A Flow-Through Chromatographic Strategy for Hepatitis C Virus-Like Particles Purification
Abstract
1. Introduction
2. Materials and Methods
2.1. Preparation of Hepatitis C VLP Feedstock
2.2. Anion Exchange Chromatography
2.2.1. Column Experiments
2.2.2. Static Adsorption Experiments
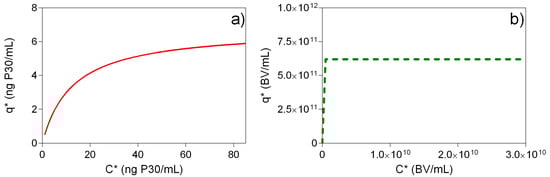
2.2.3. Batch Uptake Experiments
2.3. Analytical Methods
2.3.1. DNA Quantification
2.3.2. Host Cell Protein
2.3.3. VLP Quantification
2.3.4. Baculovirus Particle Quantification
2.3.5. Nanoparticles Tracking Analysis
3. Results and Discussion
3.1. Bind and Elute Purification
3.2. Flow-Through Purification
3.2.1. Ionic Strength Optimization
3.2.2. Throughput and Residence Time Optimization in Radial-Flow Columns
4. Conclusions
Author Contributions
Funding
Acknowledgments
Conflicts of Interest
References
- Torresi, J. The Rationale for a Preventative HCV Virus-Like Particle (VLP) Vaccine. Front. Microbiol. 2017, 8, 2163. [Google Scholar] [CrossRef] [PubMed]
- Torresi, J.; Johnson, D.; Wedemeyer, H. Progress in the development of preventive and therapeutic vaccines for hepatitis C virus. J. Hepatol. 2011, 54, 1273–1285. [Google Scholar] [CrossRef] [PubMed]
- Rodrigues, A.F.; Soares, H.R.; Guerreiro, M.R.; Alves, P.M.; Coroadinha, A.S. Viral vaccines and their manufacturing cell substrates: New trends and designs in modern vaccinology. Biotechnol. J. 2015, 10, 1329–1344. [Google Scholar] [CrossRef] [PubMed]
- Jeong, H.; Seong, B.L. Exploiting virus-like particles as innovative vaccines against emerging viral infections. J. Microbiol. 2017, 55, 220–230. [Google Scholar] [CrossRef] [PubMed]
- Bellier, B.; Klatzmann, D. Virus-like particle-based vaccines against hepatitis C virus infection. Expert Rev. Vaccines 2013, 12, 143–154. [Google Scholar] [CrossRef] [PubMed]
- Soares, H.R.; Castro, R.; Tomás, H.A.; Carrondo, M.J.T.; Alves, P.M.; Coroadinha, A.S. Pseudotyping retrovirus like particles vaccine candidates with Hepatitis C virus envelope protein E2 requires the cellular expression of CD81. AMB Express 2019, 9. [Google Scholar] [CrossRef] [PubMed]
- D’Souza, R.N.; Azevedo, A.M.; Aires Barros, M.R.; Krajnc, N.L.; Kramberger, P.; Carbajal, M.L.; Grasselli, M.; Meyer, R.; Fernandez Lahore, M. Emerging technologies for the integration and intensification of downstream bioprocesses. Pharm. Bioprocess. 2013, 1, 423–440. [Google Scholar] [CrossRef]
- Croyle, M.A.; Anderson, D.J.; Roessler, B.J.; Amidon, G.L. Development of a Highly Efficient Purification Process for Recombinant Adenoviral Vectors for Oral Gene Delivery. Pharm. Dev. Technol. 1998, 3, 365–372. [Google Scholar] [CrossRef]
- Morenweiser, R. Downstream processing of viral vectors and vaccines. Gene Ther. 2005, 12, S103–S110. [Google Scholar] [CrossRef]
- Tseng, Y.-F.; Weng, T.-C.; Lai, C.-C.; Chen, P.-L.; Lee, M.-S.; Hu, A.Y.-C. A fast and efficient purification platform for cell-based influenza viruses by flow-through chromatography. Vaccine 2018, 36, 3146–3152. [Google Scholar] [CrossRef]
- Trilisky, E.I.; Lenhoff, A.M. Sorption processes in ion-exchange chromatography of viruses. J. Chromatogr. A 2007, 1142, 2–12. [Google Scholar] [CrossRef] [PubMed]
- Lightfoot, E.N.; Moscariello, J.S. Bioseparations. Biotechnol. Bioeng. 2004, 87, 259–273. [Google Scholar] [CrossRef] [PubMed]
- Vicente, T.; Roldão, A.; Peixoto, C.; Carrondo, M.J.T.; Alves, P.M. Large-scale production and purification of VLP-based vaccines. J. Invertebr. Pathol. 2011, 107, S42–S48. [Google Scholar] [CrossRef] [PubMed]
- Carvalho, S.B.; Silva, R.J.S.; Moreira, A.S.; Cunha, B.; Clemente, J.J.; Alves, P.M.; Carrondo, M.J.T.; Xenopoulos, A.; Peixoto, C. Efficient filtration strategies for the clarification of influenza virus-like particles derived from insect cells. Sep. Purif. Technol. 2019, 218, 81–88. [Google Scholar] [CrossRef]
- Carvalho, S.B.; Silva, R.J.S.; Moleirinho, M.G.; Cunha, B.; Moreira, A.S.; Xenopoulos, A.; Alves, P.M.; Carrondo, M.J.T.; Peixoto, C. Membrane-Based Approach for the Downstream Processing of Influenza Virus-Like Particles. Biotechnol. J. 2019, 14, 1800570. [Google Scholar] [CrossRef]
- Durous, L.; Rosa-Calatrava, M.; Petiot, E. Advances in Influenza Virus-Like Particles bioprocesses. Expert Rev. Vaccines 2019. [Google Scholar] [CrossRef]
- Moleirinho, M.G.; Silva, R.J.S.; Alves, P.M.; Carrondo, M.J.T.; Peixoto, C. Current challenges in biotherapeutic particles manufacturing. Expert Opin. Biol. Ther. 2019, 1–15. [Google Scholar] [CrossRef]
- Pereira Aguilar, P.; Schneider, T.A.; Wetter, V.; Maresch, D.; Ling, W.L.; Tover, A.; Steppert, P.; Jungbauer, A. Polymer-grafted chromatography media for the purification of enveloped virus-like particles, exemplified with HIV-1 gag VLP. Vaccine 2019, 37, 7070–7080. [Google Scholar] [CrossRef]
- Konz, J.O.; Livingood, R.C.; Bett, A.J.; Goerke, A.R.; Laska, M.E.; Sagar, S.L. Serotype Specificity of Adenovirus Purification Using Anion-Exchange Chromatography. Hum. Gene Ther. 2005, 16, 1346–1353. [Google Scholar] [CrossRef]
- Michen, B.; Graule, T. Isoelectric points of viruses. J. Appl. Microbiol. 2010, 109, 388–397. [Google Scholar] [CrossRef]
- Lee, M.F.X.; Chan, E.S.; Tan, W.S.; Tam, K.C.; Tey, B.T. Negative chromatography of hepatitis B virus-like particle: Comparative study of different adsorbent designs. J. Chromatogr. A 2016, 1445, 1–9. [Google Scholar] [CrossRef]
- Cabanne, C.; Raedts, M.; Zavadzky, E.; Santarelli, X. Evaluation of radial chromatography versus axial chromatography, practical approach. J. Chromatogr. B Anal. Technol. Biomed. Life Sci. 2007, 845, 191–199. [Google Scholar] [CrossRef]
- Besselink, T.; van der Padt, A.; Janssen, A.E.M.; Boom, R.M. Are axial and radial flow chromatography different? J. Chromatogr. A 2013, 1271, 105–114. [Google Scholar] [CrossRef]
- Huang, S.H.; Roy, S.; Hou, K.C.; Tsao, G.T. Scaling-Up of Affinity Chromatography by Radial-Flow Cartridges. Biotechnol. Prog. 1988, 4, 159–165. [Google Scholar] [CrossRef]
- Vicente, T.; Peixoto, C.; Carrondo, M.J.T.; Alves, P.M. Purification of recombinant baculoviruses for gene therapy using membrane processes. Gene Ther. 2009, 16, 766–775. [Google Scholar] [CrossRef]
- Jagschies, G.; Lindskog, E.; Lacki, K.; Galliher, P. Biopharmaceutical Processing: Development, Design, and Implementation of Manufacturing Processes; Elsevier: Amsterdam, The Netherlands, 2018; ISBN 9780128125526. [Google Scholar]
- Johnson, C.; Frantz, S. Role of Study Director and Study Monitor in Drug Development. In A Comprehensive Guide to Toxicology in Preclinical Drug Development; Academic Press: Cambridge, MA, USA, 2013; pp. 747–757. ISBN 9780123878151. [Google Scholar] [CrossRef]
- Segura, M.M.; Kamen, A.A.; Garnier, A. Overview of Current Scalable Methods for Purification of Viral Vectors. Methods Mol. Biol. 2011, 737, 89–116. [Google Scholar] [CrossRef] [PubMed]
- Nestola, P.; Peixoto, C.; Silva, R.R.J.S.; Alves, P.M.; Mota, J.P.B.; Carrondo, M.J.T. Improved virus purification processes for vaccines and gene therapy. Biotechnol. Bioeng. 2015, 112, 843–857. [Google Scholar] [CrossRef] [PubMed]
- Zhou, J.X.; Tressel, T. Basic Concepts in Q Membrane Chromatography for Large-Scale Antibody Production. Biotechnol. Prog. 2006, 22, 341–349. [Google Scholar] [CrossRef]
- Cruz, P.E.; Peixoto, C.C.; Moreira, J.L.; Carrondo, M.J.T. Production and quality analysis of Pr55gag particles produced in baculovirus-infected insect cells. J. Chem. Technol. Biotechnol. 1998, 72, 149–158. [Google Scholar] [CrossRef]
- Felberbaum, R.S. The baculovirus expression vector system: A commercial manufacturing platform for viral vaccines and gene therapy vectors. Biotechnol. J. 2015, 10, 702–714. [Google Scholar] [CrossRef]
- Chu, K.H.; Hashim, M.A. Protein adsorption on Ion exchange resin: Estimation of equilibrium isotherm parameters from batch kinetic data. Biotechnol. Bioprocess Eng. 2006, 11, 61–66. [Google Scholar] [CrossRef]
- Silva, R.J.S.; Mota, J.P.B.; Peixoto, C.; Alves, P.M.; Carrondo, M.J.T. Improving the downstream processing of vaccine and gene therapy vectors with continuous chromatography. Pharm. Bioprocess. 2015, 3, 489–505. [Google Scholar] [CrossRef]
- Bandeira, V.; Peixoto, C.; Rodrigues, A.F.; Cruz, P.E.; Alves, P.M.; Coroadinha, A.S.; Carrondo, M.J.T. Downstream processing of lentiviral vectors: Releasing bottlenecks. Hum. Gene Ther. Methods 2012, 23, 255–263. [Google Scholar] [CrossRef] [PubMed]
- Cruz, P.E.; Silva, A.C.; Roldão, A.; Carmo, M.; Carrondo, M.J.T.; Alves, P.M. Screening of novel excipients for improving the stability of retroviral and adenoviral vectors. Biotechnol. Prog. 2006, 22, 568–576. [Google Scholar] [CrossRef] [PubMed]






| qsat | Kd | k1 | |
|---|---|---|---|
| VLP | 6.77 | 12.73 | 1.13 × 10−3 |
| BV | 6.20 × 1011 | 16.10 | 2.68 × 10−3 |
© 2020 by the authors. Licensee MDPI, Basel, Switzerland. This article is an open access article distributed under the terms and conditions of the Creative Commons Attribution (CC BY) license (http://creativecommons.org/licenses/by/4.0/).
Share and Cite
Silva, R.J.S.; Moleirinho, M.G.; Moreira, A.S.; Xenopoulos, A.; Alves, P.M.; Carrondo, M.J.T.; Peixoto, C. A Flow-Through Chromatographic Strategy for Hepatitis C Virus-Like Particles Purification. Processes 2020, 8, 85. https://doi.org/10.3390/pr8010085
Silva RJS, Moleirinho MG, Moreira AS, Xenopoulos A, Alves PM, Carrondo MJT, Peixoto C. A Flow-Through Chromatographic Strategy for Hepatitis C Virus-Like Particles Purification. Processes. 2020; 8(1):85. https://doi.org/10.3390/pr8010085
Chicago/Turabian StyleSilva, Ricardo J. S., Mafalda G. Moleirinho, Ana S. Moreira, Alex Xenopoulos, Paula M. Alves, Manuel J. T. Carrondo, and Cristina Peixoto. 2020. "A Flow-Through Chromatographic Strategy for Hepatitis C Virus-Like Particles Purification" Processes 8, no. 1: 85. https://doi.org/10.3390/pr8010085
APA StyleSilva, R. J. S., Moleirinho, M. G., Moreira, A. S., Xenopoulos, A., Alves, P. M., Carrondo, M. J. T., & Peixoto, C. (2020). A Flow-Through Chromatographic Strategy for Hepatitis C Virus-Like Particles Purification. Processes, 8(1), 85. https://doi.org/10.3390/pr8010085
