Investigation and Improvement of Scalable Oxygen Reducing Cathodes for Microbial Fuel Cells by Spray Coating
Abstract
1. Introduction
2. Materials and Methods
2.1. Experimantal Setup
2.2. Catalysts and Carrier Materials for Cathode
2.3. Electrode Spray Coating Process
2.4. Measuring Procedure and Analytical Methods
3. Results and Discussion
3.1. Characterization of Catalysts and Supports
3.2. Performance of Coated Electrodes
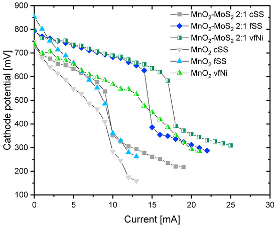
3.2.1. Comparison of MnO2, MoS2, and Co3O4-Based Cathodes
3.2.2. Comparison to Paintbrush-Manufactured Cathodes
3.2.3. Long-Term Performance of Selected Electrodes
4. Conclusions
Author Contributions
Funding
Conflicts of Interest
References
- Muddemann, T.; Haupt, D.; Sievers, M.; Kunz, U. Electrochemical Reactors for Wastewater Treatment. ChemBioEng Rev. 2019, 6, 142–156. [Google Scholar] [CrossRef]
- United Nations. The Millennium Development Goals Report; United Nations: New York, NY, USA, 2006. [Google Scholar]
- UN Water and FAO. Coping with Water Scarcity—Challenge of the Twenty-First Century; UN Water and FAO: Rome, Italy, 2007. [Google Scholar]
- Logan, B.E. Microbial Fuel Cells; John Wiley & Sons, Inc.: Hoboken, NJ, USA, 2008; ISBN 978-0-470-23948-3. [Google Scholar]
- Hernández-Fernández, F.J.; Pérez de los Ríos, A.; Salar-García, M.J.; Ortiz-Martínez, V.M.; Lozano-Blanco, L.J.; Godínez, C.; Tomás-Alonso, F.; Quesada-Medina, J. Recent progress and perspectives in microbial fuel cells for bioenergy generation and wastewater treatment. Fuel Process. Technol. 2015, 138, 284–297. [Google Scholar] [CrossRef]
- Zhang, X.; He, W.; Ren, L.; Stager, J.; Evans, P.J.; Logan, B.E. COD removal characteristics in air-cathode microbial fuel cells. Bioresour. Technol. 2015, 176, 23–31. [Google Scholar] [CrossRef] [PubMed]
- Malvankar, N.S.; Lovley, D.R. Microbial nanowires: A new paradigm for biological electron transfer and bioelectronics. ChemSusChem 2012, 5, 1039–1046. [Google Scholar] [CrossRef] [PubMed]
- Yuan, H.; Hou, Y.; Abu-Reesh, I.M.; Chen, J.; He, Z. Oxygen reduction reaction catalysts used in microbial fuel cells for energy-efficient wastewater treatment: A review. Mater. Horiz. 2016, 3, 382–401. [Google Scholar] [CrossRef]
- Jiang, B.; Muddemann, T.; Kunz, U.; Silva e Silva, L.G.; Bormann, H.; Niedermeiser, M.; Haupt, D.; Schläfer, O.; Sievers, M. Graphite/MnO2 and MoS2 Composites Used as Catalysts in the Oxygen Reduction Cathode of Microbial Fuel Cells. J. Electrochem. Soc. 2017, 164, E519–E524. [Google Scholar] [CrossRef]
- Rahimnejad, M.; Adhami, A.; Darvari, S.; Zirepour, A.; Oh, S.-E. Microbial fuel cell as new technology for bioelectricity generation: A review. Alex. Eng. J. 2015, 54, 745–756. [Google Scholar] [CrossRef]
- Rismani-Yazdi, H.; Carver, S.M.; Christy, A.D.; Tuovinen, O.H. Cathodic limitations in microbial fuel cells: An overview. J. Power Sources 2008, 180, 683–694. [Google Scholar] [CrossRef]
- Santoro, C.; Arbizzani, C.; Erable, B.; Ieropoulos, I. Microbial fuel cells: From fundamentals to applications. A review. J. Power Sources 2017, 356, 225–244. [Google Scholar] [CrossRef]
- Muddemann, T.; Haupt, D.R.; Gomes Silva e Silva, L.; Jiang, B.; Kunz, U.; Bormann, H.; Niedermeiser, M.; Schlaefer, O.; Sievers, M. Integration of Upscaled Microbial Fuel Cells in Real Municipal Sewage Plants. ECS Trans. 2017, 77, 1053–1077. [Google Scholar] [CrossRef]
- Jiang, B.; Muddemann, T.; Kunz, U.; Bormann, H.; Niedermeiser, M.; Haupt, D.; Schläfer, O.; Sievers, M. Evaluation of Microbial Fuel Cells with Graphite Plus MnO2 and MoS2 Paints as Oxygen Reduction Cathode Catalyst. J. Electrochem. Soc. 2016, 164, H3083–H3090. [Google Scholar] [CrossRef]
- Kumar, R.; Singh, L.; Zularisam, A.W. Enhanced oxygen reduction reaction in air-cathode microbial fuel cells using flower-like Co3O4 as an efficient cathode catalyst. Int. J. Hydrog. Energy 2017, 42, 19287–19295. [Google Scholar] [CrossRef]
- Li, X.; Hu, B.; Suib, S.; Lei, Y.; Li, B. Manganese dioxide as a new cathode catalyst in microbial fuel cells. J. Power Sources 2010, 195, 2586–2591. [Google Scholar] [CrossRef]
- Li, X.; Hu, B.; Suib, S.; Lei, Y.; Li, B. Electricity generation in continuous flow microbial fuel cells (MFCs) with manganese dioxide (MnO2) cathodes. Biochem. Eng. J. 2011, 54, 10–15. [Google Scholar] [CrossRef]
- Nandy, A.; Sharma, M.; Venkatesan, S.; Taylor, N.; Gieg, L.; Thangadurai, V. Comparative Evaluation of Coated and Non-Coated Carbon Electrodes in a Microbial Fuel Cell for Treatment of Municipal Sludge. Energies 2019, 12, 1034. [Google Scholar] [CrossRef]
- Zhang, Y.; Liu, L.; van der Bruggen, B.; Yang, F. Nanocarbon based composite electrodes and their application in microbial fuel cells. J. Mater. Chem. A 2017, 5, 12673–12698. [Google Scholar] [CrossRef]
- Hao, L.; Yu, J.; Xu, X.; Yang, L.; Xing, Z.; Dai, Y.; Sun, Y.; Zou, J. Nitrogen-doped MoS2/carbon as highly oxygen-permeable and stable catalysts for oxygen reduction reaction in microbial fuel cells. J. Power Sources 2017, 339, 68–79. [Google Scholar] [CrossRef]
- Kodali, M.; Santoro, C.; Serov, A.; Kabir, S.; Artyushkova, K.; Matanovic, I.; Atanassov, P. Air Breathing Cathodes for Microbial Fuel Cell using Mn-, Fe-, Co- and Ni-containing Platinum Group Metal-free Catalysts. Electrochim. Acta 2017, 231, 115–124. [Google Scholar] [CrossRef]
- Tsai, H.-Y.; Hsu, W.-H.; Liao, Y.-J. Effect of Electrode Coating with Graphene Suspension on Power Generation of Microbial Fuel Cells. Coatings 2018, 8, 243. [Google Scholar] [CrossRef]
- Satar, I.; Daud, W.R.W.; Kim, B.H.; Somalu, M.R.; Ghasemi, M.; Bakar, M.H.A.; Jafary, T.; Timmiati, S.N. Performance of titanium–nickel (Ti/Ni) and graphite felt-nickel (GF/Ni) electrodeposited by Ni as alternative cathodes for microbial fuel cells. J. Taiwan Inst. Chem. Eng. 2018, 89, 67–76. [Google Scholar] [CrossRef]
- Hideki, M. Manufacturing Equipment and Manufacturing Method of Membrane Electrode Assembly. US20100051181A1, 4 March 2010. [Google Scholar]
- Kwon, N.H.; Hwang, I.C.; Ahn, B.K.; Lim, T.W. Method and Apparatus for Preparing Catalyst Slurry for Fuel Cells. US20100086450A1, 8 April 2010. [Google Scholar]
- Tochigi, T.T.; Tochigi, S.T.; Tochigi, K.Y. Verfahren zur Herstellung einer Elektrodenschicht für eine Brennstoffzelle. DE1020006046373A1, 5 April 2007. [Google Scholar]
- Bulan, A. Sauerstoffverzehrelektrode und Verfahren zu ihrer Herstellung. DE102010024053A1, 22 December 2011. [Google Scholar]
- Kintrup, J.; Bulan, A.; Hammarberg, E.; Sepeur, S.; Frenzer, G.; Gross, F. Beschichtungsmischung Herstellung Covestro. US2017067172A1, 9 March 2017. [Google Scholar]
- Yang, W.; Li, J.; Lan, L.; Fu, Q.; Zhang, L.; Zhu, X.; Liao, Q. Poison tolerance of non-precious catalyst towards oxygen reduction reaction. Int. J. Hydrog. Energy 2018, 43, 8474–8479. [Google Scholar] [CrossRef]
- Zhang, L.; Liu, C.; Zhuang, L.; Li, W.; Zhou, S.; Zhang, J. Manganese dioxide as an alternative cathodic catalyst to platinum in microbial fuel cells. Biosens. Bioelectron. 2009, 24, 2825–2829. [Google Scholar] [CrossRef] [PubMed]
- Roche, I.; Katuri, K.; Scott, K. A microbial fuel cell using manganese oxide oxygen reduction catalysts. J. Appl. Electrochem. 2010, 40, 13–21. [Google Scholar] [CrossRef]
- Zhou, X.; Xu, Y.; Mei, X.; Du, N.; Jv, R.; Hu, Z.; Chen, S. Polyaniline/β-MnO2 nanocomposites as cathode electrocatalyst for oxygen reduction reaction in microbial fuel cells. Chemosphere 2018, 198, 482–491. [Google Scholar] [CrossRef]
- Majidi, M.R.; Shahbazi Farahani, F.; Hosseini, M.; Ahadzadeh, I. Low-cost nanowired α-MnO2/C as an ORR catalyst in air-cathode microbial fuel cell. Bioelectrochemistry 2018, 125, 38–45. [Google Scholar] [CrossRef]
- Shahbazi Farahani, F.; Mecheri, B.; Reza Majidi, M.; Costa de Oliveira, M.A.; D’Epifanio, A.; Zurlo, F.; Placidi, E.; Arciprete, F.; Licoccia, S. MnOx-based electrocatalysts for enhanced oxygen reduction in microbial fuel cell air cathodes. J. Power Sources 2018, 390, 45–53. [Google Scholar] [CrossRef]
- Woon, C.W.; Ong, H.R.; Chong, K.F.; Chan, K.M.; Khan, M.M.R. MnO2/CNT as ORR Electrocatalyst in Air-Cathode Microbial Fuel Cells. Procedia Chem. 2015, 16, 640–647. [Google Scholar] [CrossRef]
- Kumar, R.; Singh, L.; Zularisam, A.W.; Hai, F.I. Potential of porous Co3O4 nanorods as cathode catalyst for oxygen reduction reaction in microbial fuel cells. Bioresour. Technol. 2016, 220, 537–542. [Google Scholar] [CrossRef]
- Jiang, B. Optimization of Cathode Performance of Microbial Fuel Cells for Wastewater Treatment and Electrochemical Power Evaluation. Ph.D. Thesis, Clausthal University of Technology, Clausthal-Zellerfeld, Germany, 2018. [Google Scholar]
- Rossi, R.; Jones, D.; Myung, J.; Zikmund, E.; Yang, W.; Gallego, Y.A.; Pant, D.; Evans, P.J.; Page, M.A.; Cropek, D.M.; et al. Evaluating a multi-panel air cathode through electrochemical and biotic tests. Water Res. 2018, 148, 51–59. [Google Scholar] [CrossRef]
- Brown, R.K.; Harnisch, F.; Wirth, S.; Wahlandt, H.; Dockhorn, T.; Dichtl, N.; Schröder, U. Evaluating the effects of scaling up on the performance of bioelectrochemical systems using a technical scale microbial electrolysis cell. Bioresour. Technol. 2014, 163, 206–213. [Google Scholar] [CrossRef]
- Chen, S.; Zhu, Y.; Li, W.; Liu, W.; Li, L.; Yang, Z.; Liu, C.; Yao, W.; Lu, X.; Feng, X. Synthesis, Features, and Applications of Mesoporous Titania with TiO2(B). Chin. J. Catal. 2010, 31, 605–614. [Google Scholar] [CrossRef]
- He, W.; van Nguyen, T. Edge Effects on Reference Electrode Measurements in PEM Fuel Cells. J. Electrochem. Soc. 2004, 151, A185. [Google Scholar] [CrossRef]












| Mesh Type | Mesh Size (mm2) | Wire Gauge (mm) | Surface Area (mm2 cm−2) | Manufacturer |
|---|---|---|---|---|
| Coarse stainless steel (cSS) | 1.8 × 1.8 | 0.32 | 94.8 | Spörl KG, Germany |
| Fine stainless steel (fSS) | 1.0 × 1.0 | 0.22 | 116.3 | Spörl KG, Germany |
| Very fine nickel (vfNi) | 0.106 × 0.118 | 0.063 | 627.2 | Harver & Böcker, Germany |
| Sample | SBET (m2 g−1) | VP (cm3 g−1) | d (nm) | Surface Content (weight %) |
|---|---|---|---|---|
| TiO2-A | 70.0 | 0.241 | 13.5 | - |
| TiO2-W | 85.9 | 0.400 | 18.3 | - |
| Co3O4/TiO2-A | 60.9 | 0.231 | 14.1 | 13.0 |
| Co3O4/TiO2-W | 77.8 | 0.323 | 15.9 | 4.2 |
| Added Catalyst | Coarse Stainless Steel Mesh | Fine Stainless Steel Mesh | Very Fine Ni Mesh |
|---|---|---|---|
| Pt | x | ||
| MnO2 | x | x | x |
| MoS2 | x | x | x |
| MnO2 + MoS2 with 1:1 | x | x | x |
| MnO2 + MoS2 with 1:2 | x | x | x |
| MnO2 + MoS2 with 2:1 | x | x | x |
| Co3O4 at TiO2-A | x | ||
| Co3O4 at TiO2-W | x |
© 2019 by the authors. Licensee MDPI, Basel, Switzerland. This article is an open access article distributed under the terms and conditions of the Creative Commons Attribution (CC BY) license (http://creativecommons.org/licenses/by/4.0/).
Share and Cite
Muddemann, T.; Haupt, D.; Jiang, B.; Sievers, M.; Kunz, U. Investigation and Improvement of Scalable Oxygen Reducing Cathodes for Microbial Fuel Cells by Spray Coating. Processes 2020, 8, 11. https://doi.org/10.3390/pr8010011
Muddemann T, Haupt D, Jiang B, Sievers M, Kunz U. Investigation and Improvement of Scalable Oxygen Reducing Cathodes for Microbial Fuel Cells by Spray Coating. Processes. 2020; 8(1):11. https://doi.org/10.3390/pr8010011
Chicago/Turabian StyleMuddemann, Thorben, Dennis Haupt, Bolong Jiang, Michael Sievers, and Ulrich Kunz. 2020. "Investigation and Improvement of Scalable Oxygen Reducing Cathodes for Microbial Fuel Cells by Spray Coating" Processes 8, no. 1: 11. https://doi.org/10.3390/pr8010011
APA StyleMuddemann, T., Haupt, D., Jiang, B., Sievers, M., & Kunz, U. (2020). Investigation and Improvement of Scalable Oxygen Reducing Cathodes for Microbial Fuel Cells by Spray Coating. Processes, 8(1), 11. https://doi.org/10.3390/pr8010011

