamic Flow Field with Different Pump Inlet Flows
During the experiment, the piston moving speed was set to be 5.9 mm/s and the pump inlet flows were set at 750 mL/min, 850 mL/min and 950 mL/min. The test results of the piston-valve plate dynamic distribution flow field are obtained during the process of the piston chamber slider moving from the left to the right of the valve plate slider. The results are shown as Figure 13, Figure 14 and Figure 15.
Figure 13.
Velocity contours and streamlines with a pump inlet flow of 750 mL/min.
Figure 14.
Velocity contours and streamlines with a pump inlet flow of 850 mL/min.
Figure 15.
Velocity contours and streamlines with a pump inlet flow of 950 mL/min.
From the experimental results, it can be observed that there are three vortices generated inside the valve plate chamber, named vortex A, vortex B and vortex C, corresponding to the vortices from the numerical results in Figure 6, Figure 7 and Figure 8. Furthermore, the comparison between the experimental results and the numerical results shows good consistency on the whole, that means the simulation results are reliable. However, there are some errors, such as vortex D in the simulation results had not been observed in the experiment. The reasons for it could be concluded into several items.
- (1)
- Manufacturing error: There is a guide groove structure between the piston chamber slider and the valve plate slider, its function is to ensure smoothness and stability of the relative sliding movement between the two sliders as shown in Figure 16. However, the material is thicker than in other regions and the laser cannot penetrate the whole structure, resulting in the PIV image details being blurred.
Figure 16. Guide groove. - (2)
- Tracing particles: The concentration and distribution of the tracing particles have a slight effect on the accuracy of the experimental results.
- (3)
- Bubbles: High-speed bubbles in the fluid mixing with tracer particles will cause chaos in the velocity contours and streamlines.
- (4)
- Other reasons: Accuracy of test instruments, the refraction of lase, control error of piston speed, etc., will all lead to random errors in the experiment.
5.3. Experiments on Dynamic Flow Field with Different Piston Moving Speeds
In the experiments, the piston moving speed was set to 3.7 mm/s, 5.9 mm/s, 8.3 mm/s, and 12.5 mm/s and the pump inlet flow was set to be 750 mL/min. The test results of the piston-valve plate dynamic distribution flow field were obtained during the process of the piston chamber slider moving from the left to the right of the valve plate slider. The results are shown in Figure 17, Figure 18 and Figure 19.
Figure 17.
Velocity contours and streamlines with a piston moving speed of 3.7 mm/s.
Figure 18.
Velocity contours and streamlines with a piston moving speed of 8.3 mm/s.
Figure 19.
Velocity contours and streamlines with a piston moving speed of 12.5 mm/s.
6. Conclusions
Based on the RNG model and Reynolds similarity criterion, the dynamics flow field of the port plate pair of an axial piston pump is studied by both CFD calculations and PIV measuring technique. Simulations and measures are carried out at different speeds of the piston and flows of pump inlet; emphasis is placed on the dynamic fluid evolution process of the region of the piston valve plate; contour plots of fluid velocities and streamlines were presented and analyzed. The final numerical and experimental results allow to present the following general conclusions:
- (1)
- The consistency of the numerical and experimental results shows that the RNG model could realize an accurate analysis of flow field structures of a port plate pair in an axial piston pump.
- (2)
- The results show that significant vortices with different scales, strengths and positions will occur in the process of distribution, which is closely associated with the speed of the piston and the flow rate of the pump inlet. The origin of this phenomenon is the throttling effect of the triangular damping groove and viscous effects of fluids.
- (3)
- As a general observation, when the flow rate varies but the moving speed of the piston is constant, the occurrence and development law of vortex structures does not vary widely. However, large-sized vortices will appear near the triangular damping groove, which will lead to a large fluid shear stress, thus cavitation appears easily in the area, resulting in damage and vibration to the valve plate.
- (4)
- When the piston moves at relatively low speeds, it is essentially the same law of the occurrence and development of vortex structures. However, when the piston moves at relatively high speeds, the scale of certain vortices reducted and some even disappeared, besides, some vortices appear later than that of low speeds. This indicates that the scale and strength of the vortices inside the valve plate chamber will reduce with an increase in piston moving speed. That is, enhancing the rotor speed does contribute to reduce the energy loss and improve the efficiency of pumps.
This paper supplies a theoretical basis for a better understanding of the dynamics flow field of a port plate pair of an axial piston pump. There are still shortcomings in the research. The actual flow field structure and piston motion of the axial piston pump are very complicated. The simulation and experimental results obtained by CFD techniques and the existing PIV test conditions are not completely consistent with the actual flow field distribution. In the future, the model’s sphere of application will be extended by taking the time-varying parameters and the non-linear parameters into consideration; better and deeper research of the full three-dimensional flow field within the axial piston pump will be carried out.
Author Contributions
Conceptualization, L.Q., H.G. and C.G.; methodology, L.Q.; software, H.G.; validation, L.Q., H.G. and S.C.; formal analysis, H.G.; investigation, H.G.; resources, L.Q.; data curation, H.G.; writing—original draft preparation, H.G.; writing—review and editing, H.G.; visualization, H.G.; supervision, L.Q.; project administration, C.G.; funding acquisition, L.Q. All authors have read and agreed to the published version of the manuscript.
Funding
This research was funded by the National Key Research and Development Program of China, grant number (2014CB046400) and the National Natural Science Foundation of China, grant number (51775477 and 51505410).
Acknowledgments
The authors gratefully acknowledge the support of the above fundings and the authors also thank China Scholarship Council for supporting a two-years research stay of the first author and the corresponding author at the RWTH Aachen University and Washington State University.
Conflicts of Interest
The authors declare no conflict of interest.
References
- Wieczorek, U.; Ivantysynova, M. Computer Aided Optimization of Bearing and Sealing Gaps in Hydrostatic Machines—The Simulation Tool Caspar. Int. J. Fluid Power 2002, 3, 7–20. [Google Scholar] [CrossRef]
- Deng, B.; Liu, X.H.; Wang, J.N.; Jian, K. Dynamic Simulation of the Flow Fluctuation in Water Hydraulic Axial Piston Pump. Chin. Hydraul. Pneum. 2004, 336, 1094–1096. [Google Scholar]
- Yu, Z.; Sanbao, H.; Yunqing, Z.; Liping, C. Optimization and Analysis of Centrifugal Pump considering Fluid-Structure Interaction. Sci. World J. 2014, 2014, 1–9. [Google Scholar]
- Casartelli, E.; Mangani, L.; Ryan, O.; Schmid, A. Application of transient CFD-procedures for S-shape computation in pump-turbines with and without FSI. IOP Conf. Ser. Earth Environ. Sci. 2016, 49. [Google Scholar] [CrossRef]
- Van Rijswick, R.; Talmon, A.; van Rhee, C. Fluid structure interaction (FSI) in piston diaphragm pumps. Can. J. Chem. Eng. 2016, 94, 1116–1126. [Google Scholar] [CrossRef]
- Ye, S.-G.; Zhang, J.-H.; Xu, B. Noise Reduction of an Axial Piston Pump by Valve Plate Optimization. Chin. J. Mech. Eng. 2018, 31, 85–100. [Google Scholar] [CrossRef]
- He, M.; Guo, Q.; Zhou, L.J.; Wang, Z.W.; Wang, X. Application of two turbulence models for computation of cavitating flows in a centrifugal pump. IOP Conf. Ser. Mater. Sci. Eng. 2013, 52. [Google Scholar] [CrossRef]
- Xu, Z.H.; Wu, Y.L.; Chen, N.X.; Liu, Y.; Wu, Y.Z. Simulation of turbulent flow in pump based on sliding mesh and RNG k-ε model. J. Eng. Thermophys. 2005, 26, 66–68. [Google Scholar]
- Zhang, S. Applicability of k-ε Eddy Viscosity Turbulence Models on Numerical Simulation of Centrifugal Pump. J. Mech. Eng. 2009, 45, 238. [Google Scholar] [CrossRef]
- Wu, X.; Feng, J.; Liu, H.; Ding, J.; Chen, H. Performance prediction of single-channel centrifugal pump with steady and unsteady calculation and working condition adaptability for turbulence model. Nongye Gongcheng Xuebao/Trans. Chin. Soc. Agric. Eng. 2017, 33, 85–91. [Google Scholar]
- Kumar, S.; Bergada, J.M.; Watton, J. Axial piston pump grooved slipper analysis by CFD simulation of three-dimensional NVS equation in cylindrical coordinates. Comput. Fluids 2009, 38, 648–663. [Google Scholar] [CrossRef]
- Wei, X.Y.; Wang, H.Y. The Influence of Cross Angle on the Flow Ripple of Axial Piston Pumps by CFD Simulation. Appl. Mech. Mater. 2012, 220–223, 1675–1678. [Google Scholar] [CrossRef]
- Guan, C.; Jiao, Z.; Shouzhan, H.E. Theoretical study of flow ripple for an aviation axial-piston pump with damping holes in valve plate. Chin. J. Aeronaut. 2014, 27, 169–181. [Google Scholar] [CrossRef]
- Zhang, B.; Ma, J.; Hong, H.; Yang, H.; Fang, Y. Analysis of the flow dynamics characteristics of an axial piston pump based on the computational fluid dynamics method. Eng. Appl. Comput. Fluid Mech. 2017, 11, 86–95. [Google Scholar] [CrossRef]
- Sinha, M. Quantitative Visualization of the Flow in a Centrifugal Pump with Diffuser Vanes, Part I: On Flow Structures and Turbulence. J. Fluids Eng. 2000, 122, 97–107. [Google Scholar] [CrossRef]
- Wuibaut, G. PIV Measurements in the Impeller and the Vaneless Diffuser of a Radial Flow Pump in Design and off-Design Operating Conditions. J. Fluids Eng. 2002, 124, 791–797. [Google Scholar] [CrossRef]
- Wu, Y.L.; Liu, S.H.; Yuan, H.J.; Shao, J. PIV measurement on internal instantaneous flows of a centrifugal pump. Sci. China Technol. Sci. 2011, 54, 270–276. [Google Scholar] [CrossRef]
- Keller, J.; Blanco, E.; Barrio, R.; Parrondo, J. PIV measurements of the unsteady flow structures in a volute centrifugal pump at a high flow rate. Exp. Fluids 2014, 55, 1820. [Google Scholar] [CrossRef]
- Li, W.; Zhou, L.; Shi, W.-d.; Ji, L.; Yang, Y.; Zhao, X. PIV experiment of the unsteady flow field in mixed-flow pump under part loading condition. Exp. Therm. Fluid Sci. 2017, 83, 191–199. [Google Scholar] [CrossRef]
- Zhou, L.; Bai, L.; Li, W.; Shi, W.; Wang, C.; de Souza Neto, E. PIV validation of different turbulence models used for numerical simulation of a centrifugal pump diffuser. Eng. Comput. 2018, 35, 2–17. [Google Scholar] [CrossRef]
- Zhang, N.; Gao, B.; Li, Z.; Ni, D.; Jiang, Q. Unsteady flow structure and its evolution in a low specific speed centrifugal pump measured by PIV. Exp. Therm. Fluid Sci. 2018, 97, 133–144. [Google Scholar] [CrossRef]
- Wu, B. CFD investigation of turbulence models for mechanical agitation of non-Newtonian fluids in anaerobic digesters. Water Res. 2011, 45, 2082–2094. [Google Scholar] [CrossRef] [PubMed]
- Lorenzon, A.; Antonello, M.; Berto, F. Critical review of turbulence models for CFD for fatigue analysis in large steel structures. Fatigue Fract. Eng. Mater. Struct. 2018, 41, 762–775. [Google Scholar] [CrossRef]
- Khan, Z.; Bhusare, V.H.; Joshi, J.B. Comparison of turbulence models for bubble column reactors. Chem. Eng. Sci. 2017, 164, 34–52. [Google Scholar] [CrossRef]
- Cheng, Q.; Wu, W.; Li, H.; Zhang, G.; Li, B. CFD study of the influence of laying hen geometry, distribution and weight on airflow resistance. Comput. Electron. Agric. 2018, 144, 181–189. [Google Scholar] [CrossRef]
- Yang, Y.; Li, J.; Wang, S.; Wen, C. Gas-liquid two-phase flow behavior in terrain-inclined pipelines for gathering transport system of wet natural gas. Int. J. Press. Vessel. Pip. 2018, 162, 52–58. [Google Scholar] [CrossRef]
- Yakhot, V.; Orszag, S.A. Renormalization group analysis of turbulence. I. Basic theory. J. Sci. Comput. 1986, 1, 3–51. [Google Scholar] [CrossRef]
© 2020 by the authors. Licensee MDPI, Basel, Switzerland. This article is an open access article distributed under the terms and conditions of the Creative Commons Attribution (CC BY) license (http://creativecommons.org/licenses/by/4.0/).


















