Characterization, Expression Profiling, and Functional Analyses of a 4CL-Like Gene of Populus trichocarpa
Abstract
:1. Introduction
2. Materials and Methods
2.1. Materials
2.2. RNA Isolation and cDNA Synthesis
2.3. Cloning of the Open Reading Frame (ORF) and Rapid Amplification of cDNA Ends (RACE)
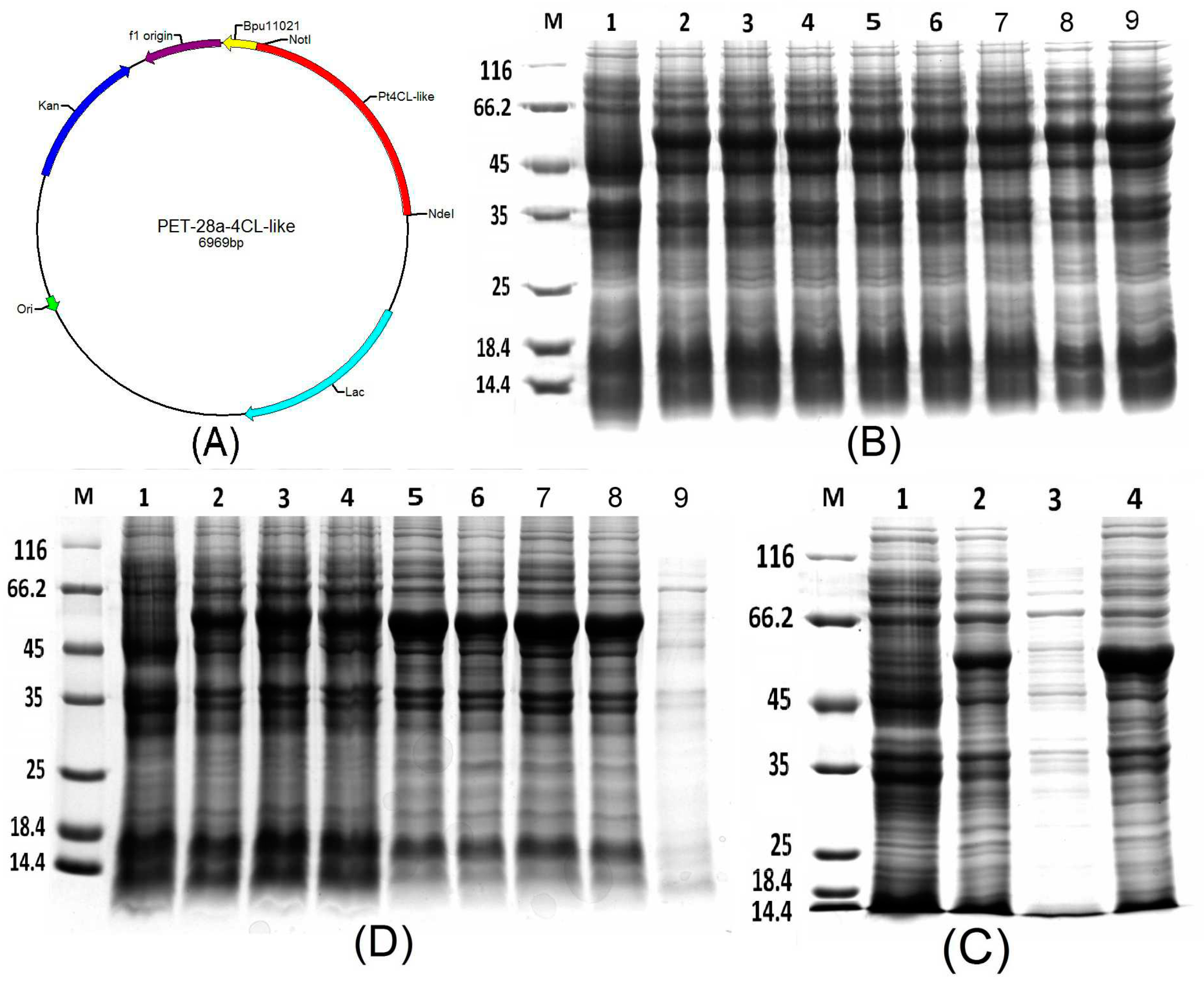
2.4. Vector Construction and Heterologous Expression
2.5. Denaturation and Renaturation of Recombinant Protein
2.6. Purification of the Recombinant Pt4CL-Like and Western Blotting
2.7. Enzymatic Activity of Pt4CL-Like
2.8. Transcription of Pt4CL-Like in Various Tissues
2.9. Expression of Pt4CL-Like in Response to Abiotic Stress Treatments
3. Results
3.1. Molecular Cloning and Sequence Analyses of Pt4CL-Like
3.2. 3D Structure and Phylogenetic Analyses
3.3. Prokaryotic Expression, Purification, and Western Blot
3.4. Enzymatic Activity of Pt4CL-Like Protein and Effects of pH and Temperature on its Activity
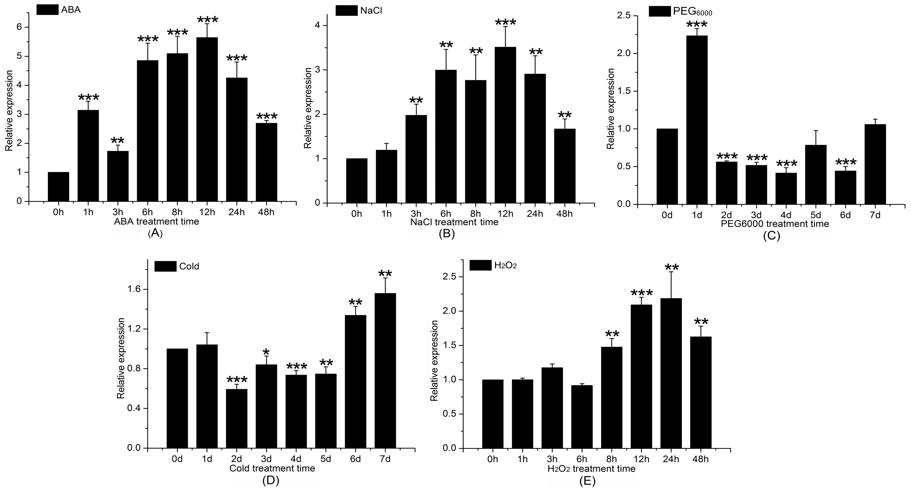
3.5. Analyses of Tissue-Specific Expression of the Pt4CL-Like Gene and Transcript Levels of Pt4CL-Like Gene Following Induction with 200 mM NaCl, 200 μM ABA, 2 mM H2O2, 4 °C Cold Stress, and 10% PEG6000
4. Discussion
Supplementary Materials
Author Contributions
Funding
Acknowledgments
Conflicts of Interest
References
- Schneider, K.; Kienow, L.; Schmelzer, E.; Colby, T.; Bartsch, M.; Miersch, O.; Wasternack, C.; Kombrink, E.; Stuible, H.P. A new type of peroxisomal acyl-coenzyme A synthetase from Arabidopsis thaliana has the catalytic capacity to activate biosynthetic precursors of jasmonic acid. J. Biol. Chem. 2005, 280, 13962–13972. [Google Scholar] [CrossRef]
- Starai, V.; Escalante-Semerena, J. Acetyl-coenzyme A synthetase (AMP forming). Cell. Mol. Life Sci. 2004, 61, 2020–2030. [Google Scholar] [CrossRef] [PubMed]
- Mai, X.; Adams, M. Purification and characterization of two reversible and ADP-dependent acetyl coenzyme A synthetases from the hyperthermophilic archaeon Pyrococcus furiosus. J. Bacteriol. 1996, 178, 5897–5903. [Google Scholar] [CrossRef] [PubMed]
- Sanchez, L.B.; Morrison, H.G.; Sogin, M.L.; Muller, M. Cloning and sequencing of an acetyl-CoA synthetase (ADP-forming) gene from the amitochondriate protist, Giardia lamblia. Gene 1999, 233, 225–231. [Google Scholar] [CrossRef]
- Stuible, H.P.; Kombrink, E. Identification of the substrate specificity-conferring amino acid residues of 4-coumarate: Coenzyme A ligase allows the rational design of mutant enzymes with new catalytic properties. J. Biol. Chem. 2001, 276, 26893–26897. [Google Scholar] [CrossRef]
- Weisshaar, B.; Jenkins, G.I. Phenylpropanoid biosynthesis and its regulation. Curr. Opin. Plant Biol. 1998, 1, 251–257. [Google Scholar] [CrossRef]
- Hamberger, B.; Hahlbrock, K. The 4-coumarate:CoA ligase gene family in Arabidopsis thaliana comprises one rare, sinapate-activating and three commonly occurring isoenzymes. Proc. Natl. Acad. Sci. USA 2004, 101, 2209–2214. [Google Scholar] [CrossRef] [PubMed]
- Li, R.; Gu, J.; Chen, P.; Zhang, Z.; Deng, J.; Zhang, X. Purification and characterization of the acetyl-CoA synthetase from Mycobacterium tuberculosis. Acta Biochim. Biophys. Sin. 2015, 43, 891–899. [Google Scholar] [CrossRef]
- Hu, W.J.; Kawaoka, A.; Tsai, C.J.; Lung, J.; Osakabe, K.; Ebinuma, H.; Chiang, V.L. Compartmentalized expression of two structurally and functionally distinct 4-coumarate: CoA ligase genes in aspen (Populus tremuloides). Proc. Natl. Acad. Sci. USA 1998, 95, 5407–5412. [Google Scholar] [CrossRef]
- Shi, R.; Sun, Y.H.; Li, Q.; Heber, S.; Sederoff, R.; Chiang, V.L. Towards a systems approach for lignin biosynthesis in Populus trichocarpa: Transcript abundance and specificity of the monolignol biosynthetic genes. Plant Cell Physiol. 2010, 51, 144–163. [Google Scholar] [CrossRef]
- Chen, H.-C.; Song, J.; Williams, C.M.; Shuford, C.M.; Liu, J.; Wang, J.P.; Li, Q.; Shi, R.; Gokce, E.; Ducoste, J.; et al. Monolignol pathway 4-coumaric acid: Coenzyme A ligases in Populus trichocarpa: Novel specificity, metabolic regulation, and simulation of coenzyme A ligation fluxes. Plant Physiol. 2013, 161, 1501–1516. [Google Scholar] [CrossRef]
- Ehlting, J.; Buttner, D.; Wang, Q.; Douglas, C.J.; Somssich, I.E.; Kombrink, E. Three 4-coumarate:coenzyme A ligases in Arabidopsis thaliana represent two evolutionarily divergent classes in angiosperms. Plant J. 2010, 19, 9–20. [Google Scholar] [CrossRef]
- Raes, J.; Rohde, A.; Christensen, J.H.; Van de Peer, Y.; Boerjan, W. Genome-wide characterization of the lignification toolbox in Arabidopsis. Plant Physiol. 2003, 133, 1051–1071. [Google Scholar] [CrossRef]
- Ehlting, J.; Mattheus, N.; Aeschliman, D.S.; Li, E.; Hamberger, B.; Cullis, I.F.; Zhuang, J.; Kaneda, M.; Mansfield, S.D.; Samuels, L.; et al. Global transcript profiling of primary stems from Arabidopsis thaliana identifies candidate genes for missing links in lignin biosynthesis and transcriptional regulators of fiber differentiation. Plant J. 2010, 42, 618–640. [Google Scholar] [CrossRef]
- Kienow, L.; Schneider, K.; Bartsch, M.; Stuible, H.-P.; Weng, H.; Miersch, O.; Wasternack, C.; Kombrink, E. Jasmonates meet fatty acids: Functional analysis of a new acyl-coenzyme A synthetase family from Arabidopsis thaliana. J. Exp. Bot. 2008, 59, 403–419. [Google Scholar] [CrossRef]
- Costa, M.A.; Bedgar, D.L.; Moinuddin, S.G.; Kim, K.W.; Cardenas, C.L.; Cochrane, F.C.; Shockey, J.M.; Helms, G.L.; Amakura, Y.; Takahashi, H.; et al. Characterization in vitro and in vivo of the putative multigene 4-coumarate:CoA ligase network in Arabidopsis: Syringyl lignin and sinapate/sinapyl alcohol derivative formation. Phytochemistry 2005, 66, 2072–2091. [Google Scholar] [CrossRef]
- Zhang, C.H.; Ma, T.; Luo, W.C.; Xu, J.M.; Liu, J.Q.; Wan, D.S. Identification of 4CL genes in desert poplars and their changes in expression in response to salt stress. Genes 2015, 6, 901–917. [Google Scholar] [CrossRef]
- Koo, A.J.K.; Chung, H.S.; Kobayashi, Y.; Howe, G.A. Identification of a peroxisomal acyl-activating enzyme involved in the biosynthesis of jasmonic acid in Arabidopsis. J. Biol. Chem. 2006, 281, 33511–33520. [Google Scholar] [CrossRef]
- Knobloch, K.H.; Hahlbrock, K. 4-Coumarate:CoA ligase from cell suspension cultures of Petroselinum hortense Hoffm. Partial purification, substrate specificity, and further properties. Arch. Biochem. Biophys. 1977, 184, 237–248. [Google Scholar] [CrossRef]
- Martínez-Blanco, H.; Reglero, A.; Rodriguez-Aparicio, L.B.; Luengo, J.M. Purification and biochemical characterization of phenylacetyl-CoA ligase from Pseudomonas putida. A specific enzyme for the catabolism of phenylacetic acid. J. Biol. Chem. 1990, 265, 7084–7090. [Google Scholar]
- Brown, T.D.; Jonesmortimer, M.C.; Kornberg, H.L. The enzymic interconversion of acetate and acetyl-coenzyme A in Escherichia coli. J. Microbiol. 1977, 102, 327–336. [Google Scholar] [CrossRef] [PubMed]
- Lindermayr, C.; Mollers, B.; Fliegmann, J.; Uhlmann, A.; Lottspeich, F.; Meimberg, H.; Ebel, J. Divergent members of a soybean (Glycine max L.] 4-coumarate:coenzyme A ligase gene family. Eur. J. Biochem. 2002, 269, 1304–1315. [Google Scholar] [CrossRef]
- Yang, J.; Chen, F.; Yu, O.; Beachy, R.N. Controlled silencing of 4-coumarate:CoA ligase alters lignocellulose composition without affecting stem growth. Plant Physiol. Biochem. 2011, 49, 103–109. [Google Scholar] [CrossRef] [PubMed]
- Chen, M.; Tang, H.; Ma, H.; Holland, T.C.; Ng, K.Y.S.; Salley, S.O. Effect of nutrients on growth and lipid accumulation in the green algae Dunaliella tertiolecta. Bioresour. Technol. 2011, 102, 1649–1655. [Google Scholar] [CrossRef] [PubMed]
- Sun, H.; Li, Y.; Feng, S.; Zou, W.; Guo, K.; Fan, C.; Si, S.; Peng, L. Analysis of five rice 4-coumarate: Coenzyme A ligase enzyme activity and stress response for potential roles in lignin and flavonoid biosynthesis in rice. Biochem. Biophys. Res. Commun. 2013, 430, 1151–1156. [Google Scholar] [CrossRef]
- Shockey, J.M.; Fulda, M.S.; Browse, J. Arabidopsis contains a large superfamily of acyl-activating enzymes. Phylogenetic and biochemical analysis reveals a new class of acyl-coenzyme A synthetases. Plant Physiol. 2003, 132, 1065–1076. [Google Scholar] [CrossRef] [PubMed]
- Reumann, S.; Ma, C.; Lemke, S.; Babujee, L. AraPerox. A database of putative Arabidopsis proteins from plant peroxisomes. Plant Physiol. 2004, 136, 2587–2608. [Google Scholar] [CrossRef]
- Ehlting, J.; Shin, J.J.; Douglas, C.J. Identification of 4-coumarate: Coenzyme A ligase (4CL) substrate recognition domains. Plant J. Cell. Mol. Biol. 2010, 27, 455–465. [Google Scholar] [CrossRef]
- Liang, M.-H.; Qv, X.-Y.; Jin, H.-H.; Jiang, J.-G. Characterization and expression of AMP-forming acetyl-CoA synthetase from Dunaliella tertiolecta and its response to nitrogen starvation stress. Sci. Rep. 2016, 6, 23445. [Google Scholar] [CrossRef]
- Li, Y.; Kim, J.I.; Pysh, L.; Chapple, C. Four isoforms of Arabidopsis thaliana 4-coumarate: CoA ligase (4CL) have overlapping yet distinct roles in phenylpropanoid metabolism. Plant Physiol. 2015, 169, 2409. [Google Scholar] [CrossRef] [PubMed]








| Primer | Direction | Nucleotide Sequence (5′–3′) |
|---|---|---|
| Pt4CL-like F | Forward | ATGGCAGACAACAACAACCTC |
| Pt4CL-like R | Reverse | TCAGAGCTTGGAGGTTGCG |
| 3′GSP-1-Pt4CL-like | Forward | TATCCAGGGGTTACGATTTT |
| 3′Outer | Reverse | TACCGTCGTTCCACTAGTGATTT |
| 3′GSP-2-Pt4CL-like | Forward | GCAGGTCGGGCAGTTCC |
| 3′Inter | Reverse | CGCGGATCCTCCACTAGTGATTTCACTATAGG |
| UPM | Forward | CTAATACGACTCACTATAGGGCAAGCAAGCAGTGGTATCAAACGCAGAGT (long) |
| CTAATACGACTCACTATAGGGC (short) | ||
| 5′GSP-1-Pt4CL-like | Reverse | AGGAAACGGTATTACAGCAG |
| NUP | Forward | AAGCAGTGGTATCAACGCAGAGT |
| 5′GSP-2-Pt4CL-like | Reverse | ATCCTTTCGGAGAATCTT |
| q-Pt4CL-like | Forward | CTGCACTGTGTTTCCGTTTC |
| q-Pt4CL-like | Reverse | GACGCTATTGACATGAGCAG |
| q-actin | Forward | TAACGCTTTGCTGGTGAACC |
| q-actin | Reverse | GCAATGCCTCTAGTTCTGCC |
| PET-Pt4CL-like | Forward | ATAAGAATGCGGCCCTCATGGCAGACAACAACAACCTC |
| PET-Pt4CL-like | Reverse | GGAATTCCATATGTCAGAGCTTGGAGGTTGCG |
| Gene Name | Full Length(bp) | ORF (bp) | Amino Acid Sequence (aa) | Molecular Weight | pI |
|---|---|---|---|---|---|
| Pt4CL-like | 2127 | 1665 | 554 | 60.33 | 7.6 |
| Enzyme | Substrate | Km (mmol/Ls) | Vmax (mmol/Ls) |
|---|---|---|---|
| Pt4CL-like protein | coumarate | - | - |
| caffeate | - | - | |
| ferulate | - | - | |
| sodium acetate | 1.91 ± 0.050 | 1.26 ± 0.075 |
© 2019 by the authors. Licensee MDPI, Basel, Switzerland. This article is an open access article distributed under the terms and conditions of the Creative Commons Attribution (CC BY) license (http://creativecommons.org/licenses/by/4.0/).
Share and Cite
Wei, H.; Xu, C.; Movahedi, A.; Sun, W.; Zhuge, Q. Characterization, Expression Profiling, and Functional Analyses of a 4CL-Like Gene of Populus trichocarpa. Processes 2019, 7, 45. https://doi.org/10.3390/pr7010045
Wei H, Xu C, Movahedi A, Sun W, Zhuge Q. Characterization, Expression Profiling, and Functional Analyses of a 4CL-Like Gene of Populus trichocarpa. Processes. 2019; 7(1):45. https://doi.org/10.3390/pr7010045
Chicago/Turabian StyleWei, Hui, Chen Xu, Ali Movahedi, Weibo Sun, and Qiang Zhuge. 2019. "Characterization, Expression Profiling, and Functional Analyses of a 4CL-Like Gene of Populus trichocarpa" Processes 7, no. 1: 45. https://doi.org/10.3390/pr7010045
APA StyleWei, H., Xu, C., Movahedi, A., Sun, W., & Zhuge, Q. (2019). Characterization, Expression Profiling, and Functional Analyses of a 4CL-Like Gene of Populus trichocarpa. Processes, 7(1), 45. https://doi.org/10.3390/pr7010045

