Abstract
The electricity market can optimize the resource allocation in power systems by calculating the market clearing problem. However, in the market clearing process, various market operation requirements must be considered. These requirements might cause the obtained power system dispatch instructions to deviate from the optimal solutions of original market clearing problems, thereby compromising the economic properties of locational marginal price (LMP). To mitigate the adverse effects of such optimality limitations, this paper proposes a pricing method for improving economic properties under the optimality limitation of power system dispatch instructions. Firstly, the underlying mechanism through which optimality limitations lead to economic property distortions in the electricity market is analyzed. Secondly, an analytical framework is developed to characterize economic properties under optimality limitations. Subsequently, an optimization-based electricity market pricing model is formulated, where price serves as the decision variable and economic properties, such as competitive equilibrium, are incorporated as optimization objectives. Case studies show that the proposed electricity market pricing method effectively mitigates the economic property distortions induced by optimality limitations and can be adapted to satisfy different economic properties based on market preferences.
1. Introduction
- Background
The development of electricity markets is a critical component of power system reform, with the electricity spot market serving as the cornerstone of the overall market framework. The electricity spot market plays an indispensable role in facilitating the transition of power systems toward a clean, low-carbon, secure, and efficient paradigm. Within the operational framework of electricity markets, pricing mechanisms serve as the primary tool for coordinating supply and demand, thereby guiding the optimal allocation of resources. A well-designed pricing mechanism is not only fundamental to the establishment of a functional electricity spot market but also serves as a crucial safeguard for maintaining the secure and stable operation of power systems under competitive market conditions. In particular, the incentive compatibility of pricing mechanisms is vital for enhancing market efficiency [1]. An appropriate pricing mechanism can effectively incentivize market participants to engage in transactions, follow dispatch instructions, and contribute to system-wide resource optimization. In particular, the incentive compatibility of pricing mechanism is vital for enhancing market efficiency. An appropriate pricing mechanism can effectively incentivize market participants to engage in transactions, follow dispatch instructions, and contribute to overall system optimization.
- Literature Review
Currently, the electricity spot markets in various countries primarily design pricing mechanisms based on the marginal cost pricing principle, including locational marginal price (LMP), zonal marginal price (ZMP), and system marginal price (SMP). The LMP represents the marginal cost incurred by the system to supply an additional unit of load at a specific bus and is derived from the dual solution of the economic dispatch (ED) problem [2,3]. The ED problem aims to maximize social welfare or minimize system costs while accounting for both individual operational constraints of market participants and system-wide operational constraints, such as power balance conditions and transmission capacity limits. The ZMP, on the other hand, represents the incremental marginal cost of supplying an additional unit of demand within a designated pricing zone and is obtained from the dual solutions of a cross-regional dispatch problem [4,5]. This formulation incorporates individual operational constraints of market participants, power balance requirements, and interregional transmission security constraints. The SMP reflects the marginal cost of meeting an additional unit of demand across the entire system and is derived from the dual solution of an economic dispatch model that considers individual operational constraints and system-wide power balance requirements [6]. Compared to the LMP model, the market clearing mechanism under the ZMP framework accounts for transmission capacity constraints only for interregional transactions that have a significant impact on system operation. In contrast, the SMP-based market clearing model does not incorporate transmission capacity constraints, treating all generation and load within the system as if they were connected without congestion. Under the ZMP mechanism, electricity prices remain uniform within each defined pricing zone at any given time, while under the SMP mechanism, a single uniform price is applied across the entire system, which corresponds to the unconstrained market clearing price in the electricity spot market. Both ZMP and SMP can be regarded as special cases of the LMP framework, where transmission capacity constraints are either simplified or disregarded.
In addition to the aforementioned pricing mechanisms based on the marginal cost pricing principle, various alternative pricing and allocation mechanisms have been explored in academic research. Notable among these are the pay-as-bid (PAB) pricing mechanism, as well as allocation mechanisms based on the Vickrey–Clarke–Groves (VCG) principle and the Arrow–d’Aspremont–Gerard–Varet (AGV) principle. The PAB pricing mechanism determines market prices based on the cost bids submitted by market participants, meaning that each participant receives the price they bid rather than a uniform market clearing price [7]. The allocation mechanism based on the VCG principle, in contrast, calculates the remuneration of market participants based on their marginal contribution to the overall system, ensuring that each participant’s income reflects the benefit they provide relative to the system’s operation [8]. Similarly, the AGV-based allocation mechanism considers the relative contributions of individual market participants to social welfare or system costs when determining their compensation, aiming to establish a fair and incentive-compatible distribution of market revenues [9,10]. Despite these theoretical advancements, pricing mechanisms based on the marginal cost pricing principle remain the predominant approach in electricity spot markets worldwide. The PAB-, VCG-, and AGV-based mechanisms, while offering theoretically appealing properties such as incentive compatibility and fairness, have not been widely adopted in practical market operations. This is primarily due to their economic inefficiencies and the computational complexity associated with their implementation in large-scale electricity markets.
Generally, the economic properties that a pricing mechanism is expected to satisfy include competitive equilibrium, cost recovery, revenue adequacy, and fairness, among others [11,12,13]. In an ideal market environment, the LMP mechanism fulfills these fundamental economic properties and provides appropriate incentive signals for market participants. However, with the gradual evolution and maturation of electricity markets, as well as advancements in market support technologies, practical electricity spot market operations increasingly incorporate various operational requirements. These operational considerations, introduced progressively in different stages, can impose constraints on dispatch optimization, thereby undermining the conditions necessary to uphold the desirable economic properties of the LMP mechanism and adversely affecting electricity pricing. We define the above as “the optimality limitation of power system dispatch instructions,” referring to the inherent gap between actual market dispatch instructions and the optimal dispatch instructions derived from ideal market clearing model constrained by system operation requirement. There are two primary factors that contribute to this issue.
- (1)
- Model simplification: To ensure timely resolution of the market clearing problem within a given operational timeframe, market operators often simplify and restructure the problem. This may involve decomposing the problem into multiple sub-problems across different time intervals and solving each separately. The dispatch instructions derived from these simplified models may not align with those obtained from the original market clearing formulation.
- (2)
- Solution modification: To meet system security requirements or specific planning constraints, market operators may alter dispatch solutions, causing them to deviate from the optimal outcomes derived from the original market clearing model.
In both cases, market operators are unable to issue dispatch instructions strictly based on the optimal solutions of the original market clearing problem. This issue is termed the optimality limitation problem of dispatch instructions in this paper. The presence of this limitation undermines the economic properties of LMP-based pricing, leading to lost opportunity costs (LOCs) for market participants. To address the issue of insufficient price incentives caused by simplified market clearing models, prior research has proposed various pricing adjustments. References [14,15] introduce the shadow prices of ramping constraints into price formulation, reflecting the scarcity of ramping resources. This approach seeks to establish market equilibrium across all intervals; however, pricing derived from individual constraints may result in price discrimination. Reference [16] proposes an innovative multi-period market model that enhances efficiency for resources with intertemporal constraints, linking forward and spot markets through coordinated dispatch and pricing. Reference [17] develops a pricing model to minimize uplift payments, constructed by considering LOCs of units across all intervals.
- Contributions
In general, the LMP derived from the dual solutions of a simplified market clearing problem struggles to maintain competitive equilibrium under dispatch instructions. When dispatch instructions are subject to optimality limitations, multiple economic properties of LMP are compromised. Existing methods primarily address specific instances of model simplification or individual property requirements; however, a systematic theoretical framework and comprehensive solutions for mitigating the economic property degradation caused by such optimality limitations remain lacking. Therefore, developing pricing methodologies that can flexibly balance multiple economic properties under dispatch optimality limitations becomes crucial, as this would alleviate adverse impacts on electricity pricing while ensuring the robustness of market price signals.
The main contributions of this paper are as follows.
- (1)
- Impact mechanism analysis of the optimality limitation on economic properties. A critical, but often overlooked problem in electricity market pricing is the optimality limitation of dispatch instructions, which arises due to model simplification, manual modification, or computational compromises in actual system operations. Unlike the existing literature, which typically assumes ideal consistency between market dispatch and pricing mechanisms (such as LMP), this paper reveals how these limitations distort key economic properties of electricity prices. A systematic analytical framework is designed to characterize and quantify the impact of dispatch optimality limitations on pricing distortions.
- (2)
- Proposes an optimization-based electricity market pricing model. Different from traditional approaches, the proposed model incorporates key economic properties (such as competitive equilibrium, revenue adequacy, and cost recovery) into the objective function, enabling flexible trade-offs under practical pricing constraints. The model directly takes dispatch instructions as parameters and treats price itself as the decision variable. Results from case studies demonstrate that the proposed method can effectively balance multiple economic properties, mitigate the adverse impacts of dispatch optimality limitations on electricity pricing, and enhance both the flexibility and predictability of price signals in the electricity market.
- Paper organization
This paper is organized as follows. Section 2 examines the impact mechanism of optimality limitation on economic properties. Section 3 constructs the analytical formulations for economic properties. Section 4 proposes an optimization-based pricing model that considers the coordination of economic properties. Section 5 demonstrates the effectiveness of the proposed method through case studies. Section 6 summarizes the key findings and conclusions of this paper.
2. Impact Mechanism Analysis of the Optimality Limitation on Economic Properties
As mentioned in the Introduction, the optimality limitation problem of dispatch instructions can be divided into two types: model simplification and solution modification. This section mainly analyzes the mechanism of price property damage under the former type of problem, and the analysis method used can also be applied to analyze the second type of problem. Specifically, the mechanism of distortion in the economic properties of LMP is examined in the context where the multi-interval market clearing problem is decomposed into a series of single-interval clearing problems.
2.1. The Original Multi-Interval Electricity Market Clearing Model
In this paper, regardless of the non-convexity of market participants, by taking the economic dispatch problem as the electricity spot market clearing problem, the original multi-interval electricity market clearing model is as follows.
2.1.1. Objective Function
The optimization goal of the original multi-interval market clearing model is to minimize the total system operation cost of all intervals, shown in (1):
2.1.2. Constraints
- System power balance constraint:
- Transmission capacity constraint:
If considering the N-1 contingency, it is necessary to increase the safety check constraint, shown in (5) and (6).
- Generation limit constraints of unit:
- Ramp constraints of unit:
To sum up, (1)–(9) constitute the original multi-period electricity spot market clearing model, which is a linear programming (LP) model.
2.2. The Simplified Single-Interval Electricity Market Clearing Model
To ensure computational feasibility within the specified time frame, the original multi-interval spot electricity market clearing model is divided into several single-interval market clearing models, which are solved sequentially. The simplified market clearing model for interval t is formulated as follows.
2.2.1. Objective Function
The optimization goal of the simplified electricity market clearing model at the interval t is to minimize the system operation cost of the interval t, shown in (10):
2.2.2. Constraints
- System power balance constraint at interval t:
- Transmission capacity constraint at interval t:
If considering the line N − 1 fault scenario, it is necessary to increase the safety check constraint, shown in (14) and (15):
- Generation limit constraints of unit at the interval t:
- Ramp constraints of unit at the interval t:
To sum up, Equations (10)–(17) constitute the simplified electricity market clearing model at interval t, which is a linear programming model. The label “S” represents the optimal solution of the dispatch decision and dual multiplier for this model. By comparing the simplified electricity market clearing model and the original electricity market clearing model, the optimal solutions of the former model are the feasible solutions of the latter model.
2.3. Mechanism of Economic Property Distortion
Based on the simplified single-interval electricity market clearing model and the definition of the LMP, the LMPs of units and consumers are as follows.
If considering the security check constraints, the LMPs of the units and the consumers are shown in (20) and (21).
where and are the congestion components of the LMP and are the safety check components.
Competitive equilibrium is one of the important properties that the pricing mechanism needs to meet. Under the price signal, if each unit’s self-dispatch decision with the goal of maximizing individual interests is consistent with the target dispatch instruction that the market operator expects the unit to follow, then the price and the dispatch instruction form a competitive equilibrium or the price supports the dispatch instruction. Otherwise, there is LOC when the unit complies with the dispatch instruction. In this paper, the non-convex costs, such as start-up costs and no-load costs, are ignored, and the unit’s self-dispatch region is the generation region under fixed start-up or shut-down decisions.
Under the LMP, the unit’s LOC, the unit’s profit from following the target dispatch instruction, and the unit’s maximum self-dispatch profit are shown in (22)–(24).
Under the LMP, the unit’s optimal solution under full-time interval self-dispatch is shown in (25):
The LMP obtained based on the dual solution of the full-time interval electricity market clearing model can support the full-time interval competitive equilibrium of market participants. Similarly, the electricity price based on the dual solution of the electricity market clearing model at interval t can support the unit’s competitive equilibrium at interval t, that is, the dispatch instruction is the optimal solution of the unit’s self-dispatch at interval t under the LMP price signal.
Given the LMP, the unit’s maximum self-dispatch profit at the interval t under the sequential single-interval self-dispatch mode is shown as follows:
Given the LMP, the optimal solution of the unit’s self-dispatch at interval t under the sequential single-interval self-dispatch mode is shown as follows.
By comparing (25) with (27), it can be seen that the feasible region of the full-time interval self-dispatch problem and the sequential single-interval self-dispatch problem are different under the LMP, and their optimal self-dispatch decisions and maximum self-dispatch profits will also be different. Therefore, the LMP can only guarantee , but it cannot guarantee that is same as , and cannot control the gap between and . Furthermore, in the sequential single-interval market clearing mode, the unit’s LOC following the dispatch instruction is shown as follows.
To sum up, when utilizing the simplified single-interval electricity market clearing method, LMP can only support the competitive equilibrium of market participants at a single interval, and cannot guarantee the competitive equilibrium for full-time interval. At this time, the LOC of the market participant is the difference between the maximum profit of the market participant by full-time interval self-dispatch and the maximum profit by sequential single- interval self-dispatch under the LMP price signal.
3. Analytical Formulation Method for Economic Properties
By analyzing the mechanism of economic property distortion, the simplified single-interval electricity market clearing model simplifies the unit’s time-interval coupling characteristic. It leads to the characteristic not being fully considered in the price incentive, and the final price cannot guarantee the full-time interval competitive equilibrium. Therefore, to avoid or alleviate the destruction of the optimality limitation problem, the economic properties of the price signal need to be analytically characterized, and then an optimization-based pricing model with prices as the decision variables and economic properties as the objective is constructed. In this model, the influence of optimality limitation on the economic properties should be embedded, and the conflicts between different pricing economics properties need to be coordinated. In this section, the analytical representation method for the economic properties of prices is introduced.
3.1. Competitive Equilibrium
When the target dispatch instructions are the optimal dispatch solutions for market participants to maximize their own profit under the price signal, the pricing mechanism satisfies the competitive equilibrium. Otherwise, there are LOCs for market participants to comply with the target dispatch instructions, which can be used as a quantitative indicator of the degree of competitive equilibrium impairment.
The target dispatch instruction is represented by . Considering the optimality limitation problem of dispatch instruction, can be obtained by solving the simplified single-interval electricity market clearing model or modifying the optimal dispatch solution. Considering the original multi-interval market clearing problem ((1)–(9)), the analytical expression of LOC is shown as:
3.2. Cost Recovery
Regardless of the unit’s start-up and no-load costs, the pricing mechanism meets the cost recovery when the unit’s revenue can cover the fuel cost of providing electricity services. Otherwise, the unit exists with a cost recovery shortfall, which can be used as a quantitative indicator of the degree of cost recovery impairment. The analytical expression of the cost recovery shortfall is shown as follows.
3.3. Revenue Adequacy
When the fees charged by a market operator from consumers can cover its payments for units, the pricing mechanism meets the revenue adequacy. Otherwise, the market operator has revenue shortfall, which can be used as a quantitative indicator of the degree of revenue adequacy impairment. Considering the market surplus of the market operator, the analytical expression of the total revenue shortfall is shown as follows.
If consider the financial transmission rights market related to the spot market clearing result, the expression of product revenue shortfall is shown as follows.
When considering the financial market related to the spot market clearing result, the total revenue shortfall of market operator is shown as follows.
4. Optimization-Based Pricing Model Considering Coordination of Economic Properties
In this section, to achieve the coordination of economic properties under the optimality limitation problem, an optimization-based pricing model is constructed with prices as the decision variables and economic properties as the objective or constraints.
4.1. Bi-Level Programming Pricing Model
Based on the analysis of economic properties, the pricing model (represented as ) is formulated to flexibly trade off multiple economic properties of electricity market under the optimality limitation of dispatch solution.
4.1.1. Upper-Level Model of the Bi-Level Programming Pricing Model
- Objective function of the upper-level model
Considering the different trade-offs of economic properties, the objective function of the model is shown in (39), and the specific setting of the objective function will be discussed in the case study.
Here, is a linear function related to the market participant’s price, LOC, cost recovery shortfall, and the revenue shortfall of market operators. represents the price variables of the units; represents the LMPs of the consumers; represents the resource price variables; and represent the LMP upper/lower limit; L represents the lost opportunity cost of market participants; W represents the cost recovery shortfall of market participants; and N represents the revenue shortfall of market operator.
- Price restriction constraint:
- Interpretable price expressions:
Since the system power balance constraint is an equality constraint, it can be regarded as a combination of two inequality constraints with opposite signs, and then the resource price can be regarded as the difference between two non-negative resource prices. It can be positive or negative. The electricity service price consists of an energy component and congestion component. If the market clearing model considers the security check constraint, the price expression constraint can be modified based on (20) and (21).
The total unit revenue and the total consumer payment are shown in (47) and (48).
The analytical expression constraints of LOCs are shown in (29)–(32), and the optimal self-dispatch solution is derived from the lower-level problem, shown as (32). The analytical expression constraints of the cost recovery shortfall are shown in (33) and (34). In the optimization model, (34) can be converted into (49) equivalently.
When considering only the market surplus of market operators in the electricity market under the price signal, the total revenue shortfall of market operators is shown in (35) and (36). If considering the financial transmission right markets related to the spot market clearing result, the product revenue shortfall is shown in (37), and the total market revenue shortfall is shown in (38).
To sum up, (29)–(31), (33), (35)–(38), (39)–(49) constitute the upper-level model of the bi-level programming pricing model.
4.1.2. Lower-Level Model of Bi-Level Programming Pricing Model
The lower-level model is the self-dispatch model of the unit under the price signal, as shown in (50)–(53).
- Objective function:
- Generation limit constraints of unit:
- Ramp constraint of unit:
Therefore, (29)–(31), (33), (35)–(38), and (39)–(53) constitute a bi-level programming pricing model that flexibly trades off the economic properties under the optimality limitation of dispatch instructions.
4.2. Equivalent Transformation Method of Pricing Model
4.2.1. KKT Conditions for Self-Dispatch Problem
- Original feasibility condition
As shown in (51)–(53).
- Stationarity conditions:
- Dual feasibility conditions:
- Complementary slackness conditions:
Based on the duality principle of linear programming, the lower-level model can be replaced by its KKT conditions. Then, the bi-level programming pricing problem can be equivalently transformed into a nonlinear programming problem. Further, the existing literature has found that nonlinear constraints in the nonlinear programming problem can be further transformed into linear constraints [18]. Then, the above bi-level programming pricing model can be transformed into a linear programming pricing model.
4.2.2. Linear Programming Pricing Model
Therefore, the linear programming pricing model equivalent to the aforementioned bi-level programming pricing model is shown as follows (denoted ). It regards resource price and service price as decision variables.
- Objective function
The model objective function is the same as .
- Constraints for pricing property
The expression constraint of unit’s LOC is as shown in (63)–(66):
In the linear programming pricing model , the constraints are the same as in the bi-level programming optimal pricing model, except for the expression constraint of the LOCs. To sum up, (33), (35)–(38), (39)–(49), and (63)–(66) constitute a linear programming pricing model with flexible trade-off economic properties considering the optimality limitation of dispatch instructions.
5. Case Study
To verify the effectiveness of the proposed pricing method, based on the IEEE 30-bus standard system, market clearing and pricing for 24 h were carried out.
Based on the IEEE 30-bus standard system, the market clearing interval is 1 h and carried out for 24 h. Considering the two scenarios of the non-congested network and congested network, the unit parameters are shown in Table 1.
Table 1.
Generator parameters of IEEE 30-bus system.
All numerical results were obtained by modeling on the Matlab platform and using the CPLEX solver on a computer equipped with 16 GB memory and Intel(R) Core(TM) i5-10400 processor.
5.1. Case Method Comparison Setting
Under the optimality limitation problem of dispatch instructions, the following eight pricing mechanisms are compared and analyzed. Among them, S1 is the LMP method, and S2–S8 correspond to different objective functions and constraint settings of the proposed pricing model, that is, different trade-offs of economic properties.
S1: The LMP method, in which the price consists of dual multipliers of the simplified single-interval electricity market clearing model, and the price expression is (18) and (19).
S2: The objective function of the pricing model is set as the linear combination of the LOC for the market participants and the revenue shortfall for the market operator, that is, , and the is set as 1.
S3: The objective function of the price model is set as the linear combination of the LOC for the market participants and the revenue shortfall for the market operator, that is, , and the is set as 0.1.
S4: The objective function of the price model is set as the LOC for the market participants, that is, .
S5: The objective function of the price model is set as the LOC for the market participants, that is, , and add revenue adequacy constraints .
S6: The objective function of the price model is set as the linear combination of the LOC for the market participants and the cost recovery shortfall for the market participants, that is, , and the default value of is 1.
S7: The objective function of the price model is set as the linear combination of the LOC for the market participants and the cost recovery shortfall for the market participants, that is, , the default value of is 1, and add revenue adequacy constraints .
S8: The objective function of the price model is set as the linear combination of the LOC for the market participants, the revenue shortfall for the market operator, and the cost recovery shortfall for the market participants, that is, , and the default value of and is 1.
5.2. Case Result Analysis
5.2.1. Analysis of Price Economic Properties Under Different Pricing Mechanisms
- Non-congested network
The LOC, cost recovery shortfall, market surplus, and product revenue shortfall under different pricing mechanisms when the network is not congested are shown in Table 2. The prices in time interval 21 are shown in Figure 1.
Table 2.
Property indicators of different pricing mechanisms in IEEE 30-bus system without network congestion.
Figure 1.
The price of interval 21 with non-blocking network under different pricing mechanisms.
As depicted in Figure 1, substantial price fluctuations are observed under pricing mechanisms S4 and S6, where the maximum price spike reaches USD 9.02/MWh at bus 19 and a negative price of −USD 2.11/MWh occurs at bus 20. In contrast, pricing results under S2, S3, S5, S7, and S8 show a trend consistent with the conventional LMP-based pricing mechanism (S1), exhibiting stable prices across the network without severe volatility. The divergence can be explained by the role of transmission scarcity and its economic allocation. Specifically, price differences across nodes primarily reflect how market participants utilize limited transmission resources differently when injecting or withdrawing power. When transmission constraints at a given interval (e.g., interval 21) are consistent across mechanisms S1, S2, S3, S5, S7, and S8, the corresponding price patterns remain similar. On the other hand, mechanisms such as S4 and S6, which alter the objective function without explicitly internalizing system-wide financial constraints (e.g., revenue adequacy), may lead to price spikes as they allow higher scarcity rents on congested transmission line.
Moreover, as indicated in Table 2, when the dispatch instructions are derived via an interval-by-interval clearing model, the corresponding LMPs—obtained from the dual variables of the interval-based optimization—cannot guarantee a competitive equilibrium over the entire scheduling horizon. In such a case, generators may experience LOCs despite following dispatch instructions. This stems from the fact that although the technical constraints in the interval-based and full-horizon market models are structurally consistent, the LMPs resulting from interval-by-interval dual solutions mainly reflect revenue adequacy under complementary slackness conditions, but do not minimize inter-temporal LOCs. The comparison between S1 and S2 underscores this point: both mechanisms derive dispatch and pricing results from the interval-by-interval model, but while S1 relies solely on LMPs for pricing, S2 introduces a corrective pricing framework that explicitly minimizes the sum of market participants’ LOCs and the market operator’s revenue shortfall. Consequently, S2 can effectively reduce market distortions while ensuring the financial balance of the system. Mechanisms S2 through S5 represent different trade-off strategies between economic efficiency (competitive equilibrium) and financial viability (revenue adequacy) through adjustment of the weight coefficient associated with revenue adequacy in the pricing objective. In this context, S4 corresponds to assigning a zero weight to revenue adequacy, aiming purely at minimizing LOC, whereas S5 implies assigning infinite weight to revenue adequacy, prioritizing system financial balance above all. As the weight for revenue adequacy decreases, the pricing model increasingly emphasizes market efficiency, resulting in lower LOCs, but higher market operator revenue shortfalls. Expanding the analysis to S4–S8, the proposed pricing model demonstrates the capability to flexibly balance between multiple economic objectives, including competitive equilibrium, revenue adequacy, and cost recovery for market participants. In particular, in S6–S8, the objective function incorporates additional cost recovery considerations for individual market entities, further refining the economic rationality of the pricing mechanism.
These mechanisms not only prevent extreme trade-offs that could severely compromise a specific objective but also mitigate operational and financial risks associated with unbalanced market outcomes. In summary, the flexible structure of the proposed models offers a comprehensive pricing solution capable of adapting to diverse market conditions while maintaining core economic properties.
- Congested network
The LOC, cost recovery shortfall, market surplus, and product revenue shortfall under different pricing mechanisms when the network is congested are shown in Table 3. The prices in interval 21 are shown in Figure 2.
Table 3.
Property indicators of different pricing mechanisms in IEEE 30-bus system with network congestion.
Figure 2.
The price of interval 21 with blocked network under different pricing mechanisms.
Figure 2 illustrates the prices under different pricing mechanisms at interval 21 with a blocked network. Significant price fluctuations are observed under mechanisms S4 and S6, with S6 reaching a maximum price of USD 9.02/MWh and a minimum of USD 2.11/MWh, indicating severe volatility caused by uncoordinated transmission congestion rents. In contrast, mechanisms S3, S7, and S8 yield results highly consistent with the conventional LMP-based mechanism S1, showing stable pricing across bus. Mechanisms S2 and S5 exhibit moderate price deviations, especially in the congested region (buses 21–30), suggesting partial impact from transmission scarcity. The divergence in price stability arises from whether the mechanisms internalize system-level financial constraints such as revenue adequacy. Specifically, pricing models that neglect such constraints (e.g., S4, S6) may allow excessive scarcity rents, amplifying nodal price differentials. Conversely, mechanisms incorporating revenue adequacy or cost recovery tend to suppress extreme congestion components and maintain price stability.
As shown in Table 3, when the target dispatch decision is obtained by interval-by-interval clearing, the LMPs obtained based on the dual solution of the interval-by-interval model cannot support the full-interval competitive equilibrium of the unit and the unit obeys the dispatch instruction exist LOC. Because the system constraints of the sequential single-interval market clearing problem are the same as for full interval, the LMPs composed of dual solutions for sequential single-interval market clearing model ensure the revenue adequacy of market operators under the complementary relaxation constraint. Comparing S1 and S2, it can be seen that when the target dispatch instruction and the LMPs are obtained based on the dispatch solution and dual solution by the interval-by-interval model, respectively, the LMP cannot minimize the LOC of the full interval. Compared with the LMP mechanism, the proposed S2 effectively reduces the LOC while ensuring the revenue adequacy. S2–S5 can be regarded as the result of setting different weight coefficients when trading off competitive equilibrium and revenue adequacy. S4 is equivalent to setting the weight coefficient of revenue adequacy to 0, and S5 is equivalent to setting the weight coefficient of revenue adequacy to infinity. By comparing the results of S2–S5 with the decrease of the weight coefficient of revenue adequacy, the pricing mechanism tends to ensure competitive equilibrium, reduce the LOC, and increase the product’s income shortfall. By analyzing the results of S4–S8, the proposed pricing method can not only flexibly trade off economic properties such as competitive equilibrium, revenue adequacy, and cost recovery but can also effectively avoid some economic properties being seriously damaged by a more comprehensive consideration of various economic properties and reduce the corresponding market operation risks.
5.2.2. Analysis of Price Economic Properties Under Different Pricing Mechanisms by Adjusted Weight Coefficient
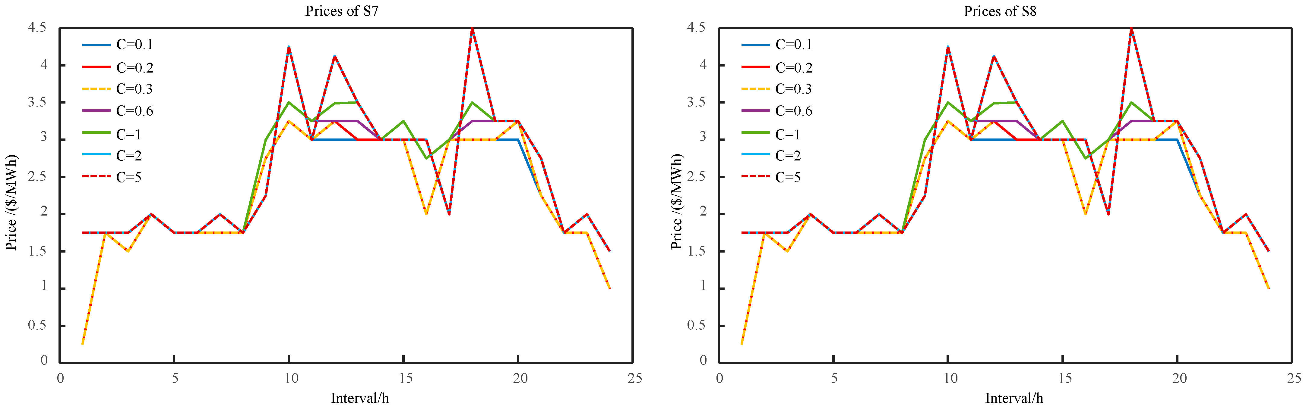
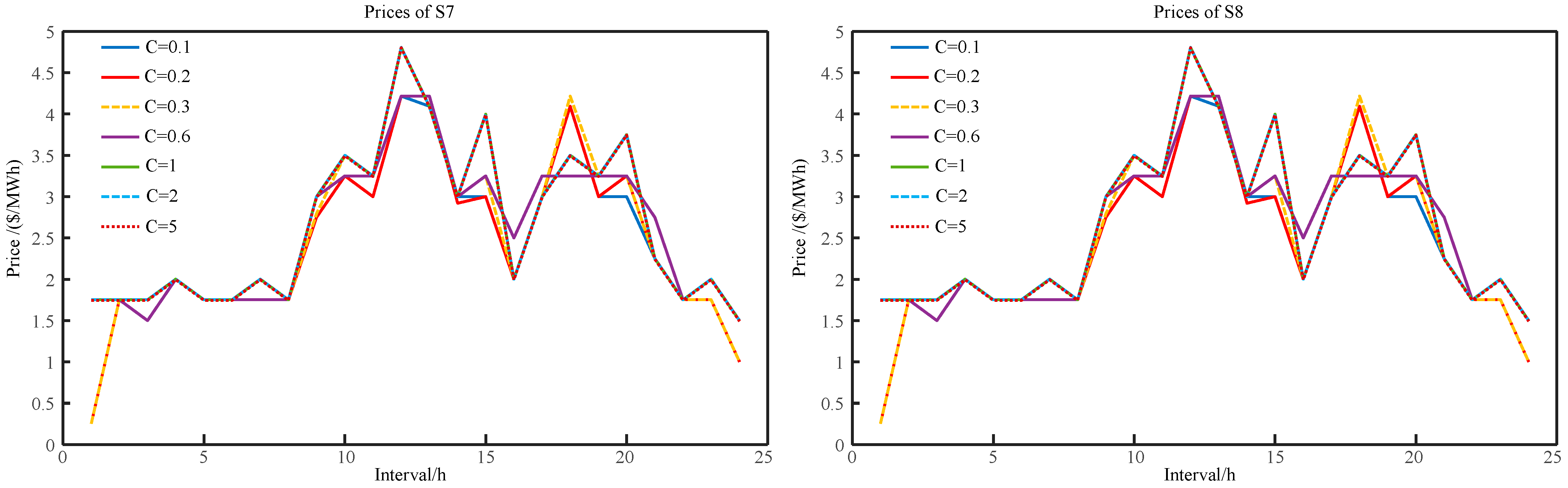
For S7 and S8, the LOCs, cost recovery shortfalls, and product revenue shortfalls under the pricing mechanism if adjusting the cost recovery shortfall weight coefficient in the objective function are shown in Table 4 and Table 5. The prices of G1 units under S7 and S8 at different intervals are shown in Figure 3 and Figure 4.
Table 4.
Property indicators of S7 and S8 under different objective weight without network congestion.
Table 5.
Property indicators of S7 and S8 under different objective weight with network congestion.
Figure 3.
The price of G1 units with network congestion for S7 and S8 at different intervals.
Figure 4.
The price of G1 units without network congestion for S7 and S8 at different intervals.
As shown in Table 4 and Table 5 and Figure 3 and Figure 4, setting the objective function weighting coefficient of the product revenue shortfall to 1 in S8 coincides with the effect of directly limiting the product revenue shortfall to 0 in S7, and the price result are the same. As the weight coefficient of the cost recovery shortfall in the objective function increases, the pricing mechanism tends to guarantee cost recovery. In S7 and S8, the cost recovery shortfalls decrease and LOCs increase. Under some weight coefficient settings, the LOC and cost recovery shortfall are lower than those under the LMP.
Generally, compared with the LMP mechanism, the proposed pricing method can effectively alleviate the damage to the economic properties of the pricing mechanism caused by the limited optimality of the dispatch instructions and can optimize the performance of price in other economic properties on the premise of ensuring some economic properties according to the market’s preference for meeting different economic properties.
6. Conclusions
The optimality limitation of dispatch instructions undermines the conditions required for the LMP mechanism to maintain desirable economic properties, consequently impairing the price’s economic efficiency. To address this issue, this paper proposes an optimization-based pricing method for coordinating multiple economic properties under dispatch optimality constraints. In the proposed pricing model, prices are treated as decision variables, dispatch outcomes serve as parameters, and various economic properties are incorporated as optimization objectives. The effects of dispatch optimality limitations are explicitly modeled as constraints.
Case study results demonstrate that compared to the conventional LMP mechanism, the proposed method effectively mitigates adverse impacts on pricing properties induced by dispatch optimality limitations. Depending on market priorities, this approach can reduce LOCs for participants, alleviate cost recovery deficits, and enhance revenue adequacy for system operators. Overall, the method enables more flexible and comprehensive coordination of key economic properties—including competitive equilibrium, revenue adequacy, and cost recovery—even under dispatch constraints.
Nevertheless, the market environment considered in this paper is relatively simplified and does not account for the participation of diverse market entities (e.g., operational characteristics of hydropower resources or renewable energy uncertainty). The associated pricing mechanisms would require greater complexity. The proposed model also lacks explicit operational uncertainty modeling. Future research should extend the framework to: (1) incorporate modeling of diverse market entities, (2) integrate uncertainty quantification, and (3) explore applications in electricity market pricing mechanisms.
Author Contributions
Conceptualization, Z.L. and Y.W.; methodology, Y.W.; software, Y.W.; validation, A.X., J.L. and Y.Z.; formal analysis, Y.L., W.Z. and X.Z.; investigation, Y.L., W.Z. and X.Z.; resources, Z.L., A.X., J.L. and Y.Z.; data curation, Y.L. and W.Z.; writing—original draft preparation, Z.L. and Y.W.; writing—review and editing, Z.L., A.X., J.L. and Y.Z. and Y.W.; visualization, Y.L. and W.Z.; supervision, Y.W.; project administration, A.X., J.L. and Y.Z.; funding acquisition, A.X., J.L. and Y.Z. All authors have read and agreed to the published version of the manuscript.
Funding
This research was funded by the Science and Technology Project of State Grid Henan Province Electric Power Company (grant 5217L0240013).
Data Availability Statement
The data presented in this study are available on request from the corresponding author. These data were obtained through a research collaboration agreement with a power grid company and are subject to confidentiality obligations. Therefore, the authors are not permitted to share the dataset publicly.
Conflicts of Interest
Author Zhiheng Li was employed by Henan Electric Power Trading Center Co., Ltd. Authors Anbang Xie, Junhui Liu, Yihan Zhang, Yao Lu, and Wenjing Zu were employed by the State Grid Henan Electric Power Company Economic and Technological Research Institute. The remaining authors declare that the research was conducted in the absence of any commercial or financial relationships that could be construed as a potential conflict of interest.
Abbreviations
| g | the index of the unit | the dual multiplier of system power balance constraint | |
| t | the index of the interval | the power transfer distribution factor for unit | |
| n | the index of the consumer | the power transfer distribution factor for consumer | |
| l | the index of the transmission line | the dual multipliers of line power flow upper bound constraint | |
| s | the index of the contingency scenarios | the dual multipliers of line power flow lower bound constraint | |
| the upper limit of line power flow | the power transfer distribution factor for unit under the contingency scenarios | ||
| the lower limit of line power flow | the power transfer distribution factor for consumer under the contingency scenarios | ||
| the costs of unit providing electricity service | the dual multiplier of the maximum output constraint for unit | ||
| the dispatch power of unit providing electricity service | the dual multiplier of the minimum output constraint for unit | ||
| the demand for electricity service of consumer | the dual multiplier of the upward ramp constraint | ||
| the upper limit of the unit providing electricity service | the dual multiplier of the downward ramp constraint | ||
| the lower limit of the unit providing electricity service | the LMP of the unit g providing electricity service at the interval t | ||
| the variation upper limit of the unit providing electricity service | the LMP of the consumer n purchasing the electricity service at the interval t | ||
| the variation lower limit of the unit providing electricity service | the optimal solution of dual multiplier | ||
| the initial unit power before the first interval of market clearing | the optimal solution of dual multiplier | ||
| the optimal solution of the simplified market clearing model at the interval t − 1 | the optimal solution of dual multiplier | ||
| the total unit revenue variable | |||
| the total cost recovery shortfall of market participant | the total consumer payment variable | ||
| the market participant g cost recovery shortfall variable | , | the price variables of transmission capacity resource at interval t | |
| N | the total revenue shortfall variable of market operator | ||
| S | the market surplus variable | the price variable of the system power balance resources | |
| the variable of product revenue shortfall | the electricity service price variable of unit | ||
| the unit’s lost opportunity cost under the price signal | the resource price variable corresponding to the maximum output constraint in the unit self-dispatch problem | ||
| the resource price variable corresponding to the minimum output constraint in the unit self-dispatch problem | |||
| the resource price variable corresponding to the upward ramp constraint in the unit self-dispatch problem | |||
| L | the total lost opportunity cost of market participants | the resource price variable corresponding to the downward ramp constraint in the unit self-dispatch problem | |
| the dual multiplier of the maximum output constraint in self-dispatch problem | the dual multiplier of the upward ramp constraint in self-dispatch problem | ||
| the dual multiplier of the minimum output constraint in self-dispatch problem | the dual multiplier of the downward ramp constraint in self-dispatch problem |
References
- Lu, X.; Qiu, J.; Zhang, C.; Lei, G.; Zhu, J. Seizing unconventional arbitrage opportunities in virtual power plants: A profitable and flexible recruitment approach. Appl. Energy 2024, 358, 122628. [Google Scholar] [CrossRef]
- Yu, Y.; Zhang, T.; Guan, Y.; Chen, Y. Convex primal formulations for convex hull pricing with reserve commitments. IEEE Trans. Power Syst. 2020, 36, 2345–2354. [Google Scholar] [CrossRef]
- Schweppe, F.C.; Caramanis, M.C.; Tabors, R.D.; Bohn, R.E. Spot Pricing of Electricity; Springer Science & Business Media: Berlin/Heidelberg, Germany, 2013. [Google Scholar]
- Bjorndal, M.; Jornsten, K. Zonal pricing in a deregulated electricity market. Energy J. 2001, 22, 51–73. [Google Scholar] [CrossRef]
- Price, J.E. Market-based price differentials in zonal and LMP market designs. IEEE Trans. Power Syst. 2007, 22, 1486–1494. [Google Scholar] [CrossRef]
- Li, Y.; Wang, X. Community integrated energy system multi-energy transaction decision considering user interaction. Processes 2022, 10, 1794. [Google Scholar] [CrossRef]
- Ren, Y.; Galiana, F.D. Pay-as-bid versus marginal pricing-part I: Strategic generator offers. IEEE Trans. Power Syst. 2004, 19, 1771–1776. [Google Scholar] [CrossRef]
- Zhang, J.; Zong, M.; Li, W. A truthful mechanism for multibase station resource allocation in metaverse digital twin framework. Processes 2022, 10, 2601. [Google Scholar] [CrossRef]
- Wang, T.; Xu, Y.; Ahipasaoglu, S.D.; Courcoubetis, C. Ex-post max-min fairness of generalized AGV mechanisms. IEEE Trans. Autom. Control. 2016, 62, 5275–5281. [Google Scholar] [CrossRef]
- Wu, C.; Xiao, Y.; Zhu, X. Research on optimization algorithm of AGV scheduling for intelligent manufacturing company: Taking the machining shop as an example. Processes 2023, 11, 2606. [Google Scholar] [CrossRef]
- Azizan, N.; Su, Y.; Dvijotham, K.; Wierman, A. Optimal pricing in markets with nonconvex costs. Oper. Res. 2020, 68, 480–496. [Google Scholar] [CrossRef]
- López Hernández, O.; Romero Romero, D.; Badaoui, M. Economic Dispatch of Combined Cycle Power Plant: A Mixed-Integer Programming Approach. Processes 2024, 12, 1199. [Google Scholar] [CrossRef]
- Exizidis, L.; Kazempour, J.; Papakonstantinou, A.; Pinson, P.; De Greve, Z.; Vallée, F. Incentive-compatibility in a two-stage stochastic electricity market with high wind power penetration. IEEE Trans. Power Syst. 2019, 34, 2846–2858. [Google Scholar] [CrossRef]
- Guo, Y.; Chen, C.; Tong, L. Pricing multi-interval dispatch under uncertainty part I: Dispatch-following incentives. IEEE Trans. Power Syst. 2021, 36, 3865–3877. [Google Scholar] [CrossRef]
- Chen, C.; Guo, Y.; Tong, L. Pricing multi-interval dispatch under uncertainty part II: Generalization and performance. IEEE Trans. Power Syst. 2020, 36, 3878–3886. [Google Scholar] [CrossRef]
- Zhao, J.; Zheng, T.; Litvinov, E. A multi-period market design for markets with intertemporal constraints. IEEE Trans. Power Syst. 2019, 35, 3015–3025. [Google Scholar] [CrossRef]
- Yang, Z.; Wang, Y.; Yu, J.; Yang, Y. On the minimization of uplift payments for multi-period dispatch. IEEE Trans. Power Syst. 2020, 35, 2479–2482. [Google Scholar] [CrossRef]
- Wang, Y.; Yang, Z.F.; Yu, J.; Wen, X. Analyzing Pricing Problem in Electricity Market from an Optimization Perspective. Trans. China Electrotech. Soc. 2023, 38, 4729–4745. [Google Scholar]
Disclaimer/Publisher’s Note: The statements, opinions and data contained in all publications are solely those of the individual author(s) and contributor(s) and not of MDPI and/or the editor(s). MDPI and/or the editor(s) disclaim responsibility for any injury to people or property resulting from any ideas, methods, instructions or products referred to in the content. |
© 2025 by the authors. Licensee MDPI, Basel, Switzerland. This article is an open access article distributed under the terms and conditions of the Creative Commons Attribution (CC BY) license (https://creativecommons.org/licenses/by/4.0/).



