Abstract
Supercritical fluid extracts from flowers of Polianthes tuberosa var. double were ob tained using carbon dioxide as a solvent. Yield extract obtained was 2.5%. The effects of the pressure process (18 MPa, 28 MPa, and 38 MPa) and temperature process (313 K, 323 K, and 333 K) on the volatile composition of tuberose flowers extracts were evaluated, and a significant variation in chemical composition was found. Characteristic compounds of tuberose as methyl isoeugenol, benzyl benzoate, methyl anthranilate, pentacosene, and heptacosene were obtained mainly at 18 MPa and 333 K process conditions, and could be used in the perfume or fragrance industry. Components such as geraniol, farnesol, and methyl eugenol were also obtained, these extracts could be used in the development of cosmeceutical products. This work allowed to identification of the chemical composition profile and evaluation of the changes in tuberose extracts due to the extraction process.
1. Introduction
Tuberose (Polianthes tuberosa var. double) is a plant endemic to México and belonging to the Asparagaceae family. Tuberose is used globally as an ornamental flower because of its size and sweet fragrance [1]. Due to its odor, extracts from tuberose flowers have high value in the perfume industry [2]. Furthermore, there are reports mentioning that extracts from tuberose flowers contain bioactive compounds which show antimicrobial or insecticidal activity [3,4], giving a special interest value to tuberose extracts.
Conventional extraction methods have been used to obtain tuberose extracts; these methods are mainly focused on the recovery of essential oil, achieving low yields of extracts and also degrading compounds because of the high temperatures used during distillation or solvent extraction [2,5,6]. Although there is another extraction method used to obtain volatile compounds from flowers, known as enfleurage, heating is also required, and compounds are also degraded during the extraction process, besides which a distillation is needed for recovery of compounds from the fat used as a solvent, which requires long extraction times.
A technology used to obtain volatile compounds from flowers alongside traditional methods is supercritical fluid extraction (SFE). In particular, the use of carbon dioxide for supercritical extraction has been shown to be an effective method for obtaining volatile compounds from flowers, because carbon dioxide has non-polar behavior and low critical parameters, which makes it suitable for volatile compounds. Additionally, the use of supercritical carbon dioxide could obtain different compounds, modifying solvation capability as a function of extraction process conditions. There are another green technologies, such as ultrasound-assisted extraction which requires the use of solvents, and is considered an optimization of soxhlet or maceration extraction. Otherwise, ionic liquid-based extraction requires a lot of water consumption and ionic salts, besides which this technology has shown a low recovery of metabolites [7,8]. SFE has been used to obtain fatty acids, such as linoleic, oleic, and palmitic acid, that could also be used in the cosmetic industry, like mango kernel butter and cacao butter [9,10,11]. During extraction, volatile compounds are also obtained, and extracts could be used in the perfume or cosmetic industries [12,13]. SFE is considered a free solvent and an efficient extraction method for obtaining extracts from sensible materials such as flowers [14,15,16].
Moreover, the quality of supercritical extracts has been compared to enfleurage [2], and because of its benefits, SFE also has been used for recovery of volatile compounds from different flowers, such as lavender, jasmine, and geranium [17,18,19]. SFE also has been used for extraction of tuberose flowers; studies report low yield extracts, and few chemical compounds have been identified in extracts [2,4,20].
In addition, none of these studies studied the process conditions of particle size, humidity content, and carbon dioxide flow rate, which all affect the yield of extracts. Neither have any reported optimization of pressure and temperature processes, even when these factors affect chemical composition.
Therefore, the aim of this work was to study how the main parameters in the supercritical fluid process affect the chemical composition profile of Polianthes tuberosa flower extracts, and how these process parameters act, suggesting different potential applications of the extraction because of the different compositions obtained at different process conditions.
2. Materials and Methods
2.1. Tuberose Cultivation
Bulbs of this cultivar were acquired from tuberose producers of the Cuachichinola region in Morelos, México, and then were established in a greenhouse in a Research Centre for Technology and Assistance in Design of Jalisco State (CIATEJ) at 20° 42′ 03.9′′ N, 103° 28′ 24.5′′ W coordinates, handling the culture to generate flowers. Once blossomed during August–September, flowers were harvested and vacuum packed, and stored at 193 K until the dehydration process.
Before supercritical extraction, flowers were dehydrated in a convection dryer (San-Son, Edo. de México, México) at 298 K until they reached 10% ± 1 moisture content. Moisture was measured in duplicate in a AND MF-50 humidity analyzer (A&D Technologies, Wood Dale IL, US), and dried flowers were ground in an IKA MF 10.1 Cutting-grinding head mill (IKA, Wilmington, NC, US) and sieved in a Rot-Tap RX-29 (Ohio, US), using for extraction milled flowers that passed through 40 mesh.
2.2. Supercritical Fluid Extraction
A Thar Technologies-Waters®-SFE-500 supercritical fluid extractor (Thar Process, Pittsburgh, PA, US) was used. Tuberose flowers weighing 100 g were placed into the extraction vessel, and the effects of three pressure levels, 18, 28, and 38 megapascals (MPa) and three temperature levels, 313, 323, and 333 K were evaluated for extraction yield and chemical composition of the extract. A constant flow of 10 g/min CO2 (medical grade, INFRATM, Guadalajara, México) was established with bottom extraction vessel feeding, total extraction time was 3 h [4,12,20]. Extracts obtained in collector vessel were kept in amber flasks and stored at 253 K until gas chromatography analysis, and a diagram of the process is displayed in Figure 1.
Figure 1.
Diagram of the extraction process by supercritical CO2.
A mixed factorial 32 design was used, allowing evaluation of linear effects and interactions between the pressure and temperature processes, and analysis of effects and quadratic curvature factors. Experiments were done in duplicate and statistical analysis was performed using Statgraphics Centurion XVI software Version, 16, Warrenton, V., US.
2.3. Gas Chromatography–Mass Spectrometry Analysis
Analysis of extracts was carried out in a gas chromatograph Hewlett Packard 5890 Series II (Palo Alto, CA, US) coupled to a Hewlett Packard 5972A mass selective detector (Palo Alto, CA, US). Separation was carried out in an INNOWAX capillary column of 60 m × 0.25 mm × 0.25 µm (J & W Scientific, Folsom, CA, USA). Injector and detector temperatures were 503 K and 523 K, respectively. Injection volume of diluted extract in petroleum ether (1:1 mg/mL) was 1 μL (split ratio 1:50), and the initial oven temperature was 323 K, increasing to 513 K at a rate of 5 K/min and held for 60 min; carrier gas was helium at a flow rate of 0.7 mL/min. The mass spectrometer quadrupole type was operated with an ionization voltage of 70 eV (EI). Mass spectra and reconstructed ion currents (TIC) were obtained by automatic scanning from m/z 20–450 at 0.81 scan/s. Chemical compounds were identified by comparing mass spectra with those provided by the NIST05.L database, as well as from retention times of some standard compounds (Sigma-Aldrich, >95%, State of Mexico, Mexico) injected under identical analytical conditions, and verification of elution order by Kovats Indices from literature [21]. The quantification was based on the relative percentage area from the automatic integration of detected peaks.
3. Results and Discussion
3.1. Supercritical Fluid Extraction
Tuberose flowers yield extracts obtained at different pressure and temperature processes are shown in Table 1, and were different and higher than yields reported by Gosh et al. [4], who reported a supercritical yield extraction of 0.5%. Yield extracts were even higher than those reported by Rakthaworn et al. [2], who evaluated different extraction methods and reported yields of tuberose flowers extracts obtained by cold palm wax enfleurage, hot palm oil enfleurage, and solvent extraction with hexane and petroleum ether, obtaining yields of 0.3137%, 6.5808%, 0.0279%, and 0.0182% respectively. However, in the 6.58% yield, Rakthaworn et al. [2] made an accumulative extraction increasing tuberose flower quantity, so it is not comparable to the yield extracts reported in this work.
Table 1.
Extract yield of P. tuberosa flowers and experimental design.
The higher yields obtained in this work could be due to different factors such as a higher pressure process, which affects the solubility of non-polar compounds. We ensured careful post-harvest handling and drying conditions of the tuberose flowers to avoid compound degradation, also the particle size used for extraction was controlled to improve the mass transfer. These factors were reported as important factors for jasmine and lavender extraction [19,22]. However, these factors were not evaluated in this work, because the aim of the research was to study how the main parameters that affect carbon dioxide solubility in the supercritical fluid process impacts the chemical composition profile of Polianthes tuberosa extracts. It is known that factors as time, particle size, and carbon dioxide flow are factors that affect recovery efficiency or yield extraction, but not the solubility carbon dioxide.
In supercritical extract yield of tuberose flowers, the pressure process was statistically significant (p-value < 0.05), meanwhile, extract yield was not affected by the temperature process. Higher tuberose extract yield was obtained at 28 MPa and 323 K, and curvature effect of the pressure process was observed (Figure 2). Extraction yield can be described by the following model, which demonstrates the effect of the curvature of design with an adjusted R2 of 88.07%:
where P = Pressure (MPa), T = Temperature (K).
% Extraction Yield = −2.64556 + 0.527856∙P − 0.012075∙T − 0.0098375∙P2 + 0.0002125∙P∙T
Figure 2.
Response surface for extraction process over extraction yield.
Tuberose flower extracts present similar behavior to that observed by Liu et al. [23] in Opuntia dillenii seeds, and by Yu et al. [24] in grapefruit seeds, both using SFE. Additionally, in both studies temperature had no significant influence over extraction yield. Similar behavior was also reported by Aladić et al. [25] in supercritical extraction of Cannabis sativa L. seeds.
Finally, an efficient recovery of volatile compounds from tuberose flowers was effected by means of carbon dioxide in supercritical conditions with 3 h extraction time.
3.2. Chemical Composition in Tuberose Flowers
Analysis of tuberose flowers extracts allowed identification of 37 compounds, mainly volatile compounds as terpenes, hydrocarbons, alcohols, and esters, as shown in Table 2. The characteristic aroma of tuberose flowers is given by compounds as methyl isoeugenol, methyl anthranilate, pentacosane, benzyl benzoate, and pentacosane which are shown in Figure 3 [26].
Table 2.
The chemical composition of P. tuberosa flower extracts at different extraction conditions.
Figure 3.
Chromatogram showing characteristic compounds for supercritical tuberose extract.
Furthermore, chemical composition was affected by the pressure and temperature processes during supercritical extraction. The main volatile compounds from tuberose flowers were found predominantly at lower pressure extraction (18 MPa), while common compounds in supercritical plant extracts, as terpenes, alcohols, and some fatty acids were found in almost all extracts at different extraction pressures. Similar behavior was reported by Ghosh et al. [4] and Gomes et al. [18].
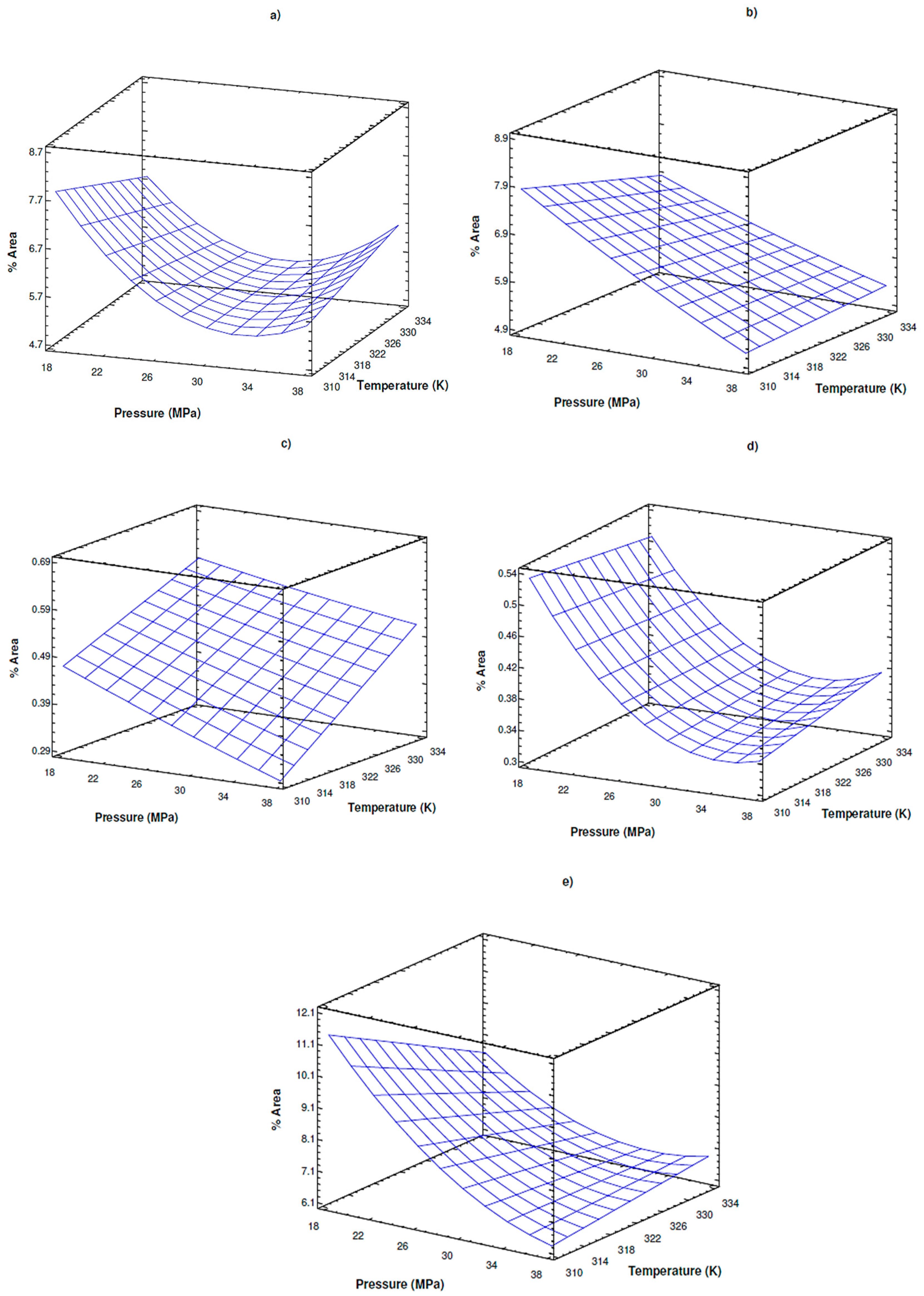
Characteristic compounds of tuberose flowers that were affected by extraction process are methyl isoeugenol, pentacosane, methyl antralinate, benzyl benzoate, and heptacosene, and the effect of process parameters can be observed in Figure 4, giving these extracts a greater potential use in the perfume industry. Meanwhile, compounds as methyl eugenol, geraniol, 9,12,15-octadecatrienonic acid, and farnesol were not affected by the extraction process, allowing them to be used in cosmeceutical products, mainly due to the bioactivities these compounds have been reported to possess.
Figure 4.
Effect of pressure and temperature on characteristic tuberose flower compounds: (a) benzyl benzoate, (b) heptacosene, (c) methyl anthranilate, (d) methyl isoeugenol, (e) pentacosane.
Analysis of tuberose flower extracts resulted in four similar compounds reported by Ghosh et al. [4] in supercritical extracts, eight similar compounds were identified by Ahmadian et al. [6], three similar compounds were reported by Bin et al. [12], and seven compounds were reported by Reverchon [13], who only studied tuberose essential oils. Additionally, it was also possible to identify compounds such as benzyl alcohol and benzoic acid in tuberose flower extracts.
Due to the diversity found in the chemical composition of supercritical fluid extracts, it is important to analyze the potential of extracts depending on process conditions. Extracts obtained at 18 MPa contain methyl eugenol, isoeugenol, and benzyl benzoate, which could be used as antimicrobial agents, according to Gosh et al. [4] who evaluated the antimicrobial activity of tuberose extracts against Staphylococcus aureus, Pseudomonas aeruginosa, Escherichia coli, Helicobacter pylori, Vibrio cholera, and Candida albicans. Otherwise, Anu et al. [27] also reported antimicrobial activity of tuberose essential oil against Kleibsiella pneumoniae, P. aeruginosa, Proteus mirabilis, Escherichia coli, Staphylococcus aureus, and Bacillus subtilis.
Extracts obtained at 18 MPa also contain compounds such as geraniol, methyl isoeugenol, farnesol, and δ-decalactone, compounds that are preferred in the fragrance industry, as mentioned for jasmine and rose geranium oil, which also contain these compounds [18,28]. Meanwhile, extracts with 9,12,15-Octadecatrienonic acid, obtained at 38 MPa, could be used in the cosmetic industry.
4. Conclusions
This study found that volatile compounds and extraction yield obtained from tuberose flowers in this research could have potential uses in perfume or cosmeceutical products. The chemical profile of extracts was dependent on the process conditions, mainly the pressure process. With the accomplishment of this research, it was possible to identify changes in the chemical composition profile of Polianthes tuberosa supercritical extracts, and also how to focus extraction process conditions to maximize compounds like methyl isoeugenol, methyl anthranilate, pentacosene, and heptacosene in tuberose flower extracts, which have high industry value.
Author Contributions
Conceptualization, J.C.F.-J., E.T.-C., and G.A.C.H.; Formal analysis, M.E.-E.; Funding acquisition, E.T.-C.; Investigation, J.C.F.-J. and G.A.C.-H.; Methodology, M.E.-E., R.B.-G., M.C.C.-S., and G.A.C.-H.; Project administration, E.T.-C.; Resources, R.B.-G. and M.C.C.-S.; Writing—original draft, G.A.C.-H.; Writing—review & editing, J.C.F.-J.
Funding
This research was funded by the FOMIX Jalisco Project no: 190535
Acknowledgments
Authors want to recognize the support given by Lilia Uribe as language reviewer.
Conflicts of Interest
The authors declare no conflict of interest.
References
- Solano, C.E. Sistemática del Genero Polianthes L. (Agavaceae). Ph.D. Thesis, Facultad de Ciencias, Universidad Nacional Autonoma, Mexico City, Mexico, June 2000. [Google Scholar]
- Rakthaworn, P.; Dilokkunanant, U.; Sukkatta, U.; Vajrodaya, S.; Haruethaitanasan, V.; Pitpiangchan, P.; Punjee, P. Extraction methods for tuberose oil and their chemical components. Kasetsart J. (Nat. Sci.) 2009, 43, 204–211. [Google Scholar]
- Rawani, A.; Banerjee, A.; Chandra, G. Mosquito larvicidal and biting deterrency activity of bud of Polianthes tuberosa plants extract against Anopheles stephensi and Culex quinquefasciatus. Asian Pac. J. Trop. Dis. 2009, 44, 79–89. [Google Scholar] [CrossRef]
- Gosh, P.K.; Bhattacharjee, P.; Stadal, D. Antimicrobial activity of supercritical carbon dioxide extracts of tuberose (Polianthes tuberosa Linn.) flowers against common pathogens. Int. J. Pharm. Sci. Res. 2014, 5, 1279–1289. [Google Scholar] [CrossRef]
- Moates, G.K.; Reynolds, J. Comparison of Rose Extracts Produced by Different Extraction Techniques. JEOR 1991, 3, 289–294. [Google Scholar] [CrossRef]
- Ahmadian, M.; Ahmadi, N.; Babaei, A.; Naghavi, M.R.; Ayyari, M. Comparison of volatile compounds at various developmental stages of tuberose (Polianthes tuberosa L. cv. Mahallati) flower with different extraction methods. JEOR 2018, 30, 197–206. [Google Scholar] [CrossRef]
- Wen, C.; Zhang, J.; Zhang, H.; Dzah, C.S.; Zandile, M.; Duan, Y.; Ma, H.; Luo, X. Advances in ultrasound assisted extraction of bioactive compounds from cash crops—A review. Ultrason. Sonochem. 2018, 48, 538–549. [Google Scholar] [CrossRef] [PubMed]
- Ameer, K.; Muhammad, S.H.; Ho Kwon, J. Green extraction methods for polyphenols from plant matrices and their byproducts: A review. Comp. Rev. Food Saf. 2017, 16, 295–315. [Google Scholar] [CrossRef]
- Couto, R.M.; Fernandes, J.; Da Silva, M.D.R.G.; Simões, P.C. Supercritical fluid extraction of lipids from spent coffee grounds. J. Supercrit. Fluids. 2009, 51, 159–166. [Google Scholar] [CrossRef]
- Garlapati, C.; Madras, G. Solubilities of palmitic and stearic fatty acids in supercritical carbon dioxide. J. Chem. Thermodyn. 2010, 42, 193–197. [Google Scholar] [CrossRef]
- Sahena, F.; Zaidul, I.S.M.; Jinap, S.; Karim, A.A.; Abbas, K.A.; Norulaini, N.A.N.; Omar, A.K.M. Application of supercritical CO2 in lipid extraction—A review. J. Food Eng. 2009, 95, 240–253. [Google Scholar] [CrossRef]
- Ghosh, P.K.; Bhattacharjee, P. Mathematical modeling of supercritical carbon dioxide extraction of methyl eugenol from tuberose flowers. Korean J. Chem. Eng. 2015, 32, 1–11. [Google Scholar] [CrossRef]
- Reverchon, E. Supercritical fluid extraction, and fractionation of essential oils and related products. J. Supercrit. Fluids. 1997, 10, 1–37. [Google Scholar] [CrossRef]
- Zhou, B.; Ren, H.T.; Zhang, J.S.; Xia, K.G.; Qin, T.F. The Analysis of the Chemical Constituents of Absolute Oil of Tuberose by GC-MS. Mod. Food Sci. Technol. 2012, 28, 1215–1218. [Google Scholar]
- Maiti, S.; Moon, U.R.; Bera, P.; Samanta, T.; Mitra, A. The in vitro antioxidant capacities of Polianthes tuberosa L. flower extracts. Acta Physiol. Plant. 2014, 36, 2597–2605. [Google Scholar] [CrossRef]
- Nidiry, E.S.J.; Babu, C.S.B. Antifungal activity of tuberose absolute and some of its constituents. Phytother. Res. 2005, 19, 447–449. [Google Scholar] [CrossRef] [PubMed]
- De Melo, M.M.R.; Silvestre, A.J.D.; Silva, C.M. Supercritical fluid extraction of vegetable matrices: Applications, trends and future perspectives of a convincing green technology. J. Supercrit. Fluids 2014, 92, 115–176. [Google Scholar] [CrossRef]
- Gomes, P.B.; Mata, V.G.; Rodrigues, A.E. Production of rose geranium oil using supercritical fluid extraction. J. Supercrit. Fluids 2007, 41, 50–60. [Google Scholar] [CrossRef]
- Sánchez-Camargo, A.P.; Mendiola, J.A.; Ibáñez, E.; Herrero, M. Supercritical Fluid Extraction. In Chemistry, Molecular Sciences and Chemical Engineering; Elsevier: Madrid, Spain, 2014; Volume 1, pp. 1–17. ISBN 978-0-12-409547-2. [Google Scholar]
- Reverchon, E.; Porta, G.D. Tuberose concrete fractionation by supercritical carbon dioxide. J. Agric. Food Chem. 1997, 1356–1360. [Google Scholar] [CrossRef]
- Linstrom, P.J.; Mallard, W.G. NIST Chemistry Webbook; NIST Standard Reference Database No. 69. Available online: https://webbook.nist.gov (accessed on 15 October 2016).
- Da Silva, R.P.F.F.; Rocha-Santos, T.A.P.; Duarte, A.C. Supercritical fluid extraction of bioactive compounds. TrAC 2016, 76, 40–51. [Google Scholar] [CrossRef]
- Liu, W.; Fu, Y.J.; Zu, Y.G.; Tong, M.H.; Wu, N.; Liu, X.L.; Zhang, S. Supercritical carbon dioxide extraction of seed oil from Opuntia dillenii Haw and its antioxidant activity. Food Chem. 2009, 114, 334–339. [Google Scholar] [CrossRef]
- Yu, J.; Dandekar, D.V.; Toledo, R.T.; Singh, R.K.; Patil, B.S. Supercritical fluid extraction of limonoids and naringin from grapefruit (Citrus paradisi Macf.) seeds. Food Chem. 2007, 105, 1026–1031. [Google Scholar] [CrossRef]
- Aladić, K.; Jarni, K.; Barbir, T.; Vidović, S.; Vladić, J.; Bilić, M.; Jokić, S. Supercritical CO2 extraction of hemp (Cannabis sativa L.) seed oil. Ind. Crop. Prod. 2015, 76, 472–478. [Google Scholar] [CrossRef]
- Sheela, V.L. Flowers for Trade. In Horticultural Science Series Vol. 10; New India Publishing Agency: New Delhi, India, 2008; pp. 267–276. [Google Scholar]
- Anu Kiruthika, K.; Amutha Jaisheeba, A.; Sornaraj, R. Evaluation of antibacterial activity of some selected Angiosperm flower extract. Int. J. Chem. Tech. Res. 2011, 3, 1945–1951. [Google Scholar]
- Lapczynski, A.; Bhatia, S.P.; Letizia, C.S.; Api, A.M. Fragrance material review on dl-citronellol. Food Chem. Toxicol. 2008, 46, 103–109. [Google Scholar] [CrossRef] [PubMed]
© 2019 by the authors. Licensee MDPI, Basel, Switzerland. This article is an open access article distributed under the terms and conditions of the Creative Commons Attribution (CC BY) license (http://creativecommons.org/licenses/by/4.0/).



