Study on Mechanical Response and Failure Characteristics of Coal Specimens Under the Coupling Effect of Joints and Drillings
Abstract
1. Introduction
2. Numerical Modelling
2.1. Numerical Simulation Test Model Establishment
2.2. Parameter Calibration
3. Analysis of Simulation Results
3.1. Mechanical Characteristics Analysis
3.1.1. Characteristics of Stress-Strain Curve
3.1.2. Peak Stress and Elastic Modulus
3.2. Analysis of Failure Characteristics
3.2.1. Fragmentation Size
3.2.2. Hot Spot Analysis of Acoustic Emission
3.2.3. Specimen Damage Analysis
3.3. Energy Evolution
3.3.1. Analysis of Elastic Energy at Peak Value
3.3.2. Dissipative Energy Analysis
4. Discussion
4.1. Effect on the Spacing of Pressure Relief Holes
4.2. Sensitivity Analysis
4.3. Coal Strength Weakening and Engineering Risk Early Warning
5. Conclusions
- According to the characteristics of the stress-strain curve and crack number curve, the loading process progression evolves through three distinct phases: elasticity, plasticity, and failure. Compared with the intact specimen, the peak stress and strain of the specimen with drilling joints are significantly reduced, the brittleness is weakened, the crack initiation position and crack propagation path are changed, the intermittent failure is advanced, and the number of times is increased, and the post-peak crack growth and stress drop rate are slowed down. As the joint density increases, peak stress exhibits progressive attenuation in specimens with enlarged borehole diameters, and the decrease gradually slows down, and the difference in peak stress of the specimens with different drilling gradually decreases. The elastic modulus of the specimen is less affected by the drilling diameter, and is greatly affected by the joint density, and decreases linearly with the increase in the joint density.
- When the joint density is low, the specimen structure is complete, the stress distribution is uniform, the failure is mainly tensile failure, and the fragments are large and brittle. With the increase in joint density, the continuity of the specimen decreases, forming a potential slip surface, and the stress is transmitted along the joint surface. In addition to generating cracks to consume energy, it can also release energy through friction slip. The failure is progressive shear slip, and the fragments are small. The failure of the specimen with a 0 mm drilling diameter begins in the area with a large joint density. 4 mm aperture specimen, the initial position of failure is similar when the joint density is small, and it expands to the drilling and the upper end. When the density is greater than 20 m/m2, the failure occurs during the drilling, and the local destructiveness is enhanced. The failure of the 8 mm aperture specimen is more obvious during the drilling. The change of joint density, crack distribution, and propagation mode has an effect on the distribution of acoustic emission hot spots. The interaction of holes and joints affects crack propagation and energy release. The increase in joint density and drilling diameter makes the damage curve gentle, and the damage starting point advances.
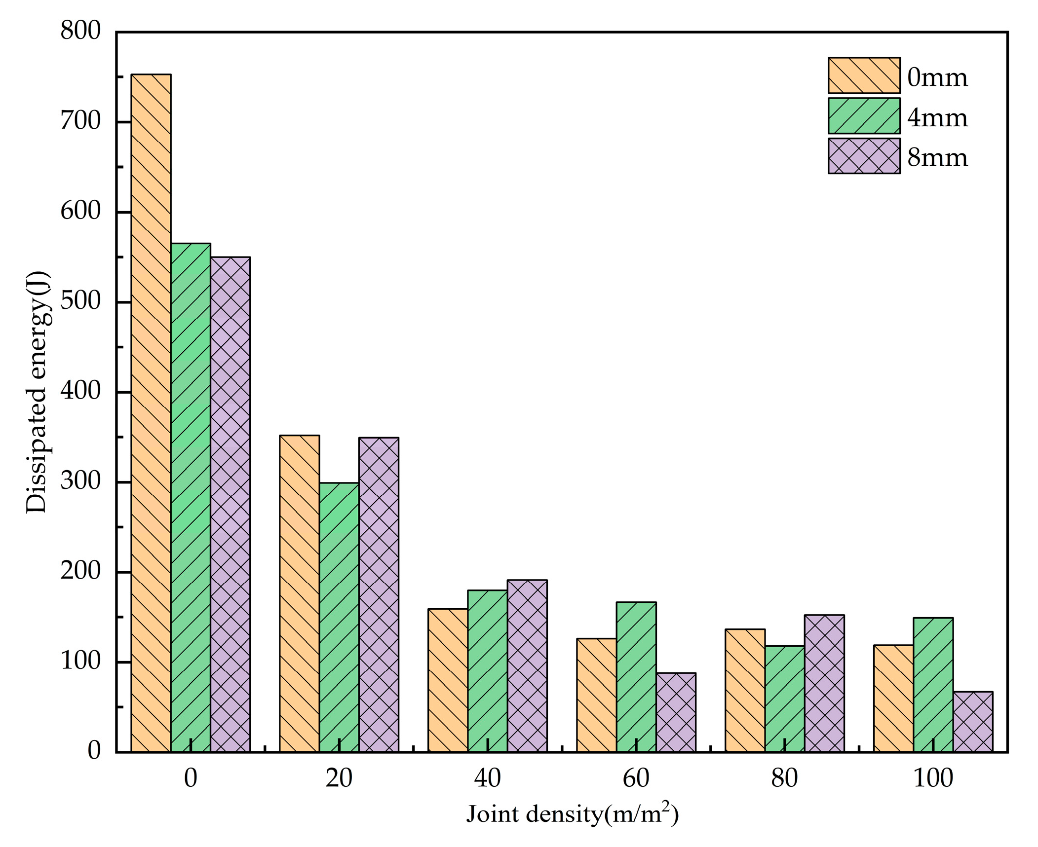
- When the specimen is loaded to the peak stress, the elastic energy is affected by the drilling diameter and the joint density. The joint density increases, and the aperture interference effect is weakened. When the joint density increases from 0 to 60 m/m2, the elastic energy storage of the three kinds of aperture specimens decreases significantly, and the increase of aperture can inhibit the weakening of elastic energy storage by joint density to a certain extent. When the joint density exceeds 60 m/m2, the energy storage characteristics tend to be stable. When the jointless specimen fails, the elastic energy is released rapidly, and brittle failure occurs. With the increase of joint density, the failure path and form change, and the dissipated energy increases step by step, and the speed slows down. The drilling has a significant effect on the dissipated energy of the jointless specimen. For the jointed specimen, it mainly affects the energy release process and makes the energy release more uniform. As the joint density increases, the dissipated energy decreases when the three aperture specimens fail.
Author Contributions
Funding
Data Availability Statement
Conflicts of Interest
References
- Peng, R.D.; Xue, D.J.; Sun, H.F.; Zhou, H.W. Characteristics of strong disturbance to rock mass in deep mining. J. China Coal Soc. 2019, 44, 1359–1368. [Google Scholar] [CrossRef]
- Arthur, C.D. The determination of rock material properties to predict the performance of machine excavation in tunnels. Q. J. Eng. Geol. Hydrogeol. 1996, 29, 67–81. [Google Scholar] [CrossRef]
- Zhang, L.; Wang, Y.M.; Gao, M.Z.; Jia, W.H.; Xie, S.L.; Hou, W.; Wang, X.Y.; Zhang, H. Spatio-temporal evolution of pore and fracture structures in coal induced by initial damage and creep behavior: A real-time NMR-based approach. Int. J. Min. Sci. Technol. 2024, 34, 1409–1425. [Google Scholar] [CrossRef]
- Mu, H.W.; He, X.Q.; Song, D.Z.; Li, Z.L.; Qiu, L.M.; Su, D.F.; Yin, S. Response characteristics and influence mechanism of uniaxial compression mechanics and AE of coal with different joint angles. J. China Coal Soc. 2020, 45, 1726–1732. [Google Scholar] [CrossRef]
- Lai, X.P.; Fang, X.W.; Shan, P.F.; Cui, F.; Chen, J.Q.; Zhang, S.; Liu, X.D. Failure mode and phased energy accumulation and release law of brittle holey coal samples during loading. J. Min. Saf. Eng. 2021, 38, 1005–1014. [Google Scholar] [CrossRef]
- Kulatilake, P.H.S.W.; Bwalya, M.; Wang, J.L. Physical and particle flow modeling of jointed rock block behavior under uniaxial loading. Int. J. Rock Mech. Min. Sci. 2001, 38, 641–657. [Google Scholar] [CrossRef]
- Wu, S.C.; Zhang, S.R.; Han, L.Q.; Hou, Y.; Li, Z.Q. Discussion on the inhomogeneity and size effect of engineering rock mass from the perspective of random joints distribution. J. China Univ. Min. Technol. 2024, 53, 1063–1073. [Google Scholar] [CrossRef]
- Han, G.; Jing, H.; Jiang, Y.; Liu, R.; Su, H.; Wu, J. The Effect of Joint Dip Angle on the Mechanical Behavior of Infilled Jointed Rock Masses under Uniaxial and Biaxial Compressions. Processes 2018, 6, 49. [Google Scholar] [CrossRef]
- Zhang, T.J.; Dong, X.G.; Pan, H.Y.; Zhang, L. Study on Burst Characteristics of Pre-drilled Coal Specimen Based on Digital Image Correlation Method. Coal Technol. 2017, 36, 301–303. [Google Scholar] [CrossRef]
- Wang, A.W.; Gao, Q.S.; Pan, Y.S.; Song, Y.M.; Li, L. Bursting liability and energy dissipation laws of prefabricated borehole coal samples. J. China Coal Soc. 2021, 46, 959–972. [Google Scholar] [CrossRef]
- Wang, A.Q.; Chen, K.; Nie, X.; Yao, H.; Meng, Q.X. Study on surrounding rock stability of different diameter boreholes under uniaxial compression. Coal Chem. Ind. 2022, 45, 6–8+12. [Google Scholar] [CrossRef]
- Wang, X.Q.; Kang, H.P.; Gao, F.Q.; Zhao, K. DEM simulation of mechanical behavior of jointed coal in large scale under uniaxial compression. J. China Coal Soc. 2018, 43, 3088–3097. [Google Scholar] [CrossRef]
- Cui, D.P.; Liu, C.Y.; Zou, Y.H. Research on deformation mechanism and control of mine jointed different strata roadway. Coal Eng. 2007, 22, 63–67. [Google Scholar]
- Jia, C.J.; Chen, F.L.; Zhou, S.J.; Lei, M.F.; Huang, J. Effect of joint density on mechanical behavior of rock mass: Insight from 3D printing tests and DEM simulation. Eng. Fract. Mech. 2025, 315, 110846. [Google Scholar] [CrossRef]
- Fan, X.; Kulatilake, P.H.S.W.; Chen, X. Mechanical behavior of rock-like jointed blocks with multi-non-persistent joints under uniaxial loading: A particle mechanics approach. Eng. Geol. 2015, 190, 16. [Google Scholar] [CrossRef]
- Jia, C.Y.; Jiang, Y.J.; Zhang, X.P.; Wang, D.; Luan, H.J.; Wang, C.S. Laboratory and numerical experiments on pressure relief mechanism of large-diameter boreholes. Chin. J. Geotech. Eng. 2017, 39, 1115–1122. [Google Scholar] [CrossRef]
- Ma, J.; Li, J.; Zhang, S.; Yang, S.; Dong, X.; Liu, D. Numerical Simulation Analysis of Acoustic Emission Characteristics during the Drilling Pressure Relief Process in Coal Seams under Different Influencing Factors. Processes 2023, 11, 3277. [Google Scholar] [CrossRef]
- Meng, L.B.; Chen, H.Q.; Li, T.B.; Yin, H. Application of PFC numerical simulation method in experimental teaching of rock mechanics. Exp. Technol. Manag. 2018, 35, 78–180 + 220. [Google Scholar] [CrossRef]
- Sun, C.; Ao, Y.H.; Zhang, J.M.; Wang, S. Particle flow of meso-fracture characteristics and macro-scale effect of granites. Chin. J. Geotech. Eng. 2020, 42, 1687–1695. [Google Scholar] [CrossRef]
- Xia, H.C.; Wu, A.Q.; Lu, B.; Xu, D.D. Influence Mechanism of Heterogeneity on Mechanical Properties of Rock Materials. J. Yangtze River Sci. Res. Inst. 2021, 38, 103–109. [Google Scholar]
- Dershowitz, W.S.; Einstein, H.H. Characterizing rock joint geometry with joint system models. Rock Mech. Rock Eng. 1998, 21, 21–51. [Google Scholar] [CrossRef]
- Wang, X.Q.; Kang, H.P.; Gao, F.Q. Numerical investigation on the shear behavior of jointed coal mass. Comput. Geotech. 2019, 106, 274–285. [Google Scholar] [CrossRef]
- Lu, Z.G.; Ju, W.J.; Gao, F.Q.; Sun, Z.Y.; Peng, X.Y. Damage evolution analysis of coal during intermittent failure process based on radial deformation increment. J. Rock Mech. Eng. 2023, 42, 3529–3540. [Google Scholar] [CrossRef]
- GT/T223561.6-2009; Method for Determining the Physical and Mechanical Properties of Coal and Rock. General Administration of Quality Supervision, Inspection and Quarantine of the People’s Republic of China and National Standardization Administration: Beijing, China, 2009.
- Chen, X.; Yan, Z.; Hu, J.; Yang, T.; Sun, J.; Tao, Y.; Chen, X. Borehole Failure Mechanics and Influencing Factors in a Gas-Bearing Soft Coal Seam Under Complex Geological Conditions. Processes 2025, 13, 146. [Google Scholar] [CrossRef]



















| Group | Microscopic Mechanical Parameters | Symbol and Units | Value |
|---|---|---|---|
| Linear bond group | Effective modulus | GPa | 0.1 |
| Normal to shear stiffness ratio | 1 | 1.5 | |
| coefficient of friction | 1 | 0.5 | |
| Parallel bond group | Effective modulus | GPa | 1.25 |
| Normal to shear stiffness ratio | 1 | 1.5 | |
| Friction coefficient | 1 | 0.5 | |
| Tensile strength | MPa | 13.97 | |
| Binding strength | MPa | 13.5 | |
| Smooth-joint group | Normal stiffness | GPa | 0.27 |
| Tangential stiffness | GPa | 0.14 | |
| Friction coefficient | 1 | 0.5 | |
| Binding strength | MPa | 0.0 |
| Levels | Drilling Diameter | Joint Density | |
|---|---|---|---|
| K | 0 | 64.71 MPa | 73.57 MPa |
| 4 | 60.27 MPa | - | |
| 8 | 58.37 MPa | - | |
| 20 | - | 41.01 MPa | |
| 40 | - | 26.17 MPa | |
| 60 | - | 17.02 MPa | |
| 80 | - | 13.82 MPa | |
| 100 | - | 11.76 MPa | |
| Kavg | 0 | 10.79 MPa | 24.52 MPa |
| 4 | 10.04 MPa | - | |
| 8 | 9.73 MPa | - | |
| 20 | - | 13.67 MPa | |
| 40 | - | 8.72 MPa | |
| 60 | - | 5.67 MPa | |
| 80 | - | 4.61 MPa | |
| 100 | - | 3.92 MPa | |
| Best level | 8 mm | 100 m/m2 | |
| Number of levels | 3 | 6 | |
| R | 10.57 MPa | 20.60 MPa | |
Disclaimer/Publisher’s Note: The statements, opinions and data contained in all publications are solely those of the individual author(s) and contributor(s) and not of MDPI and/or the editor(s). MDPI and/or the editor(s) disclaim responsibility for any injury to people or property resulting from any ideas, methods, instructions or products referred to in the content. |
© 2025 by the authors. Licensee MDPI, Basel, Switzerland. This article is an open access article distributed under the terms and conditions of the Creative Commons Attribution (CC BY) license (https://creativecommons.org/licenses/by/4.0/).
Share and Cite
Jiao, Z.; Ma, J.; Ni, Z.; Bao, W.; Lan, J.; Dong, C. Study on Mechanical Response and Failure Characteristics of Coal Specimens Under the Coupling Effect of Joints and Drillings. Processes 2025, 13, 2605. https://doi.org/10.3390/pr13082605
Jiao Z, Ma J, Ni Z, Bao W, Lan J, Dong C. Study on Mechanical Response and Failure Characteristics of Coal Specimens Under the Coupling Effect of Joints and Drillings. Processes. 2025; 13(8):2605. https://doi.org/10.3390/pr13082605
Chicago/Turabian StyleJiao, Zhenhua, Jiabao Ma, Zhihui Ni, Weidong Bao, Jianjun Lan, and Chuanlong Dong. 2025. "Study on Mechanical Response and Failure Characteristics of Coal Specimens Under the Coupling Effect of Joints and Drillings" Processes 13, no. 8: 2605. https://doi.org/10.3390/pr13082605
APA StyleJiao, Z., Ma, J., Ni, Z., Bao, W., Lan, J., & Dong, C. (2025). Study on Mechanical Response and Failure Characteristics of Coal Specimens Under the Coupling Effect of Joints and Drillings. Processes, 13(8), 2605. https://doi.org/10.3390/pr13082605
