Synergistic Effect of Potassium Ferrate and Sodium Hydroxide in Lowering Carbothermal Reduction Temperature: Preparation of Magnetic Zero-Valent Iron-Doped Biochar for Antibiotic Removal
Abstract
1. Introduction
2. Materials and Methods
2.1. Chemicals and Materials
2.2. Magnetic Biochar Preparation and Characterization
2.3. The Adsorption and Regeneration of Magnetic Biochar
3. Results and Discussion
3.1. Properties of Magnetic Biochars
3.1.1. Chemical Composition and Surface Property
3.1.2. Crystalline and Magnetism
3.1.3. Functional Groups
3.1.4. Morphology and Carbon Structure
3.1.5. Thermogravimetric Analysis of Pyrolysis
3.2. TC and CIP Adsorption
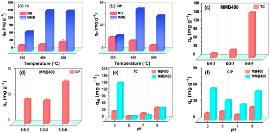
3.2.1. Pyrolysis Temperature Effect on Adsorption Performance
3.2.2. Effect of K2FeO4 and NaOH Dosages on Adsorption Capability
3.2.3. Influence of Solution pH on Adsorption Performance
3.2.4. Adsorption Kinetics
3.2.5. Adsorption Isotherms
3.2.6. Regeneration of MMB400
3.2.7. Mineral Interference Effect on Adsorption Capability
3.2.8. Adsorption of MMB400 in Natural Water Matrices
3.2.9. Application of MMB400 to the Adsorption of Other TC and CIP Derivatives
3.2.10. Synergistic Adsorption in TC-CIP Binary System
3.2.11. MMB400 Adsorption Mechanism
4. Conclusions
Supplementary Materials
Author Contributions
Funding
Data Availability Statement
Conflicts of Interest
References
- Qu, J.; Shi, J.; Wang, Y.; Tong, H.; Zhu, Y.; Xu, L.; Wang, Y.; Zhang, B.; Tao, Y.; Dai, X.; et al. Applications of functionalized magnetic biochar in environmental remediation: A review. J. Hazard. Mater. 2022, 434, 128841. [Google Scholar] [CrossRef]
- Wu, W.; Wang, R.; Chang, H.; Zhong, N.; Zhang, T.; Wang, K.; Ren, N.; Ho, S.H. Rational electron tunning of magnetic biochar via N, S co-doping for intense tetracycline degradation: Efficiency improvement and toxicity alleviation. Chem. Eng. J. 2023, 458, 141470. [Google Scholar] [CrossRef]
- Zheng, D.; Wu, M.; Zheng, E.; Wang, Y.; Feng, C.; Zou, J.; Juan, M.; Bai, X.; Wang, T.; Shi, Y. Parallel adsorption of low concentrated ciprofloxacin by a CoFe-LDH modified sludge biochar. J. Environ. Chem. Eng. 2022, 10, 108381. [Google Scholar] [CrossRef]
- Bahsaine, K.; Chakhtouna, H.; Mekhzoum, M.E.M.; Zair, N.; Benzeid, H.; Qaiss, A.E.K.; Bouhfid, R. Efficient cadmium removal from industrial phosphoric acid using banana pseudostem-derived biochar. Biomass Convers. Biorefinery 2024, 14, 17745–17759. [Google Scholar] [CrossRef]
- Teng, B.; Zhao, Z.; Xia, L.; Wu, J.; Wang, H. Progress on the removal of PFAS contamination in water by different forms of iron-modified biochar. Chemosphere 2024, 369, 143844. [Google Scholar] [CrossRef]
- Chen, A.; Wang, H.; Zhan, X.; Gong, K.; Xie, W.; Liang, W.; Zhang, W.; Peng, C. Applications and synergistic degradation mechanisms of nZVI-modified biochar for the remediation of organic polluted soil and water: A review. Sci. Total Environ. 2024, 911, 168548. [Google Scholar] [CrossRef]
- Wang, S.; Zhao, M.; Zhou, M.; Li, Y.C.; Wang, J.; Gao, B.; Sato, S.; Feng, K.; Yin, W.; Igalavithana, A.D.; et al. Biochar-supported nZVI (nZVI/BC) for contaminant removal from soil and water: A critical review. J. Hazard. Mater. 2019, 373, 820–834. [Google Scholar] [CrossRef]
- Liang, W.; Wang, G.; Peng, C.; Tan, J.; Wan, J.; Sun, P.; Li, Q.; Ji, X.; Zhang, Q.; Wu, Y.; et al. Recent advances of carbon-based nano zero valent iron for heavy metals remediation in soil and water: A critical review. J. Hazard. Mater. 2022, 426, 127993. [Google Scholar] [CrossRef]
- Liu, X.; Yang, L.; Zhao, H.; Wang, W. Pyrolytic production of zerovalent iron nanoparticles supported on rice husk-derived biochar: Simple, in situ synthesis and use for remediation of Cr (VI)-polluted soils. Sci. Total Environ. 2020, 708, 134479. [Google Scholar] [CrossRef]
- Wu, J.; Zheng, H.; Zhang, F.; Zeng, R.J.; Xing, B. Iron-carbon composite from carbonization of iron-crosslinked sodium alginate for Cr (VI) removal. Chem. Eng. J. 2019, 362, 21–29. [Google Scholar] [CrossRef]
- Bakshi, S.; Banik, C.; Rathke, S.J.; Laird, D.A. Arsenic sorption on zero-valent iron-biochar complexes. Water Res. 2018, 137, 153–163. [Google Scholar] [CrossRef]
- Li, R.; Wang, J.J.; Gaston, L.A.; Zhou, B.; Li, M.; Xiao, R.; Wang, Q.; Zhang, Z.; Huang, H.; Liang, W. An overview of carbothermal synthesis of metal–biochar composites for the removal of oxyanion contaminants from aqueous solution. Carbon 2018, 129, 674–687. [Google Scholar] [CrossRef]
- Zhang, H.; Ruan, Y.; Liang, A.; Shin, K.; Diao, Z.; Su, M.; Hou, L.; Chen, D.; Lu, H.; Kong, L. Carbothermal reduction for preparing nZVI/BC to extract uranium: Insight into the iron species dependent uranium adsorption behavior. J. Clean. Prod. 2019, 239, 117873. [Google Scholar] [CrossRef]
- Qu, J.; Wu, Z.; Liu, Y.; Li, R.; Wang, D.; Wang, S.; Wei, S.; Zhang, J.; Tao, Y.; Jiang, Z.; et al. Ball milling potassium ferrate activated biochar for efficient chromium and tetracycline decontamination: Insights into activation and adsorption mechanisms. Bioresour. Technol. 2022, 360, 127407. [Google Scholar] [CrossRef] [PubMed]
- Zhang, Q.; Wang, Y.; Wang, Z.; Zhang, Z.; Wang, X.; Yang, Z. Active biochar support nano zero-valent iron for efficient removal of U (VI) from sewage water. J. Alloys Compd. 2021, 852, 156993. [Google Scholar] [CrossRef]
- Meng, F.; Li, Z.; Lei, C.; Yang, K.; Lin, D. Removal of trichloroethene by iron-based biochar from anaerobic water: Key roles of Fe/C ratio and iron carbides. Chem. Eng. J. 2021, 413, 127391. [Google Scholar] [CrossRef]
- Muangrat, R.; Onwudili, J.A.; Williams, P.T. Alkali-promoted hydrothermal gasification of biomass food processing waste: A parametric study. Int. J. Hydrog. Energy 2010, 35, 7405–7415. [Google Scholar] [CrossRef]
- Zhao, M.; Memon, M.Z.; Ji, G.; Yang, X.; Vuppaladadiyam, A.K.; Song, Y.; Raheem, A.; Li, J.; Wang, W.; Zhou, H. Alkali metal bifunctional catalyst-sorbents enabled biomass pyrolysis for enhanced hydrogen production. Renew. Energy 2020, 148, 168–175. [Google Scholar] [CrossRef]
- Teğin, İ.; Öc, S.; Saka, C. Adsorption of copper (II) from aqueous solutions using adsorbent obtained with sodium hydroxide activation of biochar prepared by microwave pyrolysis. Biomass Convers. Biorefinery 2025, 15, 6805–6816. [Google Scholar] [CrossRef]
- Thommes, M.; Kaneko, K.; Neimark, A.V.; Olivier, J.P.; Reinoso, F.R.; Rouquerol, J.; Sing, K.S.W. Physisorption of gases, with special reference to the evaluation of surface area and pore size distribution (IUPAC Technical Report). Pure Applies Chem. 2015, 87, 1051–1069. [Google Scholar] [CrossRef]
- Yin, Z.; Xu, S.; Liu, S.; Xu, S.; Li, J.; Zhang, Y. A novel magnetic biochar prepared by K2FeO4-promoted oxidative pyrolysis of pomelo peel for adsorption of hexavalent chromium. Bioresour. Technol. 2020, 300, 122680. [Google Scholar] [CrossRef]
- Zhang, Y.; Liu, N.; Yang, Y.; Li, J.; Wang, S.; Lv, J.; Tang, R. Novel carbothermal synthesis of Fe, N co-doped oak wood biochar (Fe/N-OB) for fast and effective Cr (VI) removal. Colloids Surf. A Physicochem. Eng. Asp. 2020, 600, 124926. [Google Scholar] [CrossRef]
- Yamaguchi, M.; Fujiwara, S.; Noda, R.; Horio, M. Effects of alkali metals on Pyrolysis Products from Biomass. In Asian Pacific Confederation of Chemical Engineering Congress Program and Abstracts Asian Pacific Confederation of Chemical Engineers Congress Program and Abstracts; The Society of Chemical Engineers: Japan, 2004; p. 162. [Google Scholar] [CrossRef]
- Wen, Q.; Chen, Y.; Rao, X.; Yang, R.; Zhao, Y.; Li, J.; Xu, S.; Liang, Z. Preparation of magnesium Ferrite-Doped magnetic biochar using potassium ferrate and seawater mineral at low temperature for removal of cationic pollutants. Bioresour. Technol. 2022, 350, 126860. [Google Scholar] [CrossRef] [PubMed]
- Han, Y.; Xu, H.; Wang, G.; Deng, P.; Feng, L.; Fan, Y.; Zhang, J. Enhanced removal of estrogens from simulated wastewater by biochar supported nanoscale zero-valent iron: Performance and mechanism. Biochar 2023, 5, 67. [Google Scholar] [CrossRef]
- Dinh, V.C.; Hou, C.H.; Dao, T.N. O, N-doped porous biochar by air oxidation for enhancing heavy metal removal: The role of O, N functional groups. Chemosphere 2022, 293, 133622. [Google Scholar] [CrossRef]
- Liu, Z.; Chen, R.; Li, M.; Yang, S.; Zhang, J.; Yuan, S.; Hou, Y.; Li, C.; Chen, Y. Manganese-nitrogen co-doped biochar (MnN@ BC) as particle electrode for three-dimensional (3D) electro-activation of peroxydisulfate: Active sites enhanced radical/non-radical oxidation. J. Hazard. Mater. 2023, 459, 132089. [Google Scholar] [CrossRef]
- Liu, A.; Liu, J.; Zhang, W. Transformation and composition evolution of nanoscale zero valent iron (nZVI) synthesized by borohydride reduction in static water. Chemosphere 2015, 119, 1068–1074. [Google Scholar] [CrossRef]
- Cao, J.; Xiong, Z.; Lai, B. Effect of initial pH on the tetracycline (TC) removal by zero-valent iron: Adsorption, oxidation and reduction. Chem. Eng. J. 2018, 343, 492–499. [Google Scholar] [CrossRef]
- Liu, A.; Liu, J.; Han, J.; Zhang, W. Evolution of nanoscale zero-valent iron (nZVI) in water: Microscopic and spectroscopic evidence on the formation of nano-and micro-structured iron oxides. J. Hazard. Mater. 2017, 322, 129–135. [Google Scholar] [CrossRef]
- Amalin, B.R.J.; Zainal, N.H.; Jawad, A.H. Production of oil palm frond activated carbon by microwave-assisted phosphoric acid activation for removal of Remazol Brilliant Orange 3R: Response surface methodology optimization. Biomass Convers. Biorefinery 2024, 15, 17463–17478. [Google Scholar] [CrossRef]
- Ban, S.E.; Lee, E.J.; Lim, D.J.; Kim, I.S.; Lee, J.W. Evaluation of sulfuric acid-pretreated biomass-derived biochar characteristics and its diazinon adsorption mechanism. Bioresour. Technol. 2022, 348, 126828. [Google Scholar] [CrossRef]
- Abiza, A.; Reffas, A.; Boubaker, H.; Arfi, R.B.; Ghorbel, D.; Rafique, M.; Bachirou, G.L.; Ghorbal, A. Comparative analysis of EBT dye removal using Spartium junceum and derived activated carbon: Experimental and DFT insights. Int. J. Environ. Anal. Chem. 2024, 1–27. [Google Scholar] [CrossRef]
- Wang, P.; Fu, F.; Liu, T. A review of the new multifunctional nano zero-valent iron composites for wastewater treatment: Emergence, preparation, optimization and mechanism. Chemosphere 2021, 285, 131435. [Google Scholar] [CrossRef] [PubMed]
- Guo, Y.; Huang, W.; Chen, B.; Zhao, Y.; Liu, D.; Sun, Y.; Gong, B. Removal of tetracycline from aqueous solution by MCM-41-zeolite A loaded nano zero valent iron: Synthesis, characteristic, adsorption performance and mechanism. J. Hazard. Mater. 2017, 339, 22–32. [Google Scholar] [CrossRef] [PubMed]
- Qu, J.; Akindolie, M.; Feng, Y.; Jiang, Z.; Zhang, G.; Jiang, Q.; Deng, F.; Cao, B.; Zhang, Y. One-pot hydrothermal synthesis of NaLa(CO3)2 decorated magnetic biochar for efficient phosphate removal from water: Kinetics, isotherms, thermodynamics, mechanisms and reusability exploration. Chem. Eng. J. 2020, 394, 124915. [Google Scholar] [CrossRef]
- Hang, J.; Guo, Z.; Zhong, C.; Sun, A.; He, K.; Liu, X.; Song, H.; Li, J. A super magnetic porous biochar manufactured by potassium ferrate-accelerated hydrothermal carbonization for removal of tetracycline. J. Clean. Prod. 2024, 435, 140470. [Google Scholar] [CrossRef]
- Gabler, C.; Tomastik, C.; Brenner, J.; Pisarova, L.; Doerr, N.; Allmaier, G. Corrosion properties of ammonium based ionic liquids evaluated by SEM-EDX, XPS and ICP-OES. Green Chem. 2011, 13, 2869–2877. [Google Scholar] [CrossRef]
- Ma, Y.; Li, M.; Li, P.; Yang, L.; Wu, L.; Gao, F.; Qi, X.; Zhang, Z. Hydrothermal synthesis of magnetic sludge biochar for tetracycline and ciprofloxacin adsorptive removal. Bioresour. Technol. 2021, 319, 124199. [Google Scholar] [CrossRef]
- Jansen, R.J.J.; Bekkum, H. XPS of nitrogen-containing functional groups on activated carbon. Carbon 1995, 33, 1021–1027. [Google Scholar] [CrossRef]
- Tan, J.; Zhuang, R.; Li, S.; Chen, X.; Xiao, X.; Tang, J.; Wang, Z.; Zhang, C.; Wang, Q.; Yu, P.; et al. Efficient co-removal of aqueous Cr (VI) and ciprofloxacin by alkali lignin-derived carbon supported nanoscale zero-valent iron via adsorption and redox synergistic mechanisms. Sep. Purif. Technol. 2025, 354, 129402. [Google Scholar] [CrossRef]
- Sun, M.; Ma, Y.; Yang, Y.; Zhu, X. Effect of iron impregnation ratio on the properties and adsorption of KOH activated biochar for removal of tetracycline and heavy metals. Bioresour. Technol. 2023, 380, 129081. [Google Scholar] [CrossRef]
- Jiang, Y.-C.; Luo, M.-F.; Niu, Z.-N.; Xu, S.-Y.; Gao, Y.; Gao, Y.; Liu, R.-L. In-situ growth of bimetallic FeCo-MOF on magnetic biochar for enhanced clearance of tetracycline and fruit preservation. Chem. Eng. J. 2023, 451, 138804. [Google Scholar] [CrossRef]
- Zhang, F.; Wang, J.; Tian, Y.; Liu, C.; Zhang, S.; Cao, L.; Zhang, S. Effective removal of tetracycline antibiotics from water by magnetic functionalized biochar derived from rice waste. Environ. Pollut. 2023, 330, 121681. [Google Scholar] [CrossRef] [PubMed]
- Li, R.; Zhang, Y.; Deng, H.; Zhang, Z.; Wang, J.J.; Shaheen, S.M.; Du, J. Removing tetracycline and Hg(II) with ball-milled magnetic nanobiochar and its potential on polluted irrigation water reclamation. J. Hazard. Mater. 2020, 384, 121095. [Google Scholar] [CrossRef] [PubMed]
- Zhang, X.; Peng, Y.; Liu, F.; Peng, Q.; Wan, L.; Cheng, J.; He, J. Improvement of tetracycline removal using amino acid ionic liquid modified magnetic biochar based on theoretical design. Sep. Purif. Technol. 2025, 357, 130187. [Google Scholar] [CrossRef]
- Wang, Y.; Yu, S.; Yuan, H.; Zhang, L. Constructing N,S co-doped network biochar confined CoFe2O4 magnetic nanoparticles adsorbent: Insights into the synergistic and competitive adsorption of Pb2+ and ciprofloxacin. Environ. Pollut. 2024, 343, 123178. [Google Scholar] [CrossRef]
- Rodrigues, C.L.D.; Fuhr, P.F.C.A.; Guido, A.J.; Azevedo, F.C.; Rangel, M.A.; Dotto LGAlomar, Y.S.; Machado, M.F. Olive biomass-derived magnetic activated biochar for ciprofloxacin removal: Integrated kinetic, isotherm, thermodynamic, and spectroscopic analysis. Sep. Purif. Technol. 2025, 360, 131014. [Google Scholar] [CrossRef]
- Hu, Y.; Zhu, Y.; Zhang, Y.; Lin, T.; Zeng, G.; Zhang, G.; Wang, Y.; He, W.; Zhang, M.; Long, H. An efficient adsorbent: Simultaneous activated and magnetic ZnO doped biochar derived from camphor leaves for ciprofloxacin adsorption. Bioresour. Technol. 2019, 288, 121511. [Google Scholar] [CrossRef]
Biochar | Elements (wt%) | Surface Parameters | ||||||||
---|---|---|---|---|---|---|---|---|---|---|
C | H | O | N | Fe | Na | K | SSA (m2/g) | PV (cm3/g) | PD (nm) | |
MB400 | 28.56 | 1.75 | 26.79 | 0.81 | 40.54 | 0.00 | 0.35 | 65.14 | 0.0808 | 4.57 |
MMB400 | 20.19 | 1.12 | 18.22 | 0.55 | 53.79 | 0.21 | 0.20 | 94.44 | 0.0914 | 4.71 |
Disclaimer/Publisher’s Note: The statements, opinions and data contained in all publications are solely those of the individual author(s) and contributor(s) and not of MDPI and/or the editor(s). MDPI and/or the editor(s) disclaim responsibility for any injury to people or property resulting from any ideas, methods, instructions or products referred to in the content. |
© 2025 by the authors. Licensee MDPI, Basel, Switzerland. This article is an open access article distributed under the terms and conditions of the Creative Commons Attribution (CC BY) license (https://creativecommons.org/licenses/by/4.0/).
Share and Cite
Jin, Y.; Zheng, C.; Sun, A.; Jiang, H.; Xiao, Y.; Li, J.; Luo, S.; Bao, Z.; Ma, X.-F.; Li, J. Synergistic Effect of Potassium Ferrate and Sodium Hydroxide in Lowering Carbothermal Reduction Temperature: Preparation of Magnetic Zero-Valent Iron-Doped Biochar for Antibiotic Removal. Processes 2025, 13, 2806. https://doi.org/10.3390/pr13092806
Jin Y, Zheng C, Sun A, Jiang H, Xiao Y, Li J, Luo S, Bao Z, Ma X-F, Li J. Synergistic Effect of Potassium Ferrate and Sodium Hydroxide in Lowering Carbothermal Reduction Temperature: Preparation of Magnetic Zero-Valent Iron-Doped Biochar for Antibiotic Removal. Processes. 2025; 13(9):2806. https://doi.org/10.3390/pr13092806
Chicago/Turabian StyleJin, Yujie, Chonglin Zheng, Ahui Sun, Hongru Jiang, Yawei Xiao, Jinying Li, Shengxu Luo, Zhonghua Bao, Xiu-Fen Ma, and Jihui Li. 2025. "Synergistic Effect of Potassium Ferrate and Sodium Hydroxide in Lowering Carbothermal Reduction Temperature: Preparation of Magnetic Zero-Valent Iron-Doped Biochar for Antibiotic Removal" Processes 13, no. 9: 2806. https://doi.org/10.3390/pr13092806
APA StyleJin, Y., Zheng, C., Sun, A., Jiang, H., Xiao, Y., Li, J., Luo, S., Bao, Z., Ma, X.-F., & Li, J. (2025). Synergistic Effect of Potassium Ferrate and Sodium Hydroxide in Lowering Carbothermal Reduction Temperature: Preparation of Magnetic Zero-Valent Iron-Doped Biochar for Antibiotic Removal. Processes, 13(9), 2806. https://doi.org/10.3390/pr13092806